Abstract
Cyclonucleosides which are fixed in a specific conformation around the glycosyl bond by a carbon and heteroatom chain constitute a unique category of nucleoside derivatives. Because they are structural analogs, cyclonucleosides and oligodeoxynucleotides containing them would be useful tools for investigating the biological functions and conformations of DNA, RNA as well as their steric interactions with proteins. C-Cyclonucleosides bridged by a carbon chain between the base and sugar moieties are the most attractive from the synthetic points of view as well as for use as biological tools. In this review, recent progress of the synthesis of C-cyclonucleosides is surveyed. Among the C-cyclonucleosides, 5′,8-C-cyclodeoxyadenosine is one of the well-known derivatives of which the first practical synthesis was reported over 30 years ago. Recently, 5′,8-C-cyclodeoxyadenosine has attracted considerable interest as a biomarker, since its formation in oxidatively-damaged DNA is considered to be related to various diseases and aging. Another important analogue of cyclonucleosides is a unique thymidine phosphate dimer, a so-called spore photoproduct, which has been found in photo-damaged DNA. Recent advances in the synthesis, mechanism-studies, and stereochemical preference of repairing enzymes related to 5′,8-C-cyclodeoxyadenosine and spore photoproducts are also reviewed.
1. Introduction
Nucleic acids contain genetic information and code blueprints for various proteins which are translated via mRNA. There is no doubt that nucleic acids are critical to life, since, once their systems are impeded, this is a fatal event in life itself in most cases. Indeed, based on this concept, many antitumor and antiviral drugs, acting on DNA, RNA and enzymes which utilize nucleic acids as a substrate, have been developed and are currently in use in clinical fields [1,2,3,4,5,6,7]. Similarly, nucleoside (nucleotide) mimics designed to interact with DNA (RNA) and to inhibit enzymes utilizing them are considered to be useful biological tools [8,9]. One such example would be a nucleoside analogue which is fixed in a specific conformation. The conformation of nucleosides is defined by three different parameters [10]: (1) conformation around the glycosyl bond (defined by the torsion angle χ), (2) conformation of the sugar portion (puckering, defined by a pseudorotational phase angle P; tan P = [(ν4 + ν1) − (ν3 + ν0)]/[2 ν2 (sin 36° + sin 72°)], (3) conformation around the C4′-5′ bond (defined by the torsion angle γ) (Figure 1). Conformational mimics of nucleosides corresponding to these three parameters have been prepared reported [11,12,13,14]. For example, it is well known that nucleoside derivatives, in which the sugar puckering is fixed in a C2′-endo (South) conformation are good conformational mimics of nucleotides found in an A-form duplex, e.g., RNA-RNA and RNA-DNA [11,12].
Figure 1.
Conformations of nucleosides.
Figure 1.
Conformations of nucleosides.

On the other hand, cyclonucleosides that are fixed in a specific conformation around the glycosyl bond by a carbon and heteroatom chain also constitute a unique category of nucleoside derivatives [15]. Due to the structural bias existing in a molecule, cyclonucleosides and oligodeoxynucleotides containing them would be useful biological tools for investigating the functions and conformations of DNA, RNA as well as their steric interactions with proteins [15]. C-Cyclonucleosides are one of the classes of cyclonucleoside derivatives bridged by a carbon chain between the base and the sugar moieties and is attractive from the synthetic points of view as well as having potential for use as biological tools [15,16] (Figure 2). Since the construction of a bicyclo scaffold by which the C-cyclonucleoside is fixed in a different glycosyl torsion angle (cf, anti-, high-anti- and syn-orientation) would be a good synthetic target, various synthesis of C-cyclonucleoside derivatives have been reported [15,16]. In this review, recent progress in the synthesis of C-cyclonucleosides is surveyed.
Among the C-cyclonucleosides, 5′,8-C-cyclodeoxyadenosine is one of the well-known derivatives: its 5′-monophosphate derivative was originally found as a product of the reaction between adenosine 5′-monophosphate and hydroxyl radicals in 1968 [17] and the first practical synthesis of 5′,8-C-cyclodeoxyadenosine via the photoreaction of 5′-thiophenyladenosine was reported in 1976 [18]. 5′,8-C-Cyclodeoxyadenosine has recently attracted interest as a biomarker since its formation in oxidatively-damaged DNA is considered to be related to various diseases and aging [19,20,21,22,23,24].
Another important analogue of cyclonucleosides is a unique thymidine phosphate dimer, a so-called spore photoproduct (SP), which was found in photo-damaged bacterial spore DNA [25,26]. In the case of pyrimidine nucleotides, cyclobutane thymine dimers and (6-4) pyrimidine pyrimidone photoproducts are typical photoproducts [26]. Although it is likely that SP belongs to a thymine dimer category, its structure is different from other cyclobutane dimers. While SP was discovered over 40 years ago [27], the mechanism of its formation has remained unclear. In addition, SP-containing spore DNA is repaired by SP lyase, which is thought to be a component of the protection system of bacterial spores against photoreaction [25,26]. In SP, four stereoisomers at the C5 position of the thymine moiety can be formed; the stereochemical preferences at C5 position to be recognized by SP lyase is the point at issue (vide infra). Recent achievements in the synthesis, mechanism-studies, and the stereochmical preference of repairing enzymes concerning 5′,8-C-cyclodeoxyadenosine and spore photoproducts are also reviewed.
Figure 2.
Structures of C-cyclonucleosides, 8,5′-C-cycloadenosine, and spore photoproduct.
Figure 2.
Structures of C-cyclonucleosides, 8,5′-C-cycloadenosine, and spore photoproduct.

2. Synthesis of C-Cyclonucleosides
2.1. Classical Synthesis of C-Cyclonucleosides
In earlier synthesis of C-cyclonucleosides, radical cyclization reactions were commonly used to construct the carbon-carbon bridge between the base and sugar. A typical example of this is the synthesis of 5′,6-C-cyclouridine reported by Ueda and co-workers, in which the radical cyclization of 5-chloro-5′-iodouridine derivative 1 was employed as a key step [28]. The reaction gave 5,6-dihydrocyclouridine 2 stereoselectively and the double bond between 5- and 6-positions was generated by treatment with DBU. Deprotection of 3 gave 5′,6-C-cyclouridine [28] (Scheme 1).
Scheme 1.
Synthesis of 5′,6-C-cyclouridine via radical cyclization.
Scheme 1.
Synthesis of 5′,6-C-cyclouridine via radical cyclization.

Similarly, Ueda et al. synthesized a 5′,8-C-cycloadenosine derivative by the radical cyclization of 5′-thiophenyladenosine 5 under photoreaction conditions [18]. The reaction coupled with oxidation gave 5′-deoxy-5′,8-C-cycloadenosine 7 after removal of the isopropylidene group [18] (Scheme 2).
Scheme 2.
Synthesis of 5′,8-C-cycloadenosine via a photoreaction.
Scheme 2.
Synthesis of 5′,8-C-cycloadenosine via a photoreaction.

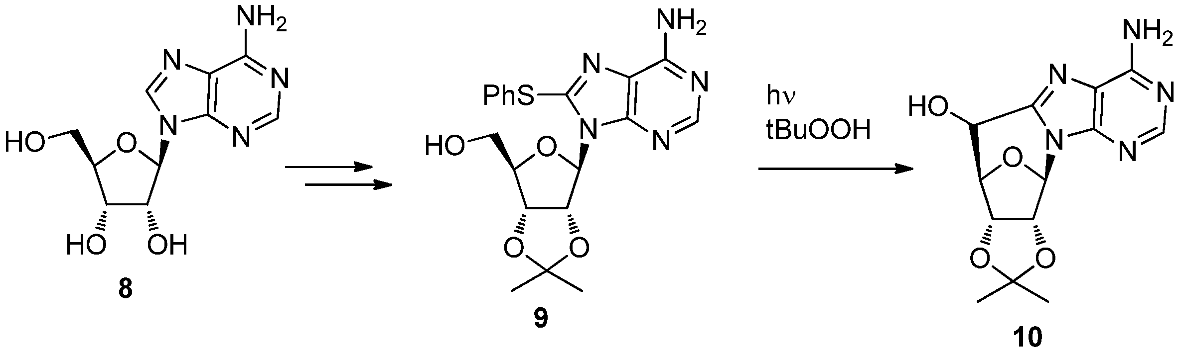
They also reported that the photoreaction of 8-thiophenoxyadenosine 9 obtained from adenosine 8 gave 5′,8-C-cycloadenosine 10 as a mixture of diastereomers at the 5′-position [29] (Scheme 3). When the reaction was initially reported, the mechanism of the formation of 5′,8-C-cycloadenosine 10 was unclear. Later, Chatgilialoglu and colleagues confirmed reaction mechanism during their studies of the reaction of the 8-bromoadenosine derivative, as well as additional chemical and biological aspects related to 5′,8-C-cycloadenosine (vide infra).
Scheme 3.
Synthesis of 5′,8-C-cycloadenosine via photoreaction of 8-thiophenoxyadenosine.
Scheme 3.
Synthesis of 5′,8-C-cycloadenosine via photoreaction of 8-thiophenoxyadenosine.

