Next Article in Journal
Synthesis and Antiviral Activity of N-Phenylbenzamide Derivatives, a Novel Class of Enterovirus 71 Inhibitors
Next Article in Special Issue
Anti-Inflammatory Cycloartane-Type Saponins of Astragalus membranaceus
Previous Article in Journal
Synthesis and Characterization of Celecoxib Derivatives as Possible Anti-Inflammatory, Analgesic, Antioxidant, Anticancer and Anti-HCV Agents
Previous Article in Special Issue
Inhibition of Telomerase Activity by Oleanane Triterpenoid CDDO-Me in Pancreatic Cancer Cells is ROS-Dependent
 
 
Font Type:
Arial Georgia Verdana
Font Size:
Aa Aa Aa
Line Spacing:
Column Width:
Background:
Article

Efficient Synthesis and Anti-Fungal Activity of Oleanolic Acid Oxime Esters

Department of Applied Chemistry, China Agricultural University, Beijing 100193, China
*
Author to whom correspondence should be addressed.
Molecules 2013, 18(3), 3615-3629; https://doi.org/10.3390/molecules18033615
Submission received: 4 February 2013 / Revised: 14 March 2013 / Accepted: 15 March 2013 / Published: 21 March 2013
(This article belongs to the Special Issue Triterpenes and Triterpenoids 2013)

Abstract

:
In order to develop potential glucosamine-6-phosphate synthase inhibitors and anti-fungal agents, twenty five oleanolic acid oxime esters were synthesized in an efficient way. The structures of the new compounds were confirmed by MS, HRMS, 1H-NMR and 13C-NMR. Preliminary studies based on means of the Elson-Morgan method indicated that many compounds exhibited some inhibitory activity of glucosamine-6-phosphate synthase (GlmS), and the original fungicidal activities results showed that some of the compounds exhibited good fungicidal activities towards Sclerotinia sclerotiorum (Lib.) de Bary, Rhizoctonia solani Kuhn and Botrytis cinerea Pers at the concentration of 50 µg/mL. These compounds would thus merit further study and development as antifungal agents.

1. Introduction

Glucosamine-6-phosphate synthase (GlmS) is the first enzyme of the hexosamine biosynthetic pathway [1]. This enzyme catalyzes the reaction of D-fructose-6P (Fru6P) with glutamine to afford D-glucosamine-6P (GlcN6P) and glutamate. As a checkpoint of UDP-GlcNAc synthesis, it plays a key role in the biosynthesis of the bacterial peptidoglycan, the lipopolysaccharide of Gram-negative bacteria, chitin, and mannoproteins of the fungal cell wall [2,3].
The molecular mechanism of the reaction catalyzed by glucosamine-6-phosphate synthase is complex and involves amide bond cleavage followed by ammonia channeling and sugar isomerization [4]. It is an irreversible reaction and the sole biosynthetic route to GlcN-6-P known to date [5,6]. Although the enzyme is also present in mammalian systems, there are substantial differences in physiological consequences of GlcN-6-P synthase inhibition between fungi and mammals, thus it constitutes a firm molecular basis for the selective toxicity of specific enzyme inhibitors. Recently, this enzyme has been proposed as a good and promising target for new antifungal agents [7]. Like the most powerful GlmS inhibitors such as arabinose-5-phosphate oxime, 5-methylenephosphono-D-arabino hydroximino- lactone, N3-(4-methoxyfumaroyl)-l-2,3-diaminopropanoic acid (FMDP) and 2-amino-2-deoxy- D-glucitol-6-phosphate (ADGP), these compounds exhibit very poor, if any, antifungal activity because of the restriction due to the highly inefficient uptake of these compounds by an unidentified active transport system and apparent inability to cross the membrane by free diffusion [8].
Triterpenes are widely distributed in Nature, and they have attracted much attention due to their broad spectrum of biological activities. Oleanolic acid (OA, Figure 1) is one of the most important triterpenes, which has been in active clinical use as an anti-hepatitis drug in China for over 20 years, and possesses some attractive biological activities, including protection of the liver against toxic injury [9,10,11], anti-inflammation [12], anti-HIV [13,14], anti-tumor [15,16], anti-hyperglycemia [17] and anti-cancer [18], etc.
Figure 1. Structure of the entagenic acid (EA) and target compounds (A, B).
Figure 1. Structure of the entagenic acid (EA) and target compounds (A, B).
Molecules 18 03615 g001
In 2011, Shimoga et al. reported that entagenic acid (EA, Figure 1) showed a high antibacterial activity against B. cereus and B. subtilis, with a minimal inhibitory concentration of 200 μg mL−1 and possessed good glucosamine-6-phosphate synthase inhibition activity in molecular docking studies with minimum docking energy −9.22 kJ mol−1, binding energy −9.28 kJ mol−1 and inhibition constant 1.57e−007. The inhibition constant of streptomycin was 3.86e−005 [19]. As there is a good structural similarity between entagenic acid and oleanolic acid, which possess various important bioactivities [17,20], we rationalized that OA derivatives will have potential GlmS inhibitory activity on the basis of analog synthesis and sub-structure ligation [21]. In an ongoing project for the discovery of novel environmentally friendly antifungal agents from OA derivatives [22], we incorporated the structure of oxime ester, an activity group in the field of pesticides, into oleanolic acid. Twenty five new oleanolic acid oxime esters compounds (A/B, Figure 1) were efficiently synthesized, their enzyme inhibitory activities towards Candida albicans GlcN-6-P synthase and fungicidal activities against Sclerotinia sclerotiorum (Lib.) de Bary, Rhizoctonia solani Kuhn, Botrytis cinerea Pers, Phytophthora parasitica Dast, Rice blas and Fusarium wilt were evaluated. We report herein the preliminary results of the study.

2. Results and Discussion

2.1. Chemistry

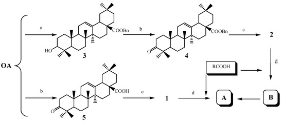
As shown in Figure 1, we envisioned that the target compounds A and B could be synthesized from the intermediates 1 [23] or 2 [24]. As shown in Scheme 1, we envisioned that the target compounds A and B could be synthesized from the synthon 2, and the benzyl group was chosen as the carboxylic acid protective group in order to study the importance of the COOH-group in the biological activity and avoid difficulties in the final deprotection to obtain A.
Scheme 1. Synthetic routes to the compounds A and B.
Scheme 1. Synthetic routes to the compounds A and B.
Molecules 18 03615 g002
Reagents and conditions: (a) BnBr, K2CO3, DMF, r.t., 4 h, 98% for 3; (b) Ac2O, PDC, CH2Cl2, reflux 3–4 h, 95% for 4, 93% for 5; (c) NH2OH·HCl, Py, 80 °C, 1 h, 96% for 1, 94% for 2; (d) DCC, CH2Cl2, reflux 8–14 h, 84%–93% for A, 70%–90% for B.
Firstly, benzylation of OA with benzyl bromide and K2CO3 in DMF provided the benzyl oleanolic acid 3 quantitatively; then oxidation of C-3-OH of 3 with pyridinium dichromate (PDC) in CH2Cl2, followed by oximation with NH2OH·HCl according to the reported method [23] afforded intermediate 2 in 94% yield. Condensation of 2 with substituted carboxylic acids provided the desired benzyl oleanolic acid 3-oxime esters B. Initially, we tried to synthesize the target compound A from B with Pd/C in MeOH/CH2Cl2 at 25 °C in the presence of hydrogen. However, instead of getting the desired compound A, the compound 1 was obtained as the main product, as confirmed by its 1H-NMR spectrum, showing the characteristic signals identical to the published data [23]. Later on, compound 1 was prepared according to the reported procedures [23], and the target compounds A were obtained directly from 1 in high yields.
The structures of A/B were confirmed from their 1H-NMR, 13C-NMR spectra and HRMS, showing the characteristic signals such as a multiplet at δ 5.08 ppm for CH2C6H5 of B, a single peak at about δ 5.29 ppm for H-12 of A/B. The physical data of the target compounds are given in Table 1.
Table 1. Physical Data of Compounds A and B.
Table 1. Physical Data of Compounds A and B.
Compd.R2FormulaStatusm.p./°CYield (%)
A-014-Cl-C6H4-C37H50ClNO4White foamy solid 98–10093
A-022,4-Cl2-C6H4-C37H49Cl2NO4White foamy solid78–8090
A-033-Cl-C6H4-C37H50ClNO4White foamy solid58–6091
A-044-NO2-C6H4-C37H50N2O6White foamy solid78–8084
A-051-Naphthyl-CH2-C42H55NO4White foamy solid73–7586
A-064-Cl-C6H4OCH2-C38H52ClNO5White foamy solid70–7287
A-072-F-C6H4-C37H50FNO4White foamy solid88–9080
A-084-Br-C6H4-C37H50BrNO4White foamy solid120–12290
A-093-Pyridyl-C36H50N2O4White foamy solid160–16291
A-102-Furan-C35H49NO5White foamy solid96–9886
B-014-Cl-C6H4-C44H56ClNO4White foamy solid72–7680
B-022,4-Cl2-C6H4-C44H55Cl2NO4White foamy solid134–13683
B-033-Cl-C6H4-C44H56ClNO4White foamy solid68–7279
B-044-NO2-C6H4-C44H56N2O6White foamy solid71–7485
B-051-Naphthyl-CH2-C49H61NO4White foamy solid136–13875
B-064-Cl-C6H4OCH2-C45H58ClNO5White foamy solid54–5672
B-072-F-C6H4-C44H56FNO4Viscous liquid75
B-084-Br-C6H4-C44H56BrNO4White foamy solid74–7878
B-093-Pyridyl-C43H56N2O4White foamy solid70–7281
B-102-Furan-C42H55NO5White foamy solid68–7071
B-113- NO2-C6H4-C44H56N2O6White foamy solid76–8084
B-123,5-( NO2) 2C6H4-C44H55N3O8White foamy solid68–7090
B-132-Cl-C6H4-C44H56ClNO4White foamy solid116–11876
B-142-Pyridyl-C43H56N2O4White foamy solid80–8479
B-15C6H5-C44H57NO4White foamy solid78–8170

