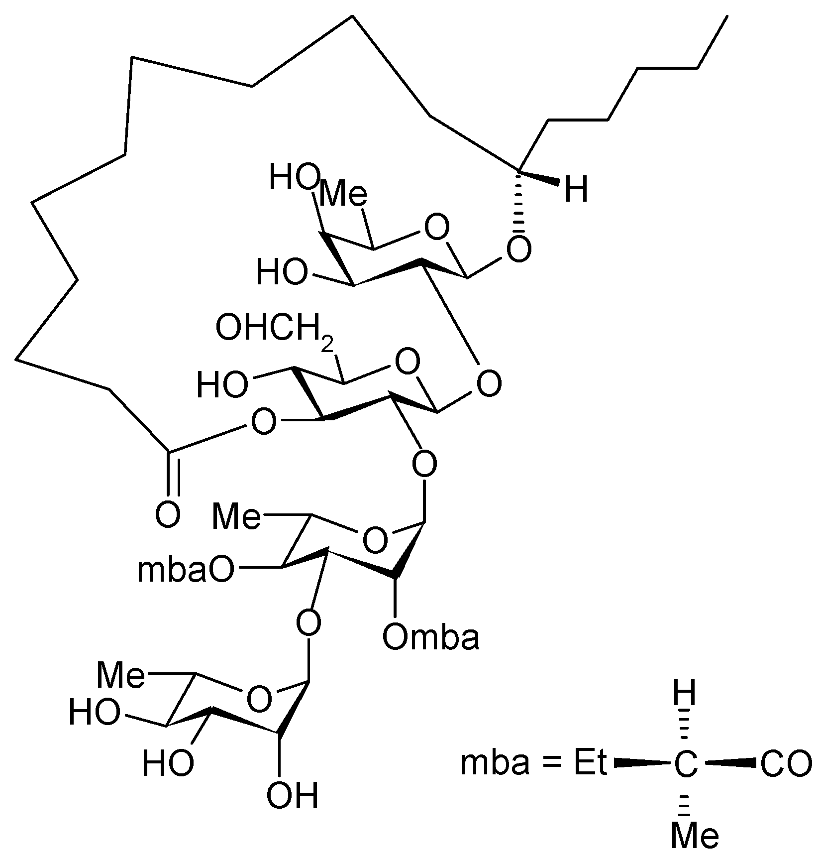
Tricolorin A as a Natural Herbicide
Abstract
:1. Introduction

2. Results and Discussion
2.1. Pre-Emergence Bio-Assay Effect on Seed Germination and Seedling Growth


| IC50 (µM) | ||
|---|---|---|
| Root | Shoot | |
| Dicotyledonous plants | ||
| P. ixocarpa | 13.8 | 12.7 | 
| p = 8.6 × 10−4 | p = 2.55 × 10−6 | |
| T. alexandrinum | 18.0 | 12.7 | 
| p = 1.6 × 10−2 | p = 5.7 × 10−2 | |
| Monocot plants | ||
| T. vulgare | 24.1 | 8.5 | 
| p = 1.37 × 10−6 | p = 7.2 × 10−7 | |
| L. multiflorum | 15.3 | 12.3 | 
| p = 8.02 × 10−7 | p = 6.5 × 10−5 | |
2.2. Effect of Tricolorin A on Seed Respiration

2.3. Effect of Post-Emergence Bio-Assay on Dry Biomass
| Tricolorin A | Paraquat | |||
|---|---|---|---|---|
| Conc.µM | Dry biomass (g) | % | Dry biomass (g) | % | 
| Physalis ixocarpa | ||||
| 0 | 0.446 ± 0.025 | 100 | 0.446 ± 0.025 | 100 | 
| 20 | 0.428 ± 0.027 | 96 | 0.464 ± 0.029 | 104 | 
| 40 | 0.375 ± 0.044 | 84 | 0.446 ± 0.045 | 100 | 
| 60 | 0.348 ± 0.035 | 78 | 0.375 ± 0.065 | 84 | 
| Trifolium alexandrinum | ||||
| 0 | 0.486 ± 0.036 | 100 | 0.486 ± 0.036 | 100 | 
| 20 | 0.423 ± 0.042 | 87 | 0.325 ± 0.032 | 67 | 
| 40 | 0.403 ± 0.093 | 83 | 0.287 ± 0.048 | 59 | 
| 60 | 0.306 ± 0.088 | 63 | 0.277 ± 0.052 | 57 | 
| Triticum vulgare | ||||
| 0 | 1.875 ± 0.084 | 100 | 1.875 ± 0.084 | 100 | 
| 20 | 1.562 ± 0.285 | 82 | 1.562 ± 0.269 | 83 | 
| 40 | 1.47 ± 0.3174 | 78 | 1.250 ± 0.176 | 67 | 
| 60 | 1.250 ± 0.156 | 67 | 1.250 ± 0.219 | 67 | 
| Lolium multiflorum | ||||
| 0 | 1.783 ± 0.266 | 100 | 1.783 ± 0.266 | 100 | 
| 20 | 1.622 ± 0.149 | 91 | 1.729 ± 0.195 | 97 | 
| 40 | 1.123 ± 0.096 | 53 | 0.963 ± 0.149 | 54 | 
| 60 | 1.034 ± 0.137 | 38 | 0.571 ± 0.058 | 32 | 
3. Experimental
3.1. Seed Germination Bioassays
3.2. Seed Respiration
      3.3. Post-Emergence Bioassays
4. Conclusions
Acknowledgments
- Sample Availability: Samples of the compounds are not available from the authors.
 
