DNA as a Chiral Scaffold for Asymmetric Synthesis
Abstract
:1. Introduction
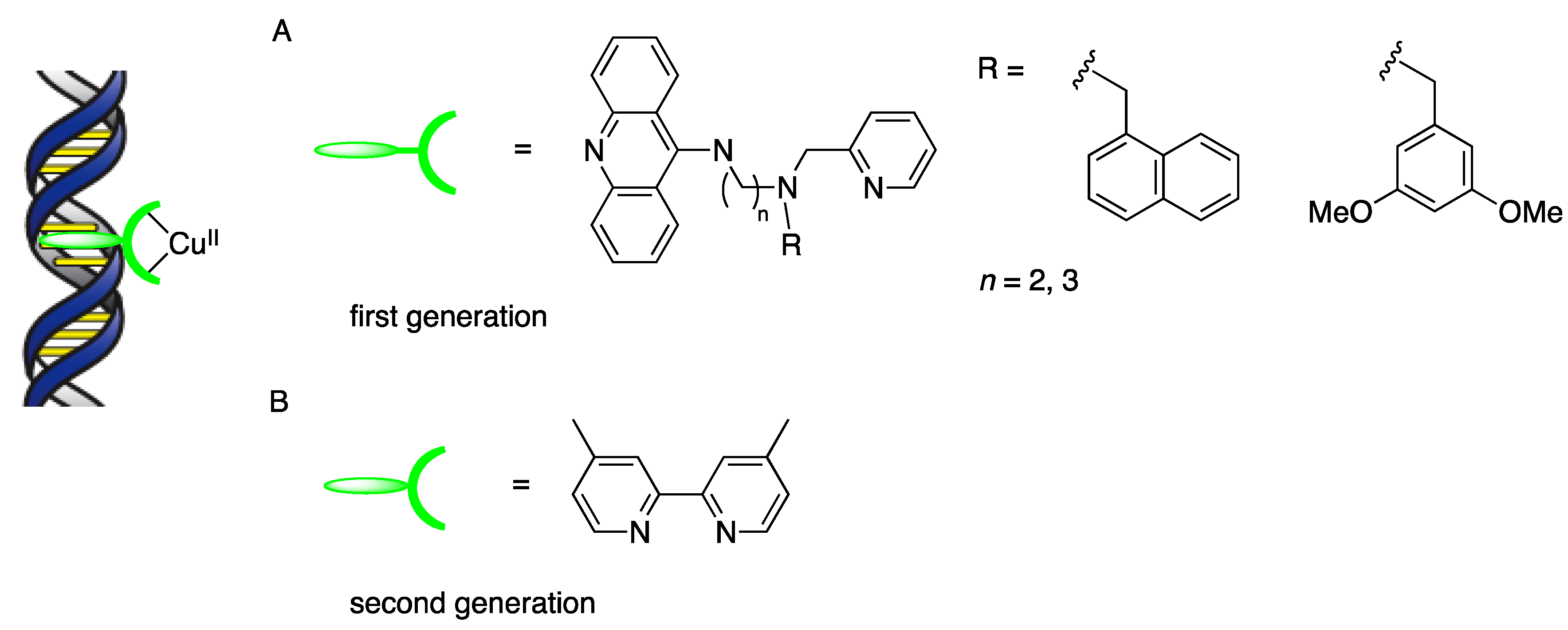
2. The Advent of DNA Hybrid Catalyst and the Catalyst Design


3. The Reaction Scope of DNA-Based Asymmetric Synthesis
3.1. Carbon-Carbon Bond Forming Reaction


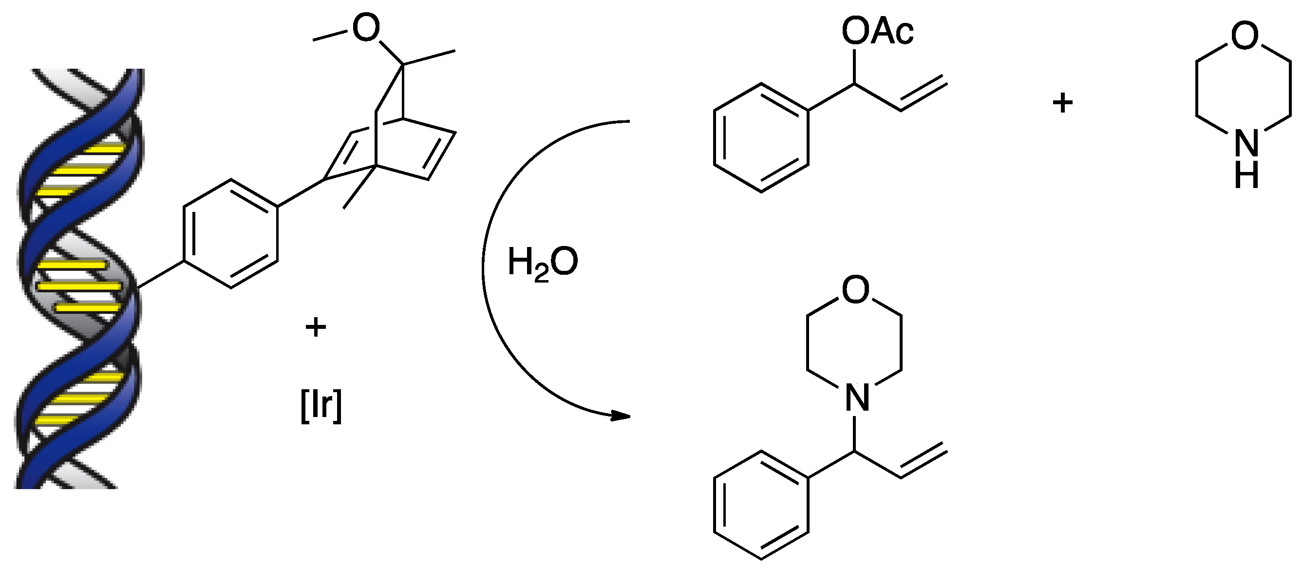
3.2. Carbon-Heteroatom Bond Forming Reaction



4. Toward an In-Depth Understanding of DNA-Based Asymmetric Synthesis
4.1. Stereoinduction Mechanism

4.2. Expanding the Synthetic Capabilities of DNA-Based Asymmetric Catalysis


5. Conclusions, Challenges and Perspectives
References and Notes
- Davis, B.G. Chemical modification of biocatalysts. Curr. Opin. Biotechnol. 2003, 14, 379–386. [Google Scholar] [CrossRef]
- Thomas, C.M.; Ward, T.R. Artificial metalloenzymes: Proteins as hosts for enantioselective catalysis. Chem. Soc. Rev. 2005, 34, 337–346. [Google Scholar] [CrossRef]
- Krämer, R. Supramolecular bioinorganic hybrid catalysts for enantioselective transformations. Angew. Chem. Int. Ed. 2006, 45, 858–860. [Google Scholar] [CrossRef]
- Lu, Y. Biosynthetic inorganic chemistry. Angew. Chem. Int. Ed. 2006, 45, 5588–5601. [Google Scholar] [CrossRef]
- Letondor, C.; Ward, T.R. Artificial metalloenzymes for enantioselective catalysis: Recent advances. ChemBioChem 2006, 7, 1845–1852. [Google Scholar] [CrossRef]
- Mihovilovic, M.D. Stereoselective hybrid catalysts: New opportunities. J. Chem. Technol. Biotechnol. 2007, 82, 1067–1071. [Google Scholar] [CrossRef]
- Roelfes, G. DNA and RNA induced enantioselectivity in chemical synthesis. Mol. BioSyst. 2007, 3, 126–135. [Google Scholar] [CrossRef]
- Boersma, A.J.; Megens, R.P.; Feringa, B.L.; Roelfes, G. DNA-based asymmetric catalysis. Chem. Soc. Rev. 2010, 39, 2083–2092. [Google Scholar] [CrossRef]
- Park, S.; Sugiyama, H. DNA-based hybrid catalysts for asymmetric organic synthesis. Angew. Chem. Int. Ed. 2010, 49, 3870–3878. [Google Scholar] [CrossRef]
- Ren, C.; Chen, C.; Xi, F.; Nakano, T.; Okamoto, Y. Helix-sense-polymerization of phenyl[bis- (2-pyridyl)]methyl methacrylate and chiral recognition ability of the polymer. J. Polym. Sci. Part A: Polym. Chem. 1993, 31, 2721–2728. [Google Scholar]