2.2. Bioassay of Enzyme Inhibitory Activities [25,26,27,28]

Inhibitory activity of all the synthesized compounds towards Candida albicans GlcN-6-P synthase was evaluated using the further optimized Elson-Morgan method [25,26,27,29]. The absorption value of the solution was measured at 585 nm, and then the concentration was counted by the specification curve which was determined thanks to the relation between the absorption value and the concentration of glucosamine-6-phosphate. Finally the enzyme inhibition rate was calculated according to formula (1):
Molecules 18 03615 i001
where I is the inhibition rate, M 0 is the average concentration of glucosamine-6-phosphate in the blank test, and M is the average concentration of glucosamine-6-phosphate in the presence of target compounds. The inhibition rates were given in Table 2 at 0.35 mM.
Many compounds of A series and B series exhibited better enzyme inhibitory activities than OA, but this fact is not as obvious as possible since our work reveals that some compounds B exhibited less activity. Compounds A-02, A-03, B-06, B-12 and B-13 are more active against glucosamine-6-phosphate synthase than the other compounds. On the whole, the enzyme inhibitory activity of A series of compounds is superior to the B series, which may be associated with a better structural similarity between EA and the target compounds.
Table 2. Enzyme inhibition rates of compounds A and B at 0.35 mM.
Table 2. Enzyme inhibition rates of compounds A and B at 0.35 mM.
Compd No.Inhibition Rate (%)Compd No.Inhibition Rate (%)
OA22.4B-0319.8
A-0129.4B-0416.2
A-0237.2B-0520.2
A-0340.8B-0634.2
A-0419.2B-0728.2
A-0530.8B-0812.7
A-0629.1B-0919.3
A-0722.9B-1013.2
A-0824.8B-1116.4
A-0921.0B-1233.0
A-1020.5B-1333.1
B-018.7B-1412.5
B-0212.2B-1513.8

2.3. Bioassay of Fungicidal Activities [28]

Fungicidal activities of the target compounds against Sclerotinia sclerotiorum (Lib.) de Bary, Rhizoctonia solani Kuhn, Botrytis cinerea Pers, Phytophthora parasitica Dast, rice blast and fusarium wilt were evaluated using the mycelium growth rate test [28]. The diameter of the mycelia was measured and the inhibition rate was calculated according to formula (2):
Molecules 18 03615 i002
where I is the inhibition rate, D1 is the average diameter of mycelia in the blank test, and D0 is the average diameter of mycelia in the presence of target compounds: The inhibition rates of compounds A and B against the six fungi at 50 µg/mL are given in Table 3.
Compounds AB exhibited more fungicidal activity against R. solani, rice blast and S. sclerotiorum than the other fungi. The fungicidal activity of the B series is better than that of the A series. Compounds A-02, A-03, A-05, B-03, B-06, B-07 and B-09 exhibited good fungicidal activity, consistent with their enzyme inhibitory activities.
Table 3. Inhibition rates of compounds AB against six fungi.
Table 3. Inhibition rates of compounds AB against six fungi.
Compd. No.
(CAU2012)
Inhibition rate (%)
S. sclerotiorumPhytophthora parasitica DastB. cinereaR. solaniRice blastFusarium wilt
A-0128.21.87.838.031.211.7
A-0261.242.18.436.229.514.9
A-0326.53.17.842.724.23.2
A-0453.549.332.132.149.115.8
A-0528.614.225.873.021.06.5
A-0629.04.020.733.521.07.5
A-0749.767.612.445.233.16.1
A-0827.82.013.418.624.27.5
A-0924.83.21.416.625.16.1
A-1030.32.324.95.527.95.1
B-0171.19.468.879.239.328.5
B-0271.112.049.463.536.930.1
B-0372.623.571.193.678.536.7
B-0468.225.940.541.474.331.3
B-0568.917.466.484.151.928.5
B-0667.418.142.973.755.225.9
B-0773.317.759.586.152.526.9
B-0867.821.759.944.136.231.3
B-0974.425.369.163.668.029.2
B-1068.223.557.754.036.028.7
B-1164.535.645.756.663.321.4
B-1267.528.241.469.553.628.2
B-1366.752.246.251.760.024.6
B-1467.156.562.777.654.930.8
B-1571.038.239.033.885.528.7
Chlorothalonil92.894.898.298.589.596.2
Sanmate99.368.964.710073.796.1
OA20.513.51.025.320.17.5

3. Experimental

3.1. General Methods

Solvents were purified in the usual way. All reactions were monitored by TLC analysis performed on silica gel HF with detection by charring with 30% (v/v) H2SO4 in CH3OH or by UV detection. Column chromatography was conducted by elution of a column (8 × 100, 16 × 240, 18 × 300, 35 × 400 mm) of silica gel (200–300 mesh) with EtOAc-PE (petroleum ether, b.p. 60–90 °C) as the eluent. NMR spectra (300/75 MHz, δ, ppm) were recorded on a Varian XL-300 spectrometer with TMS as the internal standard. Elemental analysis was performed on a Yanaco CHN Corder MF-3 automatic elemental analyzer. Mass spectra were recorded with a VG PLATFORM mass spectrometer using the electrospray ionization (ESI) mode.

