Next Article in Journal
Formation of Sulfonyl Aromatic Alcohols by Electrolysis of a Bisazo Reactive Dye
Next Article in Special Issue
Chiral Peptide Nucleic Acids with a Substituent in the N-(2-Aminoethy)glycine Backbone
Previous Article in Journal
Assessment of the in Vitro Antiprotozoal and Cytotoxic Potential of 20 Selected Medicinal Plants from the Island of Soqotra
Previous Article in Special Issue
Peptide-Based Selective Inhibitors of Matrix Metalloproteinase-Mediated Activities
 
 
Font Type:
Arial Georgia Verdana
Font Size:
Aa Aa Aa
Line Spacing:
Column Width:
Background:
Article

Oxime-Based Carbonates as Useful Reagents for Both N-Protection and Peptide Coupling

by
Yahya El-Sayed Jad
1,
Sherine N. Khattab
1,
Ayman El-Faham
1,2,3,* and
Fernando Albericio
3,4,5,6,*
1
Department of Chemistry, Faculty of Science, Alexandria University, P.O. Box 426, Ibrahimia, 21321 Alexandria, Egypt
2
Department of Chemistry, College of Science, King Saud University, P.O. Box 2455, 11451 Riyadh, Saudi Arabia
3
Department of Chemistry and Molecular Pharmacology, Institute for Research in Biomedicine, Barcelona Science Park, Baldiri Reixac 10, 08028 Barcelona, Spain
4
CIBER-BBN, Networking Centre on Bioengineering, Biomaterials and Nanomedicine, Barcelona Science Park, Baldiri Reixac 10, 08028 Barcelona, Spain
5
Department of Organic Chemistry, University of Barcelona, Martí i Franqués 1-11, 08028 Barcelona, Spain
6
School of Chemistry, University of KwaZulu-Natal, 4041 Durban, South Africa
*
Authors to whom correspondence should be addressed.
Molecules 2012, 17(12), 14361-14376; https://doi.org/10.3390/molecules171214361
Submission received: 22 October 2012 / Revised: 23 November 2012 / Accepted: 30 November 2012 / Published: 5 December 2012
(This article belongs to the Special Issue Chemical Protein and Peptide Synthesis)

Abstract

:
We have demonstrated that oxime-based mixed carbonates are very effective reagents for both N-protection and peptide coupling.

1. Introduction

Peptides are increasingly gaining recognition as potential bioactive ingredients in the pharmaceutical industry [1,2,3]. Peptide synthesis depends on the strategies used for protecting the α-amino group and for activating the carboxylic acid group prior to peptide coupling. The two main classes [4,5,6] of carboxylic acid group activation methods are: (i) those that require in situ activation of the carboxylic acid and (ii) those that require an activated species that has previously been prepared (usually from an in situ activation step), isolated, purified, and characterized.
The amino group is most commonly protected by preparing the corresponding carbamate derivative. Despite the vast number of reagents reported to date for introducing the protecting group into the N-terminal amino group, there is still no universally active species capable of providing optimal protecting group introduction.
The traditional chloroformate strategy is an extremely powerful approach, providing fast amino group protection [7,8,9]. Nevertheless, in some cases, presence of the free carboxylic acid group can interfere with the reaction and lead to formation of byproducts such as dipeptides and even tripeptides (Scheme 1) [10].
Scheme 1. Mechanism for the formation side products (dipeptides and tripeptides) during the protection of amino acids with haloformates.
Scheme 1. Mechanism for the formation side products (dipeptides and tripeptides) during the protection of amino acids with haloformates.
Molecules 17 14361 g002
Since these side-reactions are associated with the quality of the leaving group, the less reactive species such as the dicarbonates 2 (Figure 1) [11,12,13,14] and the succinimidocarbonates 3 (Figure 1) [15,16] have previously been proposed as alternatives to the chloride 1 (Figure 1). Use of the azide derivatives 4 (Figure 1), [17,18] has also been proposed as an alternative for the chloride to prepare the N-protection of amino acids, but the explosive nature of azides precludes their use in large-scale synthesis. Moreover, several other approaches, based on the use of other less reactive species such as the 1,2,2,2-tetrachloroethyl [19,20], the 5-norbornene-2,3-dicarboximido [21], the pentafluorophenyl [22,23,24], and the 1-hydroxybenzotriazole [14,25,26] mixed carbonates 58 (Figure 1), have been proposed.
Recently, ethyl 2-cyano-2-(hydroxyimino)acetate (OxymaPure®, 12a) has been tested as an additive for use in the carbodiimide approach for the formation of peptide bonds [27]. OxymaPure® and its uronium-based phosphium coupling reagents displayed a remarkable capacity to inhibit racemization, together with impressive coupling efficiency, in both automated and manual synthesis, superior to those of 12d and which has recently been reported to exhibit explosive properties [26] at least comparable to those of HOAt uronium-based phosphonium coupling reagents [28,29,30,31,32,33,34].
Later, we reported a series of Fmoc/Alloc-oxime carbonate reagents which are easy to prepare, stable, and highly reactive crystalline materials that afford nearly pure Fmoc/Alloc-amino acids in high yields. Among the Fmoc-oxime carbonates that we evaluated for the preparation of Fmoc/Alloc-Gly-OH, the N-hydroxypicolinimidoyl cyanide derivative 9 (Figure 1) gave the best results [35]. More recently, our research group reported the cyanoacetamide-based oximes 10 (Figure 1), which show unusual ability to afford Fmoc-protected amino acids in high yield, high purity and at lower cost relative to compound 9 [36].
Figure 1. Structure of carbonates derivatives.
Figure 1. Structure of carbonates derivatives.
Molecules 17 14361 g001
Herein, we extended our studies for the synthesis of a new family of carbonate derivatives based on OxymaPure®, which are easy to prepare, stable, and have shown high efficiency in N-protection as well as peptide coupling.

