Next Article in Journal
Phytotoxic Effects and a Phytotoxin from the Invasive Plant Xanthium italicum Moretti
Previous Article in Journal
A Simple Halide-to-Anion Exchange Method for Heteroaromatic Salts and Ionic Liquids
 
 
Font Type:
Arial Georgia Verdana
Font Size:
Aa Aa Aa
Line Spacing:
Column Width:
Background:
Article

Naucline, a New Indole Alkaloid from the Bark of Nauclea officinalis †

1
Department of Chemistry, Faculty of Science, University of Malaya, 50603 Kuala Lumpur, Malaysia
2
Department of Pharmacology, Faculty of Medicine, University of Malaya, 50603 Kuala Lumpur, Malaysia
3
Faculty of Pharmaceutical Sciences, Hoshi University, Shinagawa-ku, Tokyo 142-8501, Japan
4
Institut de Chimie de la Substances Naturelles, Centre Nationale de la Recherches Scientifique, 91198, Gif-sur Yvette, Cedex, France
*
Author to whom correspondence should be addressed.
We wish to dedicate this article to our dearest colleague, Dr. Mat Ropi bin Mukhtar who has been a great inspiration to natural product research in Malaysia and globally.
Molecules 2012, 17(4), 4028-4036; https://doi.org/10.3390/molecules17044028
Submission received: 9 February 2012 / Revised: 27 March 2012 / Accepted: 28 March 2012 / Published: 2 April 2012
(This article belongs to the Section Natural Products Chemistry)

Abstract

:
A new indole alkaloid, naucline (1) together with four known alkaloids, angustine (2), angustidine (3), nauclefine (4) and naucletine (5), were isolated from the bark of Nauclea officinalis. The structures of all isolated compounds were elucidated with various spectroscopic methods such as 1D- and 2D- NMR, IR, UV and LCMS-IT-TOF. In addition to that of alkaloid 1, the complete 13C-NMR data of naucletine (5) were also reported. Naucline (1) showed a moderate vasorelaxant activity (90% relaxation at 1 × 10−5 M) whereas, angustine (2), nauclefine (4), and naucletine (5) showed potent vasorelaxant activity (more than 90% relaxation at 1 × 10−5 M) on an isolated rat aorta.

1. Introduction

The Rubiaceae family is known as Madder or Bedstraw, comprising 650 genera and 10,500 species worldwide [1]. Most of them are distributed primarily in the tropical regions and are mainly woody trees and shrubs [2]. A number of monoterpenoid indole alkaloids have been isolated from the Nauclea genus [3]. Some of these alkaloids were reported to exhibit certain biological activities such as anticonvulsant, antiproliferative, antimalarial, antimicrobial and antiparasitic properties [4,5,6,7,8]. Nauclea officinalis, a traditional Chinese medicine, is reported to contain alkaloids and terpenoids as major components [9,10].
In our continuous effort of searching for interesting chemical constituents of the Rubiaceae family from Malaysia [11], a new monoterpenoid indole alkaloid has been isolated from the bark of Nauclea officinalis. In addition to the new compound, four known alkaloids, angustine (2) [12,13,14,15,16,17,18], angustidine (3) [13,17,19], nauclefine (4) [15,19,20,21] and naucletine (5) [15,19,22] were also isolated (Figure 1). In the present paper, we report the isolation and characterization of this new indoloquinolizidinone alkaloid, namely naucline (1) and the vasorelaxant activity of the indole alkaloids 1, 2, 4 and 5. The 13C-NMR data of naucletine (5) are also presented.
Figure 1. Structures of naucline (1), angustine (2), angustidine (3), nauclefine (4), and naucletine (5).
Figure 1. Structures of naucline (1), angustine (2), angustidine (3), nauclefine (4), and naucletine (5).
Molecules 17 04028 g001