3.2. Chemical Synthesis

Oleanolic acid 3-oxime ester (A-01). 4-Chlorobenzoic acid (0.66 g, 4.2 mmol) and N,N′-dicyclohexylcarbodiimide (DCC, 1 g, 5 mmol) were successively added to a soln. of oleanate 3-oxime 1 (1.68 g, 3.5 mmol) which was prepared according to the reported method [12] in CH2Cl2 (50 mL), Then the reaction mixture was refluxed for 8–14 h at the end of which time TLC (4:1 petroleum ether/EtOAc) indicated that the reaction was complete. The reaction mixture was filtered, the soln. was concentrated, and the residue was subjected to column chromatography (6:1 petroleum ether/EtOAc) to give the desired product A-01 (1.98 g, 93%) as a white foamy solid. 1H-NMR (CDCl3): δ 8.00–7.42 (m, 4H, Ar-H), 5.28 (br s, 1 H, H-12), 3.05–3.01 (m, 1H), 2.85–2.80 (m, 1H), 2.48-2.41 (m, 1H), 1.34, 1.19, 1.13, 1.06, 0.93, 0.90, 0.80 (s, 7 × 3H, CH3); 13C-NMR (CDCl3): 184.0 (COOH), 176.4 (COONC), 163.4 (COONC), 143.8 (C-13), 139.4, 130.9, 130.9, 128.8, 128.8, 128.1 (aromatic carbons), 122.2 (C-12), 55.8, 47.1, 46.6, 45.8, 41.7, 41.0, 39.3, 38.7, 37.1, 33.8, 33.0, 32.4, 32.3, 30.6, 29.7, 27.6, 27.2, 25.8, 23.5, 23.4, 23.2, 22.9, 19.9, 18.9, 17.0, 15.1 (7 × CH3); Anal. Calcd for C37H50ClNO4: C, 73.06; H, 8.29; N, 2.30. found: C, 73.27; H, 8.05; N, 2.51; HRMS calcd for C37H50ClNO4 (M+H)+: 608.35011, found: 608.34985.
Oleanolic acid 3-oxime ester (A-02). The reaction was run similarly to that used to synthesize A-01. A white foamy solid A-02 was obtained in 90% yield. 1H-NMR (CDCl3): δ 8.00–7.42 (m, 4H, Ar-H), 5.28 (br s, 1 H, H-12), 3.05–3.01 (m, 1H), 2.85–2.80 (m, 1H), 2.48–2.41 (m, 1H), 1.34, 1.19, 1.13, 1.06, 0.93, 0.90, 0.80 (s, 7 × 3H, CH3); 13C-NMR (CDCl3): 184.3 (COOH), 176.5 (COONC), 163.1 (COONC), 143.7 (C-13), 138.2, 134.3, 132.4, 130.8, 128.4, 127.0 (aromatic carbons), 122.2 (C-12), 55.8, 47.1, 46.5, 45.8, 41.6, 40.9, 39.3, 38.7, 37.0, 33.7, 33.0, 32.4, 32.2, 30.6, 29.6, 27.6, 27.0, 25.8, 23.5, 23.4, 23.0, 22.8, 20.2, 18.9, 17.0, 15.1 (7 × CH3); Anal. Calcd for C37H49Cl2NO4: C, 69.15; H, 7.68; N, 2.18. found: C, 69.35; H, 7.47; N, 2.33; HRMS calcd for C37H50ClNO4 (M+H)+: 642.31114, found: 642.31079.
Oleanolic acid 3-oxime ester (A-03). The reaction was run similarly to that used to synthesize A-01. A white foamy solid A-03 was obtained in 91% yield. 1H-NMR (CDCl3): δ 8.01–7.37 (m, 3H, Ar-H), 5.28 (br s, 1 H, H-12), 3.06–3.01 (m, 1H), 2.86–2.80 (m, 1H), 2.47–2.45 (m, 1H), 1.34, 1.19, 1.13, 1.07, 0.93, 0.90, 0.80 (s, 7 × 3H, CH3); 13C-NMR (CDCl3): 184.3 (COOH), 176.4 (COONC), 163.0 (COONC), 143.7 (C-13), 134.5, 133.0, 131.4, 129.7, 129.4, 127.6 (aromatic carbons), 122.2 (C-12), 55.8, 47.1, 46.5, 45.8, 41.6, 40.9, 39.3, 38.6, 37.0, 33.7, 33.0, 32.4, 32.2, 30.6, 29.6, 27.6, 27.0, 25.8, 23.5, 23.4, 23.0, 22.8, 20.2, 18.9, 17.0, 15.1 (7 × CH3); Anal. Calcd for C37H50ClNO4: C, 73.06; H, 8.29; N, 2.30. found: C, 73.21; H, 8.43; N, 2.49; HRMS calcd for C37H50ClNO4 (M+H)+: 608.35011, found: 608.34937.
Oleanolic acid 3-oxime ester (A-04). The reaction was run similarly to that used to synthesize A-01. A white foamy solid A-04 was obtained in 84% yield. 1H-NMR (CDCl3): δ 8.33–8.20 (m, 4H, Ar-H), 5.33 (br s, 1 H, H-12), 3.07–3.01 (m, 1H), 2.88–2.82 (m, 1H), 2.49–2.43 (m, 1H), 1.36, 1.19, 1.15, 1.07, 0.94, 0.92, 0.83 (s, 7 × 3H, CH3); 13C-NMR (CDCl3): 177.0 (COOH), 172.8 (COONC), 162.3 (COONC), 150.5, 143.3 (C-13), 135.1, 130.5, 130.5, 123.6, 123.6 (aromatic carbons), 122.6 (C-12), 55.8, 48.3, 47.1, 45.6, 41.8, 41.7, 39.4, 38.7, 37.0, 33.6, 32.9, 32.3, 31.9, 30.6, 29.6, 27.4, 27.1, 25.7, 23.5, 23.2, 22.9, 22.6, 20.0, 18.9, 17.1, 15.1 (7 × CH3); Anal. Calcd for C37H50N2O6: C, 71.82; H, 8.14; N, 4.53. found: C, 71.97; H, 8.01; N, 4.69; HRMS calcd for C37H50ClNO4 (M+H)+: 619.37416, found: 619.37708.
Oleanolic acid 3-oxime ester (A-05). The reaction was run similarly to that used to synthesize A-01. A white foamy solid A-05 was obtained in 86% yield. 1H-NMR (CDCl3): δ 8.05–7.41(m, 7H, Ar-H), 5.27 (br s, 1 H, H-12), 4.20–4.18 (m, 2H, CH2), 2.84–2.78 (m, 1H), 2.58–2.53 (m, 1H), 1.25, 1.19, 1.09, 1.04, 0.93, 0.90, 0.74 (s, 7 × 3H, CH3); 13C-NMR (CDCl3): 184.2 (COOH), 175.5 (COONC), 169.3 (COONC), 143.6 (C-13), 133.7, 132.0, 130.2, 128.6, 127.9, 126.2, 125.7, 125.6, 125.3, 123.8 (aromatic carbons), 122.2 (C-12), 65.4, 55.7, 47.0, 46.5, 45.7, 41.6, 41.3, 40.9, 39.2, 38.2, 36.8, 33.7, 33.0, 32.3, 32.2, 30.6, 29.6, 27.5, 26.9, 25.8, 23.5, 23.3, 22.8, 19.2, 18.7, 16.9, 14.9 (7 × CH3); Anal. Calcd for C42H55NO4: C, 79.08; H, 8.69; N, 2.20. found: C, 79.24; H, 8.37; N, 2.42; HRMS calcd for C37H50ClNO4 (M+H)+: 638.42039, found: 638.42004.
Oleanolic acid 3-oxime ester (A-06). The reaction was run similarly to that used to synthesize A-01. A white foamy solid A-06 was obtained in 87% yield. 1H-NMR (CDCl3): δ 7.26–6.81 (m, 4H, Ar-H), 5.28 (br s, 1 H, H-12), 4.82 (s, 1H), 4.72(s, 1H), 2.87–2.82 (m, 1H), 2.30–2.21 (m, 1H), 1.26, 1.24, 1.11, 1.01, 0.93, 0.91, 0.78 (s, 7 × 3H, CH3); 13C-NMR (CDCl3): 183.9 (COOH), 175.8 (COONC), 167.8 (COONC), 156.4, 153.1, 143.6 (C-13), 129.3, 126.6, 122.1 (C-12), 116.0, 115.8 (aromatic carbons), 65.4, 55.7, 47.0, 46.4, 45.7, 41.6, 40.9, 39.2, 38.5, 36.9, 33.7, 32.9, 32.5, 32.3, 30.5, 29.6, 27.5, 27.0, 25.7, 23.4, 23.3, 22.9, 22.8, 19.4, 18.8, 16.9, 15.0 (7 × CH3); Anal. Calcd for C38H52ClNO5: C, 71.51; H, 8.21; N, 2.19. found: C, 71.35; H, 8.39; N, 2.35; HRMS calcd for C37H50ClNO4 (M+H)+: 638.36068, found: 638.35919.
