A New Triterpene From Uncaria macrophylla and Its Antitumor Activity
Abstract
:1. Introduction

2. Results and Discussion
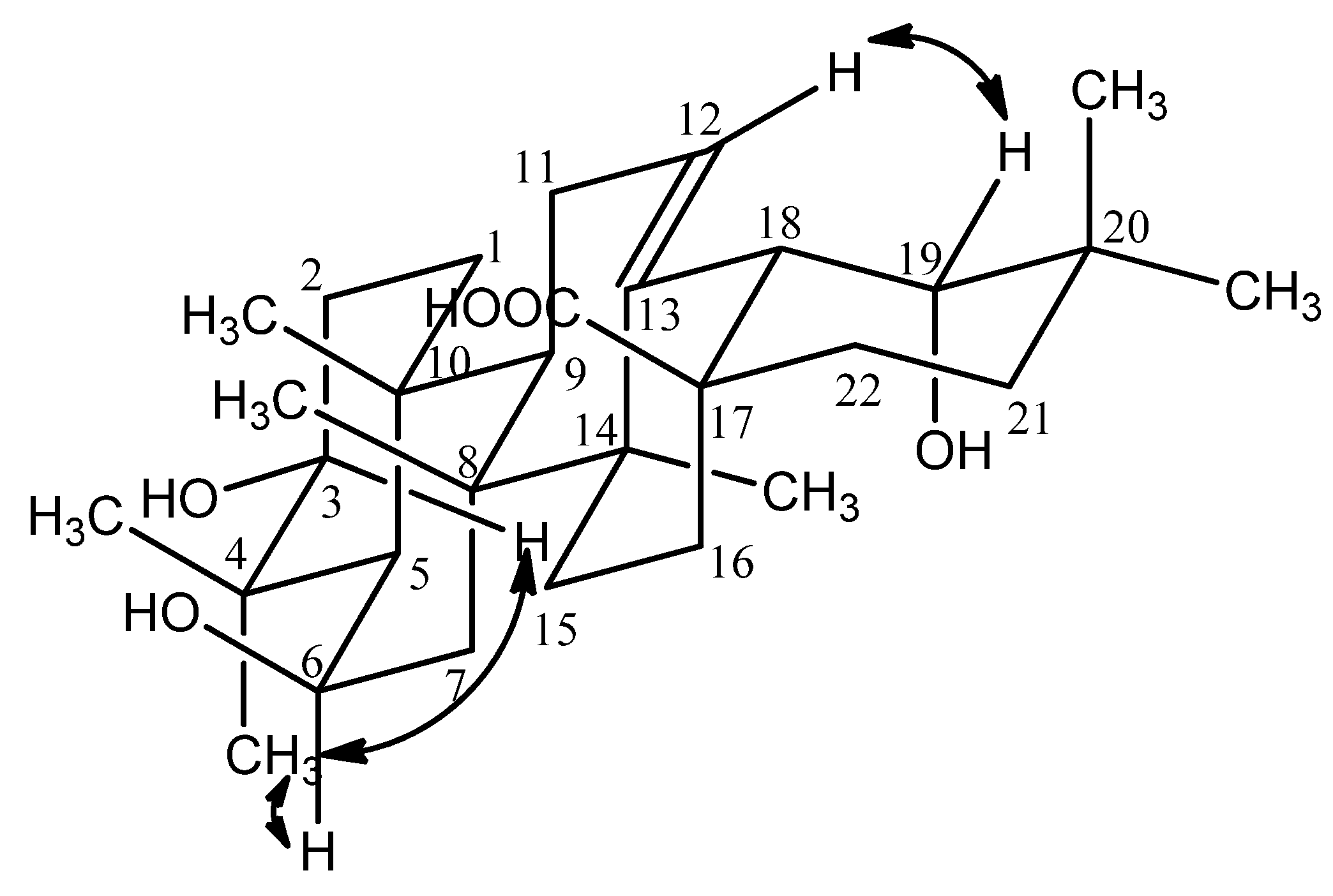
2.1. Structural Identification


3. Experimental
3.1. General
3.2. Plant Material
3.3. Extraction and Isolation
3.4. Spectral Data
| Position | 1H(δ) | 13C(δ) | HMBC |
|---|---|---|---|
| 1 | 1.54 (2H, m) | 41.96 | 28.19 (C-2), 80.39 (C-3), 57.68 (C-5), 38.04 (C-10), 17.31 (C-25) |
| 2 | 1.51(1H, m), | 28.19 | 41.96 (C-1) |
| 1.68 (1H, m) | |||
| 3 | 3.09 (1H, dd, J =11.4, 3.6 Hz) | 80.39 | 41.96 (C-1), 17.76 (C-24) |
| 4 | 40.93 | ||
| 5 | 0.75 (1H, d, J = 1.8 Hz) | 57.68 | 80.39 (C-3), 40.93(C-4), |
| 69.22 (C-6), 38.04 (C-10) | |||
| 6 | 4.49 (1H, br.s) | 69.22 | |
| 7 | 0.97(1H, m), | 42.01 | 57.68 (C-5), 40.12 (C-8), |
| 1.54 (1H, m) | 43.24 (C-14) | ||
| 8 | 40.12 | ||
| 9 | 3.31 (1H, s) | 49.83 | 42.01 (C-7), 40.12 (C-8), |
| 17.31 (C-25) | |||
| 10 | 38.04 | ||
| 11 | 2.02 (2H, m) | 24.90 | 49.83 (C-9), 38.04 (C-10), |
| 144.10 (C-13) | |||
| 12 | 5.35 (1H, br. s) | 125.36 | 24.90 (C-11), 144.10 (C-13), |
| 45.42 (C-18) | |||
| 13 | 144.10 | ||
| 14 | 43.24 | ||
| 15 | 0.99 (1H, m), | 29.83 | 144.10 (C-13) |
