A New Tetrahydrofuran Lignan Diglycoside from Viola tianshanica Maxim
Abstract
:1. Introduction

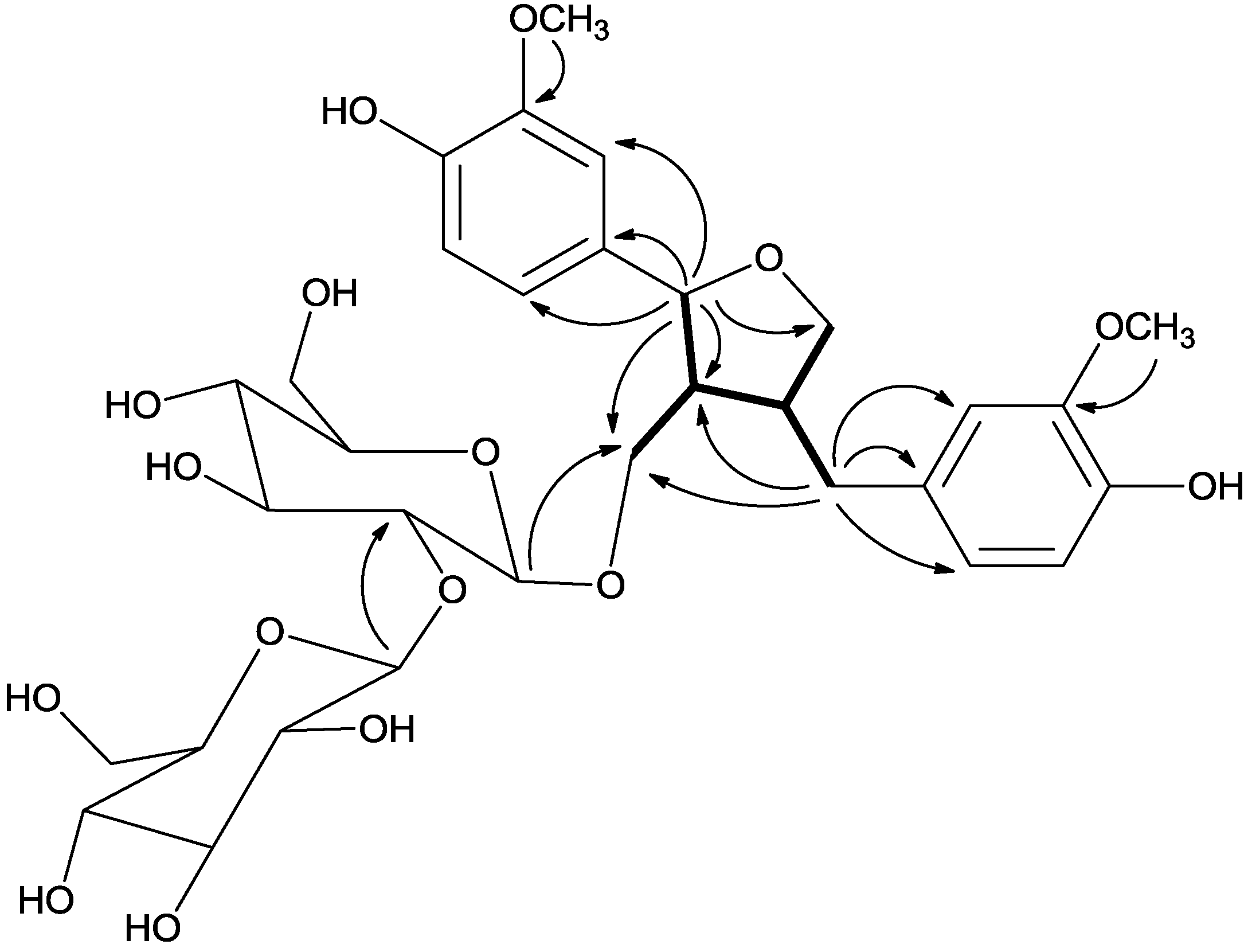
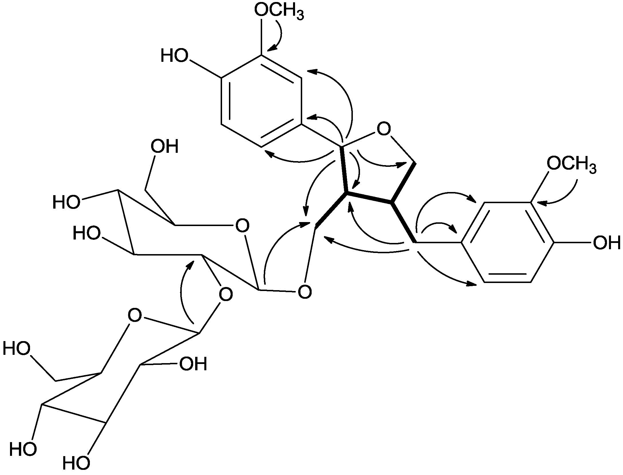
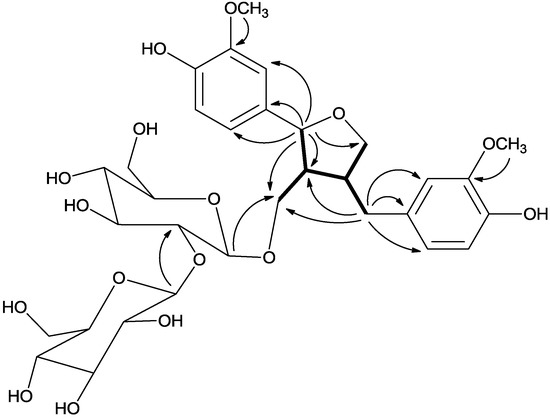
2. Results and Discussion
| No. | δH | δc | No. | δH | δc |
|---|---|---|---|---|---|
| 1 | - | 134.4 | 8′ | 2.62 m | 42.1 |
| 2 | 6.82 brs | 110.1 | 9′ | 3.54 dd (7.6, 7.6), 3.82 dd (7.5, 7.5) | 72.3 |
| 3 | - | 147.7 | C-3-OMe | 3.72 s | 55.6 |
| 4 | - | 145.5 | C-3′-OMe | 3.72 s | 55.6 |
| 5 | 6.64 d (8.0) | 115.3 | Glc-1′′ | 4.32 d (7.7) | 101.4 |
| 6 | 6.68 brs | 118.7 | 2′′ | 3.30 m | 81.9 |
| 7 | 4.76 d (6.4) | 81.7 | 3′′ | 3.13 m | 76.2 |
| 8 | 2.31 m | 50.1 | 4′′ | 3.13 m | 69.7 |
| 9 | 3.64 m, 3.88 dd (9.5, 6.4) | 66.7 | 5′′ | 3.41 m | 76.3 |
| 1′ | - | 131.8 | 6′′ | 3.44 m, 3.66 m | 60.8 |
| 2′ | 6.73 d (1.4) | 112.9 | Glc-1′′′ | 4.43 d (7.8) | 104.4 |
| 3′ | - | 147.3 | 2′′′ | 2.99 m | 74.7 |
| 4′ | - | 144.5 | 3′′′ | 3.13 m | 76.7 |
| 5′ | 6.69 brs | 115.0 | 4′′′ | 3.03 m | 69.9 |
| 6′ | 6.62 dd (8.0, 1.4) | 120.8 | 5′′′ | 3.03 m | 77.0 |
| 7′ | 2.82 dd (13.5, 4.3), 2.36 dd (13.0, 11.8) | 32.4 | 6′′′ | 3.99 dd (9.5, 6.4), 3.58 m | 61.1 |


= +15.1°) with literature reports [19,20,21]. These data agreed well with the circular dichroism spectrum of 1. The positive Cotton effect [Δε: + 4.35 (215 nm)] of 1 was in good agreement with that of (7S,8R,8′R)-5,5′-dimethoxylariciresinol 9′-O-β-d-glucopyranoside [Δε: +11.1 (211 nm)] [18] and the negative Cotton effect [Δε: −2.26 (291 nm)] of 1 was similar with that of (+)-lariciresinol 4′-O-β-d-glucopyranoside [Δε: −0.47 (280 nm)] [22] and (+)-lariciresinol 9′-stearate (289 nm) [23]. In summary, the structure of 1 was established as (7S,8R,8′R)-(+) lariciresinol 9-O-β-d-glucopyranosyl (1→2)-β-d-glucopyranoside, and named tianshanoside A. This new compound is a lariciresinol 9-O-diglucoside derivative, while its monoglucoside (lariciresinol 9-O-glucoside) had previously been isolated from the root of Isatis indigotica [24]. This is the first report of isolation of a lignan skeleton from the genus Viola.3. Experimental
3.1. General Procedures