Oleanolic acid 3-oxime ester (A-07). The reaction was run similarly to that used to synthesize A-01. A white foamy solid A-07 was obtained in 80% yield. 1H-NMR (CDCl3): δ 8.05–7.11(m, 4H, Ar-H), 5.29 (br s, 1 H, H-12), 3.12–3.07 (m, 1H), 2.85–2.82 (m, 1H), 2.49–2.38 (m, 1H), 1.34, 1.19, 1.13, 1.06, 0.93, 0.90, 0.80 (s, 7 × 3H, CH3); 13C-NMR (CDCl3): 184.5 (COOH), 176.1 (COONC), 163.1 (COONC), 143.6 (C-13), 134.3, 132.2, 124.0, 122.2 (C-12), 118.0, 116.9, 116.6 (aromatic carbons), 55.7, 47.0, 46.5, 45.7, 41.4, 40.9, 39.2, 38.6, 36.9, 33.7, 32.9, 32.3, 32.2, 30.5, 29.6, 27.5, 27.1, 25.7, 23.4, 23.3, 23.0, 22.7, 19.9, 18.8, 16.9, 15.0 (7 × CH3); Anal. Calcd for C37H50FNO4: C, 75.09; H, 8.52; N, 2.37. found: C, 75.29; H, 8.38; N, 2.16; HRMS calcd for C37H50ClNO4 (M+H)+: 592.37966, found: 592.37909.
Oleanolic acid 3-oxime ester (A-08). The reaction was run similarly to that used to synthesize A-01. A white foamy solid A-08 was obtained in 90% yield. 1H-NMR (CDCl3): δ 7.95–7.58 (m, 4H, Ar-H), 5.29 (br s, 1 H, H-12), 3.05–3.00 (m, 1H), 2.86–2.81 (m, 1H), 2.44–2.42 (m, 1H), 1.34, 1.19, 1.13, 1.06, 0.90, 0.88, 0.80 (s, 7 × 3H, CH3); 13C-NMR (CDCl3): 184.3 (COOH), 176.4 (COONC), 163.5 (COONC), 143.8 (C-13), 131.9, 131.8, 131.0, 131.0, 128.6, 128.1 (aromatic carbons), 122.3 (C-12), 55.8, 47.2, 45.8, 41.7, 41.6, 41.0, 39.4, 38.7, 37.1, 33.8, 33.0, 32.4, 31.9, 30.7, 29.7, 27.6, 27.2, 25.9, 23.6, 23.5, 23.2, 22.7, 19.9, 19.0, 17.0, 15.1 (7 × CH3); Anal. Calcd for C37H50BrNO4: C, 68.09; H, 7.72; N, 2.15. found: C, 68.39; H, 7.46; N, 2.35; HRMS calcd for C37H50ClNO4 (M+H)+: 652.29960, found: 652.30011.
Oleanolic acid 3-oxime ester (A-09). The reaction was run similarly to that used to synthesize A-01. A white foamy solid A-09 was obtained in 91% yield. 1H-NMR (CDCl3): δ 9.25–7.44 (m, 4H, Ar-H), 5.30 (br s, 1 H, H-12), 3.08–3.03 (m, 1H), 2.90–2.84 (m, 1H), 2.48–2.41 (m, 1H), 1.35, 1.21, 1.14, 1.07, 0.94, 0.91, 0.82 (s, 7 × 3H, CH3); 13C-NMR (CDCl3): 183.1 (COOH), 176.7 (COONC), 162.7 (COONC), 153.0, 150.1, 143.9 (C-13), 137.3, 125.9, 123.6 (aromatic carbons), 122.0 (C-12), 55.7, 47.1, 46.4, 45.8, 41.6, 41.0, 39.2, 38.6, 37.0, 33.6, 33.0, 32.4, 32.2, 30.6, 29.6, 27.6, 27.1, 25.8, 23.5, 23.4, 23.1, 22.9, 19.9, 18.9, 16.9, 15.1 (7 × CH3); Anal. Calcd for C36H50N2O4: C, 75.22; H, 8.77; N, 4.87. found: C, 75.07; H, 8.64; N, 4.63; HRMS calcd for C37H50ClNO4 (M+H)+: 575.38433, found: 575.38373.
Oleanolic acid 3-oxime ester (A-10). The reaction was run similarly to that used to synthesize A-01. A white foamy solid A-10 was obtained in 86% yield. 1H-NMR (CDCl3): δ 7.63–6.47 (m, 3H, Ar-H), 5.28 (br s, 1 H, H-12), 3.07–3.02 (m, 1H), 2.87–2.81 (m, 1H), 2.48–2.42 (m, 1H), 1.33, 1.17, 1.13, 1.05, 0.93, 0.90, 0.80 (s, 7 × 3H, CH3); 13C-NMR (CDCl3): 183.8 (COOH), 176.2 (COONC), 156.6 (COONC), 146.4, 143.8, 143.7 (C-13), 122.1(C-12), 118.0, 111.7 (aromatic carbons), 55.7, 47.1, 46.5, 45.8, 41.5, 40.9, 39.3, 38.6, 37.0, 33.7, 33.0, 32.5, 32.3, 30.6, 30.6, 27.6, 27.1, 25.5, 23.5, 23.4, 23.1, 22.8, 19.7, 18.9, 17.0, 15.0 (7 × CH3); Anal. Calcd for C35H49NO5: C, 74.57; H, 8.76; N, 2.48. found: C, 74.42; H, 8.91; N, 2.25; HRMS calcd for C37H50ClNO4 (M+H)+: 564.36835, found: 564.36804.
Benzyl oleanolic acid 3-oxime ester (B-01). 4-Chlorobenzoic acid (0.66 g, 4.2 mmol) and DCC (1 g, 5 mmol) were successively added to a soln. of benzyl oleanate 3-oxime 2 (2.00 g, 3.5 mmol) which was prepared according to the reported method [13] in CH2Cl2 (50 mL), Then the reaction mixture was refluxed for 8–14 h at the end of which time TLC (6:1 petroleum ether-EtOAc) indicated that the reaction was complete. The reaction mixture was filtered, the soln was concentrated, and the residue was subjected to column chromatography (8:1 petroleum ether-EtOAc) to give the desired product B-01 (1.98 g, 80%) as a white foamy solid. 1H-NMR (CDCl3): δ 8.01–7.31 (m, 9H, Ar-H), 5.29 (br s, 1 H, H-12), 5.08 (dd, 2H, J = 12.5, 17.4 Hz, Ar-CH2), 3.04–2.89 (m, 2H), 2.47–2.33 (m, 1H), 1.34, 1.19, 1.12, 1.03, 0.92, 0.89, 0.64 (s, 7 × 3H, CH3); 13C-NMR (CDCl3): 177.3 (COOBn), 176.4 (COONC), 163.3 (COONC), 143.8 (C-13), 139.4, 134.4, 130.8, 130.8, 128.8, 128.8, 128.4, 128.4, 128.4, 128.1, 127.9, 127.9 (aromatic carbons), 122.1 (C-12), 65.9, 55.7, 47.1, 46.7, 45.8, 41.7, 41.5, 41.4, 39.3, 38.7, 36.9, 33.8, 33.0, 32.3, 32.3, 30.6, 27.5, 27.2, 25.7, 23.6, 23.4, 23.2, 23.0, 19.8, 18.9, 16.8, 15.1 (7 × CH3); Anal. Calcd for C44H56ClNO4: C, 75.67; H, 8.08; N, 2.01. found: C, 75.52; H, 8.33; N, 2.17; HRMS calcd for C37H50ClNO4 (M+H)+: 698.39706, found: 698.39526.
Benzyl oleanolic acid 3-oxime ester (B-02). The reaction was run similarly to that used to synthesize B-01. A white foamy solid B-02 was obtained in 83% yield. 1H-NMR (CDCl3): δ 7.80–7.29 (m, 8H, Ar-H), 5.28 (br s, 1 H, H-12), 5.08 (dd, 2H, J = 12.5, 17.4 Hz, Ar-CH2), 3.04–2.89 (m, 2H), 2.48–2.33 (m, 1H), 1.32, 1.18, 1.12, 1.01, 0.92, 0.89, 0.64 (s, 7 × 3H, CH3); 13C-NMR (CDCl3): 177.4 (COOBn), 176.6 (COONC), 163.1 (COONC), 143.9 (C-13), 138.2, 136.4, 134.3, 132.4, 130.8, 128.5, 128.4, 128.4, 128.0, 128.0, 127.9, 127.1 (aromatic carbons), 122.1 (C-12), 65.9, 55.9, 47.1, 46.7, 45.8, 41.8, 41.7, 41.4, 39.3, 38.8, 37.0, 33.9, 33.1, 32.4, 32.3, 30.7, 27.6, 27.1, 25.8, 23.6, 23.5, 23.1, 23.0, 20.2, 19.0, 16.8, 15.1 (7 × CH3); Anal. Calcd for C44H55Cl2NO4: C, 72.11; H, 7.56; N, 1.91. found: C, 72.31; H, 7.49; N, 1.77; HRMS calcd for C37H50ClNO4 (M+H)+: 732.35809, found: 732.35529.
