Antioxidant Activity of the Extracts of Some Cowpea (Vigna unguiculata (L) Walp.) Cultivars Commonly Consumed in Pakistan
Abstract
:1. Introduction
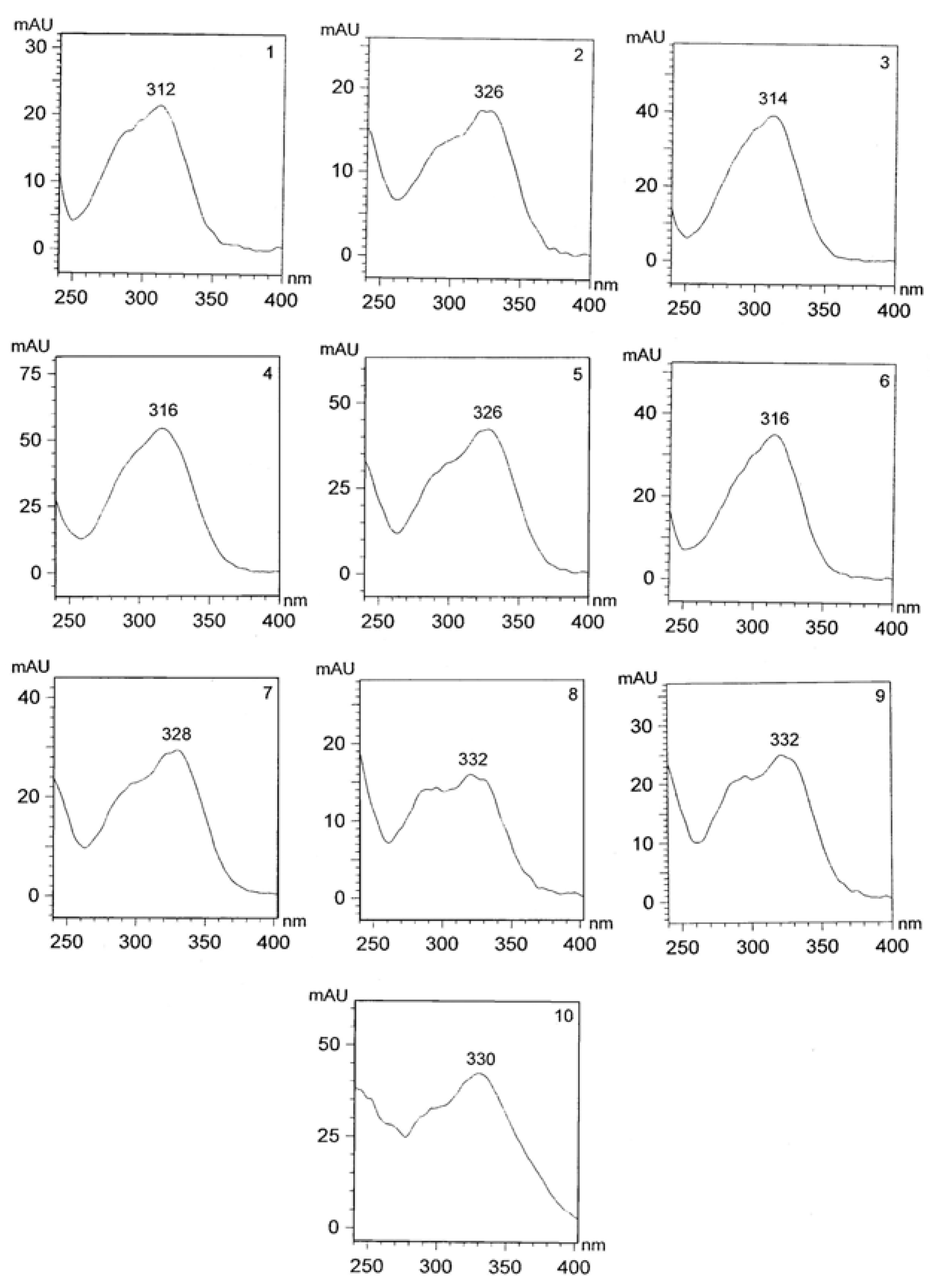
2. Results and Discussion
3. Experimental
3.1. Plant Material and Chemicals
3.2. Extraction
3.3. Total Phenolics and Condensed Tannins Contents
3.4. RP-HPLC
3.5. DPPH Radical Scavenging Activity
3.6. Ferric-Reducing Antioxidant Power (FRAP) Assay
3.7. Oxygen Radical-Absorbing Capacity (ORAC) Assay
3.8. Total Radical-Trapping Antioxidant Potential (TRAP) Assay
3.9. Hydroxyl Radical Scavenging Activity
3.10. Superoxide Radical Scavenging Activity
3.11. Nitric Oxide Scavenging Activity
3.12. Antioxidant Activity in Linoleic Acid System
3.13. Statistical Analysis
4. Conclusions
References
- Summerfield, R.J.; Huxley, P.A.; Steelle, W. Cowpea (Vigna unguiculata L. Walp). Field Crop Abstr. 1974, 27, 301–312. [Google Scholar]
- Fery, R.L. New Opportunities in Vigna. In Trends in New Crops and New Ideas; Jamik, J., Whipkey, A., Eds.; ASHS Press: Alexandria, VA, USA, 2000; pp. 424–428. [Google Scholar]
- Quin, F.M. Introduction. In Advances in Cowpea Research; Singh, B.B., Raj, D.R.M., Dushiell, K.E., Jackai, L.E.N., Eds.; Copublication of International Institute of Tropical Agriculture (IITA) and Japan International Research Center for Agricultural Sciences (JIRCAS), IITA: Ibadan, Nigeria, 1997. [Google Scholar]
- Ashraduzzaman, M.; Alam, M.A.; Khatun, S.; Banu, S.; Absar, N. Vigna unguiculata linn. Walp. seed oil exhibiting antidiabetic effects in alloxan induced diabetic rats. Mal. J. Pharm. Sci. 2011, 9, 13–23. [Google Scholar]
- Ahmad, S.; Akhter, M.; Zia-Ul-Haq, M.; Mehjabeen, A.S. Antifungal and nematicidal activity of selected legumes of Pakistan. Pak. J. Bot. 2010, 42, 1327–1331. [Google Scholar]
- Chopra, R.N.; Nayar, S.L.; Chopra, I.C. Glossary of Indian Medicinal Plants (Including the Supplement); Council of Scientific and Industrial Research: New Delhi, India, 1986. [Google Scholar]
- Zia-Ul-Haq, M.; Ahmad, S.; Chiavaro, E.; Mehjabeen; Ahmed, S. Studies of oil from cowpea (Vigna unguiculata (L) walp.) cultivars commonly grown in Pakistan. Pak. J. Bot. 2010, 42, 1333–1341. [Google Scholar]
- Zia-Ul-Haq, M.; Ahmad, S.; Calani, L.; Mazzeo, T.; Del Rio, D.; Pellegrini, N.; de Feo, V. Compositional study and antioxidant potential of Ipomoea hederacea Jacq. and Lepidium sativum L. seeds. Molecules 2012, 17, 10306–10321. [Google Scholar] [CrossRef] [PubMed]
- Siddhuraju, P.; Becker, K. The antioxidant and free radical scavenging activities of processed cowpea (Vigna unguiculata (L.) Walp.) seed extracts. Food Chem. 2007, 101, 10–19. [Google Scholar] [CrossRef]