At the end of the 1980s and the early 1990s, we reported on an alternative synthesis of pyrimidine C-cyclonucleosides based on an intramolecular glycosylation reaction [30,31,32,33]. As shown in Scheme 4, 2,4-dimethoxy-6-methylpyrimidine was lithiated at the 6-methyl group and treated with the 3-ketosugar 11 to stereoselectively give a branched sugar derivative 12 [30]. The diacetate 13 derived from 12 was subjected to the intramolecular glycosylation mediated by SnCl4 to give the cyclonucleoside 14 from which 3′,6-methanouridine 15 was obtained [30] (Scheme 4).
Scheme 4.
Synthesis of 3′,6-methanouridine via intramolecular glycosylation.
Scheme 4.
Synthesis of 3′,6-methanouridine via intramolecular glycosylation.

By employing the radical cyclization and the intramolecular glycosylation reactions described above, various C-cyclonucleosides fixed in a certain conformation can be further prepared by connecting them to carbons of the sugar moiety [15,16,18,28,29,30,31,32,33].
2.2. Recent Advances in the Synthesis of C-Cyclonucleosides
As described above, radical cyclization is the most powerful tool for constructing a carbon-carbon bond between a base and sugar moieties in the synthesis of pyrimidine C-cyclonucleosides from uridine, since an alkyl radical generated on the sugar preferentially attacks the electron deficient 6-position of uracil. However, the method involves three reaction steps: (1) introduction of a chloro group at the 5-position, (2) radical cyclization, and (3) an elimination step to recover the 5,6-double bond. It was obvious that direct C-C bond formation between the 6- and 5′-positions would be the straightforward route to the preparation of 5′,6-C-cyclouridine. Although lithiation at the 6-position was reported [34], it was difficult to apply this in the synthesis of C-cyclouridine because the use of LDA was needed. We discovered that the use of LiHMDS, a rather much weaker base compared to LDA, in the presence of silylating agent permitted the 6-lithio derivative to be generated via a temporary 4-O-silylated derivative 17, which spontaneously cyclized to give 5′-deoxy-5′,6-C-cyclouridine [35] (3). As shown in Scheme 5 and Table 1, both diphenylmethylsilyl chloride and diphenyldichlorosilane were effective in terms of producing 5′-deoxy-5′,6-C-cyclouridine (3) in excellent yields [35].
Scheme 5.
One step synthesis of 5′-deoxy-5′,6-C-cyclouridine using LiHMDS and a silylating agent.
Scheme 5.
One step synthesis of 5′-deoxy-5′,6-C-cyclouridine using LiHMDS and a silylating agent.

Table 1.
Reaction yields of C-cyclouridine.
| R3SiCl (equiv.) | Yield (%) | |
|---|---|---|
| 3 | 18 | |
| None | 0 | 0 |
| TMSCl (3.0) | 56 | 42 |
| Me(Ph)2SiCl (1.5) | 83 | trace |
| Ph2SiCl (3.0) | 88 | trace |
Our new synthetic concept in which carbon chain formation directed from 6 to 5′-position was further extended to 5′,6-C-cyclouridine 25 by developing a tandem radical 1,6-hydrogen transfer (1,6-HT) and a cyclization reaction [36], similar to that reported in the synthesis of purine C-cyclonucleoside (vide infra). The lithiation reaction mentioned above was used in preparing the 6-selenophenyl derivative 20 which, when treated with tris(trimethylsilyl)silane [(TMS)3SiH] and AIBN, gave a mixture of diastereomers 22 and 23 in 11 and 60% yields, respectively [36]. The reaction proceeds through an intermediate 21, generated from 20, in which 1,6-HT and the subsequent radical cyclization of the resulting 5′-radical occurred [36]. The recovery of the 5,6-double bond of the major (S)-isomer 23 gave the 5′,6-C-cyclouridine derivative 24 which could be converted to 5′,6-C-cyclouridine 25 [36] (Scheme 6).
Scheme 6.
Synthesis of 5′,6-C-cyclouridine by a tandem radical 1,6-hydrogen transfer and cyclization reaction.
Scheme 6.
Synthesis of 5′,6-C-cyclouridine by a tandem radical 1,6-hydrogen transfer and cyclization reaction.

Very recently, MacLaughlin and co-workers reported an alternative route [37] for the synthesis of 5′-(S)-5′,6-C-cyclouridine (25) and 5′-(R)-5′,6-C-cyclouridine (29). Cyclonucleoside 3 was oxidized with SeO2 to give 26 which was reduced with NaBH4 followed by deprotection to furnish 5′-S-cyclouridine 25 exclusively [37]. Meanwhile the SeO2 oxidation of 27, obtained from 3, in the presence of tBuOOH predominantly gave R-28, which was converted to 5′-(R)-5′,6-C-cyclouridine 29 [37] (Scheme 7).
Scheme 7.
An alternative route for the synthesis of 5′-(S)-5′,6-C-cyclouridine (25) and 5′-(R)-5′,6-C-cyclouridine (29).
Scheme 7.
An alternative route for the synthesis of 5′-(S)-5′,6-C-cyclouridine (25) and 5′-(R)-5′,6-C-cyclouridine (29).

Before we reported on the tandem radical 1,6-HT and cyclization reactions of pyrimidine nucleosides, Chatgilialoglu and colleagues reported on a similar radical cascade reaction of 2′-deoxy-8-bromoadenosine (30) which gave the 5′,8-cycloadenosines 34 and 35 [38,39]. Based on their pioneering work, the reaction mechanism was shown to proceed as shown in Scheme 8 [38,40]. The photoreaction of 8-bromoadenosine 30 initiates the formation of a radical at the 8-position of the purine ring which gives rise to 1,6-HT to produce 5′-radical 32 [38,40]. The radical cyclization of 32 affords the intermediate 33, the oxidation of which gives a mixture of 5′-(R)-cycloadenosine 34 and its 5′-(S)-isomer 35 [38,40] (Scheme 8).
Regarding the radical cascade reaction to afford 5′,8-cycloadenosines, the effects of reagents, solvents, and protecting groups were investigated by Chatgilialoglu′s group [38,41] and a part of the results are summarized in Scheme 9 and the Table 2. The ratio of 5′-(R)-cycloadenosine 34 and 5′-(S)-isomer 35 in the reaction depends on the substrate used and the reaction conditions [38,41]. When the 5′-unprotected substrate was reacted in CH3CN, the ratio of 34/35 was approximately one [38,41]. In H2O or a CH3CN/H2O mixture, the formation of the (R)-epimer 34 was increased. Chatgilialoglu proposed that the pro-R conformer of 5′-radical, giving the (R)-epimer 34, can be stabilized by a hydrogen bond in an aqueous solution [38,41]. On the other hand, when the substrate contains a bulky protecting group at the 5′-position, e.g., 31c, the 5′-(S)-isomer 35b is the major product, due to steric repulsion between the TBS group and adenine which favors the C5′-endo conformer: the TBSO group occupies a pseudoequtrial position in the newly formed 6-membered ring [41]. The conformations of the 5′-radicals were theoretically calculated using DFT B3LYP with 6-311++G(d,p) and the results were in good agreement with the experimental results [41] (Scheme 9).
Scheme 8.
Mechanism of the conversion of 2′-deoxy-8-bromoadenosine (30) to 5′,8-cycloadenosines.
Scheme 8.
Mechanism of the conversion of 2′-deoxy-8-bromoadenosine (30) to 5′,8-cycloadenosines.

Scheme 9.
The effects of reagents, solvents, and protecting groups in the stereochemistry of radical cascade cyclization.
Scheme 9.
The effects of reagents, solvents, and protecting groups in the stereochemistry of radical cascade cyclization.

