Next Article in Journal
Synthesis of Both Ionic Species of Ammonium Dithiocarbamate Derived Cholic Acid Moieties
Previous Article in Journal
The Inhibitory Potential of Thai Mango Seed Kernel Extract against Methicillin-Resistant Staphylococcus Aureus
 
 
Font Type:
Arial Georgia Verdana
Font Size:
Aa Aa Aa
Line Spacing:
Column Width:
Background:
Article

Design and Synthesis of Novel Antimicrobial Acyclic and Heterocyclic Dyes and Their Precursors for Dyeing and/or Textile Finishing Based on 2-N-Acylamino-4,5,6,7-tetrahydro-benzo[b]thiophene Systems

by
Hoda Zaki Shams
1,
Rafat Milad Mohareb
2,3,*,
Maher Helmy Helal
1 and
Amira El-Sayed Mahmoud
1
1
Department of Chemistry, Faculty of Science, Helwan University, Ain Helwan, Cairo, P.O. 11790, Egypt
2
Department of Organic Chemistry, Faculty of Pharmacy, October University for Modern Sciences and Arts, October City, P.O. 12613, Egypt
3
Department of Chemistry, Faculty of Science, Cairo University, Giza, P.O. 12311, Egypt
*
Author to whom correspondence should be addressed.
Molecules 2011, 16(8), 6271-6305; https://doi.org/10.3390/molecules16086271
Submission received: 22 May 2011 / Revised: 4 July 2011 / Accepted: 4 July 2011 / Published: 26 July 2011

Abstract

:
A series of novel polyfunctionalized acyclic and heterocyclic dye precursors and their respective azo (hydrazone) counterpart dyes and dye precursors based on conjugate enaminones and/or enaminonitrile moieties were synthesized. The dyes and their precursors are based on 2-cyano-N-(3-cyano-4,5,6,7-tetrahydrobenzo[b]thiophen-2-yl)-acetamide, 2-ethoxycarbonyl-N-(3-cyano-4,5,6,7-tetrahydrobenzo[b]thiophen-2-yl)-acetamide or 2-phenylcarbamoyl-N-(3-cyano-4,5,6,7-tetrahydrobenzo[b]thiophen-2-yl)-acetamide systems as precursors. The latter compounds were used to synthesize polyfunctional thiophene-, thiazole-, pyrazole, pyridine-, pyrimidine-, oxazine-, as well as acyclic moieties. The dyes and dye precursors were characterized by elemental analysis and spectral methods. All dyes and their precursors were screened in vitro and evaluated for both their antibacterial and antifungal activities. MIC data of the novel dye systems and their respective precursors showed significant antimicrobial activity against most tested organisms. Some compounds exhibited comparable or even higher efficiency than selected standards. Dyes were applied at 5% depth for disperse dyeing of nylon, acetate and polyester fabrics. Their spectral characteristics and fastness properties were measured and evaluated.

Graphical Abstract

1. Introduction

The growing interest in heterocyclic azo dye chemistry is focused on designing new synthetic approaches to these materials, theoretical calculations, and applications in various industrial fields. Besides having important-applications as textile colorants [1,2,3,4,5,6,7,8], they find increasing accessibility in photo-responsive biomaterials [9], optical sensing of metal ions [10,11,12], non-linear optics (NLO) and photoelectronics [11,13,14,15,16]. Functional dyes with special finishing capabilities is currently an area of active research [17]. Finishes for textile materials such as water repellent dyes [18,19], anti-UV radiation dyes [20,21,22], and antimicrobial dyes [23,24] have been discussed.
Many researchers have explored in the field of simultaneous dyeing and functional finishing of textiles, such as the simultaneous dyeing and durable press finishing of cotton [25,26,27], the combination of dyeing and durable press finishing of silk [28,29], the simultaneous dyeing and finishing of wool [30], as well as the simultaneous dyeing and antimicrobial finishing of acrylic fabrics [31]. Other reports concerning antimicrobial functional finishing of synthetic fabrics via treatment with either N-haloamine moieties or by quaternary ammonium salts (QAS) has been discussed [32,33]. Both treatments may limit or affect the dyeing of the finished fabric. Chlorine bleach is needed in N-haloamine treatments, while the use of QAS may occupy some available dye sites within the fabrics, thus interfering with the dyeing behavior of the resultant fabric.
At the other extreme enaminone systems have been reported as important building blocks in heterocyclic synthesis [34,35]. Azo dyes based on the conjugate enaminones or enaminonitriles containing the respective conjugate systems O=C-(C=C)n-N- and N≡C-(C=C)n-N- have attracted ongoing attention. Besides having important dyeing capabilities, they provide the basis for the expanding field of structural studies [36,37,38]. Their importance as azo dyes and azo pigments depends on their donating-attracting effects which leads to their existence in several tautomeric forms connected with different types of hydrogen bonds. The existence of azo-hydrazone tautomerism affects the basic characteristics (colour tone, photostability) of azo dyes which can be used for the design of compounds having required colour properties.
Based upon the above considerations and in a continuation of our program directed toward the synthesis of bioactive heterocyclic systems [39,40,41,42], we therefore consider it worthwhile to design and synthesize heterocyclic functional azo dyes that combine the favorable properties of conjugate enaminone, enaminonitrile and azo systems with the hope that both dyeing and antimicrobial capabilities for textile finish may be achieved.
The synthetic strategy of the investigated dyes and their precursors depended on the competition of the reaction pathways which followed nucleophilic displacement, β-attack, Gewald type reaction, dinucleophilic bielectrophilic attack, dipolar cyclization and condensation reactions. This led to the diversity of the reaction products.
The novel compounds could be leads for the development of new functional materials with special finish properties for textile fabrics. Moreover, the results of the present study may point that the novel products could be useful as synthetic precursors for azo- and azomethine ligands or polymethine dyes which may be suitable for both electronic and optical applications.