- Reggelin, M.; Schultz, M.; Holbach, M. Helical chiral polymers without additional stereogenic units: A new class of ligands in asymmetric catalysis. Angew. Chem. Int. Ed. 2002, 41, 1614–1617. [Google Scholar] [CrossRef]
- Reggelin, M.; Doerr, S.; Klussmann, M.; Schultz, M.; Holbach, M. Helically chiral polymers: A class of ligands for asymmetric catalysis. Proc. Natl. Acad. Sci. USA 2004, 101, 5461–5466. [Google Scholar] [CrossRef]
- Müller, C.A.; Hoffart, T.; Holbach, M.; Reggelin, M. Pyridyl N-oxide substituted helically chiral poly(methacylate)s in asymmetric organocatalysis. Macromolecules 2005, 38, 5375–5380. [Google Scholar] [CrossRef]
- Sanda, F.; Araki, H.; Masuda, T. Synthesis of Ru-coordinating helical polymer and ist utilization as a catalyst for asymmetric hydrogen-transfer reaction. Chem. Lett. 2005, 34, 1642–1643. [Google Scholar] [CrossRef]
- Yamamoto, T.; Suginome, M. Helical poly(quinoxaline-2,3-diyl)s bearing metal-binding sites as polymer-based chiral ligands for asymmetric catalysis. Angew. Chem. Int. Ed. 2009, 48, 539–542. [Google Scholar] [CrossRef]
- Yamamoto, T.; Yamada, T.; Nagata, Y.; Suginome, M. High-molecular-weight polyquinoxaline-basedhelically chiral phosphine (PQXphos) as chirality-switchable, Reusable, and Highly enantioselective monodentate ligand in catalytic asymmetric hydrosilylation of styrenes. J. Am. Chem. Soc. 2010, 132, 7899–7901. [Google Scholar] [CrossRef]
- Akai, Y.; Yamamoto, T.; Nagata, Y.; Ohmura, T.; Suginome, M. Enhanced catalyst activity and enantioselectivity with chirality-switchable polymer ligand PQXphos in Pd-catalyzed asymmetric silaborative cleavage of meso-methylenecyclopropanes. J. Am. Chem. Soc. 2012, 134, 11092–11095. [Google Scholar] [CrossRef]
- Roelfes, G.; Feringa, B.L. DNA-based asymmetric catalysis. Angew. Chem. Int. Ed. 2005, 44, 3230–3232. [Google Scholar] [CrossRef]
- Roelfes, G.; Boersma, A.J.; Feringa, B.L. Highly enantioselective DNA-based catalysis. Chem. Commun. 2006, 635–637. [Google Scholar]
- There is a report of a salmon testes DNA, sodium salt purchased from Sigma having a MW of 1.3 X 106 (approximately 2,000 bp).Tanaka, K.; Okahata, Y. A DNA-lipid complex in organic media and formulation of an aligned cast film. J. Am. Chem. Soc. 1996, 118, 10679–10683. [Google Scholar] [CrossRef]