| 1.70 (1H, m) | |||
| 16 | 1.57 (1H, m), 2.26 (1H, td, J = 13.2, 3.6 Hz) | 28.88 | 29.83 (C-15), 46.98 (C-17) |
| 17 | 46.98 | ||
| 18 | 3.07 (1H, d, J = 3.6 Hz) | 45.42 | 43.24 (C-14), 28.88 (C-16) |
| 19 | 3.26 (1H, d, J = 3.6 Hz) | 82.75 | 45.42 (C-18), 36.24 (C-20), |
| 29.63 (C-21), 25.45 (C-29) | |||
| 20 | 36.24 | ||
| 21 | 0.99 (1H, m), | 29.63 | |
| 1.70 (1H, m) | |||
| 22 | 1.60 (1H, m), | 34.27 | 46.98 (C-17), 36.24 (C-20), |
| 1.76 (1H, m) | 182.65 (C-28) | ||
| 23 | 1.05 (3H, s) | 28.51 | 80.39 (C-3), 40.93 (C-4), |
| 57.68 (C-5) | |||
| 24 | 1.16 (3H, s) | 17.76 | 80.39 (C-3), 40.93 (C-4), |
| 57.68 (C-5), 28.51 (C-23) | |||
| 25 | 1.29 (3H, s) | 17.31 | 57.68 (C-5), 40.12 (C-8), |
| 49.83 (C-9), 38.04 (C-10) | |||
| 26 | 1.07 (3H, s) | 18.66 | 42.01 (C-7), 40.12 (C-8), |
| 49.83 (C-9), 43.24 (C-14) | |||
| 27 | 1.27 (3H, s) | 25.21 | 29.83 (C-15) |
| 28 | 182.65 | ||
| 29 | 0.97 (3H, s) | 25.45 | 82.75 (C-19), 36.24 (C-20), |
| 29.63 (C-21), 28.84 (C-30) | |||
| 30 | 0.94 (3H, s) | 28.84 | 82.75 (C-19), 36.24 (C-20), |
| 29.63 (C-21), 25.45 (C-29) |
3.5. Bioassays
4. Conclusions
Acknowledgments
- Samples Availability: Samples of compound 1 are available from the authors.