3.2. Plant Material
3.3. Extraction and Isolation
3.4. Spectral Data
= +15.1° (c 0.20, MeOH); IR (KBr) νmax 3,387 (HO), 2,924, 1,637, 1,513 (benzene rings), 1,452, 1,249, 1,121, 1,060, 764, 617 cm−1; UV (MeOH) λmax 230, 280 nm; Circular dichrosim (MeOH): 215 (Δε + 4.35), 291 (Δε −2.26) nm; 1H- and 13C-NMR data, see Table 1; ESI-MS m/z 707 [M + Na]+; HRESIMS m/z 707.2531 [M + Na]+ (calcd for C32H44O16Na, 707.2521).3.5. Cytotoxicity Evaluation
4. Conclusions
Acknowledgments
Conflicts of Interest
References
- Editorial Committee of Chinese Materia Medica. Chinese Material Medica Uygur Medicine Volume; Shanghai Science and Technology Press: Shanghai, China, 2005. [Google Scholar]
- Shen, X.Y.; Xie, C.X.; Deng, W.P. Analysis of volatile oil from Viola tianshanica Maxim by GC/MS. J. Chin. Mass Spec. Soc. 2009, 30, 51–54. [Google Scholar]
- Yang, J.; Yang, H.; Chen, L.Q.; Shen, Z.L. A study on extraction technology and anti-inflammatory effect of essential oil of Viola tianshanica. J. Hubei Univ. Nat. 2011, 28, 5–7. [Google Scholar]
- Ma, X.M.; Zhou, X.Y.; Zhang, L.; Wang, Y.N.; Ding, J.B.; Tian, S.G. Antimicrobial test in vitro of extracts from Viola tianshanica Maxim. Lishizhen Med. Mater. Med. Res. 2004, 15, 470–471. [Google Scholar]
- Shen, X.Y.; Xie, C.X. Study on antioxidantive activity of extracts from Viola tianshanica Maxim. Food Sci. 2009, 30, 139–141. [Google Scholar]
- Yu, J.D.; Dai, Z.; Lin, R.C. Chemical constituents of Viola tianshanica. China J. Chin. Mat. Med. 2009, 34, 2916–2917. [Google Scholar]
- Xiang, B.; Du, G.H.; Wang, X.C.; Zhang, S.X.; Qin, X.Y.; Kong, J.Q.; Cheng, K.D.; Li, Y.J.; Wang, W. Elucidating the structure of two cyclotides of Viola tianshanica Maxim by MALDI TOF/TOF MS analysis. Acta Pharm. Sin. 2010, 45, 1402–1409. [Google Scholar]
- Li, W.; Xie, J.Y.; Li, H.; Zhang, Y.Y.; Cao, J.; Cheng, Z.H.; Chen, D.F. Viola yedoensis liposoluble fraction ameliorates lipopolysaccharide-induced acute lung injury in mice. Am. J. Chin. Med. 2012, 40, 1007–1018. [Google Scholar] [CrossRef]