Table 2.
Summary of the effects of reagents, solvents, and protecting groups in the stereochemistry of radical cascade cyclization.
| Comp. | Substituents | Conditions | Solvent | Relative yields (%) | 34/35 ratio | ||
|---|---|---|---|---|---|---|---|
| 34 | 35 | 31 | |||||
| 31a | R1 = R2 = H | (TMS)3SiH | CH3CN | 38 | 47 | 15 | 45/55 |
| hν | H2O | 31 | 7 | ND | 82/18 | ||
| 31b | R1 = H, R2 = TBS | (TMS)3SiH | CH3CN | 32 | 38 | 30 | 45/55 |
| hν | CH3CN/H2O | 60 | 25 | 15 | 70/30 | ||
| 31c | R1 = R2 = TBS | (TMS)3SiH | CH3CN | 8 | 70 | 22 | 10/90 |
The generation of 5′-radicals was not restricted to the use of the tandem 1,6-HT/cyclization cascade. More typically, treatment of the 5′-carbaldehyde with a suitable reducing agent can generate the 5′-radical, leading to the production of C-cyclonucleosides. Indeed, this type of radical cyclization had been reported over 20 years ago [42] and was considered to be one of the standards for synthesizing C-cyclonucleosides [43]. In most of the previous cases, Bu3SnH was used as a reducing agent under radical reaction conditions [42,43]. Chatgilialoglu’s group reported on a related radical cyclization using (TMS)3SiH [44]. The reaction of thymidine 5′-carbaldehyde 36 with (TMS)3SiH gave a mixture of 5′-(S)-C-cyclothymidines 37 and its 5′-(R)-isomer 38 in a ratio of 3:7 [44]. The result was quite interesting since reactions in which Bu3SnH was used afforded the 5′-(S)-isomers as the major products [45]. They also reported on the photochemical deprotection of tris(trimethylsilyl) group by which compounds 37 and 38 were converted to C-cyclothymidine derivatives 39 and 40 in excellent yields [44] (Scheme 10).
Scheme 10.
Radical cyclization of thymidine 5′-carbaldehyde 36 using (TMS)3SiH and photochemical deprotection.
Scheme 10.
Radical cyclization of thymidine 5′-carbaldehyde 36 using (TMS)3SiH and photochemical deprotection.

The same reaction sequences were applied to 2′-deoxyadenosine 5′-carbaldehyde 41 [44]. In contrast to the case of thymidine, the radical cyclization of 41 gave 5′-(S)-C-cycloadenosine derivatives 42 and 43 as a single diastereomer at the 5′-position [44]. The former 42 could be converted into 5′-(S)-C-cycloadenosine 43 by oxidation with chloranil in refluxing xylene [44]. Photolysis of C-cycloadenosine 43, however, gave a mixture of the desilylated 44 and 5′-deoxy derivative 45 [44] (Scheme 11).
Scheme 11.
Radical cyclization of 2′-deoxyadenosine 5′-carbaldehyde 41 using (TMS)3SiH and photochemical deprotection.
Scheme 11.
Radical cyclization of 2′-deoxyadenosine 5′-carbaldehyde 41 using (TMS)3SiH and photochemical deprotection.

Compared to the synthesis of C-cyclonucleosides fixed in high-anti- and syn-forms, anti-fixed C-cyclonucleosides are rather easy to synthesize, since the synthesis of the corresponding branched nucleosides are needed prior to the construction of carbon-bridge in the case of syn-and high-anti conformational mimics. The recent and unique report by Len et al. showed that novel syn-fixed C-cyclonucleosides, bridged between N3 and 5′-O with 13- and 14-membered rings, were synthesized in short steps [46]. A sequence of selective O- and N-alkylations of the isopropylideneuridine 46 gave the dialkylated derivatives 48 and 49 [46]. Ring closing metathesis (RCM) is a powerful tool for the construction of various ring-size cycloalkene derivatives and was applied to the construction of 13- and 14-membered ring giving C-cyclouridine derivatives 50 and 51, which were produced in satisfactory yields [46]. The resulting C-cyclouridines 52 and 53 were unique syn-fixed conformational analogues [46], the synthesis of which was quite limited to a few reports [47,48,49,50] including 1′,6-propanouridine [47,48] (54) (Scheme 12).
Scheme 12.
Synthesis of C-cyclonucleosides with fixed syn-conformations.
Scheme 12.
Synthesis of C-cyclonucleosides with fixed syn-conformations.

The synthesis of a high-anti conformational analogue, 2′,8-methanoadenosine (57), on the other hand, was reported by Matsuda et al. in 1985 [51] and was achieved by a sequential reaction involving the addition/elimination of a malonate ion at the 8-position of adenine and intramolecular nucleophilic substitution at the 2′-position as shown in Scheme 13 [51]. In 2006, Sukuru et al. reported that 2′,8-methanoadenosine (57) was a potential inhibitor of the parasite asparaginyl-t-RNA synthase (AsnRS) from their docking simulation using the SLIDE software program [52]. In addition, a novel cycloadenosine derivative 58, which they also synthesized, was revealed to have micromolar inhibitory activity against Brugia malayi AsnRS [52]. The work triggered the synthesis of 59, an analogue of 57, which had fluorescent properties and was expected to act as biological probes [53] (Scheme 13).
Scheme 13.
Synthesis of 2′,8-methanoadnosine (57) and its analogue 58, a potential anti-parasitic agent.
Scheme 13.
Synthesis of 2′,8-methanoadnosine (57) and its analogue 58, a potential anti-parasitic agent.

3. Formation of C-Cyclonucleosides in Damaged DNA
3.1. Purine C-Cyclonucleosides Found in Oxidatively-damaged Nucleic Acids
As described above, 2′-deoxy-5′,8-C-cycloadenosines 34a and 35a have been focused as major lesions in DNA because their formation is generally thought to be related to the oxidative-damage of DNA [38,54]. The first report of 5′,8-C-cycloadenosines appeared in 1968; a mixture of diastereomers of 5′,8-C-cycloadenosine 5′-monophosphate was reported to be formed by γ-irradiation of adenosine 5′-monophosphate [17]. The reaction mechanism, which involves γ-radiolysis to give the C-cycloadenosine is depicted in Scheme 14.
Scheme 14.
The reaction mechanism for the γ-radiolysis of 2′-deoxyadennosine giving C-cycloadenosine.
Scheme 14.
The reaction mechanism for the γ-radiolysis of 2′-deoxyadennosine giving C-cycloadenosine.

Hydroxyl radicals generated by the γ-irradiation of water attacks to C5′ of the deoxyadenosine 60 and a resulting H-abstraction gives rise to the C5′-radical 32 [54]. The subsequent radical cyclization to form a C5′-C8 bond produces the cyclonucleoside 33 which, on oxidation, gives the C-cycloadenosines 34a and 35a [54]. As described above, the (R)-isomer 34a is the major product in the reaction of free deoxyadenosine in an aqueous solvent [38,41]. However, the ratio of (R)- and (S)-isomers depends on the reaction conditions, substrate, and solvents [38,41]. In addition, it was confirmed that molecular oxygen could suppress the formation of cyclonucleosides, leading to the formation of the hydrated 5′-aldehyde 61 in a model reaction [55]. The results clearly showed that a path exists, in which molecular oxygen attacks the 5′-radical, and competes with the radical cyclization [55] (Scheme 14). Similar results were observed in the case of γ-irradiated DNA: the formation of cyclodeoxyadenosine and -guanosine were observed under low oxygen conditions when calf thymus DNA was subjected to γ-irradiation, and the formation of cyclonucleosides was decreased with increasing oxygen concentration [56]. The (R)-isomers are also preferentially formed in γ-irradiated calf thymus DNA [56].
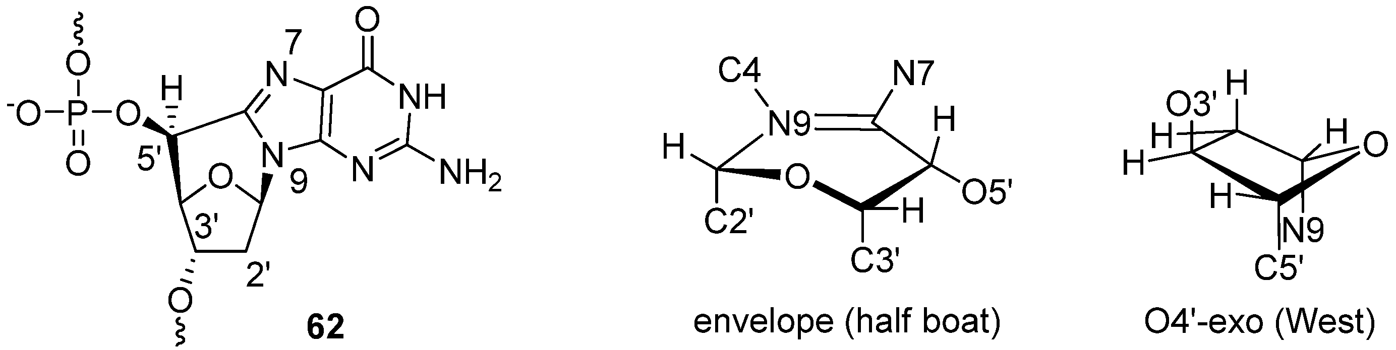
There is no doubt that DNA lesions, caused by the formation of structurally-rigid cyclonucleosides, perturb the structures of double-stranded DNA (dsDNA) and single-stranded DNA (ssDNA) [54,57]. The structural distortion of DNA contributed by 5′,8-cyclodeoxyadenosine affects various biological events: it blocks (1) the primer extension by T7 DNA polymerase and polymerization catalyzed by DNA pol δ [58], (2) chain elongation catalyzed by DNA pol η and exonuclease action by DNase III (TREX1) [59], and (3) binding of the TATA binding protein to the TATA box [60]. As in the case of 5′,8-cyclodeoxyadenosine, 5′,8-cyclodeoxyguanosine, which is also formed in oxidatively-damaged DNA, blocks DNA replication and induces mutations in Escherichia coli [61]. Therefore, efforts to understand the structure of DNA or oligodeoxynucleotide (ODN) in which cyclonucleosides are incorporated have been made [57,62]. Quite recently, Stone and his co-workers reported the structure of ODN duplex containing (S)-5′,8-C-cyclo-2′-deoxyguanosine 62, as determined by molecular dynamics calculations and NMR analysis [63]. The cyclodeoxyguanosine 62 exhibited O4′-exo puckering (P = 280.2°) and the conformation of the six-membered ring including the carbon bridge of C-cyclo unit adopted an envelope (half boat) conformation, as shown in Figure 3 [63]. In spite of significant perturbations by cyclodeoxyguanosine 62, Watson-Crick base pairing was conserved at the G-C pair of 62. It also remains stacked to the neighboring T-A pair at the 3′-side of the cyclonucleoside. The structural distortion of the duplex by the introduction of 62 was more significant at the lesion site and the 5′-neighbor of the cycloG-C pair, where 62 perturbed the helical twist and base pair stacking. It is clear that these structural perturbations are associated with unusual O4′-exo puckering of 62 at the lesion site causes the thermodynamic destabilization of the duplex, as revealed by a 9 ºC decrease in the Tm value [63].
Figure 3.
The structure of 5′,8-deoxyguanosine in DNA.
Figure 3.
The structure of 5′,8-deoxyguanosine in DNA.