2. Results and Discussion

2.1. Chemistry

In the present work, we report the synthetic strategies for preparation of a series of novel functionalized acyclic and heterocyclic azo (hydrazone) dyes and dye precursors comprising conjugate enaminones and/or enaminonitrile moieties. The synthesized systems are based on three synthetic key precursors, namely, 2-cyano-N-(3-cyano-4,5,6,7-tetrahydrobenzo[b]thiophen-2-yl)-acetamide (2) [42], N-(3-cyano-4,5,6,7-tetrahydrobenzo[b]thiophen-2-yl)-malonamic acid ethyl ester (3) or N-(3-cyano-4,5,6,7-tetrahydrobenzo[b]thiophen-2-yl)-N/-phenyl-malonamide (4). The mechanistic pathways for our protocolS are outlined in SchemeS 1-11. Micro-analytical data, infrared (IR), 1H-Nuclear Magnetic Resonance (1H-NMR), 13C-NMR and mass spectral (MS) data are indicated in the Experimental section. The key precursors 2 and 3 [50] were obtained via the reaction of 2-amino-3-cyano-4,5,6,7-tetrahydrobenzo[b]thiophene (1) [43] with the respective active methylene reagents (XCH2CO2Et; X=CN; X=CO2Et). When 3 was reacted with aniline or 1,2-phenylenediamine, the corresponding phenylmalonamide or benzoimidazolyl acetamide derivatives 4 and 5 were obtained Scheme 1.
Scheme 1. Synthesis of precursors 2, 3, 4 and 5.
Scheme 1. Synthesis of precursors 2, 3, 4 and 5.
Molecules 16 06271 g001
The reaction involved nucleophilic displacement (compound 4) or 1,4-dinucleophilic cyclization of the diamine reagent with ethoxycarbonyl bielectrophile (compound 5). The data obtained from analytical and spectral studies are fully consistent with the proposed structures 3-5 (Experimental section). Common features of compounds 3-5 were their strong amide C=O absorptions around 1652 cm−1 (IR), δ-1H multiplets about δ 1.72-2.93 ppm that integrated for four cyclohexene CH2 protons, δ-1H singlets about δ 4.04 ppm of the acetamido CH2 protons, as well as δ-1H singlets around δ 8.37-11.81 ppm (D2O exchangeable) due to the acetamido NH proton (1H-NMR). Compound 3 revealed, in its 1H-NMR spectrum, a triplet at δ 1.20 ppm and a quartet at δ 3.38 ppm due to its ester CH3 and CH2 protons, respectively. Mass spectra of compounds 3-5 displayed [M+] ion peaks at m/z 292, 339 and 336, respectively. When 3 and 4 were condensed with benzaldehyde their respective benzylidene derivatives 6 [51] and 7 were obtained (Scheme 2).
Scheme 2. Synthesis of benzylidene derivatives 6 and 7.
Scheme 2. Synthesis of benzylidene derivatives 6 and 7.
Molecules 16 06271 g002
The spectral data of 6 and 7 show the disappearance of CH2 protons observed with the respective starting precursors 3 and 4 at δ~ 3.84 ppm, and the appearance of a δ-1H benzylidene C=CH at 8.62 ppm (1H-NMR) along with other δ-1H signals and νmax absorption bands detected in the respective regions (Experimental section). Compounds 6 and 7 exhibited molecular ion peaks [M+] at m/z 380 and [M+−1] at m/z 426, respectively.
Scheme 3. Synthesis of acyclic aryl azo (hydrazone) dyes 8a-d, 9a-e and 10.
Scheme 3. Synthesis of acyclic aryl azo (hydrazone) dyes 8a-d, 9a-e and 10.
Molecules 16 06271 g003
Aiming to produce novel azo dyes and dye precursors with biological activities for dyeing and/or finishing of textile fibers, we considered the regioselectivity for attack on the key precursors 2, 3 and 4 by different reagents. Thus, subjecting the title precursors to electrophilic or nucleophilic attack on their respective cyano-, ethoxycarbonyl-, and phenylcarbamoyl acetamido moieties, a variety of highly functionalized acyclic or heterocyclic molecules were obtained. When the intermediates 2, 3 and 4 were subjected to coupling with diazotized aryl (heteraryl) amines, the corresponding cyano-, ethoxy-carbonyl-, or phenylcarbamoyl azo (hydrazone) dyes 8a-d, 9a-e and 10 were produced (Scheme 3). The dyes may exist in two possible tautomeric forms, namely, the azo-enol form (A) and the hydrazo-keto form (B). The dyes revealed common features indicating their existence in the azo-hydrazone form, whereby they exhibited intense amidic C=O absorptions around 1640 cm−1 (IR), δ-1H singlets about 12.80 ppm corresponding to a tautomeric hydrazone NH, along with singlets at δ ~ 10.88-15.70 ppm assigned to an enolic OH (1H-NMR). Other νmax values due to CN, ethoxycarbonyl C=O, phenyl-carbamoyl C=O (IR) in addition to δ-1H signals exhibited for four cyclohexene CH2s, amidic NH, ester CH3 and CH2 as well as phenyl aromatic protons (1H-NMR) were detected in the respective spectral regions. The mass spectra of the dyes revealed molecular ion peaks [M+] in agreement with their molecular formulae.
Treatment of the key precursors 2, 3 and 4 with active methylene reagents (XCH2Y; X=Y=CN; X=CN, Y=CO2Et; X=Y=COCH3; X=COCH3, Y=CO2Et) afforded the respective 2-oxopyridine derivatives 11a-d, 12a-b, 13a-b (Scheme 4). The reaction took place via 1,3-dinucleophilic attack by the active methylene reagent on the acetamido 1,3-bielectrophilic moiety of the starting materials. The synthesis of compounds 11a-d and their analytical data were previously described by our group [42].
Scheme 4. Synthesis of functionalized 2-oxopyridine dye precursors 11a-d, 12a-b and 13a-b.
Scheme 4. Synthesis of functionalized 2-oxopyridine dye precursors 11a-d, 12a-b and 13a-b.
Molecules 16 06271 g004
All data for compounds 12a-b, 13a-b were consistent with the proposed cyclization mechanism. The absence of the cited δ-1H CH2 singlets for the acetamido methylene protons observed with the respective precursors 3, 4 at δ~ 3.84 ppm and the appearance of the pyridine C5-H protons at δ 7.92, 6.90, 6.92, 6.90 ppm in their respective 1H-NMR spectra confirmed the proposed structures. Moreover, δ-1H signals for OH were integrated at δ 11.76, 11.75 ppm (1H-NMR) for compounds 12b, 13b. Compounds 12a, 12b revealed δ-1H triplets about δ 1.13 ppm and δ-1H quartets about δ 3.56 ppm due to the ester CH3 and CH2 protons, respectively.
Additionally two carbonyl stretching modes due to a pyridine oxo function and an ethoxycarbonyl or phenylcarbamoyl C=O were observed for compounds 12a-b, 13a-b, in the 1673-1630 and 1663-1600 cm−1 regions, respectively. Mass spectral analysis displayed molecular ion peaks at m/z 357 [M+−1], 359 [M+] and 405 [M+] corresponding to the respective molecular formulae C17H18N4O3S for compound 12a, C17H17N3O4S for 12b and C21H19N5O2S for 13a.
Scheme 5. Synthesis of functionalized 2-oxopyridine azo (hydrazone) dyes 14a-d, 15a-b and 16a-b.
Scheme 5. Synthesis of functionalized 2-oxopyridine azo (hydrazone) dyes 14a-d, 15a-b and 16a-b.
Molecules 16 06271 g005
When 2-oxopyridine dye precursors 11a-d, 12a-b were coupled with diazotized aryl amines, the corresponding 2-oxo-5-pyridine azo (hydrazone) dyes 14a-d, 15a-b were obtained (Scheme 5). On the other hand, by subjecting the cyanoacetamido azo (hydrazone) dye 8a to cyclization reaction via treatment with methylene carbonitrile reagents (XCH2CN; X=CN; X=CO2Et), the respective 2-oxo-3-pyridine azo (hydrazone) dyes 16a-b were obtained (Scheme 5). The reaction followed 1,4-dipolar cyclization by 8a with the methylene carbonitrile 1,2-dipoles.
Studying the absorption spectra of the resulting dyes, it is worthy of mention that, upon introduction of an aryl diazenyl group into the enaminone dye precursors 11a-d, 12a-b, the structural potential increases even more as the azo coupling products were found to exist in various tautomeric forms. The resulting dyes may exist as azo-keto; azo-enamino, hydrazone-keto, hydrazone imino, and azo-enol form species. Thus, the IR spectra of the dyes 14a-d, 15a-b, 16a-b exhibited a common ring carbonyl absorption shifted to a low frequency domain around 1675 cm−1 due to conjugation of the C=O with the -C=C- in the enaminone system and/or the possibility of hydrogen bond formation (compounds 16a-b, Scheme 11). Additionally, the azo-hydrazone tautomer is evident in the 1H-NMR spectra of the dyes, where the H peak of the hydrazone imine characteristically appearing at 12.35 ppm. The mass spectra of the dyes revealed [M+] ion peaks which corresponded to their expected molecular formulae.
Other 2-oxopyridine systems 17a-b, were produced via treatment of the start precursor 3 with benzylidene carbonitrile reagents [51] (PhCH=C(CN)X; X=CN; X=CO2Et) (Scheme 6).
Scheme 6. Synthesis of functionalized 2-oxopyridine derivatives 17a-b.
Scheme 6. Synthesis of functionalized 2-oxopyridine derivatives 17a-b.
Molecules 16 06271 g006
The reaction took place through β-attack followed by 1,6-dipolar intramolecular cyclization with concomitant aromatization.
Scheme 7. Synthesis of functionalized thiophenes 18a-b and 20 and thiazole derivative 19.
Scheme 7. Synthesis of functionalized thiophenes 18a-b and 20 and thiazole derivative 19.
Molecules 16 06271 g007
At the other extreme, the reaction of the start precursor 4 with phenyl isothiocyanate in basic dimethylformamide followed by heterocyclization using α-halo carbonyl reagents (XCH2-C(=O)R; X=Cl, R=CO2Et; X=Br, R=Ph; X=Cl, R=CH3) afforded the polyfunctional thiophene or thiazole derivatives 18a-b, 19, respectively (Scheme 7). The reaction product depended on the nature of the α-halocarbonyl reagent [44]. The mechanism of reaction involved the intermediate formation of the potassium sulphide salt A. The disappearance of δ-1H acetamido CH2 singlet observed with the precursor 4 as revealed from the 1H-NMR spectra of 18a-b, 19 and the appearance of ester CH3 triplets at δ 1.16 ppm and a CH2 quartet at δ 4.08 ppm for compound 18a, along with the existence of a δ-1H singlet at 6.62 ppm assigned to the thiazole C5-H proton in compound 19 were sufficient proof for the proposed structures. Moreover the mass spectra of 18a-b displayed molecular ion peaks [M++1] at m/z 543 and [M+] at 574 confirming their molecular formulae C29H26N4O3S2, C33H26N4O2S2 and C28H24N4O2S2, respectively.
At the other extreme, polyfunctional thiophene derivative 20 was designed via a reaction of the key precursor 3 with elemental sulfur and malononitrile (Gewald Pathway). The reaction took place through the intermediate formation of A and B. The latter suffered intramolecular 1,5-dipolar cyclization to afford the desired thiophene derivative 20 (Scheme 7). The 1H-NMR spectrum of 20 revealed the existence of a D2O exchangeable NH2 singlet at δ 3.82 ppm, as well as the appearance of δ-1H singlet at 11.79 ppm assigned to an OH proton. Moreover, in the mass spectrum of 20 the [M+] ion at m/z 344 confirmed the molecular formula C15H12N4O2S2.
On the other hand, when 3 was reacted with either hydrazine hydrate or phenyl hydrazine, the corresponding 3-oxopyrazole systems 21a-b were produced (Scheme 8). The reaction involved 1,2-dinucleophilic cyclization by the hydrazine reagents on malonamic ester bielectrophilic moiety in 3. Similarly when 9a was subjected to the same reaction, the corresponding 5-oxopyrazole azo dyes 22a-b were formed according to the same aforementioned mechanism (Scheme 8). Microanalysis and spectral data of the pyrazole systems 21a-b, 22a-b were fully consistent with the proposed structures. The existence of a common carbonyl absorption around 1672 cm−1 corresponding to the 3-oxopyrazole function (IR), the disappearance of the δ-1H ester CH3 and CH2 signals detected with the starting acyclic precursor 9a (1H-NMR of 22a) and the appearance of the-2-pyrazole phenyl multiplet (along with the phenyl hydrazone multiplet) at δ 6.22-7.65 ppm (1H NMR of 22b) were considered as a definite proof for the proposed pyrazole systems. The mass spectra of the synthesized pyrazole systems displayed molecular ion peaks [M++2] at m/z 262 for compound 21a, [M+] at m/z 336 for 21b, [M++1] m/z 365 for 22a and [M++2] at m/z 442 for 22b. The data corresponded to respective molecular formulae C12H12N4OS, C18H16N4OS, C18H16N6OS and C24H20N6OS.
Scheme 8. Synthesis of functionalized oxopyrazole dye precursors 21a-b and respective dyes 22a-b.
Scheme 8. Synthesis of functionalized oxopyrazole dye precursors 21a-b and respective dyes 22a-b.
Molecules 16 06271 g008
In continuation of our aim for tailoring new functional heterocyclic targets with biological activity, we focused our study to a cyclization reaction of the acyclic hydrazone dye 10 with methylene carbonitrile reagents (XCH2CN; X=CN; X=CO2Et) in the presence of a catalytic amount of triethylamine. The reaction afforded the functionalized 1,3-oxazine azo dyes 23a-b, respectively (Scheme 9).
Scheme 9. Synthesis of functionalized oxazinylidene azo dyes 23a-b.
Scheme 9. Synthesis of functionalized oxazinylidene azo dyes 23a-b.
Molecules 16 06271 g009
The proposed mechanism involves nucleophilic attack by the enolic tautomer of 10 (azo-enol form) followed by 1,6-dipolar cyclization. The reaction took place through the non-isolable intermediate A. The data obtained from the IR, 1H-NMR, and MS spectra for the oxazine systems 23a-b confirmed the proposed cyclization mechanism. Both dye systems displayed, in their respective 1H-NMR spectra oxazine C5-H protons, both at δ 6.92 ppm, as well as two D2O exchangeable NH2 singlets, both at δ 3.64. Compound 23a exhibited a δ-1H singlet at 8.27 ppm due to the oxazine C4-imino function, while 23b showed νmax at 1662 cm−1 due to the oxazine C4-oxo absorption. The mass spectra of 23a-b exhibited [M+] ion peaks at m/z 509 and [M++1] at 511, respectively, indicating their corresponding molecular formulae C27H23N7O2S and C27H22N6O3S.
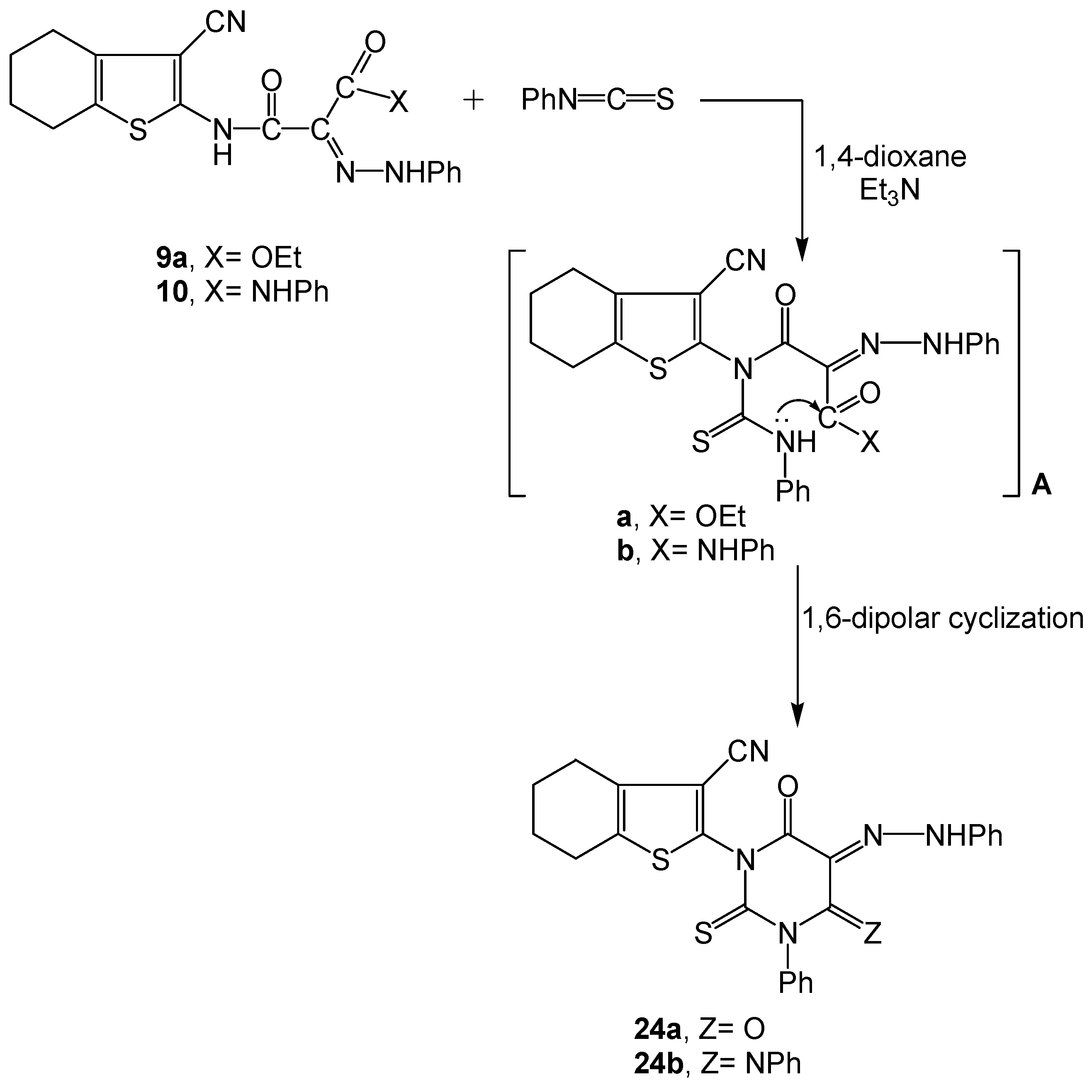
Next, we moved to study the reaction of the acyclic hydrazone dyes 9a and 10 with phenyl isothiocyanate in 1,4-dioxane containing a catalytic amount of triethylamine. The reaction involved a nucleophilic attack by the amidic NH function in 9a and 10 on the C=S terminal of the isocyanate reagent to produce the acyclic intermediate A. the latter then underwent 1,6-dipolar cyclization through elimination of EtOH or H-OH to afford the functionalized pyrimidine azo (hydrazone) dye systems 24a and 24b, respectively (Scheme 10).
The analytical and spectral data of the dyes 24a-b were in agreement with the proposed structures. Dye 24a revealed two C=O absorptions at 1665, 1620 cm−1 corresponding to the 4,6-pyrimidinedioxo functions, while 24b exhibited a 6-oxopyrimidine carbonyl absorption at 1664 cm−1. Both dyes showed, in their 1H-NMR spectra a singlet at δ~ 11.80 ppm due to the tautomeric hydrazone NH. Other νmax absorptions and δ-1H values characterizing the proposed structures were integrated at the respective fields. The mass spectra of 24a-b displayed [M+–1] ion peaks at m/z 484 and [M++1] at m/z 561, indicating the molecular formulae C25H19N5O2S2 and C31H24N6OS2, respectively.
Scheme 10. Synthesis of functionalized 2-oxopyrimidine phenyl hydrazone dyes 24a-b.
Scheme 10. Synthesis of functionalized 2-oxopyrimidine phenyl hydrazone dyes 24a-b.
Molecules 16 06271 g010