Benzyl oleanolic acid 3-oxime ester (B-03). The reaction was run similarly to that used to synthesize B-01. A white foamy solid B-03 was obtained in 79% yield. 1H-NMR (CDCl3): δ 8.01–7.32 (m, 9H, Ar-H), 5.30 (br s, 1 H, H-12), 5.08 (dd, 2H, J = 12.5, 17.4 Hz, Ar-CH2), 3.04–2.88 (m, 2H), 2.48–2.33 (m, 1H), 1.34, 1.19, 1.12, 1.02, 0.92, 0.89, 0.65 (s, 7 × 3H, CH3); 13C-NMR (CDCl3): 177.3 (COOBn), 176.6 (COONC), 163.0 (COONC), 143.8 (C-13), 136.3, 134.5, 133.0, 131.4, 129.8, 129.4, 128.4, 128.4, 127.9, 127.9, 127.9, 127.6 (aromatic carbons), 122.1 (C-12), 65.9, 55.7, 47.1, 46.7, 45.8, 41.7, 41.6, 41.4, 39.3, 38.7, 36.9, 33.8, 33.0, 32.3, 32.3, 30.6, 27.5, 27.1, 25.7, 23.6, 23.4, 23.2, 23.0, 19.9, 18.9, 16.8, 15.1 (7 × CH3); Anal. Calcd for C44H56ClNO4: C, 75.67; H, 8.08; N, 2.01. found: C, 75.52; H, 8.27; N, 2.27; HRMS calcd for C37H50ClNO4 (M+H)+: 698.39706, found: 698.39697.
Benzyl oleanolic acid 3-oxime ester (B-04). The reaction was run similarly to that used to synthesize B-01. A white foamy solid B-04 was obtained in 85% yield. 1H-NMR (CDCl3): δ 8.87–7.29 (m, 9H, Ar-H), 5.31 (br s, 1 H, H-12), 5.08 (dd, 2H, J = 12.5, 17.4 Hz, Ar-CH2), 3.06–2.90 (m, 2H), 2.50–2.48 (m, 1H), 1.35, 1.21, 1.12, 1.04, 0.92, 0.90, 0.65 (s, 7 × 3H, CH3); 13C-NMR (CDCl3): 177.2 (COOBn), 177.1 (COONC), 162.1 (COONC), 148.2, 143.8 (C-13), 136.3, 135.1, 131.5, 129.7, 128.3, 128.3, 127.9, 127.9, 127.8, 127.3, 124.2 (aromatic carbons), 122.1 (C-12), 65.8, 55.7, 47.1, 46.7, 45.8, 41.7, 41.6, 41.4, 39.3, 38.6, 36.9, 33.8, 33.0, 32.3, 32.3, 30.6, 27.5, 27.2, 25.7, 23.5, 23.4, 23.2, 23.0, 20.0, 18.9, 16.8, 15.0 (7 × CH3); Anal. Calcd for C44H56N2O6: C, 74.55; H, 7.96; N, 3.95. found: C, 74.40; H, 7.79; N, 3.65; HRMS calcd for C37H50ClNO4 (M+H)+: 709.42111, found: 709.42096.
Benzyl oleanolic acid 3-oxime ester (B-05). The reaction was run similarly to that used to synthesize B-01. A white foamy solid B-05 was obtained in 75% yield. 1H-NMR (CDCl3): δ 8.04–7.23 (m, 12H, Ar-H), 5.28 (br s, 1 H, H-12), 5.06 (dd, 2H, J = 12.5, 17.4 Hz, Ar-CH2), 4.19 (s, 2 H, CH2C=O), 2.93–2.87 (m, 1H), 2.57–2.50 (m, 1H), 1.19, 1.08, 1.04, 0.92, 0.89, 0.89, 0.60 (s, 7 × 3H, CH3); 13C-NMR (CDCl3): 177.3 (COOBn), 175.6 (COONC), 169.3 (COONC), 143.7 (C-13), 136.3, 133.7, 132.0, 130.2, 128.6, 128.5, 128.3, 127.9, 127.9, 127.8, 127.8, 126.2, 125.7, 125.6, 125.3, 123.8 (aromatic carbons), 122.1 (C-12), 65.8, 55.7, 47.0, 46.6, 45.7, 41.7, 41.3, 41.3, 39.2, 38.5, 38.2, 36.8, 36.8, 33.8, 33.0, 32.2, 30.6, 27.5, 26.9, 25.7, 23.6, 23.3, 22.9, 22.9, 19.3, 18.8, 16.7, 15.0 (7 × CH3); Anal. Calcd for C49H61NO4: C, 80.84; H, 8.45; N, 1.92. found: C, 80.69; H, 8.68; N, 1.69; HRMS calcd for C37H50ClNO4 (M+H)+: 728.46734, found: 728.46869.
Benzyl oleanolic acid 3-oxime ester (B-06). The reaction was run similarly to that used to synthesize B-01. A white foamy solid B-06 was obtained in 72% yield. 1H-NMR (CDCl3): δ 7.36–6.85 (m, 9H, Ar-H), 5.29 (br s, 1 H, H-12), 5.08 (dd, 2H, J = 12.5, 17.4 Hz, Ar-CH2), 4.82 (s, 2 H, CH2C=O), 2.94–2.82 (m, 2H), 2.32–2.26 (m, 1H), 1.23, 1.12, 1.11, 0.98, 0.92, 0.90, 0.63 (s, 7 × 3H, CH3); 13C-NMR (CDCl3): 177.3 (COOBn), 176.0 (COONC), 167.9 (COONC), 156.5, 143.7 (C-13), 136.3, 129.4, 129.4, 128.4, 128.4, 127.9, 127.9, 127.9, 126.6, 122.1 (C-12), 116.1, 116.1 (aromatic carbons), 65.9, 65.4, 55.8, 47.1, 46.7, 45.7, 41.7, 41.5, 41.3, 39.2, 38.6, 36.9, 33.8, 33.0, 32.3, 30.6, 30.6, 27.5, 27.0, 25.7, 23.6, 23.4, 23.0, 23.0, 19.4, 18.9, 16.8, 15.0 (7 × CH3); Anal. Calcd for C45H58ClNO5: C, 74.20; H, 8.03; N, 1.92. found: C, 74.06; H, 8.29; N, 1.72; HRMS calcd for C37H50ClNO4 (M+H)+: 728.40763, found: 728.40668.
Benzyl oleanolic acid 3-oxime ester (B-07). The reaction was run similarly to that used to synthesize B-01. A white foamy solid B-07 was obtained in 75% yield. 1H-NMR (CDCl3): δ 8.80–7.27 (m, 9H, Ar-H), 5.30 (br s, 1 H, H-12), 5.08 (dd, 2H, J = 12.5, 17.4 Hz, Ar-CH2), 3.04–2.89 (m, 2H), 2.47–2.33 (m, 1H), 1.33, 1.18, 1.11, 1.01, 0.92, 0.89, 0.64 (s, 7 × 3H, CH3); 13C-NMR (CDCl3): 177.0 (COOBn), 176.0 (COONC), 162.2 (COONC), 143.5 (C-13), 136.2, 132.6, 132.1, 128.2, 128.2, 128.2, 127.7, 127.7, 127.7, 123.9, 121.9 (C-12), 116.8, 116.5 (aromatic carbons), 65.6, 55.6, 46.9, 46.4, 45.5, 41.5, 41.2, 41.2, 39.0, 38.5, 36.7, 33.6, 32.9, 32.1, 32.1, 30.4, 27.3, 26.9, 25.5, 23.4, 23.2, 22.9, 22.8, 19.8, 18.7, 16.6, 14.8 (7 × CH3); Anal. Calcd for C44H56FNO4: C, 77.50; H, 8.28; N, 2.05. found: C, 77.41; H, 8.41; N, 2.25; HRMS calcd for C37H50ClNO4 (M+H)+: 682.42661, found: 682.42645.
Benzyl oleanolic acid 3-oxime ester (B-08). The reaction was run similarly to that used to synthesize B-01. A white foamy solid B-08 was obtained in 78% yield. 1H-NMR (CDCl3): δ 7.93–7.26 (m, 9H, Ar-H), 5.29 (br s, 1 H, H-12), 5.08 (dd, 2H, J = 12.5, 17.4 Hz, Ar-CH2), 3.04–2.89 (m, 2H), 2.44–2.33 (m, 1H), 1.33, 1.19, 1.11, 1.02, 0.91, 0.89, 0.64 (s, 7 × 3H, CH3); 13C-NMR (CDCl3): 177.2 (COOBn), 176.3 (COONC), 163.4 (COONC), 143.8 (C-13), 136.3, 131.7, 131.7, 130.9, 130.9, 128.6, 128.3, 128.3, 128.0, 127.9, 127.9, 127.8 (aromatic carbons), 122.1 (C-12), 65.8, 55.7, 47.0, 46.6, 45.7, 41.7, 41.5, 41.4, 39.3, 38.6, 36.9, 33.7, 33.0, 32.3, 32.3, 30.6, 27.5, 27.2, 25.7, 23.5, 23.4, 23.2, 23.0, 19.8, 18.9, 16.8, 15.0 (7 × CH3); Anal. Calcd for C44H56BrNO4: C, 71.14; H, 7.60; N, 1.89. found: C, 71.35; H, 7.53; N, 1.60; HRMS calcd for C37H50ClNO4 (M+H)+: 742.34655, found: 742.34674.
Benzyl oleanolic acid 3-oxime ester (B-09). The reaction was run similarly to that used to synthesize B-01. A white foamy solid B-09 was obtained in 81% yield. 1H-NMR (CDCl3): δ 9.25–7.28 (m, 8H, Ar-H), 5.30 (br s, 1 H, H-12), 5.08 (dd, 2H, J = 12.5, 17.4 Hz, Ar-CH2), 3.06–2.89(m, 2H), 2.48–2.33 (m, 1H), 1.34, 1.20, 1.12, 1.03, 0.92, 0.90, 0.65 (s, 7 × 3H, CH3); 13C-NMR (CDCl3): 177.2 (COOBn), 176.7 (COONC), 162.8 (COONC), 153.3, 150.5, 143.7 (C-13), 136.9, 136.3, 128.3, 128.3, 127.9, 127.9, 127.8, 125.7, 123.4 (aromatic carbons), 122.0 (C-12), 65.8, 55.7, 47.0, 46.6, 45.7, 41.7, 41.6, 41.4, 39.2, 38.6, 36.9, 33.8, 33.0, 32.3, 32.2, 30.6, 27.5, 27.1, 25.7, 23.5, 23.4, 23.1, 23.0, 19.9, 18.9, 16.8, 15.0 (7 × CH3); Anal. Calcd for C43H56N2O4: C, 77.67; H, 8.49; N, 4.21. found: C, 77.73; H, 8.62; N, 4.03; HRMS calcd for C37H50ClNO4 (M+H)+: 665.43128, found: 665.43182.