2. Results and Discussion

2.1. Preparation of Carbonate Derivatives

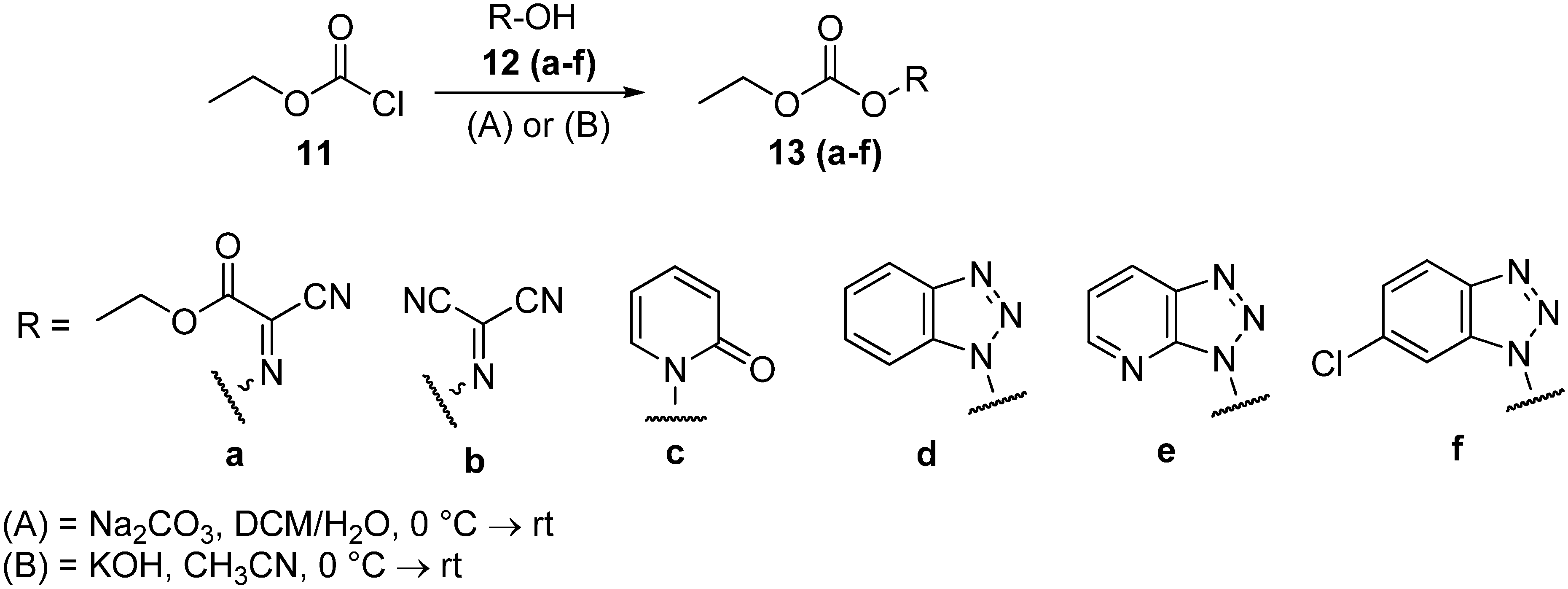
The carbonate derivatives 13 were readily prepared by reacting ethyloxycarbonyl chloride (11) with an oxime (compounds 12a or 12b), N-hydroxy-2-pyridinone (12c) or benzotriazole derivatives (HOBt, 12d or 6-Cl-HOBt, 12f) in the presence of sodium carbonate in DCM/H2O (3:2) as solvent at 0 °C, with stirring at this temperature for 2 h (Scheme 2). After subsequent workup followed by isolation and recrystallization from CH2Cl2/hexane, ethyl 2-cyano-2-(ethoxycarbonyloxyimino)acetate (13a), (ethoxycarbonyloxy)carbonimidoyl dicyanide (13b), ethyl 2-oxopyridin-1(2H)-yl carbonate (13c), 1H-benzo[d][1,2,3]triazol-1-yl ethyl carbonate (13d), and 6-chloro-1H-benzo[d][1,2,3]triazol-1-yl ethyl carbonate (13f), were prepared in 46–78% yield (Table 1).
Scheme 2. Preparation of the carbonate derivatives 13.
Scheme 2. Preparation of the carbonate derivatives 13.
Molecules 17 14361 g003
Table 1. Yield, m.p. and elemental analysis of the carbonate derivatives 13.
Table 1. Yield, m.p. and elemental analysis of the carbonate derivatives 13.
Compd.MethodYield (%)m.p. (°C)Elemental Analysis: Calculated (Found)
CHN
13aA7844–4544.86 (45.08)4.71 (4.63)13.08 (13.17)
13bA69oily43.12 (43.25)3.02 (2.89)25.14 (25.33)
13cA7664–6752.46 (52.21)4.95 (5.16)7.65 (7.91)
13dA52138–13952.17 (51.96)4.38 (4.54)20.28 (20.49)
13e *B77133–13546.16 (45.88)3.87 (4.14)26.91 (27.19)
13fA76144–14544.74 (44.53)3.34 (3.61)17.39 (17.18)
* 13e was prepared by reacting ethyloxycarbonyl chloride 11 with HOAt 12e in the presence of anhydrous potassium hydroxide (1 equivalent) in acetonitrile as solvent at 0 °C.
Three different oxime carbonate derivatives: ethyl 2-cyano (isobutoxycarbonyloxyimino)acetate (17), ethyl 2-(allyloxycarbonyloxyimino)-2-cyanoacetate (18) and ethyl 2-(benzyloxycarbonyloxy-imino)-2-cyanoacetate (19) were prepared by reacting the corresponding chloroformates 1416 and OxymaPure® (12a) in the presence of sodium carbonate in DCM/H2O (3:2) as solvent at 0 °C (Scheme 3). After subsequent workup followed by isolation and recrystallization from CH2Cl2/hexane, the corresponding oxime carbonates 1719 were obtained in 87–94% yield (Table 2).
Scheme 3. Preparation of oximinocarbonate derivatives.
Scheme 3. Preparation of oximinocarbonate derivatives.
Molecules 17 14361 g004
Table 2. Yield, m.p. and elemental analysis of the oximinocarbonate derivatives 1719.
Table 2. Yield, m.p. and elemental analysis of the oximinocarbonate derivatives 1719.
ProductYield (%)m.p. (°C)Elemental Analysis: Calculated (Found)
CHN
179359–6049.58 (49.81)5.83 (5.57)11.56 (11.74)
1894Oily47.79 (47.93)4.46 (4.61)12.39 (12.58)
198799–10056.52 (56.23)4.38 (4.62)10.14 (10.41)

2.2. Preparation of 4-(Ethoxycarbonylamino)benzoic Acid

To study the reactivity of prepared carbonate derivatives 13af and their utility for the preparation of the N-protected amino acids, we initiated our studies with 4-aminobenzoic acid (20), which on treatment with the previously synthesized carbonate derivatives 13af in a homogenous acetone/aqueous solvent mixture in the presence of sodium carbonate with stirring overnight at room temperature, provides the product 21. Samples of 4-(ethoxycarbonylamino)benzoic acid (21) were obtained from the different carbonate derivatives after removing the unreacted starting carbonate by extracting with ether and acidifying the aqueous layer with 1N HCl (Scheme 4). The purity of the product 21 was determined after injection onto reverse-phase HPLC are shown in Table 3.
Scheme 4. N-protection of 4-aminobenzoic acid using carbonate derivatives 13af.
Scheme 4. N-protection of 4-aminobenzoic acid using carbonate derivatives 13af.
Molecules 17 14361 g005
Table 3. Yield %, m.p., purity % of 4-(ethoxycarbonylamino)benzoic acid 21.
Table 3. Yield %, m.p., purity % of 4-(ethoxycarbonylamino)benzoic acid 21.
CarbonateYield (%) m.p. (°C)Purity * (%)
13a43198–20095.3
13b38199–20188.5
13c59198–200100
13d11184–19277.1
13e31198–20297.0
13f42190–19583.6
* The purity was determined by HPLC using the following Conditions: detection at 220 nm (Waters 996 PDA detector); Sunfire C18 column (3.5 µm 4.6 × 100 mm); linear gradient over 14 min (10 to 100% CH3CN in H2O/0.1% TFA); flow rate 1.0 mL/min. tR [4-(ethoxycarbonylamino)benzoic acid] = 4.18 min.
Table 3 showed that, 1H-benzo[d][1,2,3]triazol-1-yl ethyl carbonate (13d) provided the lowest purity (77.1%) and yield (11%) of all the ethoxycarbonyl carbonate derivatives. (Ethoxycarbonyloxy)carbonimidoyl dicyanide (13b) and 6-chloro-1H-benzo[d][1,2,3]triazol-1-yl ethyl carbonate (13f) provided moderate levels of purity (88.5% and 83.6%) and yield (38% and 42%). Ethyl 2-cyano-2-(ethoxycarbonyloxyimino)acetate (13a) and 3H-[1,2,3]triazolo[4,5-b]pyridin-3-yl ethyl carbonate (13e) provided high purity (95.3% and 97.0%, respectively) and moderate yield (43% and 31%), while, ethyl 2-oxopyridin-1(2H)-yl carbonate (13c) provided the highest yield (59%) with excellent purity (100%) as indicated from the HPLC traces.