- Zia-Ul-Haq, M.; Ahmad, S.; Iqbal, S.; Luthria, D.L.; Amarowicz, R. Antioxidant potential of lentil cultivars commonly consumed in Pakistan. Oxid. Comm. 2011, 34, 819–831. [Google Scholar]
- Zia-Ul-Haq, M.; Iqbal, S.; Ahmad, S.; Bhanger, M.I.; Wiczkowski, W.; Amarowicz, R. Antioxidant potential of desi chickpea varieties commonly consumed in Pakistan. J. Food Lipids 2008, 15, 326–342. [Google Scholar] [CrossRef]
- Awika, J.M.; Rooney, L.W.; Wu, X.; Prior, R.L.; Zevallos, L.C. Screening methods to measure antioxidant activity of sorghum (Sorghum bicolor) and sorghum products. J. Agric. Food Chem. 2003, 51, 6657–6662. [Google Scholar] [CrossRef] [PubMed]
- Amarowicz, R.; Troszynska, A.; Barylko-Pikielna, N.; Shahidi, F. Extracts of polyphenolics from legume seeds – correlation between their total antioxidant activity, total phenolics content, tannins content and astringency. J. Food Lipids 2004, 11, 278–286. [Google Scholar] [CrossRef]
- Troszynska, A.; Estrella, I.; López-Amóres, M.L.; Hernóndez, T. Antioxidant activity of pea (Pisum sativum L.) seed coat acetone extract. LWT-Food Sci. Technol. 2002, 35, 158–164. [Google Scholar] [CrossRef]
- Amarowicz, R.; Estrella, I.; Hernández, T.; Dueñas, M.; Troszynska, A.; Kosinska, A.; Pegg, R.B. Antioxidant activity of a red lentil extract and its fractions. Int. J. Mol. Sci. 2009, 10, 5513–5527. [Google Scholar] [CrossRef] [PubMed]
- Amarowicz, R.; Estrella, I.; Hernández, T.; Robredo, S.; Troszyńska, A.; Kosińska, A.; Pegg, R.B. Free radical-scavenging capacity, antioxidant activity, and phenolic composition of green lentil (Lens culinaris). Food Chem. 2010, 121, 705–711. [Google Scholar] [CrossRef]
- Karamać, M.; Amarowicz, R.; Weidner, S.; Shahidi, F. Antioxidative activity of phenolic fractions of white bean (Phaseolus vulgaris L.). J. Food Lipids 2004, 11, 165–177. [Google Scholar] [CrossRef]
- Amarowicz, R.; Estrella, I.; Hernández, T.; Troszyńska, A. Antioxidant activity of extract of adzuki bean and its fractions. J. Food Lipids 2008, 15, 119–136. [Google Scholar] [CrossRef]
- Amarowicz, R.; Troszynska, A. Antioxidant activity of extract of pea and its fractions of low molecular phenolics and tannins. Pol. J. Food Nutr. Sci. 2003, 12, 10–15. [Google Scholar]
- Amarowicz, R.; Karamac, M.; Weidner, S. Antioxidative activity of phenolic fractions of pea (Pisum sativum). Czech J. Food Sci. 2001, 19, 139–142. [Google Scholar] [CrossRef]