Benzyl oleanolic acid 3-oxime ester (B-10). The reaction was run similarly to that used to synthesize B-01. A white foamy solid B-10 was obtained in 71% yield. 1H-NMR (CDCl3): δ 7.60–6.51(m, 8H, Ar-H), 5.29 (br s, 1 H, H-12), 5.08 (dd, 2H, J = 12.5, 17.4 Hz, Ar-CH2), 3.06–2.88 (m, 2H), 2.43–2.33 (m, 1H), 1.32, 1.25, 1.11, 1.02, 0.92, 0.89, 0.64 (s, 7 × 3H, CH3); 13C-NMR (CDCl3): 177.3 (COOBn), 176.3 (COONC), 156.6 (COONC), 146.4, 143.8, 143.7 (C-13), 136.4, 128.4, 128.4, 128.0, 128.0, 127.9, 122.1 (C-12), 118.0, 111.8 (aromatic carbons), 65.9, 55.7, 47.1, 46.7, 45.8, 41.7, 41.5, 41.4, 39.3, 38.7, 36.9, 33.8, 33.0, 32.3, 32.3, 30.6, 27.5, 27.2, 25.7, 23.6, 23.4, 23.2, 23.0, 19.8, 18.9, 16.8, 15.1 (7 × CH3); Anal. Calcd for C42H55NO5: C, 77.15; H, 8.48; N, 2.14. found: C, 77.01; H, 8.30; N, 2.27; HRMS calcd for C37H50ClNO4 (M+H)+: 654.41530, found: 654.41504.
Benzyl oleanolic acid 3-oxime ester(B-11). The reaction was run similarly to that used to synthesize B-01. A white foamy solid B-11 was obtained in 84% yield. 1H-NMR (CDCl3): δ 8.86–7.28 (m, 9H, Ar-H), 5.30 (br s, 1 H, H-12), 5.08 (dd, 2H, J = 12.5, 17.4 Hz, Ar-CH2), 3.06–2.90 (m, 2H), 2.50–2.48 (m, 1H), 1.35, 1.21, 1.12, 1.04, 0.92, 0.90, 0.65 (s, 7 × 3H, CH3); 13C-NMR (CDCl3): 177.2 (COOBn), 177.1 (COONC), 162.1 (COONC), 148.2, 143.7 (C-13), 136.3, 135.1, 131.4, 129.7, 128.3, 128.3, 127.9, 127.9, 127.8, 127.3, 124.2 (aromatic carbons), 122.0 (C-12), 65.8, 55.7, 47.0, 46.6, 45.7, 41.7, 41.6, 41.4, 39.2, 38.6, 36.9, 33.8, 33.0, 32.3, 32.2, 30.6, 27.5, 27.2, 25.7, 23.4, 23.4, 23.2, 22.9, 20.0, 19.0, 16.7, 15.0 (7 × CH3); Anal. Calcd for C44H56N2O6: C, 74.55; H, 7.96; N, 3.95. found: C, 74.30; H, 7.88; N, 3.68; HRMS calcd for C37H50ClNO4 (M+H)+: 709.42111, found: 709.42267.
Benzyl oleanolic acid 3-oxime ester (B-12). The reaction was run similarly to that used to synthesize B-01. A white foamy solid B-12 was obtained in 90% yield. 1H-NMR (CDCl3): δ 9.24–7.28 (m, 8H, Ar-H), 5.30 (br s, 1 H, H-12), 5.08 (dd, 2H, J = 12.5, 17.4 Hz, Ar-CH2), 3.04–2.88 (m, 2H), 2.54–2.51 (m, 1H), 1.35, 1.22, 1.13, 1.05, 0.92, 0.90, 0.65 (s, 7 × 3H, CH3); 13C-NMR (CDCl3): 178.0 (COOBn), 177.3 (COONC), 160.3 (COONC), 148.7, 143.8 (C-13), 136.3, 133.4, 129.2, 129.2, 128.4, 128.4, 128.0, 128.0, 127.9, 127.9, 122.3 (aromatic carbons), 122.0 (C-12), 65.9, 55.7, 47.1, 46.7, 45.8, 41.9, 41.7, 41.4, 39.3, 38.6, 37.0, 33.8, 33.0, 32.3, 32.3, 30.6, 27.5, 27.1, 25.7, 23.6, 23.4, 23.2, 23.0, 20.2, 18.9, 16.8, 15.1 (7 × CH3); Anal. Calcd for C44H55N3O8: C, 70.10; H, 7.35; N, 5.57. found: C, 70.43; H, 7.31; N, 5.85; HRMS calcd for C37H50ClNO4 (M+H)+: 754.40619, found: 754.40375.
Benzyl oleanolic acid 3-oxime ester (B-13). The reaction was run similarly to that used to synthesize B-01. A white foamy solid B-13 was obtained in 76% yield. 1H-NMR (CDCl3): δ 7.82–7.30 (m, 9H, Ar-H), 5.29 (br s, 1 H, H-12), 5.08 (dd, 2H, J = 12.5, 17.4 Hz, Ar-CH2), 3.07–2.88 (m, 2H), 2.42–2.32 (m, 1H), 1.32, 1.18, 1.12, 1.01, 0.92, 0.89, 0.64 (s, 7 × 3H, CH3); 13C-NMR (CDCl3): 177.3 (COOBn), 176.4 (COONC), 163.9 (COONC), 143.8 (C-13), 136.3, 133.1, 132.3, 131.3, 130.8, 130.2, 128.4, 128.4, 127.9, 127.9, 127.9, 126.6 (aromatic carbons), 122.1 (C-12), 65.9, 55.8, 47.1, 46.7, 45.7, 41.7, 41.6, 41.4, 39.2, 38.8, 36.9, 33.8, 33.0, 32.3, 32.3, 30.6, 27.5, 27.0, 25.7, 23.6, 23.4, 23.1, 23.0, 20.1, 18.9, 16.8, 15.1 (7 × CH3); Anal. Calcd for C44H56ClNO4: C, 75.67; H, 8.08; N, 2.01. found: C, 75.55; H, 8.12; N, 2.32; HRMS calcd for C37H50ClNO4 (M+H)+: 698.39706, found: 698.39709.
Benzyl oleanolic acid 3-oxime ester (B-14). The reaction was run similarly to that used to synthesize B-01. A white foamy solid B-14 was obtained in 79% yield. 1H-NMR (CDCl3): δ 8.80–7.27 (m, 9H, Ar-H), 5.30 (br s, 1 H, H-12), 5.08 (dd, 2H, J = 12.5, 17.4 Hz, Ar-CH2), 3.04–2.89 (m, 2H), 2.47–2.33 (m, 1H), 1.34, 1.20, 1.12, 1.03, 0.92, 0.90, 0.64 (s, 7 × 3H, CH3); 13C-NMR (CDCl3): 177.1 (COOBn), 176.9 (COONC), 162.5 (COONC), 150.4, 150.4, 143.7 (C-13), 136.8, 136.2, 128.2, 128.2, 128.2, 127.8, 127.8, 127.7, 122.6 (aromatic carbons), 121.9 (C-12), 65.7, 55.6, 46.9, 46.5, 45.6, 41.6, 41.5, 41.2, 39.1, 38.5, 36.8, 33.6, 32.9, 32.1, 32.1, 30.5, 27.4, 27.0, 25.6, 23.4, 23.2, 23.0, 22.8, 19.8, 18.8, 16.6, 14.9 (7 × CH3); Anal. Calcd for C43H56N2O4: C, 77.67; H, 8.49; N, 4.21. found: C, 77.35; H, 8.53; N, 4.02; HRMS calcd for C37H50ClNO4 (M+H)+: 665.43128, found: 665.43146.
Benzyl oleanolic acid 3-oxime ester (B-15). The reaction was run similarly to that used to synthesize B-01. A white foamy solid B-15 was obtained in 70% yield. 1H-NMR (CDCl3): δ 8.07–7.32 (m, 10H, Ar-H), 5.30 (br s, 1 H, H-12), 5.08 (dd, 2H, J = 12.5, 17.4 Hz, Ar-CH2), 3.08–2.88 (m, 2H), 2.47–2.31 (m, 1H), 1.35, 1.19, 1.12, 1.03, 0.92, 0.89, 0.65 (s, 7 × 3H, CH3); 13C-NMR (CDCl3): 177.3 (COOBn), 176.2 (COONC), 164.2 (COONC), 143.8 (C-13), 136.3, 132.9, 129.7, 129.4, 129.4, 128.4, 128.4, 128.4, 128.4, 127.9, 127.9, 127.9 (aromatic carbons), 122.1 (C-12), 65.9, 55.7, 47.1, 46.7, 45.7, 41.7, 41.5, 41.4, 39.3, 38.7, 36.9, 33.8, 33.0, 32.3, 32.3, 30.6, 27.5, 27.1, 25.7, 23.6, 23.4, 23.2, 23.0, 19.8, 18.9, 16.8, 15.1 (7 × CH3); Anal. Calcd for C44H57NO4: C, 79.60; H, 8.65; N, 2.11. found: C, 79.55; H, 8.83; N, 2.38; HRMS calcd for C37H50ClNO4 (M+H)+: 664.43606, found: 664.43500.