2.3. HPLC Study of the Rate of Formation of the Active Ester

Before attempting simultaneous protection and activation of amino acids, we tried to prepare active esters of N-protected amino acids using the carbonate derivatives 13a, 17, 18, and 19 to ensure that these compounds can activate carboxylic acids by forming the corresponding active ester for different Fmoc-amino acids. The reaction of Fmoc-amino acids with oxime carbonate derivatives was monitored by HPLC to study the rate of formation of the active ester. Aliquots (5 µL) of the reaction mixture were taken, diluted with acetonitrile, and then analyzed by HPLC. Follow-up samples were studied at intervals of time 30 min and 1, 2, 4 and 24 h pre-activation. This enabled us to determine the optimum pre-activation time for each carbonate reagent, as excessively long times could lead to greater formation of alkyl or aryl esters.

2.3.1. The Rate of Formation of the Active Ester of Fmoc-Val-OH Using Oxime Carbonate Derivatives

Mixing of Fmoc-Val-OH 22 with the oxime carbonate reagents EtocOXY 13a, iBuocOXY 17, AllocOXY 18 and ZOXY 19 in the presence of pyridine in DMF, we observed maximum levels of the active ester was formed at 4 h for 13a, 2 h for 17, 30 min for 18 and 1 h for 19. Whereas the alkyl or aryl esters 26 started to be formed after 2 and 1 h in case of EtocOXY 13a and iBuocOXY 17, respectively, and after half an hour in case of AllocOXY 18 and ZOXY 19 respectively. Therefore, the optimum pre-activation time should not exceed more than 2 and 1 h in case of EtocOXY 13a and iBuocOXY 17, respectively, and should be less than half an hour in case of both AllocOXY 18 and ZOXY 19 systems. Best results for formation of the active ester were obtained with the oxime carbonate 17 and 18, while the oxime carbonates 13a and 19 gave high yield of the alkyl ester (Table 4, Table 5, Table 6 and Table 7).
Table 4. The rate of formation of the active ester of Fmoc-Val-OH 22 using ethyl 2-cyano-2-(ethoxycarbonyloxyimino)acetate (13a).
Table 4. The rate of formation of the active ester of Fmoc-Val-OH 22 using ethyl 2-cyano-2-(ethoxycarbonyloxyimino)acetate (13a).
Pre-activation time (hr)Oxyma 12aFmoc-Val-OH 22Active ester 27Ethyl ester
½7.240.637.8n/a
13.748.039.8n/a
22.329.561.7n/a
43.518.761.113.2
2419.117.415.048.5
Table 5. The rate of formation of the active ester of Fmoc-Val-OH 22 using ethyl 2-cyano-2-(isobutoxycarbonyloxyimino)acetate (17).
Table 5. The rate of formation of the active ester of Fmoc-Val-OH 22 using ethyl 2-cyano-2-(isobutoxycarbonyloxyimino)acetate (17).
Pre-activation time (hr)Oxyma 12aFmoc-Val-OH 22Active ester 27Isobutyl ester
½3.154.733.6n/a
10.945.944.3n/a
21.437.254.81.9
42.627.363.56.7
2416.816.021.945.3
Table 6. The rate of formation of the active ester of Fmoc-Val-OH 22 usingethyl 2-(allyloxycarbonyloxyimino)-2-cyanoacetate (18).
Table 6. The rate of formation of the active ester of Fmoc-Val-OH 22 usingethyl 2-(allyloxycarbonyloxyimino)-2-cyanoacetate (18).
Pre-activation time (hr)Oxyma 12aFmoc-Val-OH 22Active ester 27Allyl ester
½n/a9.463.910.8
1n/a14.258.13.7
2n/a5.773.06.1
423.62.855.9n/a
Table 7. The rate of formation of the active ester of Fmoc-Val-OH 22 using ethyl 2-(benzyloxycarbonyloxyimino)-2-cyanoacetate (19).
Table 7. The rate of formation of the active ester of Fmoc-Val-OH 22 using ethyl 2-(benzyloxycarbonyloxyimino)-2-cyanoacetate (19).
Pre-activation time (hr)Oxyma 12aFmoc-Val-OH 22Active ester 27Benzyl ester
½1.540.452.5n/a
13.428.153.77.5
26.919.048.413.1
411.614.132.220.2
2422.114.12.131.4

2.3.2. The Rate of Formation of the Active Ester of Fmoc-Phe-OH Using Oxime Carbonate Derivatives

Due to the best results obtained from the previous example with the oxime carbonate derivatives 17 and 18, Fmoc-Phe-OH 23 was tested with iBuocOXY 17 and AllocOXY 18 under the same conditions used in the previous example. From the results obtained from HPLC monitoring, the maximum levels of the active ester 27 are formed from the oxime carbonate derivatives 17 and 18 at 1 and 2 h, respectively; while the alkyl esters 26 appeared after 30 min and 1 hour, respectively. Thus, the pre-activation time in both systems should not exceed more than 30 min (Table 8 and Table 9).
Table 8. The rate of formation of the active ester of Fmoc-Phe-OH 23 using ethyl 2-cyano-2-(isobutoxycarbonyloxyimino)acetate (17).
Table 8. The rate of formation of the active ester of Fmoc-Phe-OH 23 using ethyl 2-cyano-2-(isobutoxycarbonyloxyimino)acetate (17).
Pre-activation time (hr)Oxyma 12aFmoc-Phe-OH 23Active ester 27Isobutyl ester
½n/a28.343.014.7
10.815.872.08.4
20.519.558.26.1
40.816.263.31.5
243.521.452.722.0
Table 9. The rate of formation of the active ester of Fmoc-Phe-OH 23 using ethyl 2-(allyloxycarbonyloxyimino)-2-cyanoacetate (18).
Table 9. The rate of formation of the active ester of Fmoc-Phe-OH 23 using ethyl 2-(allyloxycarbonyloxyimino)-2-cyanoacetate (18).
Pre-activation time (hr)Oxyma 12aFmoc-Phe-OH 23Active ester 27Allyl ester
½4.724.758.56
14.622.365.90.4
25.512.674.60.6
45.819.268.30.4
2413.54.653.425.4