2.2. Spectral Characterization, Colour Assessment and Dyeing Properties

The dyes under investigation are based on 2-cyano-N-(3-cyano-4,5,6,7-tetrahydrobenzo[b]thiophen-2-yl)-acetamide, 2-ethoxycarbonyl-N-(3-cyano-4,5,6,7-tetrahydrobenzo[b]thiophen-2-yl)-acetamide or 2-phenylcarbamoyl-N-(3-cyano-4,5,6,7-tetrahydrobenzo[b]thiophen-2-yl)-acetamide. The dyes have their chromophoric system either attached to the acetamido terminus (acyclic dyes 8a-d, 9a-e, 10, scheme 3), or directly linked to their respective cyclized precursors (heterocyclic dyes based on pyridine 14a-d, 15a-b, 16a-b, Scheme 5; pyrazole 22a-b, Scheme 8; oxazine 23a-b, Scheme 9; and pyrimidine 24a-b, Scheme 10).
The present discussion will describe the effect of the structural configuration of these dyes on the shifts of ultraviolet-visible absorption maxima and the intensity of colour and fastness properties. Data of UV/vis absorption maxima, fastness and optical properties, as well as the colour shades on tested fabrics (nylon 66, acetate and polyester) are listed in Table 1.
Table 1. Fastness properties of disperse dyes on different fabrics.
Table 1. Fastness properties of disperse dyes on different fabrics.
Dye K/S** Fastness to RubbingWashing fastnessFastness to PerspirationLight
Sample at λmax =at 90 ºCAcidicAlkalineλmax
Dyed *400 nmDryWetAlterationStainingAlterationStainingAlterationStainingnm
8a N24.01343-43-454-5543741,
A4.78445555552-3392,
P6.6144-55555552-3223
8b N21.7433-433-44-54-54-54-53-4740,
A7.72345555553408,
P11.8733-44-54-555553224
8cN24.133-4433-454-5543741,
A9.29455555552-3404,
P13.813-44-55555552-3225
8dN20.563-433455552-3741,
A9.12345555552-3419,
P12.79345555552-3224
9aN10.3333-45555554740
A4.443-445555554-5359
P7.0233-45555554237
9bN13.3433-45555553-4740
A4.593-44-55555554364
P7.803-445555554247
9cN8.7333-45555554647,
A3.9144-55555553-4364,
P9.0833-45555553-4242
9dN14.4033-44-5355553827
A4.823-44-55555553323,
P8.7533-45555553229
9eN9.963-434-54-555553740,
A3.03344-54-555553301,
P2.94345555553205
10N19.8433-44-5554-555553740,
A9.403-44-5 555553390,
P15.9134 555553-4238
14aN22.9354-53-43-454-554-53741,
A8.87555555553405,
P15.52555555553-4224
14bN24.014-553454-554-53740,
A9.66555555553405,
P16.08555555553-4232
14cN11.4633-44-54-555552-3740
A5.77345555552-3401
P7.00345555552-3
14dN24.784-544354-5543740,
A8.983-44-5555554-53-4401,
P12.533-445555553-4222
15aN17.193-444-54-555553740,
A6.083-445555553-4219
P11.07345555553
15bN14.9433-44-54-555553740,
A6.51345555553224
P9.94345555553
16aN25.1933-44454-554-53741,
A9.04345555553395,
P14.313-445555553221
16bN23.283-443-43-44-54-54-54-53741,
A7.8334555554-53-4400,
P11.40345555553223
22aN16.6233-44-54-555553-4741,
A7.0633-45555554-5370,
P11.07335555554-5224
22bN18.32345555553-4741,
A8.32345555554-5364,
P13.0233-45555554-5224
23aN15.52454-54-555553741,
A6.87455555553235
P9.7144-55555553-4
23bN19.9333-44-54-555553740,
A8.94345555553-4235
P14.4533-45555554
24aN5.56345555553-4741,
A4.223-445555554-5230
P4.43345555554-5
24bN18.243-43-45555554740,
A8.22345555553-4223
P12.98345555554
* N, Nylon 66; A, Acetate; P, Polyester.** K/S = (1-R)2/2R.R: a decimal fraction of reflection of the dyed fabric.K: absorption coefficient.S: scattering coefficient.

2.2.1. Spectral Characterization

The target dyes revealed analytical and spectral data in accordance to their molecular structures. Most dyes exist in the azo-hydrazone tautomeric structure, as revealed by spectral data. The possibility of H bond formation between the imine-H of the hydrazone tautomer and the carbonyl bond (Scheme 11) as well as presence of a C=O moiety in an enaminone conjugate system would shift the carbonyl absorption band to a low frequency domain (νmax 1610-1600 cm−1). Additionally, the azo-hydrazone tautomer is evident in the 1H-NMR spectra where the H peak of the imine group characteristically appears at δ ~12.00 ppm. The UV/vis absorption maxima of the synthesized dyes were tested in the aqueous solution [after adding dimethyl sulphoxide (1.00/20.00 mL) to improve the water solubility]. From the analysis of the UV/vis absorption data, it was found that, for each inter-related system, none of the dyes changed significantly with respect to each other.
The bathochromic shift observed for λmax values of some dyes could be attributed to more extensive delocalization within each system configuration which in turn, is dependent on the presence of electron donating substituents. Suitable electronic absorptions were found in the blue violet region of 390-420 nm. An absorption band below 250 nm was detected for most dye systems which could be relatable to electron transition through a possible azo ligand resulting from intramolecular chelation by H-bond (Scheme 11).
Scheme 11. Possible azo ligand structure of some synthesized dyes via intramolecular chelation by H-bond.
Scheme 11. Possible azo ligand structure of some synthesized dyes via intramolecular chelation by H-bond.
Molecules 16 06271 g011
A common absorption band appearing around 740 nm was observed in the UV/vis spectra of nearly all synthesized dyes which could arise from a transition involving electron migration along the entire conjugate enaminone and/or enaminonitrile configuration. The UV/vis absorption data showed no significant bathochromic or hypsochromic shifts when measured in ethanol as a solvent.

2.2.2. Colour Assessment and Dyeing Properties

The novel dyes were applied to nylon 66, acetate and polyester fabrics at 5% depth by the high-temperature-pressure technique and gave generally bright, intense golden yellow, mustard yellow, orange, dark orange, brick red, brick brown, pale green and bright green hues. Due to the good migration properties of these disperse dyes, leveling agents were not required. The dyed fabrics were analyzed on qualitative tests by estimation fastness shades with grey scale, the results were expressed in terms of colour ratings 1-5 (Table 1).
In general, the data revealed that wash fastness rating for change in colour as well as staining of adjacent fabrics are very good (4-5). Rubbing fastness of the samples, assessed in terms of dry and wet rubbing indicated good fastness to rubbing for both dry and wet (3-5). Perspiration fastness properties (acidic and alkaline) of the dyed samples in terms of ratings for staining of adjacent fabrics and change are very good (4-5). The high ratings for change in colour at both acidic and alkaline conditions indicate that the sensitivity of the dyed samples are not related to PH. This may be due to the stability of the dyes towards degradation under either acidic or basic conditions.
Light fastness of the dyeing was of a generally of good order (3-5). The lightness ratings were primarily influenced by the depth of the hue. The data for colour yield expressed as K/S indicated higher values on nylon in comparison to other fabrics. This is probably due to the high substantivity of the dyes on nylon.
From the aforementioned data, it is noteworthy that the fastness properties for the dyes under investigation are inter-related since they depend, among other factors, on the rate of diffusion of the dye in the fabric. This rate is a function of the geometry of the dye molecule. Fastness to rubbing depends on the presence of loose dye particles on the fabric surface. The washing and perspiration fastness is, to a certain extent, dependent on the substantivity of the dye for the fabric which determines its tendency to partition in favour of the fabric.

2.3. Biology

2.3.1. Antimicrobial Evaluation of the Newly Synthesized Compounds

The newly synthesized dyes and dye precursor were screened in vitro for their antibacterial and antifungal activities against selected microbial strains, namely Escherichia coli ECT 101 (Gram-negative bacteria), Bacillus subtilis CECT 498 and Bacillus cereus CECT 148 (Gram-positive bacteria) and Candida albicans 1394 (a representative fungal species).
The minimal inhibitory concentration (MIC) in μg/mL was determined using an adapted agar streak dilution method based on radial diffusion [45,46]. Under the same conditions, solutions of control antibiotics ampicillin (antibacterial) and cycloheximide (antifungal) were used as standards.
The antimicrobial screening results of the synthesized compounds and standard antibiotics are given in Table 2. Structure-antimicrobial (biological) activity relationship for the newly synthesized compounds were studied and determined against the selected test bacterial and fungal strains.
Table 2. Antimicrobial and antifungal evaluations of the synthesized compounds MIC (mg/mL).
Table 2. Antimicrobial and antifungal evaluations of the synthesized compounds MIC (mg/mL).
CompoundE. coliB. cereusB. subtilisC. albicans
3NA4.85 12.00 10.00
418.51 22.16 20.18 10.00
56.60 17.81 6.80 8.00
6NA14.62 4.18 0.60
76.58 8.48 4.46 12.38
8aNA4.22 10.89 12.42
8bNA4.39 4.33 12.77
8cNA0.08 2.22 6.44
8dNA3.03 0.68 20.50
9aNA16.32 6.22 0.40
9bNA12.30 4.22 12.55
9cNA6.03 12.42 4.55
9dNA12.34 6.13 0.40
9eNA2.25 14.00 16.00
10NA7.39 4.33 12.77
12a16.77 6.28 22.48 4.66
12b4.55 10.33 2.26 10.58
13a12.57 8.00 4.62 33.00
13bNA4.76 8.66 8.22
14a16.60 12.42 4.01 0.20
14b0.36 1.16 9.67 0.04
14c10.50 4.77 8.80 30.55
14d4.72 19.22 6.80 8.06
15a10.21 2.36 0.22 0.20
15bNA12.30 4.22 12.55
16aNA1.25 8.23 2.24
16bNA0.08 2.22 6.44
17aNA2.19 6.44 4.48
17b10.55 6.88 5.38 8.79
18a6.44 8.46 6.42 0.61
18b8.9912.68 6.77 2.87
196.48 8.18 22.30 18.42
2010.33 4.14 10.33 6.08
21aNA12.34 6.13 0.40
21b8.22 6.03 12.42 4.55
22a8.48 6.08 18.30 16.48
22bNA6.18 4.03 0.81
23aNA6.88 5.38 6.99
23b6.98 6.68 4.36 8.26
24a19.04 8.36 10.60 18.26
24b12.41 8.52 2.01 0.80
Ampicillin6.25 3.13 12.50
Cycloheximide12.50
NA: not active.
According to this study it was observed that the MIC values of the dyes and dye precursors are generally within the 0.04-30.00 μg/mL range against all tested microbial organisms, which reveals significant and potent antimicrobial activity (Table 2). However, a number of the synthesized compounds (dyes 8a-d, 9a-e, 15b, 16a-b, 22b, 23a and dye precursors 3, 13b, 17a, 21a) were found to be totally inactive towards the Gram-negative bacterial species E. coli. This could be related to the presence of electron withdrawing functions (CN, CO2Et, CONHPh, N=N-) conjugated with electron donating groups (NH2, OH, =N-NH). The increase in electron attracting character of these compounds cause a relative decrease in their biological activity. Furthermore, the intricate nature of the cell wall of this Gram-negative bacterial strain compared with Gram-positive test bacteria B. subtilis and B.cereus may inhibit the adsorption of most compounds onto the surface and consequently revealed weaker susceptibility for these compounds.
On the other hand, as an impressive result, the active concentration of almost all synthesized dyes and dye precursors against tested Gram-positive bacteria was found to be similar or even lower values compared with control antibiotics against these strains (Table 2). This may be attributed to the presence of an oxo function in the main structure of the dyes and dye precursors which could be responsible to bind or complex with nucleophilic amino acids in proteins leading to inactivation of the microorganisms and loss of function. Additionally, the presence of an oxo function in the synthesized compounds may lead to the formation of H-bonds with water molecules which enable these compounds to more readily form positive ions in aqueous solution thereby inhibiting microbial growth by adsorption onto the bacterial surface [47]. Also, it is worth of mentioning that a high level of antifungal activities was observed for all tested compounds against the selected yeast C. albicans (Table 2). The dyes 8a, 8c, 9a, 9a-d, 10, 14a-b, 14d, 15a, 16a-b, 22b, 23a-b, 24b and dye precursors 3, 4, 5, 6, 7, 12a-b, 13a-b, 17a-b, 18a-b, 20, 21a-b all exhibited superior antifungal activity than cycloheximide against this fungal strain.