Cellular DNA constantly has chances to be damaged by various mechanisms including oxidative stress. Because it is difficult to completely avoid the formation of DNA lesions, the cell has several systems to protect DNA by repairing damaged lesions [64]. To repair thymidine photodimers, for example, direct reversing systems, e.g., photolyase, are involved (vide infra). In the case where direct reversals are impossible, repair systems that remove DNA lesions by excision of damaged base or nucleotide exist [64]. The former base excision repair (BER) system eliminates the damaged nucleobase by the action of DNA glycosylase and the resulting abasic site is recognized by AP endonuclease which cleaves the phosphodiester bond at the DNA lesion [64,65]. The latter nucleotide excision repair (NER) recognizes helix-distorting lesions and excludes lesion-caused nucleotides by hydrolyzing phosphodiseter bonds [64,65]. For repairing DNA lesions containing 5′,8-C-cycloadenosine, it is assumed that NER, and not BER, would be responsible from the following reasons: 1) C-cyclonucleosides are resistant to glycosyl bond cleavage due to their rigid structure [66], and 2) the purine base would remain in the DNA with a covalent bond connecting at the 5′-position of the lesion site, even if the enzymatic hydrolysis of glycosyl bond could occur. Indeed, the only reported repair system for DNA lesion containing purine 5′,8-C-cyclonucleoside is NER (vide infra). In an earlier work, a plasmid DNA containing either the 5′-(R)- or 5′-(S)-isomer of 2′-deoxy-5′,8-C-cycloadenosine was proved to be repaired by NER with a preference for the 5′-(R)-isomer containing lesion to the 5′-(S)-isomer, although neither the 5′-(R)- nor 5′-(S)-isomer are recognized by human DNA glycosylases active in BER [58]. Brooks et al. prepared DNA containing 5′-(S)-2′-deoxy-5′,8-C-cycloadenosine which was evaluated for DNA repair by mammalian cell extracts and living cells and the results showed that the DNA lesion was repaired by NER, but not BER [67]. Recent work by Jaruga et al. also revealed that NEIL1, a DNA glycosylase which is involved in the BER of oxidatively-damaged DNA, plays a role in the repair of both (R)- and (S)-isomers of 2′-deoxy-5′,8-C-cycloadenosine since the significant accumulation of these cyclonucleosides were observed in neil1-/- mice and concluded that NEIL1 is involved in NER, as well as acting as a DNA glycocylase in BER [68].
3.2. Formation of a Spore Photoproduct and Its Repair by Spore Photoproduct Lyase
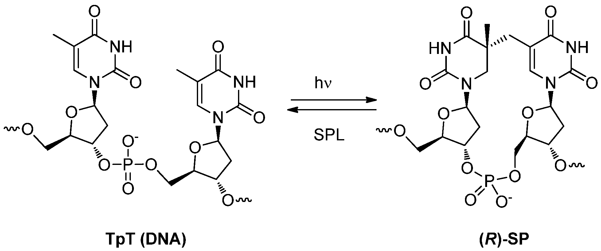
DNA damage caused by UV radiation produces various photo-damaged nucleotides including thymine dimers [25,26]. Spore-forming bacteria, which cause many serious diseases in humans, are known to be extremely resistant to sterilization including oxidizing agents and UV or gamma irradiation [25]. A spore photoproduct (SP) belonging to a category of thymine dimers has been reported in photo-damaged bacterial spore DNA [27], the structure of SP, however, is different from the normal cyclobutane thymine dimer [25,26]. In addition the mechanism for its formation remains unclear. SP-containing spore DNA, on the other hand, is repaired by SP lyase (SPL) which constitutes a part of the protection system of bacterial spores from the UV-caused damage of DNA and which contributes to the extreme stability of spores against sterilization [25] (Scheme 15).
Scheme 15.
The formation of a spore photoproduct (SP).
Scheme 15.
The formation of a spore photoproduct (SP).

To consider the reaction mechanism of SP as well as cyclobutane thymine dimer and (6-4) pyrimidine pyrimidone photoproducts, the study conducted by Miranda was interesting [69]. They synthesized a 5′-benzophenone-thymidine dyad 63 which was irradiated in acetonitrile through Pyrex, leading to formation of oxetane derivatives 64–67 (52%) and macrocyclic derivatives 68–69 (14%) [69]. In contrast, the photo-reaction of a similar 3′-benzophenone-thymidine dyad gave only a polymerized product [69]. The prevailing reaction mechanism for the formation of the oxetanes 64–67 is a Paternò-Büchi cycloaddition via the triplet excited state 70 [69]. Macrocyclic photoproducts 68–69, on the other hand, arise from the same triplet 70 which abstracts a hydrogen of the methyl group of thymine followed by an intramolecular C-C bond formation of the resulting biradical intermediate (Scheme 16). The mechanism via triplet excited state 70 was supported by experimental evidence showing that an adiabatic photochemical cycloreversion of oxetane 64 gave rise to dyad 63 [69].
Scheme 16.
The photoreaction of 5′-benzophenone-thymidine dyad 63.
Scheme 16.
The photoreaction of 5′-benzophenone-thymidine dyad 63.

In 2010, Li et al. proposed a reaction mechanism for the formation of SP based on the structural elucidation of spore-photoproduct labeled with deuterium either at the 5-methyl hydrogen or the 6- and 5-methyl hydrogen of a dinucleotide of thymidine [70]. As depicted in Scheme 17, 5,6-biradicals 71 which are formed by the irradiation of the 5,6-double bond of 5′-thymidine abstracts a hydrogen from the methyl group of the 3′-thymidine to produce a pair of 5-α-thyminyl and 5,6-dihydrothymin-5-yl radicals 72 [70]. From the isotope effect observed in deuterium-incorporated derivative at the methyl group of 3′-thymidine, it was concluded that this step should be rate-limiting for the formation of SP [70]. Subsequent C-C bond formation between 5′-methyl and 5-yl radicals afforded the SP. This mechanism accounts for the recent results showing that SP is preferentially formed as an (R)-epimer at the 5-position of 5′-thymidine in spore DNA (also see below). Since both of the thymine moieties of 71 adopt an anti-conformation, this restricts the abstraction and transfer of hydrogen from the 3′-thymidine to the pro-S position of C6 in 5′-thymidine [70]. The resulting radicals react so rapidly that there is no chance for the relative positions of the substituents to change. As a result, the subsequent C-C bond formation occurs at the same side which the hydrogen has abstracted and produces (R)-SP predominantly [70] (Scheme 17). For the formation of (S)-SP, one thymine has to be converted from anti to syn-conformation around glycosidic bond. It is unlikely that such a conformational change occurs in dsDNA [25].
Scheme 17.
Mechanism for the formation of SP.
Scheme 17.
Mechanism for the formation of SP.