2.3.3. The Rate of Formation of the Active Ester of Fmoc-Pro-OH Using Oxime Carbonate Derivatives

To ensure that we will get the same results with the oxime carbonate derivatives 17 and 18, further study was performed with the more sterically hindered amino acid Fmoc-Pro-OH 24 using the two carbonate derivatives iBuocOXY 17 and AllocOXY 18. From the results obtained by HPLC monitoring, we observed the maximum levels of the active ester 27 after 30 min and 2 h, respectively; while the alkyl esters 26 appeared after 30 min and 1 hour, respectively. Thus, the pre-activation time in both systems should not exceed more than 30 min, which in agreement with the previous results (Table 10 and Table 11).
Table 10. The rate of formation of the active ester of Fmoc-Pro-OH 24 using ethyl 2-Cyano-2-(isobutoxycarbonyloxyimino)acetate (17).
Table 10. The rate of formation of the active ester of Fmoc-Pro-OH 24 using ethyl 2-Cyano-2-(isobutoxycarbonyloxyimino)acetate (17).
Pre-activation time (hr)Oxyma 12aFmoc-Pro-OH 24Active ester 27Isobutyl ester
½0.213.459.85.0
11.647.434.16.7
21.330.753.93.1
41.630.855.83.8
2417.875.96.3n/a
Table 11. The rate of formation of the active ester of Fmoc-Pro-OH 24 using ethyl 2-(allyloxycarbonyloxyimino)-2-cyanoacetate (18).
Table 11. The rate of formation of the active ester of Fmoc-Pro-OH 24 using ethyl 2-(allyloxycarbonyloxyimino)-2-cyanoacetate (18).
Pre-activation time (hr)Oxyma 12aFmoc-Pro-OH 24Active ester 27Allyl ester
½1.413.265.7n/a
11.813.370.32.8
23.015.270.62.7
413.858.024.33.9
2419.446.718.715.2
The results obtained from Table 4, Table 5, Table 6, Table 7, Table 8, Table 9, Table 10 and Table 11 may indicate that, the activation of carboxylic acid group of the amino acid using oximinocarbonate derivatives may proceed through a mixed anhydride-type intermediate 25, which may react with the oxyma anion to afford the active ester 27 (Scheme 5). Its decarboxylation will afford alkyl or aryl esters 26, which is a rather slow step. All intermediate stages of the reaction are run at low temperature to prevent side reactions.
Scheme 5. Mechanism of the formation of the oxime active ester using oxyme carbonates.
Scheme 5. Mechanism of the formation of the oxime active ester using oxyme carbonates.
Molecules 17 14361 g006

2.4. Synthesis of Dipeptide Fmoc-Val-Ala-OMe

As an initial model to examine the reactivity of the oxime carbonate 13a, 17, 18 and 19 as coupling reagents, these reagents were examined in the stepwise coupling of a previously studied model system [29] Fmoc-Val-Ala-OMe 28. The pre-activation time was determined for each of these coupling reagents according to the previous studies obtained from HPLC for the rate of formation of active ester. All coupling reactions were performed in the presence of 2 equiv. pyridine as a base and in DMF as solvent. The results for each coupling reagent are given in Table 12.
Table 12. Coupling of Fmoc-Val-OH with H-Ala-OMe 28 using different oxime carbonate derivatives.
Table 12. Coupling of Fmoc-Val-OH with H-Ala-OMe 28 using different oxime carbonate derivatives.
Coupling reagentPre-activation time (hr)m.p. (°C)Yield (%)HPLC Purity (%)
EtocOXY 13a2195–19677100
iBuocOXY 171192–1935496.1
AllocOXY 18½194–1957598.7
ZOXY 19½194–1956497.7
The purity of the dipeptide 28 was determined by HPLC, and was found to be 96.1 to 100% at tR LL [Fmoc-Val-Ala-OMe] = 8.32 min. From Table 12, the highest yield and purity was obtained with EtocOXY 13a, while the lowest yield and purity was obtained with iBuocOXY 17 and ZOXY 19. While, the AllocOXY 18 had moderate yield and purity. None of the D,L-isomer was detected by HPLC or NMR spectra in all the cases, but the impurities were related to the alkyl ester and oxime.

3. Experimental

3.1. Materials

The solvents used were of HPLC reagent grade. Melting points were determined with a Mel-Temp apparatus and are uncorrected. Infrared (IR) spectra were recorded on a Perkin-Elmer 1600 series Fourier transform instrument as KBr pellets. Nuclear Magnetic resonance spectra (1H-NMR and 13C-NMR spectra) were recorded on a JOEL 500 MHz and on a Mercury 400 MHz spectrometer with chemical shift values reported in δ units (ppm) relative to an internal standard. Elemental analyses were performed on Perkin-Elmer 2400 elemental analyzer, and the values found were within ±0.3% of the theoretical values. Follow-up of the reactions and checks of the purity of the compounds was done by TLC on silica gel-protected aluminum sheets (Type 60 GF254, Merck, Barcelona, Spain) and the spots were detected by exposure to UV-lamp at λ 254 nm for a few seconds. The compounds were named using ChemDraw Ultra version 11, CambridgeSoft Corporation (Cambridge, MA, USA).

3.2. General Method for Preparation of Ethyloxycarbonyl Derivatives 13(a–d, f)

A solution of ethyloxycarbonyl chloride (11, 0.95 mL, 10 mmol) in CH2Cl2 (30 mL) was added slowly to a solution of sodium carbonate (2.12 g, 20 mmol) and 10 mmol of oximes (12a, 12b), 1-hydroxypyridin-2(1H)-one (12c), or benzotriazole derivatives (12d or 12f) in H2O (20 mL) with stirring at 0 °C. The resulting clear mixture was stirred at 0°C for 30 min and then at room temperature for 2 h. After dilution with CH2Cl2 (50 mL), the organic phase was collected and washed with water and saturated aqueous NaCl (30 mL), dried over anhydrous Na2SO4 and then filtered, and the solvent was then removed on a rotary evaporator. The residue was recrystallized from CH2Cl2/hexane to give the ethyloxycarbonyl derivatives 13(ad, f).
Ethyl 2-cyano-2-(ethoxycarbonyloxyimino)acetate (13a). The product was obtained as white crystals (1.67 g; 78.17% yield) (m.p. 44–45 °C). IR (KBr): 2241 (w, CN), 1812 (s, CO), 1741 (s, CO, ester) cm−1. 1H-NMR (CDCl3): δ 1.39–1.41 (m, 6H, 2 CH3), 4.43–4.47 (m, 4H, 2 CH2). 13C-NMR (CDCl3): δ 14.14, 14.26, 64.76, 67.33, 106.67, 131.03, 150.87, 156.81. Elemental analysis Calcd for C8H10N2O5: C, 44.86; H, 4.71; N, 13.08. Found: C, 45.08; H, 4.63; N, 13.17.
(Ethoxycarbonyloxy)carbonimidoyl dicyanide (13b). The product was obtained as an oil at room temperature (1.15 g; 68.89% yield). IR (KBr): 2248 (w, CN), 1811 (s, CO, ester) cm−1. 1H-NMR (CDCl3): δ 1.43 (t, 3H, 3J = 7.2 Hz, CH3), 4.49 (q, 2H, 3J = 7.2 Hz, CH2). 13C-NMR (CDCl3): δ 14.18, 68.32, 104.81, 108.03, 114.44, 149.70. Elemental analysis: Calcd for C6H5N3O3: C, 43.12; H, 3.02; N, 25.14. Found: C, 43.25; H, 2.89; N, 25.33.
Ethyl 2-oxopyridin-1(2H)-yl carbonate (13c). The product was obtained as white crystals (1.38 g; 75.47% yield) (m.p. 64–67 °C). IR (KBr): 1792 (s, CO), 1668 (s, CO, amidic) cm−1. 1H-NMR (CDCl3): δ 1.42 (t, 3H, 3J = 7.2 Hz, CH3), 4.42 (q, 2H, 3J = 7.2 Hz, CH2), 6.20 (td, 1H, 3J = 6.8 Hz, 4J = 1.6 Hz, Py-H), 6.72–6.74 (m, 1H, Py-H), 7.36 (td, 1H, 3J = 6.8 Hz, 4J = 2 Hz, Py-H), 7.46 (dd, 1H, 3J = 6.8 Hz, 4J = 2 Hz, Py-H). 13C-NMR (CDCl3): δ 14.25, 67.53, 105.29, 123.18, 135.14, 139.69, 152.45, 157.31.
1H-Benzo[d][1,2,3]triazol-1-yl ethyl carbonate (13d). The product was obtained as white crystals (1.07 g; 51.84% yield) (m.p. 138–139 °C). IR (KBr): 1751 (s, CO) cm−1. 1H-NMR (CDCl3): δ 1.53 (t, 3H, 3J = 7.2 Hz, CH3), 4.63 (q, 2H, 3J = 7.2 Hz, CH2), 7.56 (td, 1H, 3J = 8.4 Hz, 4J = 0.8 Hz, Ar-H), 7.78 (td, 1H, 3J = 8.4 Hz, 4J = 1.2 Hz, Ar-H), 8.00 (d, 1H, 3J = 8.4 Hz, Ar-H), 8.21 (d, 1H, 3J = 8.4 Hz, Ar-H). 13C-NMR (CDCl3): δ = 14.42, 65.67, 115.27, 115.88, 126.46, 132.91, 133.54, 147.52. Elemental analysis: Calcd for C9H9N3O3: C, 52.17; H, 4.38; N, 20.28. Found: C, 51.96; H, 4.54; N, 20.49.
6-Chloro-1H-benzo[d][1,2,3]triazol-1-yl ethyl carbonate (13f). The product was obtained as white crystals (1.81 g; 75.67% yield) (m.p. 144–145 °C). IR (KBr): 1743 (s, CO) cm−1. 1H-NMR (CDCl3): δ 1.53 (t, 3H, 3J = 7.2 Hz, CH3), 4.62 (q, 2H, 3J = 7.2 Hz, CH2), 7.72 (dd, 1H, 3J = 8.8 Hz, 4J = 2 Hz, Ar-H), 8.00 (d, 1H, 4J = 2 Hz, Ar-H), 8.16 (d, 1H, 3J = 8.8 Hz, Ar-H). 13C-NMR (CDCl3): δ 14.42, 65.99, 115.70, 116.32, 132.19, 132.81, 133.78, 147.32. Elemental analysis: Calcd for C9H8ClN3O3: C, 44.74; H, 3.34; N, 17.39. Found: C, 44.53; H, 3.61; N, 17.18.