2.3.2. Antimicrobial Evaluation of the Dyed Fabrics

Selected dyed fabrics (nylon 66 dyed with 8a, 9d, 9e, 14c, 14d, 16a, 22a, 24b, acetate dyed with 8b, 8d, 9a, 14a, 15b, 16b, 22b, 23b and polyester dyed with 8c, 9b, 9c, 10, 14b, 15a, 23a, 24a) were chosen to study their biological activities towards E. coli and Pseudomonas aeruginosa (Gram-negative bacteria), B. subtilis, Staphylococcus aureus and B. cereus (Gram-positive bacteria) and C. albicans (a representative fungal species). Diameters of the inhibition zones in mm were measured. The data of the disc susceptibility tests showed significant and potent antimicrobial activity of the dyed fabrics against all tested organisms (Table 3).
Table 3. Antimicrobial and antifungal potentialities of the tested dyed fabrics express as size (mm) of inhibition zones.
Table 3. Antimicrobial and antifungal potentialities of the tested dyed fabrics express as size (mm) of inhibition zones.
DyeSample Dyed *E. coliB. cereusB. subtilisC. albicansP. aeruginosaS. aureus
8aN201817271715
8bA121618221216
8cP151216231918
8dA121013221414
9aA151115221815
9bP101211201216
9cP181110281418
9dN201418221812
9eN182018282015
10P161516251620
14aA161110181415
14bP141315191417
14cN141214191417
14dN101017281414
15aP141214191316
15bA181418162022
16aN191919252020
16bA202018201919
22aN151816241418
22bA151415241619
23aP151315241515
23bA181818201915
24aP191919302020
24bN141412201616
* N, Nylon 66; A, acetate; P, polyester.

3. Experimental

3.1. General

3.1.1. Equipment

All melting points were determined on an Electrothermal digital melting point apparatus and are uncorrected. IR spectra (KBr discs) were recorded on a FTIR plus 460 or Pye Unicam SP-1000 spectrophotometer. 1H-NMR spectra were recorded with Varian Gemini-200 (200 MHz) and Jeol AS 500 MHz instruments, 13C-NMR spectra were measured with the Jeol AS 500 MHz instrument. Both spectra were performed in DMSO-d6 as solvent using TMS as internal standard and chemical shifts are expressed as δ ppm. MS (EI) spectra were recorded with Hewlett Packard 5988 A GC/MS system and GCMS-QP 1000 Ex Shimadzu instruments. UV/vis absorption maxima (λmax) were recorded on UV-16600 Series. Analytical data were obtained from the Micro-analytical Data Unit at Cairo University and were performed on Vario EL III Elemental analyzer. The dyeing operation was carried out using Wemer Mathis AG Textimaschine-Laborapparate CH-8155 Niederhasli/Zürich apparatus. Colour strength (K/S) of the dyed samples was measured by using OPTIMATCH 3100. The colour fastness to washing was determined using Launder-ometer. Colour fastness to rubbing was determined using Crock-Meter Type FD II and colour fastness to perspiration was determined using Prespiration Tester. The light fastness test was measured by using Mercury-Tungsten lamp.

3.1.2. Materials and Chemicals

Pretreated fabrics used throughout this work; namely cellulose triacetate, nylon 66 and polyester (polyethylene glycol terephthalate) were supplied by Misr-Helwan Co. for spinning and weaving, Helwan, Cairo, Egypt. Dispersing agents namely Remol-HT was supplied by Hoechst (Germany). 2-Cyano-N-(3-cyano-4,5,6,7-tetrahydrobenzo[b]thiophen-2-yl)-acetamide (2) was synthesized following the method previously described by our group [42]. N-(3-cyano-4,5,6,7-tetrahydrobenzo[b]thiophen-2-yl)-malonamic acid ethyl ester (3) was synthesized according to a method described [50].

3.2. Chemistry

N-(3-Cyano-4,5,6,7-tetrahydrobenzo[b]thiophen-2-yl)-N\-phenyl-malonamide (4): Equimolar amounts of 3 (2.92 g, 0.01 mol) and aniline (0.93 g, 0.01 mol) in dimethylformamide (20 mL) were heated under reflux for 5 h. The solid product formed upon pouring onto ice/water mixture was collected by filtration and crystallized from dimethylformamide. Yellowish white crystals, m.p. 147-150 °C, yield: 2.95 g (87%); Anal. For C18H17N3O2S (339.41), (% Calcd./Found): 63.70/64.01 (C), 5.05/5.33 (H), 12.38/12.60 (N), 9.45/9.70 (S); IR (ν, cm−1): 3430-3142 (2NH), 3083 (CH aromatic), 2937-2839 (CH2), 2198 (CN), 1696, 1663 (2C=O), 1524,1440 (C=C); 1H-NMR (δ, ppm): 1.72-2.91 (m, 8H, cyclohexene 4CH2), 3.89 (s, 2H, CH2), 6.95-7.65 (m, 5H, C6H5), 11.54, 11.81 (2s, 1H each, 2NH); 13C NMR (δ, ppm): 23.8, 24.0, 28.2, 29.3 (4 CH2), 40.5 (CH2), 93.1 (thiophene-C3), 114.7 (CN), 117.3, 118.8, 119.6, 120.3, 129.7 (C6H5), 131.2, 131.6, 146.8 (thiophene 3C), 163.2, 165.6 (2 C=O); MS m/z (%): 341 [M++2] (8.00), 340 [M++1] (12.50), 339 [M+] (49.70), 178 (100.00), 93 (74.90), 77 (56.20).
2-(1H-Benzoimidazol-2-yl)-N-(3-cyano-4,5,6,7-tetrahydrobenzo[b]thiophen-2-yl)-acetamide (5): Equimolar amounts of 3 (2.92 g, 0.01 mol) and o-phenylenediamine (1.08 g, 0.01 mol) were heated in an oil bath at 140 °C for 1h. The reaction mixture was then boiled in ethanol (30 mL) for few minutes, poured onto ice/water mixture and the formed product was crystallized from 1,4-dioxane. Pale brown crystals, m.p. 94-98 °C, yield: 2.35 g (70%); Anal. For C18H16N4OS (336.41), (% Calcd./Found): 64.26/64.51 (C), 4.79/4.81 (H), 16.65/16.30 (N), 9.53/9.82 (S); IR (ν, cm−1): 3392 (2NH), 3050 (CH aromatic), 2924-2844 (CH2), 2196 (CN), 1607 (C=O), 1544, (C=N), 1502, 1431(C=C); 1H-NMR (δ, ppm): 1.77-2.93 (m, 8H, cyclohexene 4CH2), 4.44 (s, 2H, CH2), 6.88-7.63 (m, 4H, C6H4), 8.37, 10.54 (2s, 1H each, 2NH); 13C-NMR(δ, ppm): 23.3, 24.4, 28.4, 29.6 (4 CH2), 40.7 (CH2), 93.3 (thiophene-C3), 115.9 (CN), 121.0, 121.4, 122.2, 122.5, 127.4 (C6H4), 131.0, 131.8, 146.4 (thiophene 3C), 145.8 (imidazole-C2), 162.5 (C=O), 175.7 (C=N); MS m/z (%): 337 [M++1] (55.42), 336 [M+] (100.00), 335 [M+–1] (41.43).

3.2.1. Reaction of 4,5,6,7-Tetrahydrobenzo[b] Thiophene Derivatives 3 and 4 with Benzaldehyde: Synthesis of 6 and 7

To a mixture of equimolar amounts of 3 (2.92 g, 0.01 mol) or 4 (3.39 g, 0.01 mol) in 1,4-dioxane (25 mL) containing piperidine (0.50 mL), benzaldehyde (1.06 g, 0.01 mol) was added. The reaction mixture was heated under reflux for 5h. The solid products formed upon pouring onto ice/water mixture were containing few drops of hydrochloric acid collected by filtration and crystallized from 1,4-dioxane.
2-(3-Cyano-4,5,6,7-tetrahydrobenzo[b]thiophen-2-yl-carbamoyl)-3-phenyl-acryclic acid ethyl ester (6): The data for compound 6 has been published earlier by our group [51].
2-Benzylidene-N-(3-cyano-4,5,6,7-tetrahydrobenzo[b]thiophen-2-yl)-N\-phenyl-malonamide (7): Dark brown crystals, m.p. 84-88 °C, yield: 3.42 g (80%); Anal. For C25H21N3O2S (427.52), (% Calcd./Found): 70.24/69.90 (C), 4.95/5.20 (H), 9.83/10.12 (N), 7.50/7.82 (S); IR (ν, cm−1): 3282 (2NH), 3066 (CH aromatic), 2928-2851 (CH aliphatic), 2210 (CN), 1666, 1598, (2C=O) 1540,1441 (C=C); 1H-NMR (δ, ppm): 1.71-2.69 (m, 8H, cyclohexene 4CH2), 7.28-7.95 (m, 10H, 2C6H5), 8.62 (s, 1H, benzylidene CH), 10.14, 11.77 (2s, 1H each, 2NH); MS m/z (%): 427 [M+], 426 [M+–1] (36.83), 140 (74.67), 73 (100.00), 77 (1.52).