2. Results and Discussion

Naucline (1) was isolated as a brownish amorphous solid. The LCMS-IT-TOF spectrum revealed a pseudomolecular ion peak [M+H]+ at m/z 319.1450, corresponding to the molecular formula of C20H18N2O2. In the IR spectrum, an absorption band due to a conjugated carbonyl stretching vibration was observed at 1638 cm−1.
In the 1H-NMR spectrum, the presence of four aromatic protons, a broad peak of -NH- and one -CH2-CH2-N- group were observed, suggesting a β-carboline skeleton [10]. Two of the four aromatic protons in ring A appeared as doublets at δH 7.48 and 7.33, and the other as two doublet of doublets (dd) at δH 7.10 and 7.21 were attributed to H-9, H-12, H-10, and H-11, respectively. H-14 of ring D was revealed as a singlet at δH6.32 indicating that a double bond could be formed between C-15 and C-16. In addition, two upfield signals of H-19 (δH 5.76, q, J = 6.6 Hz) and methyl protons (δH 1.46, d, J = 6.6 Hz) characteristic of trisubstituted olefin group were observed [10]. The 13C-NMR and DEPT spectra of naucline (1) indicated a total of 20 carbon signals; one methyl, one carbonyl, four methylenes, six methines and eight quaternary carbons. The presence of a carbonyl carbon was observed at δC 163.1. The signals at δC 58.9 and 66.6 could be assigned as the resonances of two oxymethylenes, C-17 and C-21, respectively.
Selected 2D NMR correlations (COSY and HMBC) for naucline (1) are shown in Figure 2. Complete 1H- and 13C-NMR (Table 1) spectral assignment of 1 was accomplished through analysis of COSY, HMQC, HMBC and NOESY data. The presence of a trisubstituted olefin with a methyl group at C-19 (δC 119.5) and an oxymethylene at C-20 were determined by using HMBC correlations from H-14, H-18 (δH 1.46), and H-21 (δH 4.18, d) to C-20 (δC 148.0), and from H-18, H-19 (δH 5.76) and H-21 to C-15 (δC 136.6) (Figure 2). The COSY spectrum showed correlation peaks between H2-5/H2-6 and H3-18/H-19 respectively. NOESY correlations of naucline (1) is shown in Figure 3.
Figure 2. Selected 2D NMR correlations for naucline (1).
Figure 2. Selected 2D NMR correlations for naucline (1).
Molecules 17 04028 g002
Four known alkaloids, angustine (2), angustidine (3), nauclefine (4), naucletine (5) were isolated as brownish amorphous solids. The LCMS-IT-TOF spectra showed molecular ion peaks, [M+H]+ at m/z 314.1316 [C20H15N3O], 302.1317 [C19H15N3O], 288.1155 [C18H13N3O], and 330.1309 [C20H15N3O2] respectively. The spectroscopic data of 5 were reported in comprehensive reviews [15,23], but its 13C-NMR data were lacking. In view of that, complete assignments were established through various NMR measurements; DEPT, HSQC, and HMBC spectra. The 13C-NMR spectra of naucletine (5) indicated the presence of 20 carbons. Two carbonyl carbons were observed at δC 199.6 (-CCOCH3) and 161.6 (-NCOC-), respectively.
Table 1. 1H-NMR (400 MHz) and 13C-NMR (100 MHz) Spectral Data of Naucline (1) and Naucletine (5) in CDCl3.
Table 1. 1H-NMR (400 MHz) and 13C-NMR (100 MHz) Spectral Data of Naucline (1) and Naucletine (5) in CDCl3.
Position1 5
1H (δH, Hz)13C (δC)1H (δH, DMSO, Hz) a13C (δC)
NH-19.72 (s)-
2-127.4-127.4
3-137.9-140.8
5a4.03 (m)40.74.39 (t, 6.9)40.7
5b 4.59 (m)
62.96 (m)19.53.12 (t, 6.9)19.8
7-114.4-116.9
8-125.6-125.7
97.48 (d, 7.8)119.57.65 (d, 8.0)119.3
107.10 (dd, 7.8, 7.3)120.57.07 (m)119.9
117.21 (dd, 7.3, 8.2)124.77.23 (m)120.9
127.33 (d, 8.2)111.97.45 (d, 8.1)112.0
13-138.5-139.0
146.32 (s)102.07.73 (s)95.6
15-136.6-141.1
16-125.7-117.1
17 4.36 (br d, 12.1)58.9 9.21 (s)154.0
4.65 (br d, 12.1)
181.46 (d, 6.6)14.62.71 (s)29.3
195.76 (q, 6.6)125.9-199.6
20-148.0-138.8
214.18 (br d, 11.9)66.69.41 (s)155.4
4.20 (br d, 11.9)
22-163.1-161.6
a 1H-NMR data are reported from Lavilla et al.
Figure 3. Selected NOESY correlations of naucline (1).
Figure 3. Selected NOESY correlations of naucline (1).
Molecules 17 04028 g003
Vasodilators are useful for treatment of cerebral vasospasm and hypertension, and for improvement of peripheral circulation [24]. After phenylephrine (PE) 3 × 10−7 M was applied to thoracic aortic rings with endothelium and after achieving a maximal response, we added naucline (1; 1 × 10−5 M), angustine (2; 1 × 10−5 M), nauclefine (4; 1 × 10−5 M), and naucletine (5; 1 × 10−5 M). Excellent activity could be observed for angustine (2), nauclefine (4), and naucletine (5) at the early stage within 10–;30 min after injection of each sample (more than 90% relaxation at 1 × 10−5 M), whereas naucline (1) showed a moderate vasorelaxant activity (90% relaxation at 1 × 10−5 M) (Figure 4). Vasodilation by these indole alkaloids seems to be influenced by substitution of a nitrogen atom in ring E. In the previous paper, we have reported vasorelaxant activities of some bisbenzylisoquinoline alkaloids such as α′-oxoperakensimines A–;C from Alseodaphne perakensis and A. corneri [25,26], and N-allyllaurolitsine from Litsea lancifolia [27]. These vasorelaxant effects may be mediated through the increased release of NO from endothelial cells. The mode of action of these indole alkaloids 1, 2, 4 and 5 on vasorelaxant activity is under investigation.
Figure 4. Relaxation responses induced by naucline (1; 1 × 10−5 M), angustine (2; 1 × 10−5 M), nauclefine (parvine) (4; 1 × 10−5 M), and naucletine (5; 1 × 10−5 M) in aortic rings precontracted with 3 × 10−4 M phenylephrine (PE).
Figure 4. Relaxation responses induced by naucline (1; 1 × 10−5 M), angustine (2; 1 × 10−5 M), nauclefine (parvine) (4; 1 × 10−5 M), and naucletine (5; 1 × 10−5 M) in aortic rings precontracted with 3 × 10−4 M phenylephrine (PE).
Molecules 17 04028 g004