3.3. 3H-[1,2,3]Triazolo[4,5-b]pyridin-3-yl Ethyl Carbonate (13e)

A solution of HOAt (12e, 0.68 g, 5 mmol) and anhydrous potassium hydroxide (0.3 g, 5.5 mmol) in acetonitrile (5 mL) was cooled to 0 °C. A solution of ethyloxycarbonyl chloride (11, 0.47 mL, 5 mmol) in acetonitrile (5 mL) was slowly added dropwise for 30 min to the solution as it was stirred magnetically. The resulting clear mixture was stirred at room temperature overnight. It was then filtered, and the solvent was removed with a rotary evaporator. The residue was recrystallized from CH2Cl2/hexane to give 3H-[1,2,3]triazolo[4,5-b]pyridin-3-yl ethyl carbonate (13e). The product was obtained as 0.8 g (77.14% yield) of white crystals (m.p. 133–135 °C). IR (KBr): 1744 (s, CO) cm−1. 1H-NMR (DMSO): δ 1.05 (t, 3H, 3J = 7.2 Hz, CH3), 3.43 (q, 2H, 3J = 7.2 Hz, CH2), 7.49–7.53 (m, 1H, Ar-H), 8.52–8.55 (m, 1H, Ar-H), 8.75–8.77 (m, 1H, Ar-H), 13C-NMR (DMSO): δ 18.47, 55.94, 120.62, 124.09, 134.52, 139.50, 151.01. Elemental analysis: Calcd for C8H8N4O3: C, 46.16; H, 3.87; N, 26.91. Found: C, 45.88; H, 4.14; N, 27.19.

3.4. General Method for Preparation of Oxime Carbonate Derivatives 17–19

A solution of chloroformate (10 mmol) [isobutyloxycarbonyl chloride (14), allyloxycarbonyl chloride (15) or benzyloxycarbonyl chloride (16)] in CH2Cl2 (30 mL) was added slowly to a solution (10 mmol) of oxima 12a and sodium carbonate (2.12 g, 20 mmol) in H2O (20 mL) with stirring at 0 °C. The resulting clear mixture was stirred at 0 °C for 30 min and then at room temperature for 2 h. After dilution with CH2Cl2 (50 mL), the organic phase was collected, washed with water and saturated aqueous NaCl (30 mL), and then dried over anhydrous MgSO4. It was then filtered, and the solvent was removed with a rotary evaporator. The residue was recrystallized from CH2Cl2/hexane to give oxime carbonate derivatives 1719.
Ethyl 2-cyano-2-(isobutoxycarbonyloxyimino)acetate (17). The product was obtained as a white solid (2.42 g; 93% yield) (m.p. 59–60 °C). IR (KBr): 1814 (s, CO), 1758 (s, CO, ester) cm−1. 1H-NMR (CDCl3): δ 1.00 (d, J = 6.8 Hz, 6H, 2 CH3), 1.42 (t, J = 7.2 Hz, 3H, CH3), 2.06–2.13 (m, 1H, CH), 4.17 (d, J = 6.4 Hz, 2H, CH2), 4.50 (q, J = 7.2 Hz, 2H, CH2). 13C-NMR (CDCl3): δ 14.16, 18.89, 27.95, 64.75, 106.70, 130.97, 151.10, 156.84. Elemental analysis: Calcd for C10H14N2O5: C, 49.58; H, 5.83; N, 11.56. Found: C, 49.81; H, 5.57; N, 11.74. The purity of 17 was determined after injection onto reverse-phase HPLC. Conditions: detection at 254 nm Waters 996 PDA detector, Sunfire C18 column 3.5 µm 4.6 ° 100 mm, linear gradient over 14 min of 10 to 100% CH3CN in H2O/0.1% TFA, flow rate 1.0 mL/min. tR [ethyl 2-cyano-2-(isobutoxycarbonyloxyimino)acetate] = 7.38 min; purity 100%.
Ethyl 2-(allyloxycarbonyloxyimino)-2-cyanoacetate (18). The product was obtained as an oily substance that solidified in the refrigerator (2.26 g; 94% yield). IR (KBr): 2211 (w, CN), 1809 (s, CO), 1758 (s, CO, ester) cm−1. 1H-NMR (CDCl3): δ 1.42 (t, 3H, 3J = 7.2 Hz, CH3), 4.48 (q, 2H, 3J = 7.2 Hz, CH2), 4.85–4.87 (m, 2H, CH2), 5.39–5.51 (m, 2H, CH2), 5.96–6.03 (m, 1H, CH). 13C-NMR (CDCl3): δ 14.11, 64.78, 71.23, 106.62, 121.27, 130.07, 131.24, 150.74, 156.73. Elemental analysis. Calcd for C9H10N2O5: C, 47.79; H, 4.46; N, 12.39. Found: C, 47.93; H, 4.61; N, 12.58. The purity of 18 was determined after injection onto reverse-phase HPLC. Conditions: detection at 254 nm Waters 996 PDA detector, Sunfire C18 column 3.5 µm 4.6 ° 100 mm, linear gradient over 14 min of 10 to 100% CH3CN in H2O/0.1% TFA, flow rate 1.0 mL/min. tR [ethyl 2-(allyloxycarbonyloxyimino)-2-cyanoacetate] = 6.69 min; purity 100%.
Ethyl 2-(benzyloxycarbonyloxyimino)-2-cyanoacetate (19). The product was obtained as white crystals (2.76 g; 87% yield) (m.p. 99–100 °C). IR (KBr): 1802 (s, CO), 1743 (s, CO, ester) cm−1. 1H-NMR (CDCl3): δ 1.41 (t, 3H, 3J = 7.2 Hz, CH3), 4.47 (q, 2H, 3J = 7.2 Hz, CH2), 5.38 (s, 2H, CH2), 7.40–7.44 (m, 5H, Ar-H). 13C-NMR (CDCl3): δ 14.17, 64.80, 72.57, 106.63, 129.06, 129.23, 129.63, 131.23, 133.59, 151.00, 156.76. Elemental analysis: Calcd for C13H12N2O5: C, 56.52; H, 4.38; N, 10.14. Found: C, 56.23; H, 4.62; N, 10.41. The purity of 19 was determined after injection onto reverse-phase HPLC. Conditions: detection at 254 nm Waters 996 PDA detector, Sunfire C18 column 3.5 µm 4.6 ° 100 mm, linear gradient over 14 min of 10 to 100% CH3CN in H2O/0.1% TFA, flow rate 1.0 mL/min. tR [ethyl 2-(benzyloxycarbonyloxyimino)-2-cyanoacetate] = 7.31 min; purity 100%.