- Kris-Etherton, P.M.; Hecker, K.D.; Bonanome, A.; Coval, S.M.; Binkoski, A.E.; Hilpert, K.F. Bioactive compounds in foods: Their role in the prevention of cardiovascular disease and cancer. Am. J. Med. 2002, 113, 71S–88S. [Google Scholar] [CrossRef]
- Kushi, L.H.; Meyer, K.A.; Jacobs, D.R. Cereals, legumes, and chronic disease risk reduction: Evidence from epidemiological studies. Am. J. Clin. Nutr. 1999, 70, 451S–458S. [Google Scholar] [CrossRef] [PubMed]
- Amarowicz, R.; Karamac, M.; Kmita-Glazewska, H.; Troszynska, A.; Kozlowska, H. Antioxidant activity of phenolic fractions of everlasting pea, faba bean and broad bean. J. Food Lipids 1996, 3, 199–211. [Google Scholar] [CrossRef]
- Amarowicz, R.; Naczk, M.; Zadernowski, R.; Shahidi, F. Antioxidative activity of condensed tannins of beach pea, canola hulls, evening primrose, and faba bean. J. Food Lipids 2000, 7, 195–205. [Google Scholar] [CrossRef]
- Amarowicz, R.; Karamac, M.; Shahidi, F. Antioxidative activity of phenolic fractions of lentil (Lens culinaris). J. Food Lipids 2003, 10, 1–10. [Google Scholar] [CrossRef]
- Amarowicz, R.; Troszynska, A.; Pegg, R.B. Antioxidative and radical scavenging effects of phenolics from (Vicia sativum). Fitoterapia 2008, 79, 121–122. [Google Scholar] [CrossRef] [PubMed]
- Zia-Ul-Haq, M.; Cavar, S.; Qayum, M.; Imran, I.; de Feo, V. Compositional studies, antioxidant and antidiabetic activities of Capparis decidua (Forsk.) Edgew. Int. J. Mol. Sci. 2011, 12, 8846–8861. [Google Scholar] [CrossRef] [PubMed]
- Hochestein, P.; Atallah, A.S. The nature of oxidant and antioxidant systems in the inhibition of mutation and cancer. Mutat. Res. 1988, 202, 363–375. [Google Scholar] [CrossRef]
- Manian, R.; Anusuya, N.; Siddhuraju, P.; Manian, S. The antioxidant activity and free radical scavenging potential of two different solvent extracts of Camellia sinensis (L.) O. Kuntz, Ficus bengalensis L. and Ficus racemosa L. Food Chem. 2008, 107, 1000–1007. [Google Scholar] [CrossRef]
- Babu, B.H.; Shylesh, B.S.; Padikkala, J. Antioxidant and hepatoprotective effect of Alanthus icicifocus. Fitoterapia 2001, 72, 272–277. [Google Scholar] [CrossRef]
- Zia-Ul-Haq, M.; Shahid, S.A.; Ahmad, S.; Qayum, M.; Khan, I. Antioxidant potential of various parts of Ferula assafoetida L. J. Med. Plant. Res. 2012, 6, 3254–3258. [Google Scholar] [CrossRef]
- Yoshiki, Y.; Sirakura, T.; Okuda, K.; Okubo, K.; Sakabe, T.; Ngoya, I.; Ta-Mura, N. Hydrophilic Oxygen Radical Scavengers in the Leguminous Seeds and Derived Foods. In Agri-Food Quality. An Interdisciplinary Approach; Fenwick, G.R., Hedley, C., Richards, R.L., Khokahr, S., Eds.; The Royal Society of Chemistry: Cambridge, UK, 1996; pp. 360–365. [Google Scholar]