3. Experimental

3.1. General Procedures

Spectra were recorded on the following instruments: UV, Shimadzu UV-250 UV-visible spectrophotometer; IR, Perkin Elmer 1600; NMR, JEOL ECA 400 MHz; LCMS-IT-TOF, Shimadzu. All solvents, except those used for bulk extraction are AR grade. Silica gel 60 F254 for thin layer chromatography (TLC) was used for column chromatography. Glass and aluminum supported silica gel 60 F254 plates were used for TLC. TLC spots were visualized under UV light (254 and 365 nm) followed by spraying with Dragendorff’s reagent for alkaloid detection.

3.2. Plant Material

The bark of Nauclea officinalis was collected at Hutan Simpan Madek, Keluang, Johor, Malaysia by the phytochemical group of the Department of Chemistry, Faculty of Science, University of Malaya. The voucher specimen (KL 5655) of this plant has been deposited at the Herbarium of the Department of Chemistry, University of Malaya, Kuala Lumpur, Malaysia.

3.3. Extraction and Isolation

Dried, grounded bark of the plant (2.0 kg) was first defatted with hexane (17 litres) for one night. The dried materials then were extracted using CH2Cl2 (17 litres) twice for a 3-day period. The supernatant obtained was concentrated using rotary evaporator under reduced pressure to a volume of 500 mL and examined for its alkaloid content (using TLC and confirmed by spraying with Dragendorff’s reagent). The extract was finally concentrated to give crude alkaloids (11.0 g). The crude alkaloid (8.0 g) was subjected to column chromatography over silica gel using dichloromethane and methanol solvent (100:0, 99:1, 98:2, 97:3, 96:4, 95:5, 94:6, 90:10, 83:17, and 75:25) and finally with 100% methanol was used as eluent to obtain twenty fractions. Further purification of fraction 14 by Preparative Thin Layer Chromatography (PTLC) yielded alkaloid 1 (7.9 mg, MeOH-CH2Cl2; 97:3: saturated with NH4OH). Both known compounds 3 (1.5 mg, MeOH-CH2Cl2; 98:2: saturated with NH4OH) and 4 (7.2 mg, MeOH-CH2Cl2; 98:2: saturated with NH4OH) were obtained after purification of fraction 12, while the compounds 2 (8.5 mg, MeOH-CH2Cl2; 98:2: saturated with NH4OH) and 5 (10.1 mg, MeOH-CH2Cl2; 99:1: saturated with NH4OH) were obtained from fractions 7 and 6, respectively.

Naucline (1)

Brown amorphous solid, LCMS-IT-TOF at m/z 319.1450 ([M+H]+ for C20H18N2O2; UV (MeOH) 374, 215 nm; IR (CHCl3) λmax: 3188, 2924, 2859, 1639, 1572, 1533, 1496, and 1456 cm1; 1H- and 13C-NMR: see Table 1.

3.4. Vasodilation Assay

A male Wistar rat weighing 260 g was sacrificed by bleeding from carotid arteries under anesthetization. A section of the thoracic aorta between the aortic arch and the diaphragm was removed and placed in oxygenated, modified Krebs-Henseleit solution (KHS: 118.0 mM NaCl, 4.7 mM KCl, 25.0 mM NaHCO3, 1.8 mM CaCl2, 1.2 mM NaH2PO4, 1.2 mM MgSO4, and 11.0 mMglucose). The aorta was cleaned of loosely adhering fat and connective tissue and cut into ring preparations 3 mm in length. The tissue was placed in a well-oxygenated (95% O2, 5% CO2) bath of 5 mL KHS solution at 37 °C with one end connected to a tissue holder and the other to a force-displacement transducer (Nihon Kohden, TB-611T). The tissue was equilibrated for 60 min under a resting tension of 1.0 g. During this time the KHS in the tissue bath was replaced every 20 min.
After equilibration, each aortic ring was contracted by treatment with 3 × 10−7 M PE. The presence of functional endothelial cells was confirmed by demonstrating relaxation to 1 × 10−5 M acetylcholine (ACh), and aortic ring in which 80% relaxation occurred, were regarded as tissues with endothelium. When the PE-induced contraction reached a plateau, each sample (1, 2, 4 and 5, 1 × 10−5 M) was added.
These animal experimental studies were conducted in accordance with the Guiding Principles for the Care and Use of Laboratory Animals, Hoshi University and under the supervision of the Committee on Animal Research of Hoshi University, which is accredited by the Ministry of Education, Science, Sports Culture, and Technology of Japan.