3.5. Synthesis of 4-(Ethoxycarbonylamino)benzoic Acid (21)

A solution of ethyloxycarbonyl derivative 13(af) (1 mmol) in acetone (10 mL) was added dropwise to a stirring solution of 4-aminobenzoic acid 20 (0.14 g, 1 mmol) and sodium carbonate (0.32 g, 3 mmol) in acetone (20 mL) and H2O (10 mL). After stirring overnight, the reaction mixture was concentrated under reduced pressure, and then extracted with CH2Cl2 (20 mL) to remove the unreacted ethyloxycarbonyl derivatives. The reaction mixture was acidified with 1 N HCl (detected with Congo red litmus paper) to give a white solid, which was filtered, washed with water several times, dried and then recrystallized (ethyl acetate/n-hexane) to give a white solid. The purity of 21 was determined by reverse-phase HPLC. Conditions: detection at 220 nm (Waters 996 PDA detector); Sunfire C18 column (3.5 µm 4.6 × 100 mm); linear gradient over 14 min (10 to 100% CH3CN in H2O/0.1% TFA); flow rate 1.0 mL/min. tR [4-(ethoxycarbonylamino)benzoic acid] = 4.18 min. IR (KBr): 3334 (w, NH), 3400–2500 (br, OH, acid), 1704 (s, CO, acidic), 1686 (s, CON) cm−1. 1H-NMR (DMSO): δ 1.24 (t, 3H, 3J = 7.2 Hz, CH3), 4.13 (q, 2H, 3J = 7.2 Hz, CH2), 7.54 (d, 2H, 3J = 8.4 Hz, Ar-H), 7.82 (d, 2H, 3J = 8.4 Hz, Ar-H), 9.93 (s, 1H, NH). 13C-NMR (DMSO): δ 15.11, 61.11, 117.91, 124.91, 131.05, 144.12, 153.00, 167.63.

3.6. HPLC Study of the Rate of Formation of Active Esters

3.6.1. The Rate of Formation of the Active Ester of Fmoc-Val-OH 22 Using Oxime Carbonate Derivatives 13a, 17–19

A solution of Fmoc-Val-OH 22 (0.0423 g, 0.125 mmol) and the oxime carbonate derivatives 13a, 17, 18 or 19 (0.125 mmol) was dissolved in DMF (2 mL) in the presence of pyridine (20 µL). The reaction was monitored by HPLC. Aliquots (5 µL) were taken from the reaction mixture, diluted with ACN and detected by HPLC. Follow-ups were done at 30 min and at 1, 2, 4 and 24 h pre-activation. The percentages of OxymaPure® 12a, Fmoc-Val-OH 22, active ester 27, and alkyl or aryl ester 26 were determined by HPLC analysis of the diluted reaction mixture. Conditions: detection at 254 nm (Waters 996 PDA detector); Sunfire C18 column (3.5 µm 4.6 × 100 mm); linear gradient over 14 min (10 to 100% CH3CN in H2O/0.1% TFA); flow rate 1.0 mL/min. tR [active ester] = 8.4 min. The percentages of OxymaPure® 12a, Fmoc-Val-OH 22, active ester 27, and alkyl or aryl esters 26 are shown in Table 4, Table 5, Table 6 and Table 7.

3.6.2. The Rate of Formation of the Active Ester of Fmoc-Phe-OH 23 Using Oxime Carbonate Derivatives 17 or 18

A solution of Fmoc-Phe-OH 23 (0.0483 g, 0.125 mmol) and oxime carbonate derivative 17 or 18 (0.125 mmol) was dissolved in DMF (2 mL) in the presence of pyridine (20 µL). The reaction was monitored by HPLC. Aliquots (5 µL) were taken from the reaction mixture, diluted with ACN and detected by HPLC. Follow-ups were done at 30 min and at 1, 2, 4 and 24 h pre-activation. The percentages of OxymaPure® (12a), Fmoc-Phe-OH 23, active ester 27 and alkyl ester 26 were determined by HPLC analysis of the diluted reaction mixture. Conditions: detection at 254 nm (Waters 996 PDA detector); Sunfire C18 column (3.5 µm 4.6 × 100 mm); linear gradient over 14 min (10 to 100% CH3CN in H2O/0.1% TFA); flow rate 1.0 mL/min. tR [active ester] = 8.4 min. The percentages of OxymaPure® (12a), Fmoc-Phe-OH 23, active ester 27 and alkyl esters 26 are shown in Table 8 and Table 9.

3.6.3. The Rate of Formation of the Active Ester of Fmoc-Pro-OH 24 Using Oxime Carbonate Derivatives 17 or 18

A solution of Fmoc-Pro-OH 24 (0.0421 g, 0.125 mmol) and oxime carbonate derivative 17 or 18 (0.125 mmol) was dissolved in DMF (2 mL) in the presence of pyridine (20 µL). The reaction was monitored by HPLC. Aliquots (5 µL) were taken from the reaction mixture, diluted with ACN and analyzed by HPLC. Follow-ups were done at 30 min and at 1, 2, 4 and 24 h pre-activation. The percentages of OxymaPure® (12a), Fmoc-Pro-OH 24, active ester 27 and alkyl ester 26 were determined by HPLC analysis of the diluted reaction mixture. Conditions: detection at 254 nm Waters 996 PDA detector, Sunfire C18 column 3.5 µm 4.6 × 100 mm, linear gradient over 14 min of 10 to 100% CH3CN in H2O/0.1% TFA, flow rate 1.0 mL/min. tR [active ester] = 8.2 min. The percent of Oxyma 12a, Fmoc-Pro-OH 24, active ester 27 and alkyl esters 26 are shown in Table 10 and Table 11.