- Raab, B.; Hempel, J.; Bohm, H. Antioxidtive and Antigenotoxic Properties of Flavonoids Prevailing in Vegetable. In Agri-Food Quality. An Interdisciplinary Approach; Fenwick, G.R., Hedley, C., Richards, R.L., Khokahr, S., Eds.; The Royal Society of Chemistry: Cambridge, UK, 1996; pp. 369–371. [Google Scholar]
- Amarowicz, R.; Raab, B. Antioxidative activity of leguminous seed extracts evaluated by chemiluminescence methods. Z. Naturforsch. 1997, 52c, 709–712. [Google Scholar] [CrossRef]
- Ariga, T.; Hamano, M. Radical scavenging action and its mode in procyanidins B-1 and B-3 from adzuki beans to peroxyl radicals. Agric. Biol. Chem. 1990, 54, 2499–2504. [Google Scholar]
- Zieliński, H. Peroxyl radical-trapping capacity of germinated legume seeds. Nahrung 2002, 46, 100–104. [Google Scholar] [CrossRef]
- Zhou, K.; Yu, L. Total phenolic contents and its antioxidant properties of commonly consumed vegetables grown in Colorado. LWT-Food Sci. Technol. 2006, 39, 1155–1162. [Google Scholar] [CrossRef]
- Troszyńska, A.; Kubicka, E. Superoxide scavenging activity of seed coat extracts from legume seeds. Pol. J. Food Nutr. Sci. 2001, 10, 55–59. [Google Scholar]
- Singleton, C.L.; Rossi, J.A. Colorimetry of total phenolics with phosphomolybdic-phosphotungstic acid reagents. Am. J. Enol. Viticult. 1965, 16, 144–158. [Google Scholar]
- Heimler, D.; Vignolini, P.; Dini, M.G.; Romani, A. Rapid tests to assess the antioxidant activity of Phaseolus vulgaris L. dry bean. J. Agric. Food Chem. 2005, 53, 3053–3056. [Google Scholar] [CrossRef] [PubMed]
- Xu, B.J.; Chang, S.K.C. A comparative study on phenolic profiles and antioxidant activities of legumes as affected by extraction solvents. J. Food Sci. 2007, 72, S159–S166. [Google Scholar] [CrossRef] [PubMed]
- Broadhurst, R.B.; Jones, W.T. Analysis of condensed tannins using acidified vanillin. J. Sci. Food Agric. 1978, 29, 788–794. [Google Scholar] [CrossRef]
- Crozier, A.; Jensen, E.; Lean, M.E.I.; McDonald, M.S. Quantitative analysis of flavonoids by reverse-phase high performance liquid chromatography. J. Chromatogr. A 1997, 761, 315–321. [Google Scholar] [CrossRef]
- Chen, C.W.; Ho, C.T. Antioxidant properties of polyphenols extracted from green and black teas. J. Food Lipids 1995, 2, 35–46. [Google Scholar] [CrossRef]
- Benzie, I.F.F.; Strain, J.J. Ferric reducing/antioxidant power assay: Direct measure of total antioxidant activity of biological fluids and modified version for simultaneous measurement of total antioxidant power and ascorbic acid concentration. Methods Enzymol. 1999, 299, 15–27. [Google Scholar] [PubMed]