- Oltra, N.S.; Roelfes, G. Modular assembly of novel DNA-based catalysts. Chem. Commun. 2008, 6039–6041. [Google Scholar]
- Fournier, P.; Fiammengo, R.; Jäschke, A. Allylic amination by a DNA-diene-iridium hybrid catalyst. Angew. Chem. Int. Ed. 2009, 48, 4426–4429. [Google Scholar] [CrossRef]
- Boersma, A.J.; Feringa, B.L.; Roelfes, G. α,β-Unsaturated 2-acyl imidazoles as a practical class of dienophiles for the DNA-based catalytic asymmetric Diels-Alder reaction in water. Org. Lett. 2007, 9, 3647–3650. [Google Scholar] [CrossRef]
- Coquière, D.; Feringa, B.L.; Roelfes, G. DNA-based catalytic enantioselective Michael reactions in water. Angew. Chem. Int. Ed. 2007, 46, 9308–9311. [Google Scholar] [CrossRef]
- Boersma, A.J.; Feringa, B.L.; Roelfes, G. Enantioselective Friedel-Crafts reactions in water using a DNA-based catalyst. Angew. Chem. Int. Ed. 2009, 48, 3346–3348. [Google Scholar]
- Shibata, N.; Yasui, H.; Nakamura, S.; Toru, T. DNA-mediated enantioselective carbon-fluorine bond formation. Synlett 2007, 1153–1157. [Google Scholar]
- Boersma, A.J.; Coquière, D.; Greerdink, D.; Rosati, F.; Feringa, B.L.; Roelfes, G. Catalytic enantioselective syn hydration of enones in water using a DNA-based catalyst. Nat. Chem. 2010, 2, 991–995. [Google Scholar] [CrossRef]
- Boersma, A.J.; Klijn, J.E.; Feringa, B.L.; Roelfes, G. DNA-Based Asymmetric Catalysis: Sequence-Dependent Rate Acceleration and Enantioselectivity. J. Am. Chem. Soc. 2008, 130, 11783–11790. [Google Scholar]
- Park, S.; Ikehata, K.; Watabe, R.; Hidaka, Y.; Rajendran, A.; Sugiyama, H. Deciphering DNA-based asymmetric catalysis through intramolecular Friedel-Crafts alkylations. Chem. Commun. 2012, 48, 10398–10400. [Google Scholar] [CrossRef]
- Boersma, A.J.; Bruin, B.; Feringa, B.L.; Roelfes, G. Ligand denticity controls enantiomeric preference in DNA-based catalysis. Chem. Commun. 2012, 48, 2394–2396. [Google Scholar]
- Roe, S.; Ritson, D.J.; Garner, T.; Searle, M.; Moses, J.E. Tuneable DNA-based asymmetric catalysis using a G-quadruplex supramolecular assembly. Chem. Commun. 2010, 46, 4309–4311. [Google Scholar]