3.7. General Method for the Synthesis of Dipeptide Fmoc-Val-Ala-OMe 28

A solution of Fmoc-Val-OH 22 (0.339 g, 1 mmol) and the appropriate coupling reagent (1 mmol) in DMF (2 mL) was cooled to 0 °C and treated dropwise with pyridine (0.088 mL, 1.1 mmol). The reaction mixture was stirred for pre-activation at different times, depending on the conditions of the entry studied, and then treated with a solution of H-Ala-OMe.HCl (0.139 g, 1 mmol) and pyridine (0.088 mL, 1.1 mmol) in DMF (1 mL). The reaction mixture was stirred overnight. After dilution with 25 mL of ethyl acetate, the organic phase was washed with 5% citric acid (3 × 15 mL), saturated aq. NaHCO3 (3 × 15 mL) and saturated aq. NaCl (3 × 15 mL), and then dried over anhydrous Na2SO4 and filtered. The solvent was removed with a rotary evaporator, and the residue was recrystallized from CH2Cl2/hexane to give the dipeptide Fmoc-Val-Ala-OMe 28. The purity of 28 was by reverse-phase HPLC. Conditions: detection at 220 nm (Agilent 1200 PDA detector); Eclipse plus C18 column (3.5 µm 4.6 × 100 mm); linear gradient over 14 min (10 to 100% CH3CN in H2O/0.1% TFA); flow rate 1.0 mL/min. tR LL [Fmoc-Val-Ala-OMe] = 8.32 min. The results of coupling of Fmoc-Val-OH with H-Ala-OMe using different oximinocarbonate derivatives are shown in Table 12. 1H-NMR (CDCl3): δ 0.94–0.98 (m, 6H, 2CH3), 1.40 (d, 3H, 3J = 6.9 Hz, CH3), 2.10–2.11 (m, 1H, CH), 3.73 (s, 3H, CH3), 3.90–4.00 (m, 1H, CH), 4.17–4.21 (m, 1H, CH), 4.34–4.43 (m, 2H, CH2), 4.55–4.58 (m, 1H, CH), 5.47–5.51 (m, 1H, NH), 6.42–6.45 (m, 1H, NH), 7.25–776 (m, 8H, Ar-H).

4. Conclusions

Protection of the amino group and activation of the carboxylic acid groups are the most important steps associated with peptide synthesis. A possible strategy is to use oxime carbonate derivatives to simultaneously protect the amino group as a carbamate derivative and activate the carboxylic acid group as an active oxime ester was performed. A detailed study is carried out to understand the scope and limitations of this method using different oxime carbonate derivatives. The efficiency of these derivatives depends on the nature of oxime carbonates and also on the nature of the amino acids. From our studies we determined that the new family of oximes are useful reagents for both N-protection and activation of the protected amino acid. As a final conclusion from our studies, the iBuocOXY compound 17 and AllocOXY compound 18 both give the best results for formation of the active ester with less alkyl ester formation, while the EtocOXY compund 13a gave the best results for the coupling step. The ZOXY reagent 19 might be not useful in either the activation or coupling steps.

Acknowledgments

In Spain, the work was partially financed by CICYT (CTQ2009-07758), the Generalitat de Catalunya (2009SGR 1024), the Institute for Research in Biomedicine Barcelona (IRB Barcelona) and the Barcelona Science Park. The Science and Technology Development Fund (STDF) in Egypt is thanked for its partial support through the Research Project TC/12/RSG/2012 (Proposal ID (4769)).
  • Sample Availability: Samples of the most part of the compounds are available from the authors.