References
- Vyvyan, J.R. Allelochemicals as leads for new herbicides and agrochemicals. Tetrahedron 2002, 58, 1631–1646. [Google Scholar] [CrossRef]
 - Duke, S.O.; Dayan, F.E.; Romagni, J.G.; Rimando, A.M. Natural products as sources of herbicides: Current status and future trends. Weed Res. 2000, 40, 99–111. [Google Scholar] [CrossRef]
 - Dayan, F.E.; Cantrell, C.L.; Duke, S.O. Natural products in crop protection. Bioorg. Med. Chem. 2009, 17, 4022–4034. [Google Scholar] [CrossRef]
 - Duke, S.O.; Scheffler, B.E.; Dayan, F.E. Allelochemicals as herbicides. In Allelopathy, from Molecules to Ecosystems; Reigosa, M., Pedrol, N., Eds.; Science publishers Inc.: New Hampshire, UK, 2002; pp. 183–196. [Google Scholar]
 - Macías, F.A. Allelopathy: Organisms Processes and Applications; Inderjit Dakshini, K.M.M., Einhellig, F.A., Eds.; American Chemical Society: Washington, DC, USA, 1995; pp. 310–329. [Google Scholar]
 - Whyttaker, R.H.; Feeny, P.P. Allelochemicals: Chemical interaction between species. Science 1971, 171, 757–770. [Google Scholar]
 - Anaya, A.L.; Calera, M.R.; Mata, R.; Pereda-Miranda, R. Allelopathic potential of compounds isolated from Ipomoea tricolor Cav. (Convolvulaceae). J. Chem. Ecol. 1990, 16, 2145–2152. [Google Scholar]
 - Peterson, J.K.; Harrison, H.F., Jr. Isolation of substance from sweet potato (Ipomoea batatas) periderm tissue that inhibits seed germination. J. Chem. Ecol. 1991, 17, 943–951. [Google Scholar] [CrossRef]
 - Anaya, A.L.; Ramos, L.; Cruz, R.; Hernandez, J.G.; Nava, V. Perspectives on allelopathy in Mexican traditional agroecosystems: A case study in Tlaxcala. J. Chem. Ecol. 1987, 13, 2083–2101. [Google Scholar] [CrossRef]
 - Anaya, A.L.; Sabourin, D.J.; Hernandez-Bautista, B.E.; Mendez, I. Allelopathic potential of Ipomoea tricolor (Convolvulaceae) in a greenhouse experiment. J. Chem. Ecol. 1995, 21, 1085–1102. [Google Scholar] [CrossRef]
 - Pereda-Miranda, R.; Mata, R.; Anaya, A.L.; Wickramaratne, D.B.W.; Pezzuto, J.M.; Kinghorn, A.D. Tricolorin A, Major phytogrowth inhibitor from Ipomoea tricolor. J. Nat. Prod. 1993, 56, 571–582. [Google Scholar] [CrossRef]
 - Achnine, L.; Pereda-Miranda, R.; Iglesias-Prieto, R.; Moreno-Sánchez, R.; Lotina-Hennsen, B. Tricolorin A, A potent natural uncoupler and inhibitor of photosystem II acceptor side of spinach chloroplasts. Physiol. Plant 1999, 106, 246–252. [Google Scholar] [CrossRef]
 - Einhellig, F.A.; Souza, I.F. Phytotoxicity of sorgoleone found in grain sorghum root exudates. J. Chem. Ecol. 1992, 18, 1–11. [Google Scholar] [CrossRef]
 - Nimbal, C.I.; Pederson, J.F.; Yerkes, C.N.; Weston, L.A.; Weller, S.C. Phytotoxicity and distribution of sorgoleone in grain sorghum germplasm. J. Agric. Food Chem. 1996, 44, 1343–1347. [Google Scholar] [CrossRef]
 - Netzley, D.H.; Reopel, J.L.; Ejeta, G.; Butler, L. Germination stimulants of witchweed (Striga. asiatica) from hydrophobic root exudate of Sorghum (Sorghum bicolor). Weed Sci. 1988, 36, 441–446. [Google Scholar]
 - Inderjit; Duke, S.O. Ecophysiological aspects of allelopathy. Planta 2003, 217, 529–539. [Google Scholar] [CrossRef]