- Wang, C.; Li, Y.; Jia, G.; Liu, Y.; Lu, S.; Li, C. Enantioselective Friedel-Crafts reactions in water catalyzed by a human telomeric G-quadruplex DNA metalloenzyme. Chem. Commun. 2012, 48, 6232–6234. [Google Scholar]
- Wang, C.; Jia, G.; Zhou, J.; Li, Y.; Liu, Y.; Lu, S.; Li, C. Enantioselective Diels-Alder reactions with G-quadruplex DNA-based catalysts. Angew. Chem. Int. Ed. 2012, 51, 9352–9355. [Google Scholar] [CrossRef]
- In the representative reactions in this review, the substrates were dissolved in a minimal amount of organic solvents (DMSO or MeCN, less than 1% v/v) and used for the reaction. For the intermolecular Friedel–Crafts alkylation, the α,β-unsaturated 2-acylimidazole (15 μmol) and indole (75 μmol), both dissolved in DMSO (30 μL), were added to a buffered solution of a copper(II)-dmbpy-DNA catalyst (15 mL, 0.4% v/v DMSO).
- Megens, R.P.; Roelfes, G. Organic co-solvents in aqueous DNA-based asymmetric catalysis. Org. Biomol. Chem. 2010, 8, 1387–1393. [Google Scholar] [CrossRef]
- Rozenman, M.M.; Liu, D.R. DNA-templated synthesis in organic solvent. ChemBioChem 2006, 7, 253–256. [Google Scholar] [CrossRef]
- Rozenman, M.M.; Kanan, M.W.; Liu, D.R. Development and initial application of a hybridization-independent, DNA-encoded reaction discovery system compatible with organic solvents. J. Am. Chem. Soc. 2007, 129, 14933–14938. [Google Scholar]
© 2012 by the authors; licensee MDPI, Basel, Switzerland. This article is an open-access article distributed under the terms and conditions of the Creative Commons Attribution license (http://creativecommons.org/licenses/by/3.0/).
Share and Cite
Park, S.; Sugiyama, H. DNA as a Chiral Scaffold for Asymmetric Synthesis. Molecules 2012, 17, 12792-12803. https://doi.org/10.3390/molecules171112792
Park S, Sugiyama H. DNA as a Chiral Scaffold for Asymmetric Synthesis. Molecules. 2012; 17(11):12792-12803. https://doi.org/10.3390/molecules171112792
Chicago/Turabian StylePark, Soyoung, and Hiroshi Sugiyama. 2012. "DNA as a Chiral Scaffold for Asymmetric Synthesis" Molecules 17, no. 11: 12792-12803. https://doi.org/10.3390/molecules171112792
APA StylePark, S., & Sugiyama, H. (2012). DNA as a Chiral Scaffold for Asymmetric Synthesis. Molecules, 17(11), 12792-12803. https://doi.org/10.3390/molecules171112792