- Cao, J.; Qin, Y.; Yin, C.L.; Cheng, Z.H. Chemical constituents of Viola yedoensis and their antioxidant activity. Chin. J. Exp. Trad. Med. Form. 2013, 19, 282–286. [Google Scholar]
- Yuan, Z.; Zhou, B.Y.; Zhang, Z.C.; Men, T.C.L.; Li, X. Glycosides from Glehnia littoralis. J. Shenyang Pharm. Univ. 2002, 3, 157–160. [Google Scholar]
- Yoshikawa, K.; Sugawara, S.; Arihara, S. Phenylpropanoids and other secondary metabolites from fresh fruits of Picrasma quassioides. Phytochemistry 1995, 40, 253–256. [Google Scholar] [CrossRef]
- Guan, S.H.; Xia, J.M.; Lu, Z.Q.; Chen, G.T.; Jiang, B.H.; Liu, X.; Guo, D.A. Structure elucidation and NMR spectral assignments of three new lignan glycosides from Akebia trifoliatia. Magn. Reson. Chem. 2008, 46, 186–190. [Google Scholar] [CrossRef]
- Erdemoglu, N.; Sahin, E.; Sener, B.; Ide, S. Structural and spectroscopic characteristics of two lignans from Taxus baccata L. J. Mol. Struct. 2004, 692, 57–62. [Google Scholar] [CrossRef]
- Zhao, Y.; Wang, Y.; Chen, Y.G.; Wang, J.H.; Zhao, Y.; Luo, L. Structural studies on a lignan glucoside from Euphorbia hirta. J. Yunnan Norm. Univ. 2011, 31, 7–10. [Google Scholar]
- Achenbach, H.; Benirschke, M.; Torrenegra, R. Alkaloids and other compounds from seeds of Tabernaemontana cymosa. Phytochemistry 1997, 45, 325–335. [Google Scholar] [CrossRef]
- Subbaraju, G.V.; Kumar, K.K.K.; Raju, B.L.; Pillai, K.R. Justiciresinol, a new furanoid lignan from Justicia glauca. J. Nat. Prod. 1991, 54, 1639–1641. [Google Scholar]
- Grougnet, R.; Magiatis, P.; Mitaku, S.; Terzis, A.; Tillequin, F.; Skaltsounis, A.L. New lignans from the perisperm of Sesamum indicum. J. Agric. Food Chem. 2006, 54, 7570–7574. [Google Scholar] [CrossRef]
- Nguyen, X.N.; Lee, H.Y.; Kim, N.Y.; Park, S.J.; Kim, E.S.; Han, J.E.; Yang, H.J.; Kim, S.Y. Stereochemical assignment of five new lignan glycosides from Viscum album by NMR study combined with CD spectroscopy. Magn. Reson. Chem. 2012, 50, 772–777. [Google Scholar] [CrossRef]
- Jung, K.Y.; Kim, D.S.; Oh, S.Y.; Park, S.H.; Lee, I.S.; Lee, J.J.; Shin, D.H.; Lee, H.K. Magnones A and B, novel anti-PAF tetrahydrofuran lignans from the flower buds of Magnolia fargesii. J. Nat. Prod. 1998, 61, 808–811. [Google Scholar] [CrossRef]