4. Conclusions

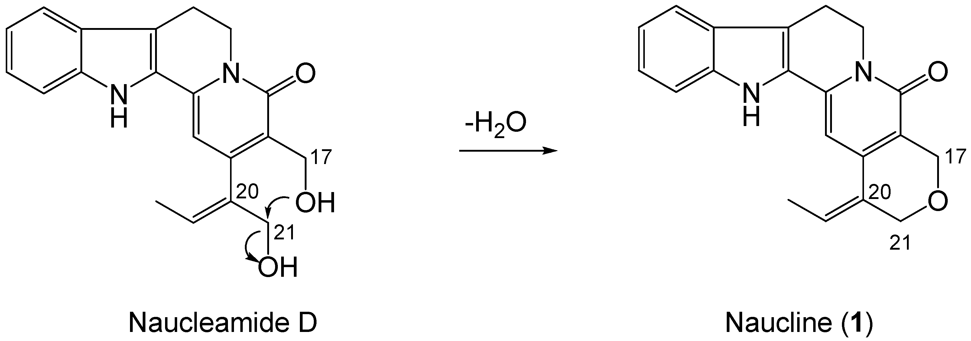
In conclusion, five alkaloids were isolated from the bark of Nauclea officinalis of which one is a new pyranoindoloquinolizidinone alkaloid, which has been named naucline (1). The formation of 1 was proposed to ocurr as shown in Scheme 1. The biogenetic precursor of 1 would be naucleamide D which could undergo a dehydration involving the hydroxyl group at C-21 to form naucline (1). Naucline (1) showed a moderate vasorelaxant activity (90% relaxation at 1 × 10−5 M) whereas angustine (2), nauclefine (4) and naucletine (5) showed excellent vasorelaxant activity (more than 90% relaxation at 1 × 10−5 M) on an isolated rat aorta.
Scheme 1. A proposed biogenesis process of naucleamide D to naucline (1).
Scheme 1. A proposed biogenesis process of naucleamide D to naucline (1).
Molecules 17 04028 g005

Acknowledgements

This work was supported by University Malaya Research grant, UMRG045/11BIO, Malaysia, Grant-in-Aid for Scientific Research from the Ministry of Education, Culture, Sports, Science, and Technology of Japan, and CNRS Grant, France. We also acknowledge the support given by Din Mohd Nor, Hasri Abdullah and Rafly Syamsir from the Herbarium Group, University of Malaya andTeo Leong Eng for plant identified. This work was carried out within the framework of an official agreement between the CNRS and the University of Malaya (Malaysia).