3.3. Enzyme Inhibitory Activities Bioassay

Inhibitory activity of all the synthesized compounds towards Candida albicans GlcN-6-P synthase was determined. The Candida albicans GFA1 gene encoding the enzyme was PCR amplified and cloned to a yeast expression vector pYES2.0, then induced expression using glactose in Saccharomyces cerevisiae. We used the further optimized Elson-Morgan method [14,15,16,17] to determine the activity of the enzyme from pyrophosphate extract in the presence of the synthesized compounds.
Assays were performed in potassium phosphate buffer (0.1M, pH7.0). Incubation mixture (0.4 mL volume) consisted of 15 mM D-Fru-6-P, 10 mM L-glutamine, 1 mM EDTA, 0.35 mM compounds. Following preincubation at 37 °C for 10 min, the enzymatic reaction was initiated by the addition of 0.02 unit of GlmS. The mixture was incubated at 37 °C for 30 min. Enzymatic reaction was terminated by boiling for 1 min. Aliquots of 0.2 mL of saturated NaHCO3 solution and 0.1 mL acetic anhydride/acetone mixture (10%v/v, prepared freshly before use) were added and the mixture was incubated at room temperature for 3 min. The acetylation was stopped by boiling for 3 min, followed by cooling on ice. An aliquot of 0.2 mL of 0.8 M K2B4O7 solution, pH 9.2, was added, the mixture was incubated at 100 °C for 3 min and cooled on ice. A 5 mL portion of the Elson-Morgan reagent (1 g of 4-dimethylaminobenzaldehyde dissolved in 100 mL of glacial acetic acid, containing 1.25 mL of concentrated HCl) was added and the resulting mixture was incubated for 20 min at 37 °C. Three replicates were performed. Absorbance at λ = 585 nm was measured and GlcN-6-P concentration in the sample was read from the standard curve [solutions of glucosamine-HCl (0.1–1 mM) were assayed simultaneously, to obtain a standard line from the plot of extinction against concentration of glucosamine]. In each experiment, two control samples, one without enzyme and one without substrates, were assayed in the same way.

3.4. Fungicidal Activity Bioassay

The mycelium growth rate test was used [18]. The culture media, with known concentration of the test compounds, were obtained by mixing the soln of compounds AB in methanol with potato dextrose agar (PDA), on which fungus cakes were placed. The blank test was made using methanol. The culture was carried out at 24 ± 0.5 °C. Three replicates were performed.

4. Conclusions

Twenty five oleanolic acid 3-oxime esters were designed and efficiently synthesized. The bioassays showed that they had inhibitory activities against glucosamine-6-phosphate synthase, and at the same time, they also exhibited some fungicidal activity against six tested fungi. Although the enzyme inhibitory activities of the target compound are not very obvious compared with the parent compound (OA), they exhibited much more fungicidal activity than the latter. All the compounds exhibited better fungicidal activity against R. solani and S. sclerotiorum. Further studies are in progress.

Supplementary Materials

Supplementary materials can be accessed at: https://www.mdpi.com/1420-3049/18/3/3615/s1.

Acknowledgments

This work was partially supported by NSFC of China (21172257), the National Basic Research Program of China (2010CB126105) and the National High Technology Research Program of China (2011AA10A206, 2011BAE06B02-01, 2012BAK25B03-01), and the Chinese Universities Scientific Fund (2011JS030).