- Yuasa, K.; Ide, T.; Otsuka, H.; Ogimi, C.; Hirata, E.; Takushi, A.; Takeda, Y. Lignan and neolignan glycosides from stems of Alangium premnifolium. Phytochemistry 1997, 45, 611–615. [Google Scholar] [CrossRef]
- Nishiwaki, H.; Kumamoto, M.; Shuto, Y.; Yamauchi, S. Stereoselective syntheses of all stereoisomers of lariciresinol and their plant growth inhibitory activities. J. Agric. Food Chem. 2011, 59, 13089–13095. [Google Scholar]
- Machida, K.; Unagami, E.; Ojima, H.; Kikuchi, M. Studies on the constituents of Syringa species. XII. New glycosides from the leaves of Syringa reticulata (Blume) Hara. Chem. Pharm. Bull. 2003, 51, 883–884. [Google Scholar] [CrossRef]
- Wei, H.H.; Xu, H.H.; Xie, H.H.; Xu, L.X.; Wei, X.Y. Sesquiterpenes and lignans from Tephrosia vogelii. Helv. Chim. Acta 2009, 92, 370–374. [Google Scholar]
- Zuo, L.; Li, J.B.; Xu, J.; Yang, J.Z.; Zhang, D.M.; Tong, Y.L. Studies on chemical constituents in root of Isatis indigotica. China J. Chin. Mat. Med. 2007, 32, 688–691. [Google Scholar]
- Sample Availability: Samples of the compounds 1–4 are available from the authors.
© 2013 by the authors; licensee MDPI, Basel, Switzerland. This article is an open access article distributed under the terms and conditions of the Creative Commons Attribution license (http://creativecommons.org/licenses/by/3.0/).
Share and Cite
Qin, Y.; Yin, C.; Cheng, Z. A New Tetrahydrofuran Lignan Diglycoside from Viola tianshanica Maxim. Molecules 2013, 18, 13636-13644. https://doi.org/10.3390/molecules181113636
Qin Y, Yin C, Cheng Z. A New Tetrahydrofuran Lignan Diglycoside from Viola tianshanica Maxim. Molecules. 2013; 18(11):13636-13644. https://doi.org/10.3390/molecules181113636
Chicago/Turabian StyleQin, Yan, Chengle Yin, and Zhihong Cheng. 2013. "A New Tetrahydrofuran Lignan Diglycoside from Viola tianshanica Maxim" Molecules 18, no. 11: 13636-13644. https://doi.org/10.3390/molecules181113636
APA StyleQin, Y., Yin, C., & Cheng, Z. (2013). A New Tetrahydrofuran Lignan Diglycoside from Viola tianshanica Maxim. Molecules, 18(11), 13636-13644. https://doi.org/10.3390/molecules181113636