References and Notes

  1. Rova, T.H.E.; Delprete, P.G.; Andersson, L.; Albert, V.A. A trnL-F cpDNA sequence study of the condamineeae-rondeletieae-sipaneeae complex with implications on the phylogeny of the rubiaceae. Am. J. Bot. 2002, 89, 145–159. [Google Scholar]
  2. Mongrand, S.; Badoc, A.; Patouille, B.; Lacomblez, C.; Chavent, M.; Bessoule, J.-J. Chemotaxonomy of Rubiaceae family based on leaf fatty acid composition. Phytochemistry 2005, 66, 549–559. [Google Scholar]
  3. Shigemori, H.; Kagata, T.; Ishiyama, H.; Morah, F.; Ohsaki, A.; Kobayashi, J. Naucleamides A–;E, new monoterpene indole alkaloid from Nauclea latifolia. Chem. Pharm. Bull. 2003, 51, 58–61. [Google Scholar] [CrossRef]
  4. Burn, E.N.; Taiwe, G.S.; Moto, F.C.O.; Ngoupaye, G.T.; Nkantchoua, G.C.N.; Pelanken, M.M.; Rakotonirina, S.V.; Rakotonirina, A. Anticonvulsant, anxioloytic, and sedative propertives of the roots of Nauclea latifolia Smith in mice. Epilepsy Behav. 2009, 15, 434–440. [Google Scholar] [CrossRef]
  5. Okoro, I.O.; Osagie, A.; Asibor, E.O. Antioxidant and antimicrobial activities of polyphenols from ethanomedicinal plants of Nigeria. Afr. J. Biotechnol. 2010, 9, 2989–2993. [Google Scholar]
  6. Sichaem, J.; Surapinit, S.; Siripong, P.; Khumkratok, S.; Jong-aramruang, J.; Tip-pyang, S. Two new cytotoxic isomeric indole alkaloids from the roots of Nauclea orientalis. Fitoterapia 2010, 81, 830–833. [Google Scholar] [CrossRef]
  7. Takayama, H.; Tsutsumi, S.; Kitajima, M.; Santiarworn, D.; Liawruangrath, B.; Aimi, N. Gluco-indole alkaloids from Nauclea cadamba in thailand and transformation of 3α-dihydrocadambine into the indolopyridine alkaloid, 16-carbomethoxynaufoline. Chem. Pharm. Bull. 2003, 51, 232–233. [Google Scholar] [CrossRef]
  8. Zhang, Z.; ElSohly, H.N.; Jacob, M.R.; Pasco, D.S.; Walker, L.A.; Clark, A.M. New indole alkaloid from the bark of Nauclea orientalis. J. Nat. Prod. 2001, 64, 1001–1005. [Google Scholar] [CrossRef]
  9. Sun, J.Y.; Lou, H.X.; Xu, H.; Dai, S.J.; Liu, K. Two new indole alkaloids from Nauclea officinalis. Chin. Chem. Lett. 2007, 18, 1084–1086. [Google Scholar] [CrossRef]
  10. Sun, J.Y.; Lou, H.X.; Dai, S.J.; Xu, H.; Zhao, F.; Liu, K. Indole alkaloids from Nauclea officinalis with antimalarial activity. Phytochemistry 2008, 69, 1405–1410. [Google Scholar] [CrossRef]
  11. Qureshi, A.K.; Mukhtar, M.R.; Hirasawa, Y.; Hosoya, T.; Nugroho, A.E.; Morita, H.; Shirota, O.; Mohamad, K.; A. Hadi, A.H.; Litaudon, M.; Awang, K. Neolamarckines A and B, new indole alkaloids from neolamarckia cadamba. Chem. Pharm. Bull. 2011, 59, 291–293. [Google Scholar]
  12. Abreu, P.; Pereira, A. New indole alkaloids from Sarcocephalus Latifolius. Nat. Prod. Lett. 2001, 15, 43–48. [Google Scholar] [CrossRef]
  13. Au, T.Y.; Cheung, H.T.; Sternhell, S. New corynanthe alkaloids from Strychnos angustiflora. J. Chem. Soc. Perkin Trans. I 1973, 1, 13–16. [Google Scholar]
