The Sonodegradation of Caffeic Acid under Ultrasound Treatment: Relation to Stability
Abstract
:1. Introduction
2. Results and Discussion
2.1. Effect of Solvent on the Stability of Caffeic Acid
2.2. Effect of Temperature on the Stability of Caffeic Acid
2.3. Effect of Liquid Height on the Stability of Caffeic Acid
2.4. Effect of Electrical Ultrasonic Intensity on the Stability of Caffeic Acid
2.5. Effect of Duty Cycle of Ultrasonic Exposure on the Stability of Caffeic Acid
2.6. Degradation Kinetics of Caffeic Acid under Ultrasound Treatment
| T (°C) | R Zero(C) | R First(lnC) | R Second (1/C) | R Third (1/C2) |
|---|---|---|---|---|
| −5 | 0.974 | 0.98 | 0.983 | 0.983 |
| 5 | 0.932 | 0.929 | 0.924 | 0.918 |
| 15 | 0.915 | 0.916 | 0.917 | 0.917 |
| 25 | 0.956 | 0.957 | 0.957 | 0.957 |
| T (°C) | k(ug mL−1 min−1) (p < 0.05) | R2 (p < 0.05) | t1/2 (min) |
|---|---|---|---|
| −5 | 0.0331 | 0.949 | 166.163 |
| 5 | 0.0239 | 0.869 | 230.126 |
| 15 | 0.0104 | 0.837 | 528.846 |
| 25 | 0.00475 | 0.914 | 1157.895 |

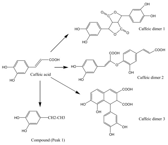
2.7. Degradation Products Analysis

| Peak No. | HPLC tR(min) | Molecular weight | HPLC-ESIMS(m/z) | HPLC+ESIMS(m/z) | Tentative identification |
|---|---|---|---|---|---|
| 1 | 3.97 | 138 | 137.1 | 139.0 | C8H10O2 |
| 2 | 5.36 | 180 | 179.1 | 163.0;181.0 | Caffeic acid std |
| 3 | 8.94 | 492 | 491.1 | 514.9 | Undentified |
| 4 | 9.66 | 220 | 219.1 | 220.8; 243.0 | Undentified |
| 5 | 10.23 | 358 | 357.1; 393.1 | 359.0; 381.0 | Caffeic dimer |
| 7 | 13.20 | 160 | - | 161.0; 183.0 | Undentified |

3. Experimental
3.1. Chemicals
3.2. Ultrasound Treatment
3.3. Calculation of Electrical Ultrasonic Intensity
3.4. Analytical Method of Phenolic Acids
3.5. Degradation Kinetics Modeling
3.6. Determination of Degradation Products by FT-IR Spectroscopy
3.7. Determination of Degradation Products by HPLC-UV-ESIMS
3.8. Statistical Analysis
4. Conclusions
Acknowledgments
References
- Sun-Waterhouse, D.; Zhou, J.; Miskelly, G.M.; Wibisono, R.; Wadhwaa, S.S. Stability of encapsulated olive oil in the presence of caffeic acid. Food Chem. 2011, 126, 1049–1056. [Google Scholar] [CrossRef]
- Stanely Mainzen Prince, P.; Senthil Kumaran, K. Preventive effects of caffeic acid on lipids, lipoproteins and glycoproteins in isoproterenol induced myocardial infarcted rats. Food Res. Int. 2012, 45, 155–160. [Google Scholar] [CrossRef]
- Göçer, H.; Gülçin, Ì. Caffeic acid phenethyl ester (CAPE): Correlation of structure and antioxidant properties. Int. J. Food Sci. Nutr. 2011, 62, 821–825. [Google Scholar] [CrossRef] [PubMed]
- Gulcin, I. Antioxidant activity of caffeic acid (3,4-dihydroxycinnamic acid). Toxicology 2006, 217, 213–220. [Google Scholar] [CrossRef] [PubMed]
- Sanchez-Maldonado, A.F.; Schieber, A.; Gaenzle, M.G. Structure-function relationships of the antibacterial activity of phenolic acids and their metabolism by lactic acid bacteria. J. Appl. Microbiol. 2011, 11, 1176–1184. [Google Scholar] [CrossRef] [PubMed]
- Rehman, M.U.; Sultana, S. Attenuation of oxidative stress, inflammation and early markers of tumor promotion by caffeic acid in Fe-NTA exposed kidneys of Wistar rats. Mol. Cell. Biochem. 2011, 357, 115–124. [Google Scholar] [CrossRef] [PubMed]
- Patil, S.; Torres, B.; Tiwari, B.K.; Wijngaard, H.H.; Bourke, P.; Cullen, P.J.; O’Donnell, C.P.; Valdramidis, V.P. Safety and quality assessment during the ozonation of cloudy apple juice. J. Food Sci. 2010, 75, 437–443. [Google Scholar] [CrossRef] [PubMed]