3.2.2. Reaction of 4,5,6,7-Tetrahydrobenzo[b]thiophene Derivative 2 with Aryl Diazonium Chloride Salts: Synthesis of 8a-d

To a cold solution (0-5 °C) of 2 (2.45 g, 0.01 mol), in ethanol (20 mL) containing sodium hydroxide (1.00 g) an equimolar amount of diazotized aniline, diazotized p-chloroaniline, diazotized p-toluidene and diazotized p-methoxyaniline were gradually added while stirring. The solid products formed upon cooling in an ice-bath were collected by filtration, washed with water and crystallized from 1,4-dioxane.
2-Cyano-2-(2-phenylhydrazono)-N-(3-cyano-4,5,6,7-tetrahydrobenzo[b]thiophen-2-yl)-acetamide (8a): the data of compound 8a has been published earlier by our group [42].
2-[(4-Chlorophenyl)-hydrazono]-2-cyano-N-(3-cyano-4,5,6,7-tetrahydrobenzo[b]thiophen-2-yl)-acetamide (8b): Reddish brown crystals, m.p. 133-138 °C, yield: 3.45 g (90%); Anal. For C18H14N5OSCl (383.85), (% Calcd./Found): 56.32/56.54 (C), 3.68/3.90 (H), 18.24/18.00 (N), 8.35/8.60 (S); IR (ν, cm−1): 3332-3218 (resonating OH, 2NH), 3090 (CH aromatic), 2932-2855 (CH2 cyclohexene), 2256, 2214 (2CN), 1627 (C=O), 1575, 1490 (C=C), 1535 (=N-NH); 1H-NMR (δ, ppm): 1.74-2.89 (m, 8H, cyclohexene 4CH2), 6.92-7.83 (m, 4H, C6H4), 11.80, 12.80 (2s, 1H each, 2NH), 15.70 (s, 1H, resonating OH) ; MS m/z (%): 385 [M++2] (18.90), 383 [M+], 220 (13.50), 178 (16.20), 127 (64.90), 65 (100.00).
2-Cyano-N-(3-cyano-4,5,6,7-tetrahydrobenzo[b]thiophen-2-yl)-2-(p-tolyl-hydrazono)-acetamide (8c): Dark reddish brown crystals, m.p. 116-120 °C, yield: 2.00 g (55%); Anal. For C19H17N5OS (363.44), (% Calcd./Found): 62.79/63.16 (C), 4.71/4.99 (H), 19.27/18.90 (N), 8.82/9.04 (S); IR (ν, cm−1): 3330-3218 (resonating OH, 2NH), 3090 (CH aromatic), 2929-2857 (CH3,CH2 cyclohexene), 2253, 2218 (2CN), 1622 (C=O), 1574, 1443 (C=C), 1518 (=N-NH); 1H-NMR (δ, ppm): 1.17 (s, 3H, CH3), 1.71-2.84 (m, 8H, cyclohexene 4CH2), 6.88 (s, 1H, NH) 7.13-7.65 (m, 4H, C6H4), 11.99, (s, 1H, NH), 15.59 (s, 1H, resonating OH) ; MS m/z (%): 363 [M+], 150 (71.40), 77 (54.80), 50 (100.00).
2-Cyano-N-(3-cyano-4,5,6,7-tetrahydrobenzo[b]thiophen-2-yl)-2-[(4-methoxyphenyl)-hydrazono]acetamide (8d): Dark reddish brown crystals, m.p. 90-94 °C, yield: 2.31 g (61%); Anal. For C19H17N5O2S (379.44), (% Calcd./Found): 60.14/59.80 (C), 4.52/4.82 (H), 18.46/18.10 (N), 8.45/8.82 (S); IR (ν, cm−1): 3325-3215 (2NH), 3090 (CH aromatic), 2932-2839 (CH3, CH2 cyclohexene), 2254, 2211 (2CN), 1610 (C=O), 1576, 1459 (C=C), 1511 (=N-NH); 1H-NMR (δ, ppm): 1.20 (s, 3H, CH3), 1.75-2.50 (m, 8H, cyclohexene 4CH2), 7.07-7.79 (m, 4H, C6H4), 10.80, 11.90 (2s, 1H each, 2NH), 12.43 (s, 1H, resonating OH); MS m/z (%): 379 [M+] (54.49), 300 (62.55), 61 (100.00).

3.2.3. Synthesis of N-(3-cyano-4,5,6,7-tetrahydrobenzo[b]thiophen-2-yl)-malonamic Acid Ethyl Ester Azo Derivatives 9a-d

To a cold solution (0-5 °C) of 3 (2.92 g, 0.01 mol), in ethanol (20 mL) containing sodium hydroxide (1.00 g) an equimolar amount of diazotized aniline, diazotized p-chloroaniline, diazotized p-toluidene or diazotized p-methoxyaniline was gradually added while stirring. The solid products formed upon cooling in an ice-bath were collected by filtration, washed with water and crystallized from 1,4-dioxane.
N-(3-Cyano-4,5,6,7-tetrahydrobenzo[b]thiophen-2-yl)-2-(phenylhydrazono)-malonamic acid ethyl ester (9a): the data of compound 9a has been published earlier by our group [51].
2-[(4-Chlorophenyl)-hydrazono]-N-(3-cyano-4,5,6,7-tetrahydrobenzo[b]thiophen-2-yl)malonamic acid ethyl ester (9b): Orange crystals, m.p. 186-190 °C, yield: 4.09 g (95%); Anal. For C20H19ClN4O3S (430.91), (% Calcd./Found): 55.75/55.42 (C), 4.44/4.11 (H), 13.00/13.34 (N), 7.44/7.73 (S); IR (ν, cm−1): 3439-3348 (2NH), 3159 (CH aromatic), 2932-2850 (CH3, CH2), 2208 (CN), 1664, 1627 (2C=O), 1590, 1453 (C=C), 1529 (=N-NH); 1H-NMR (δ, ppm): 1.81 (t, J = 6.90 Hz, 3H, ester CH3), 2.50-2.66 (m, 8H, cyclohexene 4CH2), 3.80 (q, J = 6.90 Hz, 2H, ester CH2), 7.42-7.74 (m, 4H, C6H4), 10.60, 12.50 (2s, 1H each, 2NH), 13.60 (s, 1H, resonating OH).
N-(3-Cyano-4,5,6,7-tetrahydrobenzo[b]thiophen-2-yl)-2-(p-tolyl-hydrazono)-malonamic acid ethyl ester (9c): Pale orange crystals, m.p. 256-260 °C, yield: 3.94 g (96%); Anal. For C21H22N4O3S (410.49), (% Calcd./Found): 61.45/61.17 (C), 5.40/5.60 (H), 13.65/14.00 (N), 7.81/8.02 (S); IR (ν, cm−1): 3470-3163 (resonating OH, 2NH), 3090 (CH aromatic), 2932-2852 (CH3, CH2), 2210 (CN), 1665, 1630 (2C=O), 1570, 1454 (C=C), 1525 (=N-NH); 1H-NMR (δ, ppm): 1.20 (t, J = 7.70 Hz, 3H, ester CH3), 1.75 (s, 3H, CH3), 1.88-2.85 (m, 8H, cyclohexene 4CH2), 3.30 (q, J = 7.70 Hz, 2H, ester CH2), 7.20-7.62 (m, 4H, C6H4), 10.70, 12.59 (2s, 1H each, 2NH), 13.66 (s, 1H, resonating OH); MS m/z (%): 410 [M+] (18.90), 233 (29.70), 204 (13.50), 178 (37.80), 106 (100.00), 77 (70.30).
N-(3-Cyano-4,5,6,7-tetrahydrobenzo[b]thiophen-2-yl)-2-[(4-methoxy-phenyl)-hydrazono]-malonamic acid ethyl ester (9d): Deep orange crystals, m.p. 240-245 °C, yield: 3.54 g (83%); Anal. For C21H22N4O4S (426.49), (% Calcd./Found): 59.14/58.90 (C), 5.20/5.43 (H), 13.14/13.30 (N), 7.52/7.82 (S); IR (ν, cm−1): 3457-3188 (resonating OH, 2NH), 3078-3001 (CH aromatic), 2933-2841 (CH3, CH2), 2210 (CN), 1663, 1600 (2C=O), 1571, 1457 (C=C), 1530 (=N-NH) ; 1H-NMR (δ, ppm): 1.01 (t, J = 6.85 Hz, 3H, ester CH3), 1.71 (s, 3H, CH3), 1.87-2.85 (m, 8H, cyclohexene 4CH2), 3.70 (q, J = 6.85 Hz, 2H, ester CH2), 6.91-7.92 (m, 4H, C6H4), 11.78, 13.45 (2s, 1H each, 2NH), 14.93 (s, 1H, resonating OH); MS m/z (%): 426 [M+] (1.90), 249 (4.50), 204 (11.60), 178 (63.00), 150 (100.00).
N-(3-Cyano-4,5,6,7-tetrahydrobenzo[b]thiophen-2-yl)-2-(3-cyano-4,5,6,7-tetrahydrobenzo[b]thiophen-2-ylazo)malonamic acid ethyl ester (9e): Compound 9e was synthesized according to the following method: A diazotized solution of 2-amino-3-cyano-4,5,6,7-tetrahydrobenzo[b]-thiophene (1) was prepared by dissolving 1 (1.78 g, 0.01 mol) in a mixture of acetic acid (10 mL) and propionic acid (2 mL) and stirring while cooling (5 °C) for 20 min. Concentrated sulphuric acid (5 mL) was then added, followed by portion-wise addition of sodium nitrite (0.69 g, 0.01 mol). The diazotized solution was heated (60-65 °C) while stirring for 1 h until a clear solution was obtained, cooled to 5 °C, and then added to a solution of 3 (2.92 g, 0.01 mol) in ethanol (35 mL) containing sodium hydroxide (1.00 g) while cooling in an ice bath. The reaction mixture was neutralized by pouring onto ice/water mixture containing few drops of hydrochloric acid. The solid product, thus formed, was collected by filtration and crystallized from ethanol. Brown crystals, m.p. 271-273 °C, yield: 3.85 g (80%); Anal. For C23H23N5O3S2 (481.59), (% Calcd./Found): 57.36/57.01 (C), 4.81/5.02 (H), 14.54/14.32 (N), 13.32/13.60 (S); IR (ν, cm−1): 3450-3193 (resonating OH, 2NH), 3085-3005 (CH aromatic), 2936-2859 (CH3, CH2), 2211, 2195 (2CN), 1678, 1628 (2C=O), 1573, 1464 (C=C), 1545 (=N-NH); 1H-NMR (δ, ppm): 1.20 (t, 3H, ester CH3), 1.75-2.58 (m, 16H, cyclohexene 8CH2), 3.85 (q, 2H, ester CH2), 6.90, 11.50 (2s, 1H each, 2NH), 11.77 (s, 1H, resonating OH); MS m/z (%): 481 [M+] (0.02), 163 (27.63), 135 (100.00), 105 (31.48), 77 (17.45).
N-(3-Cyano-4,5,6,7-tetrahydrobenzo[b]thiophen-2-yl)-N\-phenyl-2-(phenylhydrazono)malonamide (10): Method (A): To a cold solution (0-5 °C) of 4 (3.39 g, 0.01 mol), in ethanol (20 mL) containing sodium hydroxide (1.00 g) an equimolar amount of diazotized aniline was gradually added while stirring. The solid product formed upon cooling in an ice-bath was collected by filtration, washed with water and crystallized from 1,4-dioxane. Method (B): To a solution of 9a (3.96 g, 0.01 mol) in dimethylformamide (30 mL), aniline (0.93 g, 0.01 mol) was added. The reaction mixture was heated under reflux for 5 h. The solid product formed upon pouring onto ice/water mixture was collected by filtration, washed with water and crystallized from 1,4-dioxane. Pale orange crystals, m.p. 106-110 °C, yield: 3.41 g (77% in method A and B); Anal. For C24H21N5O2S (443.52), (% Calcd./Found): 64.99/64.62 (C), 4.77/4.36 (H), 15.79/15.57 (N), 7.23/7.67 (S); IR (ν, cm−1): 3290-3209 (resonating OH, 3NH), 3063 (CH aromatic), 2934-2857 (CH2 cyclohexene), 2210 (CN), 1667, 1598, (2C=O) 1527,1443 (C=C); 1H-NMR (δ, ppm): 1.71-2.62 (m, 8H, cyclohexene 4CH2), 7.26-7.57 (m, 10H, 2C6H5), 10.14, 11.76, 13.35 (3s, 1H each, 3NH), 13.78 (s, 1H, resonating OH); MS m/z (%): 443 [M+] (3.50), 339 (18.10), 178 (100.00), 93 (91.20), 77 (68.40).
N-(3-Cyano-4,5,6,7-tetrahydrobenzo[b]thiophen-2-yl)-N\-phenyl-2-(phenylhydrazono)malonamide (10): Method (A): To a cold solution (0-5 °C) of 4 (3.39 g, 0.01 mol), in ethanol (20 mL) containing sodium hydroxide (1.00 g) an equimolar amount of diazotized aniline was gradually added while stirring. The solid product formed upon cooling in an ice-bath was collected by filtration, washed with water and crystallized from 1,4-dioxane. Method (B): To a solution of 9a (3.96 g, 0.01 mol) in dimethylformamide (30 mL), aniline (0.93 g, 0.01 mol) was added. The reaction mixture was heated under reflux for 5 h. The solid product formed upon pouring onto ice/water mixture was collected by filtration, washed with water and crystallized from 1,4-dioxane. Pale orange crystals, m.p. 106-110 °C, yield: 3.41 g (77% in method A and B); Anal. For C24H21N5O2S (443.52), (% Calcd./Found): 64.99/64.62 (C), 4.77/4.36 (H), 15.79/15.57 (N), 7.23/7.67 (S); IR (ν, cm−1):3290-3209 (resonating OH, 3NH), 3063 (CH aromatic), 2934-2857 (CH2 cyclohexene), 2210 (CN), 1667, 1598, (2C=O) 1527,1443 (C=C); 1H-NMR (δ, ppm): 1.71-2.62 (m, 8H, cyclohexene 4CH2), 7.26-7.57 (m, 10H, 2C6H5), 10.14, 11.76, 13.35 (3s, 1H each, 3NH), 13.78 (s, 1H, resonating OH); MS m/z (%): 443 [M+] (3.50), 339 (18.10), 178 (100.00), 93 (91.20), 77 (68.40).