  14. Batchily, F.; Mehri, H.; Plat, M.; Sevenet, T. Alkaloids from Neisosperma kilneri (F.V.Mueller) Fosberg et Sachet. Ann. Pharm. Fr. 1985, 43, 513–520. [Google Scholar]
  15. Hotellier, F.; Delaveau, P.; Poisset, J.-L. Nauclefine and naucletine, two new indoloquinolizidine alkaloids isolated from Nauclea Latifolia. Phytochemistry 1975, 14, 1407–1409. [Google Scholar] [CrossRef]
  16. Massiot, G.; Thepenier, P.; Jacquier, M.-J.; Men-Oliver, L.L.; Verpoorte, R.; Delaude, C. Alkaloids of Strychnos Johnsonii. Phytochemistry 1987, 26, 2839–2846. [Google Scholar]
  17. Phillipson, J.D.; Hemingway, S.R. Angustine and related alkaloids from species of Mitragyna, Nauclea, Uncaria, and Strychnos. Phytochemistry 1974, 13, 973–978. [Google Scholar] [CrossRef]
  18. Solis, P.N.; Wright, C.W.; Gupta, M.P.; Phillipson, J.D. Alkaloids from Cephaelis Dichroa. Phytochemistry 1993, 33, 1117–1119. [Google Scholar] [CrossRef]
  19. Abreu, P.; Pereira, A. New indole alkaloids from Sarcocephalus Latifolius. Heterocycles 1998, 48, 885–891. [Google Scholar] [CrossRef]
  20. Sainsbury, M.; Webb, B. Parvine, a new Angustine-type alkaloid from Nauclea Parva. Phytochemistry 1975, 14, 2601–2603. [Google Scholar]
  21. Zeches, M.; Richard, B.; Gueye-M’Bahia, L.; Le Men-Olivier, L.; Delaude, C. Constituents of root bark of Nauclea pobeguinii. J. Nat. Prod. 1985, 48, 42–46. [Google Scholar] [CrossRef]
  22. Van De Santos, L.; Fett-Neto, A.G.; Kerber, V.A.; Elisabetsky, E.; Quirion, J.-C.; Henriques, A.T. Indole monoterpene alkaloids from leaves of Psychotria suterella Müll. Arg. (Rubiaceae). Biochem. Syst. Ecol. 2001, 29, 1185–1187. [Google Scholar] [CrossRef]
  23. Lavilla, R.; Gullón, F.; Bosch, J. Regioselective syntheses of the indolopyridine alkaloid nauclefine, angustine, dihydroangustine and naucletine from a common intermediate. J. Chem. Soc. Chem. Commun. 1995, 16, 1675–1676. [Google Scholar]
  24. Morita, H.; Iizuka, T.; Choo, C.-Y.; Chan, K.-L.; Takeya, K.; Kobayashi, J. Vasorelaxant activity of cyclic peptide, cyclosquamosin B, from Annona squamosa. Bioorg. Med. Chem. Lett. 2006, 16, 4609–4611. [Google Scholar]
  25. Mukhtar, M.R.; Nafiah, M.A.; Awang, K.; Thomas, N.F.; Zaima, K.; Morita, H.; Litaudon, M.; A. Hadi, A.H. α′-Oxoperakensimines A–;C, new bisbenzylisoquinoline alkaloids from Alseodaphne perakensis (Gamble) Kosterm. Heterocycles 2009, 78, 2085–2092. [Google Scholar] [CrossRef]
  26. Mukhtar, M.R.; Zahari, A.; Nafiah, M.A.; A. Hadi, A.H.; Thomas, N.F.; Arai, H.; Morita, H.; Litaudon, M.; Awang, K. 3′,4′-Dihydronorstephasubine, a new bisbenzylisoquinoline from the bark of Alseodaphne corneri. Heterocycles 2009, 78, 2571–2578. [Google Scholar] [CrossRef]
  27. Sulaiman, S.N.; Mukhtar, M.R.; A. Hadi, A.H.; Awang, K.; Hazni, H.; Zahari, A.; Litaudon, M.; Zaima, K.; Morita, H. Lancifoliaine, a new bisbenzylisoquinoline from the bark of Litsea lancifolia. Molecules 2011, 16, 3119–3127. [Google Scholar] [CrossRef]
  • Sample Availability: Not available.