References

  1. Durand, P.; Golinelli-Pimpaneau, B.; Mouilleron, S.; Badet, B.; Badet-Denisot, M.A. Highlights of glucosamine-6P synthase catalysis. Arch. Biochem. Biophys. 2008, 474, 302–317. [Google Scholar] [CrossRef]
  2. Brownlee, M. Biochemistry and molecular cell biology of diabetic complications. Nature 2001, 414, 813–820. [Google Scholar] [CrossRef]
  3. Buse, M.G. Hexosamines, insulin resistance, and the complications of diabetes: current status. Am. J. Physiol. Endocrinol. MeTable 2006, 290, E1–E8. [Google Scholar] [CrossRef]
  4. Mouilleron, S.; Badet-Denisot, M.A.; Badet, B.; Golinelli-Pimpaneau, B. Dynamics of glucosamine-6-phosphate synthase catalysis. Arch. Biochem. Biophys. 2011, 505, 1–12. [Google Scholar] [CrossRef]
  5. Ghosh, S.; Blumenthal, H.J.; Davidson, E.; Roseman, S. Glucosamine metabolism. V. enzymatic synthesis of glucosamine 6-phosphate. J. Biol. Chem. 1960, 235, 1265–1273. [Google Scholar]
  6. Valerio-Lepiniec, M.; Aumont-Nicaise, M.; Roux, C.; Raynal, B.; England, P.; Badet, B.; Badet-Denisot, M.A.; Desmadril, M. Analysis of the escherichia coli glucosamine-6-phosphate synthase activity by isothermal titration calorimetry and differential scanning calorimetry. Arch. Biochem. Biophys. 2010, 498, 95–104. [Google Scholar] [CrossRef]
  7. Borowski, E. Novel approaches in the rational design of antifungal agents of low toxicity. Il Farmaco. 2000, 55, 206–208. [Google Scholar] [CrossRef]
  8. Janiak, A.M.; Hoffmann, M.; Milewska, M.J.; Milewski, S. Hydrophobic derivatives of 2-amino-2-deoxy-D-glucitol-6-phosphate: A new type of D-glucosamine-6-phosphate synthase inhibitors with antifungal action. Bioorg. Med. Chem. 2003, 11, 1653–1662. [Google Scholar] [CrossRef]
  9. Liu, Y.; Hartley, D.P.; Liu, J. Protection against carbon tetrachloride hepatotoxicity by oleanolic acid is not mediated through metallothionein. Toxicol. Lett. 1998, 95, 77–85. [Google Scholar]
  10. Jeong, H.G. Inhibition of cytochrome P450 2E1 expression by oleanolic acid: hepatoprotective effects against carbon tetrachloride-induced hepatic injury. Toxicol. Lett. 1999, 105, 215–222. [Google Scholar] [CrossRef]
  11. Liu, J.; Liu, Y.; Parkinson, A.J. Effect of oleanolic acid on hepatic toxicant-activating and detoxifying systems in mice. Pharmacol. Exp. Ther. 1995, 275, 768–774. [Google Scholar]
  12. Singh, G.B.; Singh, S.; Bani, S.; Gupta, B.D.; Banerjee, S.K. Anti-inflammatory activity of oleanolic acid in rats and mice. J. Pharm. Pharmacol. 1992, 44, 456–458. [Google Scholar] [CrossRef]
  13. Mengoni, F.; Lichtner, M.; Battinelli, L.; Marzi, M.; Mastroianni, C.M.; Mazzanti, G. In vitro anti-HIV activity of oleanolic acid on infected human mononuclear cells. Planta Med. 2002, 68, 111–114. [Google Scholar] [CrossRef]
  14. Zhu, Y.M.; Shen, J.K.; Wang, H.K.; Cosentino, L.M.; Lee, K.H. Synthesis and anti-HIV activity of oleanolic acid derivatives. Bioorg. Med. Chem. Lett. 2001, 11, 3115–3118. [Google Scholar] [CrossRef]
  15. Hsu, H.Y.; Yang, J.J.; Lin, C.C. Effects of oleanolic acid and ursolic acid on inhibiting tumor growth and enhancing the recovery of hematopoietic system postirradiation in mice. Cancer Lett. 1997, 111, 7–13. [Google Scholar] [CrossRef]
  16. Tan, G.T.; Lee, S.; Lee, I.S. Natural-product inhibitors of human DNA ligase I. Biochem. J. 1996, 314, 993–1000. [Google Scholar]
  17. Mahato, S.B.; Garai, S. Triterpenoid saponins. Progr. Chem. Org. Nat. Prod. 1998, 74, 1–196. [Google Scholar]
  18. Kaminskyy, D.; Bednarczyk-Cwynar, B.; Vasylenko, O.; Kazakova, O.; Zimenkovsky, B.; Zaprutko, L.; Lesyk, R. Synthesis of new potential anticancer agents based on 4-thiazolidinone and oleanane scaffolds. Med. Chem. Res. 2012, 21, 3568–3580. [Google Scholar] [CrossRef]
  19. Vidya, S.M.; Krishna, V.; Manjunatha, B.K.; Rajesh, K.P.G.; Bharath, B.R.; Manjunatha, H. Antibacterial and molecular docking studies of entagenic acid, A bioactive principle from seed kernel of Entada pursaetha DC. Med. Chem. Res. 2012, 21, 1016–1022. [Google Scholar] [CrossRef]
  20. Papadopoulou, K.; Melton, R.E.; Legget, M.; Daniels, M.J.; Osbourn, A.E. Compromised disease resistance in saponin-deficient plants. Proc. Natl. Acad. Sci.USA 1999, 96, 12923–12928. [Google Scholar] [CrossRef]
  21. Xu, X.J.; Lai, S.G.; Ji, M.H.; Zhu, G.N.; Zhao, J.H. Synthesis, Characterization and insecticidal activity of milbemycin analogues. Chin. J. Org. Chem. 2012, 32, 1084–1092. [Google Scholar] [CrossRef]
  22. Zhao, H.Q.; Zong, G.H.; Zhang, J.J.; Wang, D.Q.; Liang, X.M. Synthesis and anti-fungal activity of seven oleanolic acid glycosides. Molecules 2011, 16, 1113–1128. [Google Scholar] [CrossRef]
  23. Chen, J.; Liu, J.; Zhang, L.Y.; Wu, G.Z.; Hua, W.Y.; Wu, X.M.; Sun, H.B. Pentacyclic triterpenes. Part3: Synthesis and biological evaluation of oleanolic acid derivatives as novel inhibitors of glycogen phosphorylase. Bioorg. Med. Chem. Lett. 2006, 16, 2915–2919. [Google Scholar] [CrossRef]
  24. Wen, X.A.; Liu, J.; Zhang, L.Y.; Ni, P.Z.; Sun, H.B. Synthesis and biological evaluation of arjunolic acid, Bayogenin, Hederagonic acid and 4-epi-hederagonic acid as glycogen phosphorylase inhibitors. Chin. J. Nat. Med. 2010, 8, 441–448. [Google Scholar]
  25. Chittur, S.V.; Griffith, R.K. Multisubstrate analogue inhibitors of glucosamine-6-phosphate synthase from candida albicans. Bioorg. Med. Chem. Lett. 2002, 12, 2639–2642. [Google Scholar] [CrossRef]
  26. Bearne, S.L. Active site-directed inactivation of escherichia coli glucosamine-6-phosphate synthase. J. Biol. Chem. 1996, 271, 3052–3057. [Google Scholar]
  27. Dias, D.F.; Roux, C.; Durand, P.; Iorga, B.; Badet-Denisot, M.A.; Badet, B.; Alves, R.J. Design, Synthesis and In Vitro evaluation on glucosamine-6P synthase of aromatic analogs of 2-aminohexitols-6P. J. Braz. Chem. Soc. 2010, 21, 680–685. [Google Scholar] [CrossRef]
  28. Chen, N.C. Bioassay of Pesticides; Beijing Agricultural University Press: Beijing, China, 1991; pp. 161–162. [Google Scholar]
  29. Olchowy, J.; Kur, K.; Sachadyn, P. Construction, purification, and functional characterization of his-tagged candida albicans glucosamine-6-phosphate synthase expressed in escherichia coli. Protein Expres. Purif. 2006, 46, 309–315. [Google Scholar] [CrossRef]
  • Sample Availability: Samples of the compounds A and B are available from the authors.

Share and Cite

MDPI and ACS Style

Zhao, H.; Zhou, M.; Duan, L.; Wang, W.; Zhang, J.; Wang, D.; Liang, X. Efficient Synthesis and Anti-Fungal Activity of Oleanolic Acid Oxime Esters. Molecules 2013, 18, 3615-3629. https://doi.org/10.3390/molecules18033615

AMA Style

Zhao H, Zhou M, Duan L, Wang W, Zhang J, Wang D, Liang X. Efficient Synthesis and Anti-Fungal Activity of Oleanolic Acid Oxime Esters. Molecules. 2013; 18(3):3615-3629. https://doi.org/10.3390/molecules18033615

Chicago/Turabian Style

Zhao, Hanqing, Minjie Zhou, Lifeng Duan, Wei Wang, Jianjun Zhang, Daoquan Wang, and Xiaomei Liang. 2013. "Efficient Synthesis and Anti-Fungal Activity of Oleanolic Acid Oxime Esters" Molecules 18, no. 3: 3615-3629. https://doi.org/10.3390/molecules18033615

APA Style

Zhao, H., Zhou, M., Duan, L., Wang, W., Zhang, J., Wang, D., & Liang, X. (2013). Efficient Synthesis and Anti-Fungal Activity of Oleanolic Acid Oxime Esters. Molecules, 18(3), 3615-3629. https://doi.org/10.3390/molecules18033615

Article Metrics

Back to TopTop