3.2.4. Synthesis of Functionalized 4,5,6,7-Tetrahydrobenzo[b]thiophen-2-yl-3-cyano-, 3-Carboxylic Acid Ethyl Esters or 3-Carboxylic Acid Phenyl Amides 11a-d, 12a-b or 13a-b

Compounds 11a-d have been published earlier by our group [42].

3.2.4.1. Synthesis of 12a-b, 13a-b

To a solution of compound 3 (2.92 g, 0.01 mol) or 4 (3.39 g, 0.01 mol) in 1,4-dioxane (25 mL) and dimethylformamide (10 mL) containing triethylamine (1.00 mL), either malononitrile (0.66 g, 0.01 mol) or ethyl cyanoacetate (1.13 g, 0.01 mol) was added. The reaction mixture, in each case, was heated under reflux for 5 h, then cooled and neutralized by pouring onto ice/water mixture containing few drops of hydrochloric acid. The solid product formed, in each case, was filtered off and crystallized from 1,4-dioxane/dimethylformamide mixture.
4,6-Diamino-1-(3-cyano-4,5,6,7-tetrahydrobenzo[b]thiophen-2-yl)-2-oxo-1,2-dihydropyridine-3-carboxylic acid ethyl ester (12a): Brown crystals, m.p. 276-280 °C, yield: 2.36 g (66%); Anal. For C17H18N4O3S (358.41), (% Calcd./Found): 56.97/57.00 (C), 5.06/5.18 (H), 15.63/15.57 (N), 8.95/9.10 (S); IR (ν, cm−1): 3400-3188 (2NH2), 3083-3002 (CH aromatic), 2932-2852 (CH3, CH2), 2209 (CN), 1673, 1630 (2C=O), 1543, 1461 (C=C); 1H-NMR (δ, ppm): 1.12 (t, J = 7.65 Hz, 3H, ester CH3), 1.72-2.85 (m, 8H, cyclohexene 4CH2), 3.30-3.34 (s, 2H, NH2), 3.82 (s, 2H, NH2), 3.05 (q, J = 7.65 Hz, 2H, ester CH2), 7.92 (s, 1H, pyridine C5-H); MS m/z (%): 357 [M+–1] (12.37), 356 [M+–2] (18.51), 178 (100.00), 150 (99.10).
4-Amino-1-(3-cyano-4,5,6,7-tetrahydrobenzo[b]thiophen-2-yl)-6-hydroxy-2-oxo-1,2-dihydropyridine-3-carboxylic acid ethyl ester (12b): Pale yellow crystals, m.p. 268-270 °C, yield: 2.59 g (72%); Anal. For C17H17N3O4S (359.40), (% Calcd./Found): 56.81/57.01 (C), 4.77/4.40 (H), 11.69/11.82 (N), 8.92/9.20 (S); IR (ν, cm−1): 3740-3191 (OH, NH2), 3081 (CH aromatic), 2932-2852 (CH3, CH2), 2208 (CN), 1676, 1635 (2C=O), 1546, 1460 (C=C); 1H-NMR (δ, ppm): 1.14 (t, J = 7.50 Hz, 3H, ester CH3), 1.75-2.89 (m, 8H, cyclohexene 4CH2), 3.85 (s, 2H, NH2), 4.07 (q, J = 7.50 Hz, 2H, ester CH2), 6.90 (s, 1H, pyridine C5-H), 11.76 (s, 1H, OH) ; MS m/z (%): 360 [M++1] (0.11), 359 [M+] (0.09), 178 (100.00), 150 (76.57).
4,6-Diamino-1-(3-cyano-4,5,6,7-tetrahydrobenzo[b]thiophen-2-yl)-2-oxo-1,2-dihydropyridine-3-carboxylic acid phenylamide (13a): Yellowish white crystals, m.p. 210-212 °C, yield: 2.84 g (70%); Anal. For C21H19N5O2S (405.47), (% Calcd./Found): 62.21/61.91 (C), 4.72/4.92 (H), 17.27/17.00 (N), 7.91/8.10 (S); IR (ν, cm−1): 3400-3282 (resonating OH, NH, 2NH2), 3081 (CH aromatic), 2932 (CH2 cyclohexene), 2213 (CN), 1663, 1600, (2C=O) 1544,1442 (C=C); 1H-NMR (δ, ppm): 1.72-2.94 (m, 8H, cyclohexene 4CH2), 3.44 (s, 2H, NH2), 3.64 (s, 2H, NH2), 6.92 (s, 1H, pyridine C5-H), 7.27-7.56 (m, 5H, C6H5), 10.18 (s, 1H, NH), 11.77 (s, 1H, resonating OH); MS m/z (%): 405 [M+], 407 [M++2] (41.83), 405 [M+] (42.89), 54 (100.00).
4-Amino-1-(3-cyano-4,5,6,7-tetrahydrobenzo[b]thiophen-2-yl)-6-hydroxy-2-oxo-1,2-dihydropyridine-3-carboxylic acid phenylamide (13b): Pale yellow crystals, m.p. 135-138 °C, yield: 2.48 g (61%); Anal. For C21H18N4O3S (406.46), (% Calcd./Found): 62.05/61.72 (C), 4.46/4.72 (H), 13.78/13.40 (N), 7.89/8.21 (S); IR (ν, cm−1): 3426-3221 (OH, NH, NH2), 3082 (CH aromatic), 2932-2848 (CH2 cyclohexene), 2202 (CN), 1662, 1613, (2C=O) 1536,1441 (C=C); 1H-NMR (δ, ppm): 1.70-2.59 (m, 8H, cyclohexene 4CH2), 3.68 (s, 2H, NH2), 6.90 (s, 1H, pyridine C5-H), 7.03-7.61 (m, 5H, C6H5), 10.13-10.17 (s, 1H, NH), 11.75 (s, 1H, OH).

3.2.5. Synthesis of Functionalized 4,5,6,7-Tetrahydrobenzo[b]thiophen-2-yl-5-phenylazo Pyridine Derivatives 14a-d and 15a-b

To a cold solution (0-5 °C) of 11a (3.11 g, 0.01 mol), 11b (3.12 g, 0.01 mol), 11c (3.09 g, 0.01 mol), 11d (3.11 g, 0.01 mol), 12a (3.58 g, 0.01 mol) or 12b (3.59 g, 0.01 mol), in ethanol (20 mL) containing sodium hydroxide (1.00 g) an equimolar amount of diazotized aniline was gradually added while stirring. The solid products formed upon cooling in an ice-bath were collected by filtration, washed with water and crystallized from 1,4-dioxane.
4,6-Diamino-1-(3-cyano-4,5,6,7-tetrahydrobenzo[b]thiophen-2-yl)-2-oxo-5-phenylazo-1,2-dihydro-pyridine-3-carbonitrile (14a): Orange crystals, m.p. 255-260 °C, yield: 3.45 g (83%); Anal. For C21H17N7OS (415.47), (% Calcd./Found): 60.71/60.41 (C), 4.12/4.30 (H), 23.60/23.21 (N), 7.72/8.11 (S); IR (ν, cm−1): 3446-3220 (2NH2), 3139-3067 (CH aromatic), 2930-2855 (CH2 cyclohexene), 2213, 2195 (2CN), 1679 (C=O), 1608, 1490 (C=C), 1545 (N=N); 1H-NMR (δ, ppm): 1.77-2.64 (m, 8H, cyclohexene 4CH2), 3.90, 4.10 (2s, 2H each, 2NH2), 7.15-7.69 (m, 5H, C6H5).
4-Amino-1-(3-cyano-4,5,6,7-tetrahydrobenzo[b]thiophen-2-yl)-6-hydroxy-2-oxo-5-phenylazo-1,2-dihydro-pyridine-3-carbonitrile (14b): Dark orange crystals, m.p. 230-235 °C, yield: 4.12 g (99%); Anal. For C21H16N6O2S (416.11), (% Calcd./Found): 60.56/60.72 (C), 3.87/3.74 (H), 20.18/19.94 (N), 7.70/8.00 (S); IR (ν, cm−1): 3444 (OH), 3358-3217 (NH2), 3064 (CH aromatic), 2928-2850 (CH2 cyclohexene), 2210, 2195 (2CN), 1679 (C=O), 1600, 1452 (C=C), 1539 (N=N); 1H-NMR (δ, ppm): 1.75-2.64 (m, 8H, cyclohexene 4CH2), 4.09 (s, 2H, NH2), 7.02-7.84 (m, 5H, C6H5), 12.65 (s, 1H, OH).
1-(3-Cyano-4,5,6,7-tetrahydrobenzo[b]thiophen-2-yl)-4,6-dimethyl-2-oxo-5-phenylazo-1,2-dihydro-pyridine-3-carbonitrile (14c): Orange crystals, m.p. 140-145 °C, yield: 2.60 g (63%); Anal. For C23H19N5OS (413.13), (% Calcd./Found): 66.81/66.43 (C), 4.63/4.42 (H), 16.94/16.60 (N), 7.75/8.10 (S); IR (ν, cm−1): 3100 (CH aromatic), 2933-2856 (CH2 cyclohexene), 2218, 2195 (2CN), 1671 (C=O), 1575, 1446 (C=C), 1541 (N=N); 1H-NMR (δ, ppm): 1.81, 2.16 (2s, 6H, 2CH3), 2.41-2.79 (m, 8H, cyclohexene 4CH2), 6.56-7.71 (m, 5H, C6H5); MS m/z (%): 413 [M+], 412 [M+–1] (5.90), 411 [M+–2] (23.50), 77 (41.20), 51 (100.00).
1-(3-Cyano-4,5,6,7-tetrahydrobenzo[b]thiophen-2-yl)-6-hydroxy-4-methyl-2-oxo-5-phenylazo-1,2-dihydro-pyridine-3-carbonitrile (14d): Pale brown crystals, m.p. 165-170 °C, yield: 3.11 g (75%); Anal. For C22H17N5O2S (415.11), (% Calcd./Found): 63.60/63.22 (C), 4.12/4.41 (H), 16.86/17.10 (N), 7.72/8.01 (S); IR (ν, cm−1): 3450-3219 (OH), 3083 (CH aromatic), 2933-2856 (CH3, CH2 cyclohexene), 2214, 2195 (2CN), 1685 (C=O), 1630, 1492 (C=C), 1546 (N=N); 1H-NMR (δ, ppm): 1.76 (s, 3H, CH3), 2.49-2.64 (m, 8H, cyclohexene 4CH2), 7.17-7.69 (m, 5H, C6H5), 11.88 (s, 1H, OH).
4,6-Diamino-1-(3-cyano-4,5,6,7-tetrahydrobenzo[b]thiophen-2-yl)-2-oxo-5-phenylazo-1,2-dihydro-pyridine-3-carboxylic acid ethyl ester (15a): Pale orange crystals, m.p. 217-222 °C, yield: 3.65 g (79%); Anal. For C23H22N6O3S (462.52), (% Calcd./Found): 59.73/60.10 (C), 4.79/4.40 (H), 18.17/18.43 (N), 6.93/6.60 (S); IR (ν, cm−1): 3348-3191 (2NH2), 3079 (CH aromatic), 2933-2851 (CH3, CH2), 2211 (CN), 1671, 1630 (2C=O), 1580, 1455 (C=C), 1530 (N=N); 1H-NMR (δ, ppm): 1.33 (t, J = 7.20 Hz, 3H, ester CH3), 1.75-2.58 (m, 8H, cyclohexene 4CH2), 4.30 (q, J = 7.20 Hz, 2H, ester CH2), 7.19-7.71 (m, 5H, C6H5), 3.19, 3.80 (2s, 2H each, 2NH2).
4-Amino-1-(3-cyano-4,5,6,7-tetrahydrobenzo[b]thiophen-2-yl)-6-hydroxy-2-oxo-5-phenylazo-1,2-dihydro-pyridine-3-carboxylic acid ethyl ester (15b): Pale orange crystals, m.p. 180-185 °C, yield: 3.16 g (78%); Anal. For C23H21N5O4S (463.51), (% Calcd./Found): 59.60/59.90 (C), 4.57/4.20 (H), 15.11/15.40 (N), 6.92/6.60 (S); IR (ν, cm−1): 3440-3202 (OH, NH2), 3079 (CH aromatic), 2932-2851 (CH aliphatic), 2211 (CN), 1675, 1640 (2C=O), 1590, 1455 (C=C), 1533 (N=N); 1H-NMR (δ, ppm): 1.32 (t, J = 6.90 Hz, 3H, ester CH3), 1.75-2.64 (m, 8H, cyclohexene 4CH2), 3.85 (s, 2H, NH2), 4.31 (q, J = 6.90 Hz, 2H, ester CH2), 7.22-7.74 (m, 5H, C6H5), 11.77 (s, 1H, OH).