- Wu, X.L.; Beecher, G.R.; Holden, J.M.; Haytowitz, D.B.; Gebhardt, S.E.; Prior, R. Lipophilic and hydrophilic antioxidant capacities of common foods in the United States. J. Agric. Food Chem. 2004, 52, 4026–4037. [Google Scholar] [CrossRef] [PubMed]
- Prior, R.L.; Hoang, H.; Gu, L.W.; Wu, X.L.; Bacchiocca, M.; Howard, L.; Hampsch-Woodill, M.; Huang, D.J.; Ou, B.X.; Jacob, R. Assay for hydrophilic and lipophilic antioxidant capacity (oxygen radical absorbance capacity (ORACFL) of plasma and other biological and food samples. J. Agric. Food Chem. 2003, 51, 3273–3279. [Google Scholar] [CrossRef] [PubMed]
- Ghiselli, A.; Serafini, M.; Maiani, G.; Azzini, E.; Ferro-Luzzi, A. A fluorescence-based method for measuring total plasma antioxidant capability. Free Radic. Biol. Med. 1995, 18, 29–36. [Google Scholar] [CrossRef]
- Halliwell, B.; Gutteridge, J.M.C.; Amoma, O.L. The deoxyribose method: a simple test tube assay for the determination of rate constant for reaction of hydroxyl radical. Anal. Biochem. 1987, 165, 215–219. [Google Scholar] [CrossRef]
- Sabu, M.C.; Ramadasan, K. Anti-diabetic activity of medicinal plants and its relationship with their antioxidant property. J. Ethanopharmacol. 2002, 81, 155–160. [Google Scholar] [CrossRef]
- Marcocci, L.; Maguire, J.J.; Droy, M.T. The nitric oxide scavenging properties of Gingo biloba extract EGb 761. Biochem. Biophys. Res. Commun. 1994, 15, 748–755. [Google Scholar] [CrossRef]
- Osawa, T.; Namiki, M. A novel type of antioxidant isolated from leaf wax of eucalyptus leaves. Agric. Biol. Chem. 1981, 45, 735–739. [Google Scholar] [CrossRef]
- Yen, G.C.; Duh, P.D. Scavenging effect of methanolic extracts of peanut hulls on free-radical and active-oxygen species. J. Agric. Food Chem. 1994, 42, 629–632. [Google Scholar] [CrossRef]
Sample Availability: Not available. |


| Contents | CP1 | CP2 | White star | SA dandy |
|---|---|---|---|---|
| Total phenolics | 11.9 ± 0.2 c | 14.0 ± 0.1 b | 19.32 ± 0.1 a | 16.2 ± 0.1 b |
| Condensed tannins | 14.9 ± 0.2 c | 19.2 ± 0.4 b | 25.4 ± 0.4 a | 20.9 ± 0.6 b |
| Compound | CP1 | CP2 | White star | SA dandy |
|---|---|---|---|---|
| 1 | 0.033 ± 0.002 b | 0.029 ± 0.002 b | 0.060 ± 0.003 a | 0.057 ± 0.002 a |
| 2 (neochlorogenic acid) | 0.127 ± 0.006 c | 0.130 ± 0.006 c | 0.221 ± 0.010 a | 0.178 ± 0.009 b |
| 3 | 0.073 ± 0.003 c | 0.070 ± 0.003 c | 0.120 ± 0.005 a | 0.113 ± 0.005 b |
| 4 | 0.161 ± 0.008 c | 0.127 ± 0.006 d | 0.245 ± 0.012 a | 0.223 ± 0.010 b |
| 5 (chlorogenic acid) | 1.45 ± 0.07 d | 1.79 ± 0.09 c | 2.69 ± 0.13 a | 2.31 ± 0.12 b |