Share and Cite

MDPI and ACS Style

Liew, S.Y.; Mukhtar, M.R.; Hadi, A.H.A.; Awang, K.; Mustafa, M.R.; Zaima, K.; Morita, H.; Litaudon, M. Naucline, a New Indole Alkaloid from the Bark of Nauclea officinalis. Molecules 2012, 17, 4028-4036. https://doi.org/10.3390/molecules17044028

AMA Style

Liew SY, Mukhtar MR, Hadi AHA, Awang K, Mustafa MR, Zaima K, Morita H, Litaudon M. Naucline, a New Indole Alkaloid from the Bark of Nauclea officinalis. Molecules. 2012; 17(4):4028-4036. https://doi.org/10.3390/molecules17044028

Chicago/Turabian Style

Liew, Sook Yee, Mat Ropi Mukhtar, A. Hamid A. Hadi, Khalijah Awang, Mohd Rais Mustafa, Kazumasa Zaima, Hiroshi Morita, and Marc Litaudon. 2012. "Naucline, a New Indole Alkaloid from the Bark of Nauclea officinalis" Molecules 17, no. 4: 4028-4036. https://doi.org/10.3390/molecules17044028

APA Style

Liew, S. Y., Mukhtar, M. R., Hadi, A. H. A., Awang, K., Mustafa, M. R., Zaima, K., Morita, H., & Litaudon, M. (2012). Naucline, a New Indole Alkaloid from the Bark of Nauclea officinalis. Molecules, 17(4), 4028-4036. https://doi.org/10.3390/molecules17044028

Article Metrics

Back to TopTop