- Vignoli, J.A.; Bassoli, D.G.; Benassi, M.T. Antioxidant activity, polyphenols, caffeine and melanoidins in soluble coffee: The influence of processing conditions and raw material. Food Chem. 2011, 124, 863–868. [Google Scholar] [CrossRef]
- Moon, J.K.; Shibamoto, T. Formation of Volatile chemicals from thermal degradation of less volatile coffee components: Quinic acid, caffeic acid, and chlorogenic acid. J. Agric. Food Chem. 2010, 58, 5465–5470. [Google Scholar] [CrossRef] [PubMed]
- Jiang, D.; Peterson, D.G. Role of hydroxycinnamic acids in food flavor: A brief overview. Phytochem. Rev. 2010, 9, 187–193. [Google Scholar] [CrossRef]
- Liazid, A.; Palma, M.; Brigui, J.; Barroso, C.G. Investigation on phenolic compounds stability during microwave-assisted extraction. J. Chromatogr. A 2007, 1140, 29–34. [Google Scholar] [CrossRef] [PubMed]
- Chandrapala, J.; Oliver, C.M.; Kentish, S.; Ashokkumar, M. Use of power ultrasound to improve extraction and modify phase transitions in food processing. Food Rev. Int. 2013, 29, 67–91. [Google Scholar] [CrossRef]
- Chemat, F.; Vian, M.A.; Cravotto, G. Green extraction of natural products: Concept and principles. Int. J. Mol. Sci. 2012, 13, 8615–8627. [Google Scholar] [CrossRef] [PubMed]
- Shirsath, S.R.; Sonawane, S.H.; Gogate, P.R. Intensification of extraction of natural products using ultrasonic irradiations: A review of current status. Chem. Eng. Process. 2012, 53, 10–23. [Google Scholar] [CrossRef]
- Paniwnyk, L.; Beaufoy, E.; Loyimer, J.P.; Mason, T.J. The extraction of rutin from flower buds of Sophora japonica. Ultrason. Sonochem. 2001, 8, 299–301. [Google Scholar] [CrossRef]
- Sun, Y.J.; Ma, G.P.; Ye, X.Q.; Kakuda, Y.; Meng, R.F. Stability of all-trans-β-carotene under ultrasound treatment in a model system: Effects of different factors, kinetics and newly formed compounds. Ultrason. Sonochem. 2010, 17, 654–661. [Google Scholar] [CrossRef] [PubMed]
- Iida, Y.; Tuziuti, T.; Yasui, K.; Towata, A.; Kozuka, T. Control of viscosity in starch and polysaccharide solutions with ultrasound after gelatinization. Innov. Food Sci. Emerg. Technol. 2008, 9, 140–146. [Google Scholar] [CrossRef]
- Gülseren, İ.; Güzey, D.; Bruce, B.D.; Weiss, J. Structural and functional changes in ultrasonicated bovine serum albumin solutions. Ultrason. Sonochem. 2007, 14, 173–183. [Google Scholar] [CrossRef] [PubMed]
- Ma, Y.Q.; Ye, X.Q.; Fang, Z.X.; Chen, J.C.; Xu, G.H.; Liu, D.H. Phenolic compounds and antioxidant activity of extracts from ultrasonic treatment of satsuma mandarin (Citrus unshiu Marc.) peels. J. Agric. Food Chem. 2008, 56, 5682–5690. [Google Scholar] [CrossRef] [PubMed]
- Atanassova, D.; Kefalas, P.; Petrakis, C.; Mantzavinos, D.; Kalogerakis, N.; Psillakis, E. Sonochemical reduction of the antioxidant activity of olive mill wastewater. Environ. Int. 2005, 31, 281–287. [Google Scholar] [CrossRef] [PubMed]
- Stalikas, C.D. Extraction, separation, and detection methods for phenolic acids and flavonoids. J. Sep. Sci. 2007, 30, 3268–3295. [Google Scholar] [CrossRef] [PubMed]
- Khan, M.K.; Abert-Vian, M.; Fabiano-Tixier, A.S.; Dangles, O.; Chemat, F. Ultrasound-assisted extraction of polyphenols (flavanone glycosides) from orange (Citrus sinensis L.) peel. Food Chem. 2010, 119, 851–858. [Google Scholar] [CrossRef]
- Wang, A.Y.; Zhou, M.Y.; Lin, W.C. Antioxidative and anti-inflammatory properties of Citrus sulcata extracts. Food Chem. 2011, 124, 958–963. [Google Scholar] [CrossRef]