As mentioned above, the spore-DNA lesion is efficiently repaired at the early germination phase by SPL, which is a DNA repair enzyme containing S-adenosylmethionine (SAM) and a special [4Fe-4S] cluster in its active site [71]. SPL catalyzes SP repair by a direct reversal reaction using a radical formed from the reductive cleavage of SAM in the active site [71]. However, the mechanism of the catalytic reaction by SPL is unclear. One important question in SPL is which C5-stereoisomer is successfully recognized and reversed to the normal thymidine dinucleotide. In principal, both 5-(R)- and 5-(S)-isomers of SP can be formed by the UV-irradiation of spore DNA. Regarding the stereochemistry of SP, the natural lesion might be formed as the 5-(R)-epimer, since the DNA in spores adopts an A-like conformation by binding to the acid-soluble protein (SASP) [72]. The steric constrains of the A-form duplex are considered to favor the formation of 5-(R)-SP, as discussed above. On the other hand, it has been reported that spore DNA exists exclusively as the B-form [73], thus, the possibility that a 5-(S)-isomer of SP could be formed cannot be completely ruled out. To obtain an answer to the question of the stereochemistry regarding SP recognition, model compounds that could be recognized by SPL were synthesized. Carell and co-workers reported the synthesis of both stereoisomers of the SP nucleoside dimer [74]. Based on the first synthesis of SP reported by Begley [75], 5,6-Dihydrothymidine 73 was lithiated at the 5-position by LDA, then treated with an allylbromide derivative 74 to give a mixture of diastereoisomers 75 [74]. Subsequent deprotection by TBAF followed by separation by reverse-phased HPLC gave the SEM-protected SP nucleoside dimers 76 and 77 in 15% and 11% respectively. Finally the SEM group was removed by treatment with SnCl4 to afford the SP nucleosides 78 and 79 [74] (Scheme 18). It was difficult to assign the stereochemistry at C5 of 78 and 79 in which a carbon-bridge was constructed due to the high flexibility of the molecules. To solve this problem, Carell et al. synthesized macrolactones 82 in which structural rigidity was introduced, and their structures were elucidated.74 The SEM-protected SP nucleoside dimer 80 which was obtained by the same methods described above was treated with 4-pentenoyl chloride to give a diester 81 [74]. Macrocyclization of 81 was achieved by the RCM reaction using the Grubbs II catalyst to give a rigid SP nucleoside dimer 82 in 71% yield (E : Z = 95 : 5) [74] (Scheme 19).
Scheme 18.
Synthesis of the SP nucleoside dimer.
Scheme 18.
Synthesis of the SP nucleoside dimer.

Scheme 19.
Synthesis of the cyclic SP nucleoside dimer.
Scheme 19.
Synthesis of the cyclic SP nucleoside dimer.

The stereochemistry at C5 of 82 was confirmed to have an S configuration from NOESY experiments [74]. By transferring the results for 78 and 79, the structures of 78 and 79 were determined to be the C5-S- and C5-R-isomers respectively [74]. The SP nucleoside dimer 78 and 79 were used to study the enzymatic reaction of SPL isolated from Geobacillus stearothermophilus. The study showed that only the S-isomer 78 could be recognized and repaired by SPL and was consistent with their previous results obtained using SPL from Bacillus subtilis [76].
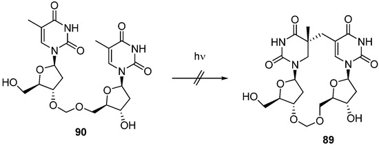
In contrast, Bardet and co-workers pursued NMR studies and DFT calculations of SP isolated and unambiguously determined the absolute configuration of the C5 of SP as R [77]. Broderick et al. also reported the synthesis of SP in which the stereochemical assignments at C5 were unambiguously confirmed by NOESY and ROESY [78]. An enzymatic assay using stereochemically defined synthetic SP demonstrated that the SPL from Clostridium acetobutylicum repairs (R)-SP specifically [78]. In addition, Li and his colleagues reported results supporting R-preference of SPL [79]. As Carell reported a formacetal (methylene) derivative of cyclobutane thymine dimer [80], they designed an SP analogue in which a methylene linker was introduced in place of the phosphodiester linkage [79]. The synthesis of the protected SP nucleoside dimer 85 and 86 was achieved by a method similar to that described above. After manipulation of the protecting group, the 3′-methylthiomethyl derivative 87 was prepared and was subjected to linker forming reaction by treatment with NIS and TfOH followed by deprotection to give the 5R-methylene SP isostere 89 [79] (Scheme 20). Li et al. also attempted a photoreaction of the methylene analogue of TpT 90. However, UV irradiation of 90 did not give the desired SP analogue 89 under established photochemical procedures used to produce SP [79] (Scheme 21). The structure of the 5R-methylene SP analogue 89 was determined by X-ray analysis and ROESY spectroscopy, as well as DFT calculations (optimized at B3LYP/6-31+G(d,p) level), and proved to have similar structure to SP [79]. An enzymatic investigation using 89 revealed that the 5R-methylene SP analogue could be a substrate for SPL [79]. The failure to prepare the methylene SP analogue 89 by the photoreaction of 90 suggests that natural TpT adopts a different conformation with the methylene analogue 90 which lacks the negative charge of the phosphodiester bond [79]. Compared with this result, it is noteworthy that the 5R-methylene SP analogue 89 was converted into 90 by the action of SPL with a slightly decreased reaction rate compared to that for the natural substrate 5R-SP nucleotide dimer [79]. The result also suggests that SPL dominantly recognizes two thymine residues fixed by the phosphodiester linkage and that the methylene bridge functions to hold these thymine residues in the correct positions, similar to the function of the phosphodiester linkage of SP [79].
Although conflicting results were reported by Carell and Li, it is likely that SPL specifically recognizes (R)-SP as a substrate. Quite recently, Carell et al. also reported that SPL efficiently repairs oligonucleotides containing (R)-SP, not (S)-SP [81]. In this study, they determined the stereochemistries at C5 by X-ray crystallographic analysis of SP-containing oligodepoxynucleotides, which were prepared using SP-amidite 91 and 92, complexed with DNA polymerase I from Geobacillus stearothermophilus [81] (Figure 4). The absolute stereoconfiguration, obtained by X-ray analysis, was in agreement with findings reported by Broderick [78]. The 5R-SP lesion induced only minor structural distortions and was able to form a duplex with almost perfect Watson-Crick base pairing [81]. It is noteworthy that the missing phosphodiester backbone did not distort the double helix structure [81]. In contrast, the 5S-SP lesion disturbed the duplex structure significantly and it was difficult to fit a phosphodiester linkage into the missing part [81]. The result was in good agreement with idea that the structural constraints in the B-form duplex impede the formation of 5S-Sp lesions [81].
Scheme 20.
Synthesis of a methylene mimic of SP.
Scheme 20.
Synthesis of a methylene mimic of SP.

Scheme 21.
Attempt to obtain the SP analogue 89 by the photoreaction of 90.
Scheme 21.
Attempt to obtain the SP analogue 89 by the photoreaction of 90.

Figure 4.
The structures of SP-amidite blocks 91 and 92 to prepare oligodeoxynucleotide.
Figure 4.
The structures of SP-amidite blocks 91 and 92 to prepare oligodeoxynucleotide.