References and Notes
- Risdale, C.E. A revision of Mitragyna and Uncaria (Rubiaceae). Blumea 1978, 24, 43–100. [Google Scholar]
- Tanahashi, T.; Takenaka, Y.; Kobayashi, C.; Watsuji, J.; Nagakura, N.; Chen, C.C. Oxindole alkaloids from Uncaria setiloba. Nat. Med. 1997, 51, 556. [Google Scholar]
- Yepez, P.; Ana, M.; Lock de Ugaz, O.; Alvarez, A.; Carmen, M.; De Feo, V.; Aquino, R.; De Simone, F.; Pizza, C. Quinovic acid glycosides from Uncaria guianensis. Phytochemistry 1991, 30, 1635–1637. [Google Scholar]
- Lee, J.S.; Yang, M.Y.; Yeo, H.; Kim, J.; Lee, H.S.; Ahn, J.S. Uncarinic acids: Phospholipase Cγ1 inhibitors from hooks of Uncaria rhynchophylla. Bioorg. Med. Chem. Lett. 1999, 9, 1429–1432. [Google Scholar] [CrossRef]
- Lee, K.K.; Zhou, B.-N.; Kingston, D.G.I.; Vaisberg, A.J.; Hammond, G.B. Bioactive indole alkaloids from the bark of Uncaria guianensis. Planta Med. 1999, 65, 759–760. [Google Scholar] [CrossRef]
- Laus, G.; Wurst, K. X-ray crystal structure analysis of oxindolealkaloids. Helv. Chim. Acta 2003, 86, 181–187. [Google Scholar] [CrossRef]
- Yepez, P.; Ana, M.; Lock de Ugaz, O.; Alvarez, A.; Carmen, M.; De Feo, V.; Aquino, R.; De Simone, F.; Pizza, C. Quinovic acidglycosides from Uncaria guianensis. Phytochemistry 1991, 30, 1635–1637. [Google Scholar] [CrossRef]
- Wirth, C.; Wagner, H. Pharmacologically active procyanidines from the bark of Uncaria tomentosa. Phytomedicine 1997, 4, 265–266. [Google Scholar] [CrossRef]
- Doddrell, D.M.; Khong, P.W.; Lewis, K.G. The stereochemical dependence of 13C chemical shifts in olean-12-enes and urs-12-enes as an aid to structural assignment. Tetrabedron Lett. 1974, 15, 2381–2386. [Google Scholar] [CrossRef]
- Sun, G.L.; Zhang, X.P.; Xu, X.D.; Yang, J.S.; Zhong, M.L.; Yuan, J.Q. A new triterpenefrom the plant of Uncaria Macrophylla. Molecules 2012, 17, 504–510. [Google Scholar]
- Aimi, N.; Likhitwitayawuid, K.; Goto, J.; Ponglux, D.; Haginiwa, J.; Sakai, S. Triterpenoidal constituents of Uncaria orida Vidal. Tetrahedron 1989, 45, 4125–4134. [Google Scholar] [CrossRef]
© 2012 by the authors; licensee MDPI, Basel, Switzerland. This article is an open-access article distributed under the terms and conditions of the Creative Commons Attribution license (http://creativecommons.org/licenses/by/3.0/).
Share and Cite
Sun, G.; Zhang, X.; Xu, X.; Yang, J.; Zhong, M.; Yuan, J. A New Triterpene From Uncaria macrophylla and Its Antitumor Activity. Molecules 2012, 17, 1883-1889. https://doi.org/10.3390/molecules17021883
Sun G, Zhang X, Xu X, Yang J, Zhong M, Yuan J. A New Triterpene From Uncaria macrophylla and Its Antitumor Activity. Molecules. 2012; 17(2):1883-1889. https://doi.org/10.3390/molecules17021883
Chicago/Turabian StyleSun, Guangli, Xiaopo Zhang, Xudong Xu, Junshan Yang, Mingliang Zhong, and Jingquan Yuan. 2012. "A New Triterpene From Uncaria macrophylla and Its Antitumor Activity" Molecules 17, no. 2: 1883-1889. https://doi.org/10.3390/molecules17021883
APA StyleSun, G., Zhang, X., Xu, X., Yang, J., Zhong, M., & Yuan, J. (2012). A New Triterpene From Uncaria macrophylla and Its Antitumor Activity. Molecules, 17(2), 1883-1889. https://doi.org/10.3390/molecules17021883