- Ahmad, J.; Langrish, T.A.G. Optimisation of total phenolic acids extraction from mandarin peels using microwave energy: The importance of the maillard reaction. J. Food Eng. 2012, 109, 162–174. [Google Scholar] [CrossRef]
- Arend, D.P.; Santos, T.C.D.; Sonaglio, D.; Santos, A.L.G.; Reginatto, F.H.; Campos, A.M.D. Experimental design as a tool to evaluate chlorogenic and caffeic acids extracted from Cecropia glaziovii Sneth. J. Pharm. Biomed. Anal. 2011, 54, 58–66. [Google Scholar] [CrossRef] [PubMed]
- Hemwimol, S.; Pavasant, P.; Shotipruk, A. Ultrasound-assisted extraction of anthraquinones from roots of Morinda citrifolia. Ultrason. Sonochem. 2006, 13, 543–548. [Google Scholar] [CrossRef] [PubMed]
- Romdhane, M.; Gourdon, C.; Casamatta, G. Local investigation of some ultrasonic devices by means of a thermal sensor. Ultrasonics 1995, 33, 221–227. [Google Scholar] [CrossRef]
- Kanthale, P.M.; Gogate, P.R.; Pandit, A.B.; Wilhelm, A.M. Mapping of an ultrasonic horn: Link primary and secondary effects of ultrasound. Ultrason. Sonochem. 2003, 10, 331–335. [Google Scholar] [CrossRef]
- Ma, Y.Q.; Ye, X.Q.; Hao, Y.B.; Xu, G.H.; Liu, D.H. Ultrasound-assisted extraction of hesperidin from Penggan (Citrus reticulata) peel. Ultrason. Sonochem. 2008, 15, 227–232. [Google Scholar] [CrossRef] [PubMed]
- Entezari, M.H.; Nazary, S.H.; Khodaparast, M.H.H. The direct effect of ultrasound on the extraction of date syrup and its micro-organisms. Ultrason. Sonochem. 2004, 11, 379–384. [Google Scholar] [CrossRef] [PubMed]
- Raso, J.; Maňas, P.; Pagán, R.; Sala, F.J. Influence of different factors on the output power transferred into solvent by ultrasound. Ultrason. Sonochem. 1999, 5, 157–162. [Google Scholar] [CrossRef]
- Xu, G.H.; Chen, J.C.; Liu, D.H.; Zhang, Y.H.; Jiang, P.; Ye, X.Q. Minerals, phenolic compounds, and antioxidant capacity of citrus peel extract by hot water. J. Food Sci. 2008, 73, 11–18. [Google Scholar] [CrossRef] [PubMed]
- Sun, Y.J.; Liu, D.H.; Chen, J.C.; Ye, X.Q.; Yu, D. Effects of different factors of ultrasound treatment on the extraction yield of the all-trans-β-carotene from Citrus peels. Ultrason. Sonochem. 2011, 18, 243–249. [Google Scholar] [CrossRef] [PubMed]
Sample Availability: Not available. |






© 2013 by the authors; licensee MDPI, Basel, Switzerland. This article is an open access article distributed under the terms and conditions of the Creative Commons Attribution license (http://creativecommons.org/licenses/by/3.0/).
Share and Cite
Sun, Y.; Qiao, L.; Ye, X.; Liu, D.; Zhang, X.; Huang, H. The Sonodegradation of Caffeic Acid under Ultrasound Treatment: Relation to Stability. Molecules 2013, 18, 561-573. https://doi.org/10.3390/molecules18010561
Sun Y, Qiao L, Ye X, Liu D, Zhang X, Huang H. The Sonodegradation of Caffeic Acid under Ultrasound Treatment: Relation to Stability. Molecules. 2013; 18(1):561-573. https://doi.org/10.3390/molecules18010561
Chicago/Turabian StyleSun, Yujing, Liping Qiao, Xingqian Ye, Donghong Liu, Xianzhong Zhang, and Haizhi Huang. 2013. "The Sonodegradation of Caffeic Acid under Ultrasound Treatment: Relation to Stability" Molecules 18, no. 1: 561-573. https://doi.org/10.3390/molecules18010561
APA StyleSun, Y., Qiao, L., Ye, X., Liu, D., Zhang, X., & Huang, H. (2013). The Sonodegradation of Caffeic Acid under Ultrasound Treatment: Relation to Stability. Molecules, 18(1), 561-573. https://doi.org/10.3390/molecules18010561