Quite recently, the first crystal structure of SPL in complex with [4Fe-4S] cluster and SAM in the absence and presence of an (R)-SP DNA lesion has been reported [82]. This epoch-making report provides high resolution structures of the active-site of SPL which afford fundamental insights regarding the DNA lesion recognition and the catalytic mechanism of SPL. (R)-SP, which is flipped out of bound DNA into the active site of SPL by the assistance of β-hairpin close to the binding pocket, mostly interacts with SPL at the base moieties [82]. Since the lack of phosphate linkage does not seem to affect the orientation of the nucleobase moieties in the active site of SPL, this successfully accounts for the results by Carell [81] described above and the preferential recognition of (R)-SP, not (S)-SP. Additionally, the results clearly revealed the reaction mechanism of SPL: an electron-transfer from the [4Fe-4S] cluster to SAM occurs after binding of (R)-SP. The resulting 5’-radical of 5’-deoxyadenosine abstracts pro-R hydrogen from the C6 of the 5’-dihydrothymine moiety. This triggers to form the repaired 5’-thymine residue and a 3’-thymine allylic radical which takes a hydrogen from cysteine to conclude the repair cycle [82].
4. Conclusions
C-Cyclonucleosides are unique nucleoside analogues which are fixed in a specific conformation around the glycosyl bond by a carbon chain. Since the construction of a bicyclo scaffold fixed in a different glycosyl torsion angle is a good synthetic target, the synthesis of a wide variety of C-cyclonucleoside derivatives have been reported to date. It is obvious that these synthetic efforts largely contributed to the progress made in nucleoside chemistry. The structural bias existing in C-cyclonucleosides permits them to be used a conformational probes in investigating the functions and conformations of nucleosides, nucleotides, DNA, RNA as well as their steric interactions with proteins. The interactions of 5′,8-cycloadenosine and its 5′-monophosphate with several enzymes including adenylate kinase and adenosine deaminase were investigated prior to the 1980s [83,84]. Enzymatic studies of ribonuclase A (RNase A) using 5′,6-C-cyclouridine 2′,3′-cyclicphosphate and other C-cyclouridine derivatives revealed that RNase A preferentially recognizes an anti-conformation [85]. While the focus of C-cyclonucleosides was on their use as biological tools, 5′,8-C-cyclodeoxyadenosine has attracted considerable attention as a biomarker, since its formation in oxidatively-damaged DNA is considered to be related to various diseases and aging, as described above. Thus, studies of the conformation of DNA lesions containing a 5′,8-C-cyclodeoxyadenosine unit are important in terms of understanding how conformational perturbation influences the function of genes and the transfer of genetic information. This is also the case for the formation and repair of SP lesions. SP has a unique macrocyclic structure connected by an unusual C-C bond between two thymines and a phosphodiester linkage. The formation of SP is related to the photo-damage of DNA and the repair system of SP is highly interesting as a DNA protection strategy. SPL corresponds to the repair of DNA lesions and catalyzes the direct reversion to thymine moieties. It is noteworthy that the specific recognition of 5R-SP by SPL has been clarified by investigations in which C-cyclonucleoside derivatives played a major role.
References
- Elion, G.B. An overview of the role of nucleosides in chemotherapy. Adv. Enzyme Regul. 1985, 24, 323–334. [Google Scholar] [CrossRef]
- Obata, T.; Endo, Y.; Murata, D.; Sakamoto, K.; Sasaki, T. The molecular targets of antitumor 2′-deoxycytidine analogues. Curr. Drug Targets 2003, 4, 305–313. [Google Scholar] [CrossRef]
- Szafraniec, S.I.; Stachnik, K.J.; Skierski, J.S. New nucleoside analogs in the treatment of hematological disorders. Acta Pol. Pharm. 2004, 61, 223–232. [Google Scholar]
- De Clercq, E. Antiviral drugs in current clinical use. J. Clin. Virol. 2004, 30, 115–133. [Google Scholar] [CrossRef]
- Meng, W.D.; Qing, F.L. Fluorinated nucleosides as antiviral and antitumor agents. Curr. Top. Med. Chem. 2006, 6, 1499–1528. [Google Scholar] [CrossRef]
- De Clercq, E. The design of drugs for HIV and HCV. Nat. Rev. Drug Discov. 2007, 6, 1001–1018. [Google Scholar] [CrossRef]
- Cihlar, T.; Ray, A.S. Nucleoside and nucleotide HIV reverse transcriptase inhibitors: 25 years after zidovudine. Antiviral Res. 2010, 85, 39–58. [Google Scholar] [CrossRef]
- Dhermain, F.G.; Hau, P.; Lanfermann, H.; Jacobs, A.H.; van den Bent, M.J. Advanced MRI and PET imaging for assessment of treatment response in patients with gliomas. Lancet Neurol. 2010, 9, 906–920. [Google Scholar] [CrossRef]
- Alauddin, M.M.; Gelovani, J.G. Pyrimidine nucleosides in molecular pet imaging of tumor proliferation. Curr. Med. Chem. 2010, 17, 1010–1029. [Google Scholar]
- Saenger, W. Principles of Nucleic Acid Structure; Springer-Verlag: New York, NY, USA, 1984. [Google Scholar]
- Obika, S.; Nanbu, D.; Hari, Y.; Morio, K; In, Y.; Ishida, T.; Imanishi, T. Synthesis of 2′-O,4′-C-methyleneuridine and-cytidine. Novel bicyclic nucleosides having a fixed C3,-endo sugar puckering. Tetrahedron Lett. 1997, 38, 8735–8738. [Google Scholar]
- Singh, S.K.; Nielsen, P.; Koshkin, A.A.; Wengel, J. LNA (locked nucleic acids): Synthesis and high-affinity nucleic acid recognition. Chem. Commun. 1998, 455–456. [Google Scholar]
- Paquette, L.A.; Owen, D.R.; Bibart, R.T.; Seekamp, C.K.; Kahane, A.L. Spirocyclic restriction of nucleosides. An analysis of protecting group feasibility while accessing prototype anti-1-oxaspiro[4.4]nonanyl mimics. Org. Lett. 2001, 3, 4043–4045. [Google Scholar] [CrossRef]
- Marquez, V.E.; Ben-Kasus, T.; Barchi, J.J., Jr.; Green, K.M.; Nicklaus, M.C.; Agbaria, R. Experimental and structural evidence that herpes 1 kinase and cellular DNA polymerase(s) discriminate on the basis of sugar pucker. J. Am. Chem. Soc. 2004, 126, 543–549. [Google Scholar]
- Mieczkowski, A.; Roy, V.; Agrofoglio, L.A. Preparation of cyclonucleosides. Chem. Rev. 2010, 110, 1828–1856. [Google Scholar]
- Len, C.; Mondon, M.; Lebreton, J. Synthesis of cyclonucleosides having a C-C bridge. Tetrahedron 2008, 64, 7453–7475. [Google Scholar] [CrossRef]
- Keck, K. Formation of cyclonucleotides during irradiation of aqueous solutions of purine nucleotides. Z. Naturforsch. B 1968, 23, 1034–1043. [Google Scholar]
- Matsuda, A.; Muneyama, K.; Nishida, T.; Sato, T.; Ueda, T. A new synthesis of 5’-deoxy-8,5′-cyclo-adenosine and -inosine: Conformationally-fixed purine nucleosides (nucleosides and nucleotides. XVI). Nucleic Acids Res. 1976, 3, 3349–3357. [Google Scholar]
- Brooks, P.J. DNA repair in neural cells: Basic science and clinical implications. Mutat. Res. 2002, 509, 93–108. [Google Scholar] [CrossRef]
- Brooks, P.J. The case for 8,5′-cyclopurine-2′-deoxynucleosides as endogenous DNA lesions that cause neurodegeneration in xeroderma pigmentosum. Neuroscience 2007, 145, 1407–1417. [Google Scholar] [CrossRef]
- D'Errico, M.; Parlanti, E.; Teson, M.; Degan, P.; Lemma, T.; Calcagnile, A.; Iavarone, I.; Jaruga, P.; Ropolo, M.; Pedrini, A.M.; et al. The role of CSA in the response to oxidative DNA damage in human cells. Oncogene 2007, 26, 4336–4343. [Google Scholar]