3.2.6. Synthesis of Functionalized 4,5,6,7-Tetrahydrobenzo[b]thiophen-2-yl-2-phenyl Azo Pyridine Derivatives 16a-b

Compounds 16a-b have been published earlier by our group [42].

3.2.7. Synthesis of Functionalized 4,5,6,7-Tetrahydrobenzo[b]thiophen-2-yl-2-oxopyridine Derivatives 17a-b

Compounds 17a-b have been published earlier by our group [51].

3.2.8. Synthesis of Functionalized 4,5,6,7-Tetrahydrobenzo[b]thiophen-2-yl-thiophene Derivatives 18a-b and Thiazole Derivative 19

Equimolar amounts of 4 (3.39 g, 0.01 mol) and phenyl isothiocyanate (1.35 g, 0.01 mol) in dimethylformamide (20 mL) and potassium hydroxide were stirred overnight. Ethyl chloroacetate (1.22 g, 0.01 mol), phenacyl bromide (1.99 g, 0.01 mol), or chloroacetone (0.92 g, 0.01 mol) were then added to the reaction mixture while stirring overnight. The solid products formed upon pouring onto ice/water mixture containing few drops of hydrochloric acid were collected by filtration and crystallized from 1,4-dioxane.
5-Ethoxycarbonyl-2,4-bis-phenylamino-thiophene-3-carboxylic acid (3-cyano-4,5,6,7-tetrahydrobenzo[b]-thiophen-2-yl)-amide (18a): Pale brown crystals, m.p. 94-96 °C, yield: 4.88 g (90%); Anal. For C29H26N4O3S2 (542.67), (% Calcd./Found): 64.18/63.91 (C), 4.83/4.72 (H), 10.32/10.50 (N), 11.82/12.01 (S); IR (ν, cm−1): 3283-3197 (3NH), 3058 (CH aromatic), 2929-2854 (CH3, CH2), 2208 (CN), 1729, 1603, (2C=O) 1538,1499 (C=C); 1H-NMR (δ, ppm): 1.16 (t, J = 6.90 Hz, 3H, ester CH3), 1.72-2.85 (m, 8H, cyclohexene 4CH2), 4.08 (q, J = 6.90 Hz, 2H, ester CH2), 6.84-7.92 (m, 10H, 2C6H5), 9.82, 10.15, 11.51 (3s, 1H each, 3NH); MS m/z (%): 543 [M++1] (22.07), 353 (100.00), 325 (56.14).
5-Benzoyl-2,4-bis-phenylamino-thiophene-3-carboxylic acid (3-cyano-4,5,6,7-tetrahydrobenzo[b]thio-phen-2-yl)-amide (18b): Brown crystals, m.p. 78-82 °C, yield: 5.63 g (98%); Anal. For C33H26N4O2S2 (574.72), (% Calcd./Found): 68.97/68.62 (C), 4.56/4.83 (H), 9.75/10.01 (N), 11.16/11.40 (S); IR (ν, cm−1): 3276 (3NH), 3059 (CH aromatic), 2928-2853 (CH2 cyclohexene), 2207 (CN), 1644, 1548, (2C=O) 1496,1443 (C=C); 1H-NMR (δ, ppm): 1.71-2.85 (m, 8H, cyclohexene 4CH2), 6.96-7.98 (m, 15H, 3C6H5), 9.20, 10.15, 11.51 (3s, 1H each, 3NH); 13C NMR(δ, ppm): 22.8, 23.3, 23.8, 24.0 (4CH2), 92.6 (thiophene-C3), 114.8 (CN), 119.6, 126.3, 127.1, 127.4, 128.6, 128.8, 131.6, 131.9 147.2, 153.3, 157.3 (3C6H5, thiophene 3C), 129.3, 129.7 (thiophene-C5), 130.8, 131.0 (thiophene-C4), (thiophene-C2), 162.8, 165.9 (2C=O); MS m/z (%): 574 [M+] (12.97), 572 [M+–2] (20.01), 413 (100.00), 313 (58.64), 150 (15.81).
N-(3-Cyano-4,5,6,7-tetrahydrobenzo[b]thiophen-2-yl)-2-(4-methyl-3-phenyl-3H-thiazol-2-ylidene)-N\-phenylmalonamide (19): Reddish brown crystals, m.p. 88-90 °C, yield: 4.41 g (86%); Anal. For C28H24N4O2S2 (512.65), (% Calcd./Found): 65.60/65.51 (C), 4.72/4.60 (H), 10.93/11.21 (N), 12.51/12.20 (S); IR (ν, cm−1): 3415-3282 (2NH), 3062 (CH aromatic), 2926-2847 (CH3, CH2 cyclohexene), 2204 (CN), 1655, 1600, (2C=O) 1545,1491 (C=C); 1H-NMR (δ, ppm): 1.22 (s, 3H, CH3), 1.52-2.89 (m, 8H, cyclohexene 4CH2), 6.62 (s, 1H, thiazole C5), 6.93-7.95 (m, 10H, 2C6H5), 10.19, 11.48 (2s, 1H each, 2NH); 13C NMR(δ, ppm): 18.8 (CH3), 22.8, 23.3, 23.8, 24.0 (4CH2), 97.5 (thiophene-C3), 96.8, 104.5 (C=C), 115.9 (CN), 119.6, 125.6, 128.1, 128.7, 129.0, 129.3, 129.7, 132.7, 137.1, 140.0, 159.0 (2C6H5, thiophene, thiazole C), 161.3, 166.2 (2C=O); MS m/z (%): 512 [M+] (0.03), 351 (92.46), 323 (44.41), 77 (100.00).

3.2.9. Synthesis of 5-Amino-4-cyano-3-hydroxy-thiophene-2-carboxylic acid (3-cyano-4,5,6,7-tetra-hydrobenzo[b]thiophen-2-yl)-amide (20)

To a solution of 3 (2.92 g, 0.01 mol) in ethanol (25 mL) and dimethylformamide (5 mL) containing triethylamine (1.00 mL), malononitrile (0.66 g, 0.01 mol) was added followed by the addition of elemental sulfur (0.32 g, 0.01 mol). The reaction mixture was heated under reflux for 5 h, then cooled and neutralized by pouring onto ice/water mixture containing few drops of hydrochloric acid. The solid product formed was collected by filtration and crystallized from dimethylformamide. Brown crystals, m.p. 277-280 °C, yield: 3.27 g (95%); Anal. For C15H12N4O2S2 (344.41), (% Calcd./Found): 52.31/52.60 (C), 3.51/3.70 (H), 16.27/16.06 (N), 18.62/18.30 (S); IR (ν, cm−1): 3333-3196 (OH, NH, NH2), 3083 (CH aromatic), 2931-2852 (CH2 cyclohexene), 2250, 2209 (CN),1631 (C=O), 1546, 1459 (C=C); 1H-NMR (δ, ppm): 1.72-2.85 (m, 8H, cyclohexene 4CH2), 3.82 (s, 2H, NH2), 6.92 (s, 1H, NH), 11.79 (s, 1H, OH); 13C-NMR(δ, ppm): 23.7, 24.0, 24.3, 24.7 (4CH2), 93.3 (thiophene C-3), 114.6, 116.8 (2 CN), 126.8, 129.0, 130.6, 131.3, 133.8, 146.9 (two thiophene C), 165.0 (C=O); MS m/z (%): 344 [M+] (1.26), 178 (62.51), 150 (100.00).

3.2.10. Synthesis of Functionalized 5-Oxopyrazole Derivatives 21a-b and the Respective Hydrazono Dyes 22a-b

To a solution of compound 3 (2.92 g, 0.01 mol) or 9a (3.96 g, 0.01 mol) in 1,4-dioxane (25 mL) and dimethylformamide (10 mL), either hydrazine hydrate (0.50 g, 0.01 mol), or phenyl hydrazine (1.08 g, 0.01 mol) was added. The reaction mixture, in each case, was heated under reflux for 5 h. The solid product formed, in each case, upon pouring onto ice/water mixture was collected by filtration, and crystallized from 1,4-dioxane/dimethylformamide mixture.
2-(5-Oxo-4,5-dihydro-1H-pyrazol-3-ylamino)-4,5,6,7-tetrahydrobenzo[b]thiophene-3-carbonitrile (21a): Creamy crystals, m.p. 290-292 °C, yield: 2.52 g (97%); Anal. For C12H12N4OS (260.31), (% Calcd./Found): 55.37/55.60 (C), 4.65/4.32 (H), 21.52/21.22 (N), 12.32/11.94 (S); IR (ν, cm−1): 3431-3207 (2NH), 3087-3006 (CH aromatic), 2935-2857 (CH2 cyclohexene), 2211 (CN), 1680 (C=O), 1548, 1463 (C=C); 1H-NMR (δ, ppm): 1.76-2.59 (m, 8H, cyclohexene 4CH2), 3.85 (s, 2H, CH2), 6.95 (s, 1H, pyrazole NH), 11.77 (s, 1H, NH); MS m/z (%): 262 [M++2] (0.51), 220 (4.15), 205 (8.39), 178 (100.00), 150 (75.36).
2-(5-Oxo-1-phenyl-4,5-dihydro-1H-pyrazol-3-ylamino)-4,5,6,7-tetrahydrobenzo[b]thiophene-3-carbonitrile (21b): Creamy crystals, m.p. 280-282 °C, yield: 2.66 g (79%); Anal. For C18H16N4OS (336.41), (% Calcd./Found): 64.26/64.00 (C), 4.79/4.88 (H), 16.65/16.30 (N), 9.53/9.80 (S); IR (ν, cm−1): 3431-3201 (NH), 3086-3006 (CH aromatic), 2935-2852 (CH2 cyclohexene), 2213 (CN), 1681 (C=O), 1546, 1463 (C=C); 1H-NMR (δ, ppm): 1.75-2.59 (m, 8H, cyclohexene 4CH2), 3.85 (s, 2H, CH2), 6.70-7.20 (m, 5H, C6H5), 11.77 (s, 1H, NH); MS m/z (%): 337 [M++1] (4.49), 336 [M+] (4.25), 334 [M+–2] (4.82), 284 (43.09), 77 (100.00).
2-[5-Oxo-4-(phenyl-hydrazono)-4,5-dihydro-1H-pyrazol-3-ylamino]-4,5,6,7-tetrahydrobenzo[b]-thiophene-3-carbonitrile (22a): Orange crystals, m.p. 135-137 °C, yield: 3.21 g (88%); Anal. For C18H16N6OS (364.42), (% Calcd./Found): 59.32/59.00 (C), 4.43/4.33 (H), 23.06/22.80 (N), 8.80/9.10 (S); IR (ν, cm−1): 3343-3152 (resonating OH, 3NH), 3059 (CH aromatic), 2932-2848 (CH2 cyclohexene), 2208 (CN), 1665 (C=O), 1527,1450 (C=C); 1H-NMR (δ, ppm): 1.74-2.85 (m, 8H, cyclohexene 4CH2), 6.92-7.70 (m, 5H, C6H5), 8.83 (s, 1H, pyrazole NH), 10.73, 11.20 (2s, 1H each, 2NH), 12.58 (s, 1H, resonating OH); MS m/z (%): 366 [M++2] (4.00), 365 [M++1] (4.60), 178 (25.28), 150 (14.39), 92 (100.00), 77 (30.97).
2-[5-Oxo-1-phenyl-4-(phenyl-hydrazono)-4,5-dihydro-1H-pyrazol-3-ylamino]-4,5,6,7-tetrahydro-benzo[b]thiophene-3-carbonitrile (22b): Pale orange crystals, m.p. 106-110 °C, yield: 3.17 g (72%); Anal. For C24H20N6OS (440.52), (% Calcd./Found): 65.44/65.30 (C), 4.58/4.61 (H), 19.08/18.80 (N), 7.28/7.56 (S); IR (ν, cm−1): 3744-3339 (resonating OH, 2NH), 3054 (CH aromatic), 2931-2850 (CH2 cyclohexene), 2208 (CN), 1663 (C=O), 1528,1452 (C=C); 1H-NMR (δ, ppm): 1.73-2.94 (m, 8H, cyclohexene 4CH2), 6.22-7.65 (m, 10H, 2C6H5), 8.83, 12.50 (2s, 1H each, 2NH), 13.61 (s, 1H, resonating OH); MS m/z (%): 442 [M++2] (0.48), 319 (18.95), 178 (43.94), 150 (37.51), 92 (100.00), 77 (97.99).