| 6 | 0.104 ± 0.005 c | 0.092 ± 0.003 d | 0.121 ± 0.007 a | 0.116 ± 0.005 b |
| 7 (caffeic acid) | 0.466 ± 0.022 d | 0.884 ± 0.042 a | 0.602 ± 0.031 b | 0.502 ± 0.028 c |
| 8 | 0.115 ± 0.007 c | 0.114 ± 0.005 c | 0.302 ± 0.013 a | 0.281 ± 0.013 b |
| 9 | 0.278 ± 0.012 d | 0.369 ± 0.019 c | 0.428 ± 0.020 a | 0.397 ± 0.020 b |
| 10 | 0.355 ± 0.015 c | 0.292 ± 0.014 d | 0.769 ± 0.035 a | 0.674 ± 0.031 b |
| Assay | CP1 | CP2 | White star | SA dandy |
|---|---|---|---|---|
| DPPH (µmol Trolox/g) | 25.1 ± 0.6 b | 27.9 ± 0.7 b | 32.5 ± 0.2 a | 28.2 ± 0.4 b |
| FRAP (mmol Fe2+/g) | 15.5 ± 0.2 b | 13.2 ± 0.4 b | 19.4 ± 0.2 a | 18.0 ± 0.6 a |
| ORAC (µmol Trolox/g) | 86.7 ± 1.2 b | 83.8 ± 1.0 b | 96.2 ± 0.9 a | 89.7 ± 1.4 b |
| Inhibition of linoleic acid peroxidation (%) | 88.1 ± 2.0 c | 93.4 ± 1.8 ab | 96.6 ± 2.3 a | 90.2 ± 1.5 bc |
| TRAP (μmol Trolox/g) | 65.6 ± 1.1 c | 73.0 ± 0.9 b | 87.3 ± 1.2 a | 77.6 ± 0.3 b |
| Scavenging activity | CP1 | CP2 | White star | SA dandy |
|---|---|---|---|---|
| Against hydroxyl radical | 92.4 ± 1.1 a | 84.3 ± 0.2 b | 80.6 ± 0.4 c | 86.5 ± 1.0 b |
| Against nitric oxide radical | 138 ± 2 a | 125 ± 1 b | 108 ± 0.4 d | 113 ± 1.0 c |
| Against superoxide radical | 112 ± 1 a | 103± 1 b | 91.2 ± 0.9 d | 97.0 ± 1.4 c |
© 2013 by the authors; licensee MDPI, Basel, Switzerland. This article is an open access article distributed under the terms and conditions of the Creative Commons Attribution license (http://creativecommons.org/licenses/by/3.0/).
Share and Cite
Zia-Ul-Haq, M.; Ahmad, S.; Amarowicz, R.; De Feo, V. Antioxidant Activity of the Extracts of Some Cowpea (Vigna unguiculata (L) Walp.) Cultivars Commonly Consumed in Pakistan. Molecules 2013, 18, 2005-2017. https://doi.org/10.3390/molecules18022005
Zia-Ul-Haq M, Ahmad S, Amarowicz R, De Feo V. Antioxidant Activity of the Extracts of Some Cowpea (Vigna unguiculata (L) Walp.) Cultivars Commonly Consumed in Pakistan. Molecules. 2013; 18(2):2005-2017. https://doi.org/10.3390/molecules18022005
Chicago/Turabian StyleZia-Ul-Haq, Muhammad, Shakeel Ahmad, Ryszard Amarowicz, and Vincenzo De Feo. 2013. "Antioxidant Activity of the Extracts of Some Cowpea (Vigna unguiculata (L) Walp.) Cultivars Commonly Consumed in Pakistan" Molecules 18, no. 2: 2005-2017. https://doi.org/10.3390/molecules18022005
APA StyleZia-Ul-Haq, M., Ahmad, S., Amarowicz, R., & De Feo, V. (2013). Antioxidant Activity of the Extracts of Some Cowpea (Vigna unguiculata (L) Walp.) Cultivars Commonly Consumed in Pakistan. Molecules, 18(2), 2005-2017. https://doi.org/10.3390/molecules18022005