- Anderson, K.M.; Jaruga, P.; Ramsey, C.R.; Gilman, N.K.; Green, V.M.; Rostad, S.W.; Emerman, J.T.; Dizdaroglu, M.; Malins, D.C. Structural alterations in breast stromal and epithelial DNA: The influence of 8,5′-cyclo-2′-deoxyadenosine. Cell Cycle 2006, 5, 1240–1244. [Google Scholar] [CrossRef]
- Nyaga, S.G.; Jaruga, P.; Lohani, A.; Dizdaroglu, M.; Evans, M.K. Accumulation of oxidatively induced DNA damage in human breast cancer cell lines following treatment with hydrogen peroxide. Cell Cycle 2007, 6, 1472–1478. [Google Scholar]
- Wang, J.; Clauson, C.L.; Robbins, P.D.; Niedernhofer, L.J.; Wang, Y. The oxidative DNA lesions 8,5'-cyclopurines accumulate with aging in a tissue-specific manner. Aging Cell 2012, 11, 714–716. [Google Scholar] [CrossRef]
- Desnous, C.; Guillaume, D.; Clivio, P. Spore photoproduct: A key to bacterial eternal life. Chem. Rev. 2010, 110, 1213–1232. [Google Scholar]
- Douki, T.; Cadet, J. Formation of the spore photoproduct and other dimeric lesions between adjacent pyrimidines in uvc-irradiated dry DNA. Photochem. Photobiol. Sci. 2003, 2, 433–436. [Google Scholar] [CrossRef]
- Donnellan, J.E.; Setlow, J.R.B. Thymine photoproducts but not thymine dimers found in ultraviolet-irradiated bacterial spores. Science 1965, 149, 308–310. [Google Scholar]
- Ueda, T.; Usui, H.; Shuto, S.; Inoue, H. Synthesis of 6,5’-cyclo-5’-deoxyuridines by radical cyclization: Nucleosides and nucleotides L. Chem. Pharm. Bull. 1984, 32, 3410–3416. [Google Scholar] [CrossRef]
- Matsuda, A.; Tezuka, M.; Ueda, T. Photochemical cyclization of 2′,3′-O-isopropylidene-8-phenylthioadenosine to the 8,5′(R)- and 8,5′(S)-cycloadenosines. Tetrahedron 1978, 34, 2449–2452. [Google Scholar] [CrossRef]
- Yoshimura, Y.; Sano, T.; Matsuda, A.; Ueda, T. Nucleosides and nucleotides. LXXVII. Synthesis of 6,3′-methanocytidine, 6,3′-methanouridine, and their 2′-deoxyribonucleosides. Chem. Pharm. Bull. 1988, 36, 162–167. [Google Scholar] [CrossRef]
- Yoshimura, Y.; Matsuda, A.; Ueda, T. Nucleosides and nucleotides. Part 79. Synthesis of 6,3′-methanothymidine from a ribofuranos-3-ulose and 2,4-dimethoxy-5,6-dimethylpyrimidine. Nucleosides Nucleotides 1988, 7, 409–416. [Google Scholar] [CrossRef]
- Yoshimura, Y.; Matsuda, A.; Ueda, T. Synthesis of 6,6′-Cyclo-5′,6′-dideoxy-1-(β-D-allofuranosyl)cytosine and Related Nucleosides (Nucleosides Nucleotides LXXVIII). Chem. Pharm. Bull. 1989, 37, 660–664. [Google Scholar] [CrossRef]
- Yoshimura, Y.; Matsuda, A.; Ueda, T. Alternative synthesis of 2'-deoxy-6,2'-methano-pyrimidine nucleosides (nucleosides and nucleotides. XC). Chem. Pharm. Bull. 1990, 38, 389–392. [Google Scholar] [CrossRef]
- Tanaka, H.; Hayakawa, H.; Miyasaka, T. “Umpulong” of reactivity at the C-6 position of uridine: a simple and general method for 6-substituted uredines. Tetrahedron 1982, 38, 2635–2642. [Google Scholar] [CrossRef]
- Yoshimura, Y.; Kumamoto, H.; Baba, A.; Takeda, S.; Tanaka, H. Lithiation at the 6-position of uridine with lithium hexamethyldisilazide: Crucial role of temporary silylation. Org. Lett. 2004, 6, 1793–1795. [Google Scholar] [CrossRef]
- Yoshimura, Y.; Yamazaki, Y.; Wachi, K.; Satoh, S.; Takahata, H. Synthesis of 6,5′-C-cyclouridine by a novel tandem radical 1,6-hydrogen transfer and cyclization reaction. Synlett 2007, 111–114. [Google Scholar]
- Theile, C.S.; McLaughlin, L.W. An efficient synthetic approach to 6,5′-(S)- and 6,5′-(R)-cyclouridine. Chem. Commun. 2012, 48, 5587–5589. [Google Scholar]
- Chatgilialoglu, C.; Ferreri, C.; Terzidis, M.A. Purine 5′,8-cyclonucleoside lesions: Chemistry and biology. Chem. Soc. Rev. 2011, 40, 1368–1382. [Google Scholar]
- Flyunt, R.; Bazzanini, R.; Chatgilialoglu, C.; Mulazzani, Q.G. Fate of the 2′-deoxyadenosin-5′-yl radical under anaerobic conditions. J. Am. Chem. Soc. 2000, 122, 4225–4226. [Google Scholar] [CrossRef]
- Chatgilialoglu, C.; Guerra, M.; Mulazzani, Q.G. Model studies of DNA C5′ radicals. Selective generation and reactivity of 2′-deoxyadenosin-5′-yl radical. J. Am. Chem. Soc. 2003, 125, 3839–3848. [Google Scholar]
- Navacchia, M.L.; Chatgilialoglu, C.; Monteveechi, P.C. C5′-Adenosinyl radical cyclization. A stereochemical investigation. J. Org. Chem. 2006, 71, 4445–4452. [Google Scholar] [CrossRef]
- Sugawara, T.; Otter, B.A.; Ueda, T. A novel stereospecific radical cyclization of 2′,3′-O-isopropylideneuridine and -adenosine 5′-aldehyde to the corresponding 6,5′-cyclodihydrouridine and 8,5′-cycloadenosine derivatives. Tetrahedron Lett. 1988, 29, 75–78. [Google Scholar] [CrossRef]
- Romieu, A.; Gasparutto, D.; Cadet, J. Synthesis and characterization of oligodeoxynucleotides containing the two 5R and 5S diastereomers of (5′S,6S)-5′,6-cyclo-5,6-dihydrothymidine; radiation-induced tandem lesions of thymidine. J. Chem. Soc. Perkin Trans. 1 1999, 1257–1263. [Google Scholar]
- Navacchia, M.L.; Manetto, A.; Montevecchi, P.C.; Chatgilialoglu, C. Radical cyclization approach to cyclonucleosides. Eur. J. Org. Chem. 2005, 4640–4648. [Google Scholar]
- Muller, E.; Gasparutto, D.; Jaquinod, M.; Romieu, A.; Cadet, J. Chemical and biochemical properties of oligonucleotides that contain (5′S,6S)-cyclo-5,6-dihydro-2′-deoxyuridine and (5′S,6S)-cyclo-5,6-dihydrothymidine, two main radiation-induced degradation products of pyrimidine 2′-deoxyribonucleosides. Tetrahedron 2000, 56, 8689–8701. [Google Scholar] [CrossRef]
- Zhong, S.; Mondon, M.; Pilard, S.; Len, C. Synthesis and structure of novel cyclonucleoside analogues of uridine. Tetrahedron 2008, 64, 7828–7836. [Google Scholar] [CrossRef]
- Yoshimura, Y.; Ueda, T.; Matsuda, A. Synthesis of 6,1′-propanouridine, fixed in syn-conformation by a spiro-carbon bridge. Tetrahedron Lett. 1991, 32, 4549–4552. [Google Scholar]
- Yoshimura, Y.; Otter, B.A.; Ueda, T.; Matsuda, A. Nucleosides and nucleotides. 108. Synthesis and optical properties of syn-fixed carbon-bridged pyrimidine cyclonucleosides. Chem. Pharm. Bull. 1992, 40, 1761–1769. [Google Scholar] [CrossRef]
- Gimisis, T.; Chatgilialoglu, C. 1,5-Radical translocation protocol for the generation of C-1′ radicals in nucleosides. Synthesis of spiro nucleosides through a rare 5-endo-trig cyclization. J. Org. Chem. 1996, 61, 1908–1909. [Google Scholar] [CrossRef]
- Kittaka, A.; Asakura, A.; Kuze, T.; Tanaka, H.; Yamada, N.; Nakamura, K. T.; Miyasaka, T. Cyclization reactions of nucleoside anomeric radical with olefin tethered on base: Factors that induce anomeric stereochemistry. J. Org. Chem. 1999, 64, 7081–7093. [Google Scholar]
- Matsuda, A.; Fujisawa, Y.; Yamanaka, M.; Tanaka, H.; Miyasaka, T.; Ueda, T. Synthesis and properties of 2’-deoxy-8,2′-methylene-cycloadenosine. Tetrahedron 1985, 41, 6013–6017. [Google Scholar] [CrossRef]
- Sukuru, S.C.; Crepin, T.; Milev, Y.; Marsh, L.C.; Hill, J.B.; Anderson, R.J.; Morris, J.C.; Rohatgi, A.; O'Mahony, G.; Grotli, M.; Danel, F.; Page, M.G.; Hartlein, M.; Cusack, S.; Kron, M. A.; Kuhn, L.A. Discovering new classes of Brugia malayi asparaginyl-tRNAsynthetase inhibitors and relating specificity to conformational change. J. Comput. Aided Mol. Des. 2006, 20, 159–178. [Google Scholar] [CrossRef]
- Mahony, G.; Ehrman, E.; Grøtli, M. Synthesis and photophysical properties of novel cyclonucleosides—substituent effects on fluorescence emission. Tetrahedron 2008, 64, 7151–7158. [Google Scholar] [CrossRef]
- Jaruga, P.; Dizdaroglu, M. 8,5′-Cyclopurine-2′-deoxynucleosides in DNA: Mechanisms of formation, measurement, repair and biological effects. DNA Repair 2008, 7, 1413–1425. [Google Scholar] [CrossRef]