References

  1. Groner, B. Peptides as Drugs. Discovery and Development; Wiley-VCH: Hoboken, NJ, USA, 2009; pp. 1–219. [Google Scholar]
  2. Sewald, N.; Jakubke, H.-D. Peptides: Chemistry and Biology, 2nd ed; Wiley-VCH: Hoboken, NJ, USA, 2009; pp. 63–162. [Google Scholar]
  3. Edwards, C.M.B.; Cohen, M.A.; Bloom, S.R. Peptides as drugs. QJM 1999, 92, 1–4. [Google Scholar] [CrossRef]
  4. Han, S.-Y.; Kim, Y.-A. Recent development of peptide coupling reagents in organic synthesis. Tetrahedron 2004, 60, 2447–2467. [Google Scholar] [CrossRef]
  5. Montalbetti, C.A.G.N.; Falque, V. Amide bond formation and peptide coupling. Tetrahedron 2005, 61, 10827–10852. [Google Scholar] [CrossRef]
  6. El-Faham, A.; Albericio, F. Peptide Coupling Reagents, More than a Letter Soup. Chem. Rev. 2011, 111, 6557–6602. [Google Scholar] [CrossRef]
  7. Bergmann, M.; Zervas, L. ber ein allgemeines Verfahren der Peptid-Synthese. Ber. Deut. Chem. Ges. 1932, 65B, 1192–1202. [Google Scholar] [CrossRef]
  8. Guibé, F. Allylic Protecting Groups and Their Use in a Complex Environment Part II: Allylic Protecting Groups and their Removal through Catalytic Palladium π-Allyl Methodology. Tetrahedron 1998, 54, 2967–3042. [Google Scholar] [CrossRef]
  9. Rajesh, K.P.; Dagade, S.P.; Dongare, M.K.; Kumar, P. Synthesis of Carbamates Using Yttria-Zirconia Based Lewis Acid Catalyst. Synth. Commun. 2003, 33, 4019–4027. [Google Scholar] [CrossRef]
  10. Tessier, M.; Albericio, F.; Pedroso, E.; Grandas, A.; Eritja, R.; Giralt, E.; Granier, C.; van Rietschoten, J. Amino-acids condensations in the preparation of N alpha-9-fluorenylmethyloxycarbonylamino-acids with 9-fluorenylmethylchloroformate. Int. J. Pept. Protein Res. 1983, 22, 125–128. [Google Scholar]
  11. Sennyey, G.; Barcelo, G.; Senet, J.-P. Diallyl dicarbonate. A convenient reagent for the synthesis of allyl carbamates. Tetrahedron Lett. 1987, 28, 5809–5810. [Google Scholar]
  12. Stevens, C.M.; Watanabe, R. Amino Acid Derivatives. I. Carboallyloxy Derivatives of α-Amino Acids. J. Am. Chem. Soc. 1950, 72, 725–727. [Google Scholar] [CrossRef]
  13. Sennyey, G.; Borcelo, G.; Senet, J.-P. Synthesis and use of dibenzylpyrocarbonate: preparation of dipeptide free n-benzyloxycarbonyl glycine. Tetrahedron Lett. 1986, 27, 5375–5376. [Google Scholar] [CrossRef]
  14. Wünsch, E.; Graf, W.; Keller, O.; Keller, W.; Wersin, G. On theSynthesis of Benzyloxycarbonyl Amino Acids. Synthesis 1986, 1986, 958–960. [Google Scholar] [CrossRef]
  15. Paquet, A. Introduction of 9-fluorenylmethyloxycarbonyl, trichloroethoxycarbonyl, and benzyloxycarbonyl amine protecting groups into O-unprotected hydroxyamino acids using succinimidyl carbonates. Can. J. Chem. 1982, 60, 976–980. [Google Scholar] [CrossRef]
  16. Chinchilla, R.; Dodsworth, D.J.; Nájera, C.; Soriano, J.M. New Polymer-Supported Allyloxycarbonyl (Alloc) and Propargyloxycarbonyl (Proc) Amino-Protecting Reagents. Synlett 2003, 2003, 809–812. [Google Scholar]
  17. Carpino, L.A.; Han, G.Y. The 9-Fluorenylmethoxycarbonyl Amino-Protecting Group. J. Am. Chem. Soc. 1972, 57, 3404–3409. [Google Scholar]
  18. Cruz, L.J.; Beteta, N.G.; Ewenson, A.; Albericio, F. “One-Pot” Preparation of N-Carbamate Protected Amino Acids via the Azide. Org. Process Res. Dev. 2004, 8, 920–924. [Google Scholar] [CrossRef]
  19. Barcelo, G.; Senet, J.-P.; Sennyey, G. 1,2,2,2-Tetrachlorethyl tert-butyl carbonate: A simple and efficient reagent for the tert-butoxycarbonylation of amines and amino acids. J. Org. Chem. 1985, 50, 3951–3953. [Google Scholar] [CrossRef]
  20. Barcelo, G.; Senet, J.-P.; Sennyey, G.; Bensoam, J.; Loffet, A. Alkyl 1-Chloroalkyl Carbonates: Reagents for the Synthesis of Carbamates and Protection of Amino Groups. Synthesis 1986, 1986, 627–632. [Google Scholar]
  21. Henklein, P.; Heyne, H.-V.; Halatsch, W.R.; Niedrich, H. 5-Norbornene-2,3-dicarboximido Carbonochloridate. A New Stable Reagent for the Introduction of Amino-Protecting Groups. Synthesis 1987, 1987, 166–167. [Google Scholar] [CrossRef]
  22. Schön, I.; Kisfaludy, L. 9-Fluorenylmethyl Pentafluorophenyl Carbonate as a Useful Reagent for the Preparation of N-9-Fluorenylmethyloxycarbonylamino Acids and their Pentafluorophenyl Esters. Synthesis 1986, 1986, 303–305. [Google Scholar] [CrossRef]
  23. Ramapanicker, R.; Baig, N.B.R.; De, K.; Chandrasekaran, S. One-pot protection and activation of amino acids using pentafluorophenyl carbonates. J. Pept. Sci. 2009, 15, 849–855. [Google Scholar] [CrossRef]
  24. Ramapanicker, R.; Rajasekaran, S.; Gupta, R.; Chandrasekaran, S. Simultaneous Protection and Activation of Amino Acids Using Propargyl Pentafluorophenyl Carbonate. Org. Lett. 2006, 8, 1933–1936. [Google Scholar] [CrossRef]
  25. Hayakawa, Y.; Wakabayashi, S.; Kato, H.; Noyori, R. The allylic protection method in solid-phase oligonucleotide synthesis. An efficient preparation of solid-anchored DNA oligomers. J. Am. Chem. Soc. 1990, 112, 1691–1696. [Google Scholar] [CrossRef]
  26. Ibrahim, T.S.; Tala, S.R.; El-Feky, S.A.; Abdel-Samii, Z.K.; Katritzky, A.R. Benzotriazole reagents for the syntheses of Fmoc, Boc and Alloc protected amino acids. Synlett 2011, 2011, 2013–2016. [Google Scholar] [CrossRef]
  27. Subirós-Funosas, R.; Prohens, R.; Barbas, R.; El-Faham, A.; Albericio, F. Oxyma: An Efficient Additive for Peptide Synthesis to Replace the Benzotriazole-Based HOBt and HOAt with a Lower Risk of Explosion. Chem. Eur. J. 2009, 15, 9394–9403. [Google Scholar]
  28. Wehrstedt, K.D.; Wandrey, P.A.; Heitkamp, D. Explosive properties of 1-hydroxybenzotriazoles. J. Hazard. Mater. 2005, A126, 1–7. [Google Scholar]
  29. Subiros-Funosas, R.; Acosta, G.A.; El-Faham, A.; Albericio, F. Microwave irradiation and COMU: A Superior tool for solid phase peptide synthesis. Tetrahedron Lett. 2009, 50, 6200–6202. [Google Scholar] [CrossRef]
  30. El-Faham, A.; Albericio, F. COMU: A Third Generation of Uronium-Type Based Coupling Reagent. J. Pept. Sci. 2010, 16, 6–9. [Google Scholar] [CrossRef]
  31. El-Faham, A.; Subiros-Funosas, R.; Albericio, F. A novel family of onium salts based upon isonitroso Meldrum´s acid proves useful as peptide coupling reagents. Eur. J. Org. Chem. 2010, 3641–3649. [Google Scholar]
  32. Subiros-Funosas, R.; El-Faham, A.; Albericio, F. PyOxP and PyOxB: the Oxyma-based novel family of phosphonium salts. Org. Biomol. Chem. 2010, 8, 3665–3673. [Google Scholar] [CrossRef]
  33. Subiros-Funosas, R.; El-Faham, A.; Albericio, F. Use of Oxyma as pH modulatory agent to be used in the prevention of base-driven side reactions and its effect on 2-chlorotrityl chloride resin. Biopolymers 2012, 98, 89–97. [Google Scholar] [CrossRef]
  34. Kamińki, Z.J.; Kolesińska, B.; Sabatino, G.; Chelli, M.; Rovero, P.; Blasz, M.; Glówka, M.L.; Papini, A.M. N-Triazinylammonium Tetrafluoroborates. A New Generation of Efficient Coupling Reagents Useful for Peptide Synthesis. J. Am. Chem. Soc. 2005, 127, 16912–16920. [Google Scholar]
  35. Khattab, S.N.; Subirós-Funosas, R.; El-Faham, A.; Albericio, F. Oxime Carbonates: Novel Reagents for the Introduction of Fmoc and Alloc Protecting Groups, Free of Side Reactions. Eur. J. Org. Chem. 2010, 17, 3275–3280. [Google Scholar]
  36. Khattab, S.N.; Subirós-Funosas, R.; El-Faham, A.; Albericio, F. Cyanoacetamide-based oxime carbonates: an efficient, simple alternative for the introduction of Fmoc with minimal dipeptide formation. Tetrahedron 2012, 68, 3056–3062. [Google Scholar] [CrossRef]

Share and Cite

MDPI and ACS Style

Jad, Y.E.-S.; Khattab, S.N.; El-Faham, A.; Albericio, F. Oxime-Based Carbonates as Useful Reagents for Both N-Protection and Peptide Coupling. Molecules 2012, 17, 14361-14376. https://doi.org/10.3390/molecules171214361

AMA Style

Jad YE-S, Khattab SN, El-Faham A, Albericio F. Oxime-Based Carbonates as Useful Reagents for Both N-Protection and Peptide Coupling. Molecules. 2012; 17(12):14361-14376. https://doi.org/10.3390/molecules171214361

Chicago/Turabian Style

Jad, Yahya El-Sayed, Sherine N. Khattab, Ayman El-Faham, and Fernando Albericio. 2012. "Oxime-Based Carbonates as Useful Reagents for Both N-Protection and Peptide Coupling" Molecules 17, no. 12: 14361-14376. https://doi.org/10.3390/molecules171214361

APA Style

Jad, Y. E.-S., Khattab, S. N., El-Faham, A., & Albericio, F. (2012). Oxime-Based Carbonates as Useful Reagents for Both N-Protection and Peptide Coupling. Molecules, 17(12), 14361-14376. https://doi.org/10.3390/molecules171214361

Article Metrics

Back to TopTop