 - Gonzalez, V.M.; Kazimir, J.; Nimbal, C.; Weston, L.A.; Cheniae, G.M. Inhibition of a Photosystem II Electron Transfer Reaction by the Natural Product Sorgoleone. J. Agric. Food Chem. 1997, 45, 1415–1421. [Google Scholar] [CrossRef]
 - Saling, S.C.; Comar, J.F.; Mito, M.S.; Peralta, R.M.; Bracht, A. Actions of juglone on energy metabolism in the rat liver. Toxicol. Appl. Pharmacol. 2011, 257, 319–327. [Google Scholar] [CrossRef]
 - Toyomizu, M.; Okamoto, K.; Ishibashi, T.; Chen, Z.; Nakatsu, T. Uncoupling effect of anacardic acids from cashew nut shell oil on oxidative phosphorylation of rat liver mitochondria. Life Sci. 1999, 66, 229–234. [Google Scholar] [CrossRef]
 - Mahdi, F.; Falkenberg, M.; Ioannou, E.; Roussis, V.; Zhou, Y.-D.; Nagle, D.G. Thyrsiferol inhibits mitochondrial respiration and HIF-1 activation. Phytochem. Lett. 2011, 4, 75–78. [Google Scholar] [CrossRef]
 - King-Díaz, B.; Montes-Ayala, J.; Escartín-Guzmán, C.; Castillo-Blum, S.E.; Iglesias-Prieto, R.; Lotina-Hennsen, B.; Barba-Behrens, N. Cobalt(II) coordination compound of ethyl-4-methyl-5-imidazolecarboxylate: Chemical and biochemical characterization on photosynthesis and seed germination. Bioinorg. Chem. Appl. 2005, 3, 93–108. [Google Scholar] [CrossRef]
 - Abbas, H.K.; Egley, G.H. Influence of unrefined corn oil and surface-active agents on the germination and infectivity of Alternaria. helianthi. Biocontrol. Sci. Technol. 1996, 6, 531–538. [Google Scholar] [CrossRef]
 - González-Ibarra, M.; Farfán, N.; Trejo, C.; Uribe, S.; Lotina-Hennsen, B. Selective herbicide activity of 2,5-di(benzylamine)-p-benzoquinone against the monocot weed Echinochloa. crusgalli. An in Vivo analysis of photosynthesis and growth. J. Agric. Food. Chem. 2005, 53, 3415–3420. [Google Scholar]
 - Bromilow, R.H. Paraquat and sustainable agriculture. Pest. Manag. Sci. 2003, 60, 340–349. [Google Scholar] [CrossRef]
 - Lieberman, H.R. Estimating LD50 using the probit technique: A BASIC computer program. Drug Chem. Toxicol. 1983, 6, 111–116. [Google Scholar] [CrossRef]
 
© 2013 by the authors; licensee MDPI, Basel, Switzerland. This article is an open-access article distributed under the terms and conditions of the Creative Commons Attribution license (http://creativecommons.org/licenses/by/3.0/).
Share and Cite
Lotina-Hennsen, B.; King-Díaz, B.; Pereda-Miranda, R. Tricolorin A as a Natural Herbicide. Molecules 2013, 18, 778-788. https://doi.org/10.3390/molecules18010778
Lotina-Hennsen B, King-Díaz B, Pereda-Miranda R. Tricolorin A as a Natural Herbicide. Molecules. 2013; 18(1):778-788. https://doi.org/10.3390/molecules18010778
Chicago/Turabian StyleLotina-Hennsen, Blas, Beatriz King-Díaz, and Rogelio Pereda-Miranda. 2013. "Tricolorin A as a Natural Herbicide" Molecules 18, no. 1: 778-788. https://doi.org/10.3390/molecules18010778
APA StyleLotina-Hennsen, B., King-Díaz, B., & Pereda-Miranda, R. (2013). Tricolorin A as a Natural Herbicide. Molecules, 18(1), 778-788. https://doi.org/10.3390/molecules18010778
        