- Boussicault, F.; Kaloudis, P.; Caminal, C.; Mulazzani, Q.G.; Chatgilialoglu, C. The fate of C5′radicals of purine nucleosides under oxidative conditions. J. Am. Chem. Soc. 2008, 130, 8377–8385. [Google Scholar] [CrossRef]
- Belmadoui, N.; Boussicault, F.; Guerra, M.; Ravanat, J.L.; Chatgilialoglu, C.; Cadet, J. Radiation-induced formation of purine 5',8-cyclonucleosides in isolated and cellular DNA: High stereospecificity and modulating effect of oxygen. Org. Biomol. Chem. 2010, 8, 3211–3219. [Google Scholar] [CrossRef]
- Karwowski, B.T.; Gaillard, J.; Grand, A.; Cadet, J. Effect of (5′S)-5′,8-cyclo-2′-deoxyadenosine on the conformation of di and trinucleotides. A NMR and DFT study. Org. Biomol. Chem. 2008, 6, 3408–3413. [Google Scholar] [CrossRef]
- Kuraoka, I.; Bender, C.; Romieu, A.; Cadet, J.; Wood, R.D.; Lindahl, T. Removal of oxygen free-radical-induced 5′,8-purine cyclodeoxynucleosides from DNA by the nucleotide excision-repair pathway in human cells. Proc. Natl. Acad. Sci. USA 2000, 97, 3832–3837. [Google Scholar]
- Kuraoka, I.; Robins, P.; Masutani, C.; Hanaoka, F.; Gasparutto, D.; Cadet, J.; Wood, R.D.; Lindahl, T. Oxygen free radical damage to DNA. Translesion synthesis by human DNA polymerase eta and resistance to exonuclease action at cyclopurine deoxynucleoside residues. J. Biol. Chem. 2001, 276, 49283–49288. [Google Scholar]
- Marietta, C.; Gulam, H.; Brooks, P.J. A single 8,5′-cyclo-2′-deoxyadenosine lesion in a TATA box prevents binding of the TATA binding protein and strongly reduces transcription in vivo. DNA Repair 2002, 1, 967–975. [Google Scholar] [CrossRef]
- Jasti, V.P.; Das, R.S.; Hilton, B.A.; Weerasooriya, S.; Zou, Y.; Basu, A.K. (5′S)-8,5′-cyclo-2′-deoxyguanosine is a strong block to replication, a potent pol V-dependent mutagenic lesion, and is inefficiently repaired in escherichia coli. Biochemistry 2011, 50, 3862–3865. [Google Scholar]
- Karwowski, B.T. (5′R)-5′,8-Cyclo-2′-deoxyadenosine: NMR and DFT study of its influence on TPOcdA structure. Tetrahedron Asymm. 2008, 19, 2390–2395. [Google Scholar] [CrossRef]
- Huang, H.; Das, R.S.; Basu, A.K.; Stone, M.P. Structure of (5′S)-8,5′-cyclo-2′-deoxyguanosine in DNA. J. Am. Chem. Soc. 2011, 133, 20357–20368. [Google Scholar]
- Schärer, O.D. Chemistry and biology of DNA repair. Angew. Chem. Int. Ed. Engl. 2003, 42, 2946–2974. [Google Scholar] [CrossRef]
- Bohr, V.A.; Dianov, G.L. Oxidative DNA damage processing in nuclear and mitochondrial DNA. Biochimie 1999, 81, 155–160. [Google Scholar] [CrossRef]
- Theruvathu, J.A.; Jaruga, P.; Dizdaroglu, M.; Brooks, P.J. The oxidatively induced DNA lesions 8,5′-cyclo-2′-deoxyadenosine and 8-hydroxy-2′-deoxyadenosine are strongly resistant to acid-induced hydrolysis of the glycosidic bond. Mech. Ageing Dev. 2007, 128, 494–502. [Google Scholar] [CrossRef]
- Brooks, P.J.; Wise, D.S.; Berry, D.A.; Kosmoski, J.V.; Smerdon, M.J.; Somers, R.L.; Mackie, H.; Spoonde, A.Y.; Ackerman, E.J.; Coleman, K.; Tarone, R.E.; Robbins, J.H. The oxidative DNA lesion 8,5′-(S)-cyclo-2′-deoxyadenosine is repaired by the nucleotide excision repair pathway and blocks gene expression in mammalian cells. J. Biol. Chem. 2000, 275, 22355–22362. [Google Scholar]
- Jaruga, P.; Xiao, Y.; Vartanian, V.; Lloyd, R.S.; Dizdaroglu, M. Evidence for the involvement of DNA repair enzyme neil1 in nucleotide excision repair of (5′R)- and (5′S)-8,5′-cyclo-2′-deoxyadenosines. Biochemistry 2010, 49, 1053–1055. [Google Scholar]
- Belmadoui, N.; Encinas, S.; Climent, M.J.; Gil, S.; Miranda, M.A. Intramolecular interactions in the triplet excited states of benzophenone-thymine dyads. Chem. Eur. J. 2006, 12, 553–561. [Google Scholar] [CrossRef]
- Lin, G.; Li, L. Elucidation of Spore-photoproduct formation by isotope labeling. Angew. Chem. Int. Ed. Engl. 2010, 49, 9926–9929. [Google Scholar]
- Rebeil, R.; Nicholson, W.L. The subunit structure and catalytic mechanism of the bacillus subtilis DNA repair enzyme spore photoproduct lyase. Proc. Natl. Acad. Sci. USA 2001, 98, 9038–9043. [Google Scholar] [CrossRef]
- Setlow, P. DNA in dormant spores of Bacillus species is in an A-like conformation. Mol. Microbiol. 1992, 6, 563–567. [Google Scholar] [CrossRef]
- Frenkiel-Krispin, D.; Sack, R.; Englander, J.; Shimoni, E.; Eisenstein, M.; Bullitt, E.; Horowitz-Scherer, R.; Hayes, C.S.; Setlow, P.; Minsky, A.; et al. Structure of the DNA-SSPC complex: Implications for DNA packaging, protection, and repair in bacterial spores. J. Bacteriol. 2004, 186, 3525–3530. [Google Scholar]
- Friedel, M.G.; Pieck, J.C.; Klages, J.; Dauth, C.; Kessler, H.; Carell, T. Synthesis and stereochemical assignment of DNA Spore photoproduct analogues. Chem. Eur. J. 2006, 12, 6081–6094. [Google Scholar] [CrossRef]
- Kim, S.J.; Lester, C.; Begley, T.P. Synthesis of the dinucleotide Spore photoproduct. J. Org. Chem. 1995, 60, 6256–6257. [Google Scholar]
- Friedel, M.G.; Berteau, O.; Pieck, J.C.; Atta, M.; Ollagnier-de-Choudens, S.; Fontecave, M.; Carell, T. The spore photoproduct lyase repairs the 5S- and not the 5R-configured Spore photoproduct DNA lesion. Chem. Commun. 2006, 445–447. [Google Scholar]
- Mantel, C.; Chandor, A.; Gasparutto, D.; Douki, T.; Atta, M.; Fontecave, M.; Bayle, P.A.; Mouesca, J.M.; Bardet, M. Combined NMR and DFT studies for the absolute configuration elucidation of the Spore photoproduct, a UV-induced DNA lesion. J. Am. Chem. Soc. 2008, 130, 16978–16984. [Google Scholar]
- Chandra, T.; Silver, S.C.; Zilinskas, E.; Shepard, E.M.; Broderick, W.E.; Broderick, J.B. Spore photoproduct lyase catalyzes specific repair of the 5R but not the 5S spore photoproduct. J. Am. Chem. Soc. 2009, 131, 2420–2421. [Google Scholar]
- Lin, G.; Chen, C.H.; Pink, M.; Pu, J.; Li, L. Chemical synthesis, crystal structure and enzymatic evaluation of a dinucleotide Spore photoproduct analogue containing a formacetal linker. Chem. Eur. J. 2011, 17, 9658–9668. [Google Scholar] [CrossRef]
- Butenandt, J.; Eker, A.P.M.; Carell, T. Synthesis, crystal structure, and enzymatic evaluation of a DNA-photolesion isostere. Chem. Eur. J. 1998, 4, 642–654. [Google Scholar] [CrossRef]
- Heil, K.; Kneuttinger, A.C.; Schneider, S.; Lischke, U.; Carell, T. Crystal structures and repair studies reveal the identity and the base-pairing properties of the UV-induced Spore photoproduct DNA lesion. Chem. Eur. J. 2011, 17, 9651–9657. [Google Scholar] [CrossRef]
- Benjdia, A.; Heil, K.; Barends, T.R.M.; Carell, T.; Schlichting, I. Structural insights into repair of UV-DNA damage by Spore photoproduct lyase, a radical SAM enzyme. Nucleic Acids Res. 2012. [Google Scholar] [CrossRef]
- Hampton, A.; Harper, P.J.; Sasaki, T. Substrate and inhibitor properties of 8,5′-cycloadenosine 5′-phosphate with adenylate kinase, adenylate aminohydrolase, adenylosuccinate lyase, and 5′-nucleotidase. Biochemistry 1972, 11, 4965–4969. [Google Scholar] [CrossRef]
- Stolarski, R.; Dudycz, L.; Shugar, D. NMR studies in the syn-anti dynamic equilibrium in purine nucleosides and nucleotides. Eur. J. Biochem. 1980, 108, 111–121. [Google Scholar] [CrossRef]
- Ueda, T. Synthesis and some biological properties of carbon-bridged cyclonucleosides and their phosphates. Nucleosides Nucleotides 1985, 4, 67–75. [Google Scholar] [CrossRef]
© 2012 by the authors; licensee MDPI, Basel, Switzerland. This article is an open-access article distributed under the terms and conditions of the Creative Commons Attribution license (http://creativecommons.org/licenses/by/3.0/).