3.2.11. Synthesis of Functionalized 4,5,6,7-Tetrahydrobenzo[b]thiophen-2-yl-oxazin-ylidine Azo Dyes 23a-b

To a solution of 10 (4.43 g, 0.01 mol) in ethanol (25 mL) and dimethylformamide (5 mL) containing triethylamine (1.00 mL), either malononitrile (0.66 g, 0.01 mol) or ethyl cyanoacetate (1.13 g, 0.01 mol) was added. The reaction mixture, in each case, was heated under reflux for 5 h, then cooled and neutralized by pouring onto ice/water mixture containing few drops of hydrochloric acid. The solid product formed, in each case, was filtered off and crystallized from ethanol/dimethylformamide mixture.
2-[6-Amino-3-(3-cyano-4,5,6,7-tetrahydrobenzo[b]thiophen-2-yl)-4-imino-3,4-dihydro[1,3]-oxazin-2-ylidene]-N-phenyl-2-phenylazo-aceamide (23a): Greenish brown crystals, m.p. 115-120 °C, yield: 4.43 g (87%); Anal. For C27H23N7O2S (509.58), (% Calcd./Found): 63.64/63.52 (C), 4.55/4.70 (H), 19.24/18.90 (N), 6.29/6.52 (S); IR (ν, cm−1): 3324-3208 (NH, NH2), 3050 (CH aromatic), 2932 (CH2 cyclohexene), 2205 (CN), 1600 (C=O) 1525,1449 (C=C); 1H-NMR (δ, ppm): 1.72-2.69 (m, 8H, cyclohexene 4CH2), 3.64 (s, 2H, NH2), 6.92 (s, 1H, oxazine C5), 7.26-7.57 (m, 10H, 2C6H5), 8.27, 10.14 (2s, 1H each, 2NH); MS m/z (%): 509 [M+] (15.97), 489 (14.39), 256 (48.14), 57 (100.00).
2-[6-Amino-3-(3-cyano-4,5,6,7-tetrahydrobenzo[b]thiophen-2-yl)-4-oxo-3,4-dihydro[1,3]oxazin-2-ylidene]-N-phenyl-2-phenylazo-aceamide (23b): Brown crystals, m.p. 100-105 °C, yield: 4.44 g (87%); Anal. For C27H22N6O3S (510.57), (% Calcd./Found): 63.52/63.24 (C), 4.34/4.41 (H), 16.46/16.10 (N), 6.28/6.52 (S); IR (ν, cm−1): 3318 (NH, NH2), 3060 (CH aromatic), 2930 (CH2 cyclohexene), 2207 (CN), 1662, 1600 (2C=O) 1523,1447 (C=C); 1H-NMR (δ, ppm): 1.72-2.61 (m, 8H, cyclohexene 4CH2), 3.64 (s, 2H, NH2), 6.92 (s, 1H, oxazine C5), 7.27-7.58 (m, 10H, 2C6H5), 10.14 (s, 1H, NH); MS m/z (%): 511 [M++1] (20.89), 487 (26.56), 138 (46.17), 97 (69.73), 57 (100.00).

3.2.12. Synthesis of Functionalized Pyrimidine Phenyl Hydrazone Dyes 24a-b

Equimolar amounts of 9a (3.96 g, 0.01 mol) or 10 (4.43 g, 0.01 mol) and phenyl isothiocyanate (1.35 g, 0.01 mol) in 1,4-dioxane (20 mL) containing triethylamine (1.0 mL) were heated under reflux for 5 h. After cooling, the reaction mixtures were acidified by hydrochloric acid and the crude products were precipitated, collected by filtration and crystallized from dimethylformamide.
2-[4,6-Dioxo-3-phenyl-5-(phenylhydrazono)-2-thioxotetrahydropyrimidin-1-yl]-4,5,6,7-tetra-hydro-benzo[b]thiophene-3-carbonitrile (24a): Brown crystals, m.p. 288-290 °C, yield: 3.16 g (65%); Anal. For C25H19N5O2S2 (485.58), (% Calcd./Found): 61.84/61.60 (C), 3.94/4.12 (H), 14.42/14.10 (N), 13.21/12.92 (S); IR (ν, cm−1): 3447-3343 (resonating OH, NH), 3046 (CH aromatic), 2932-2853 (CH2 cyclohexene), 2206 (CN), 1665, 1620 (2C=O), 1527, 1451 (C=C); 1H-NMR (δ, ppm): 1.75-2.85 (m, 8H, cyclohexene 4CH2), 7.19-7.72 (m, 10H, 2C6H5), 12.58 (s, 1H, NH), 13.62 (s, 1H, resonating OH); MS m/z (%): 485 [M+], 484 [M+–1] (9.69), 436 (9.01), 178 (21.68), 150 (26.20), 92 (100.00), 77 (52.53).
2-[6-Oxo-3-phenyl-5-(phenylhydrazono)-4-phenylimino-2-thioxotetrahydropyrimidin-1-yl]-4,5,6,7-tetrahydrobenzo[b]thiophene-3-carbonitrile (24b): Dark green crystals, m.p. 68-70 °C, yield: 3.53 g (63%); Anal. For C31H24N6OS2 (560.69), (% Calcd./Found): 66.41/66.10 (C), 4.31/4.31 (H), 14.99/14.63 (N), 11.44/11.51 (S); IR (ν, cm−1): 3212-3119 (resonating OH, NH), 3047 (CH aromatic), 2930 (CH2 cyclohexene), 2206 (CN), 1664 (C=O) 1594,1443 (C=C), 1529 (=N-NH), 1326, 1290 (C=S); 1H-NMR (δ, ppm): 1.73-2.85 (m, 8H, cyclohexene 4CH2), 7.14-7.65 (m, 15H, 3C6H5), 11.03 (s, 1H, NH), 13.36 (s, 1H, resonating OH); MS m/z (%): 560 [M+], 561 [M++1] (35.20), 559 [M+–1] (29.13), 150 (86.53), 106 (100.00), 93 (70.49).

3.3. Spectral Characterization, Colour Assessment and Dyeing Properties

3.3.1. Dyeing Procedure

Unless otherwise indicated, dyeing was performed using a solution containing 5% dye (based on weight of sample), 2 g/L dispersing agent and ammonium persulphate at 120 °C for 45 min. A material to liquor ratio 1:20 was used. The dye solution was adjusted at Ph = 4.5-5 using acetic acid. After the end of dyeing time, the fabric sample was washed in a solution containing 5 g/L detergent for several times until a clear solution was obtained. Finally the fabric sample was rinsed with water and dried at ambient conditions. The colour of the dyes on cellulose triacetate, nylon 66 and polyester fibers are indicated [48] (Table 1).

3.3.2. Colour Strength

Colour strength of the dyed samples expressed as (K/S) was measured at λmax = 400 nm (Table 1).

3.3.3. Fastness Properties

The colour fastness to washing, rubbing (dry and wet crocking) and perspiration was determined according to the standard method [49]. Data are indicated in Table 1.

3.3.3.1. Colour Fastness to Washing

The composite specimens were sewed between two pieces of bleached cotton fabric and then immersed into an aqueous solution containing 5g/L soap non-ionic detergents at liquor ratio 50:1 and 2g/L sodium carbonate. The bath was thermostatically adjusted to 90 °C for 30 min; then samples were removed, rinsed twice with occasional hand squeezing, then dried. Evaluation of the wash fastness was established using the Grey-scale for colour change (Table 1).

3.3.3.2. Colour Fastness to Rubbing

The test is designed for determining the degree of colour, which may transfer from the surface of the coloured fabric to another surface, by rubbing.
Dry crocking test: The test specimen was placed flat on the base of the crock-meter. A white testing cloth was mounted. The covered finger was lowered on to the test specimen and caused to slide 20 times back and forth by making ten complete turns at a rate of one turn/sec. The white test sample was then removed for evaluation using the Grey-scale for staining.
Wet crocking test: The white test sample was thoroughly wetted out in water to a 65% and then picked up. The procedure was run as above. The white test samples were air dried before evaluation.

3.3.3.3. Colour Fastness to Perspiration

Two artificial perspiration solutions were prepared according to the following:
Acidic solution: L-Histidine monohydrochloride monohydrate (0.5 g), sodium chloride (5 g) and sodium dihydrogen phosphate-1-hydrate (2.2 g) were dissolved in one liter distilled water. The pH was adjusted to 5.5 by 0.1N sodium hydroxide solution.
Alkaline solution: L-Histidine monohydrochloride monohydrate (0.5 g), sodium chloride (5 g) and di-sodium hydrogen phosphate-2-hydrate (2.5 g) were dissolved in one liter distilled water. The pH was adjusted to 8 by 0.1N sodium hydroxide solution.
The coloured specimen was sewed between two pieces of bleached cotton specimen. The composite sample was then immersed for 30 min. in the acidic perspiration solution at 37 °C (±2) with occasional agitation and squeezing to insure complete wetting. The test specimen was placed between two plastic plates under a force of about 5 Kg. The plates containing the composite specimens were left for about 6-8 hours. The same experiment was followed with another composite sample using the alkaline perspiration solution. The effect on the colour of the test specimen was expressed and defined by reference to Grey-scale for color change.

3.3.3.4. Colour Fastness to Light

The light fastness test was assessed in accordance with test method (ISO 105-A03). Using Mercury-Tungsten lamp, (continuous light) for 40 hours. The effect on the colour of the test samples was expressed and defined by reference to Grey-scale for colour change.

3.4. Biology

3.4.1. Antimicrobial Activity of the Synthesized Dyed and Dye Intermediate

Microorganisms used were obtained from Microbial Chemistry Department, National Research Center, Cairo, Egypt. For the in vitro antimicrobial activity evaluation, microorganism suspensions were prepared to contain approximately 108 cuf/mL and the plates were inoculated. A stock solution of each of the synthesized compounds (1.0 mg/mL) in DMSO was prepared and graded dilutions of the tested compounds were incorporated in a cavity (depth 3 mm, diameter 4 mm) made in the center of the Petri dish (nutrient agar for bacteria and Sabouraud vs. dextrose agar medium for fungi). The plates were incubated in duplicates for 24 h at 37 °C (for bacteria) and at 30 °C (for fungi). A positive control using only inoculation and a negative control using only DMSO in the cavity were carried out. The results of antimicrobial screening of the synthesized and standard antibiotics are given in Table 2.

3.4.2. Antimicrobial Activity of the Dyed Fabrics

3.4.2.1. Media Used

Nutrient broth/agar medium: contains (g/L), (5) peptone, (3) beef extract. For solid medium 15 g/L agar was added. Malt broth/agar medium: contains (g/L), (5) peptone, (24) malt extract. For solid medium 15 g/L agar was added. 2.7.3. Growth conditions an inoculum of each bacterial strain was suspended in 25 mL of nutrient broth medium and shaken for 24 h at 37 °C. For yeast, malt broth was inoculated with test organism and incubated at 28 °C for 24 h.

3.4.2.2. Antimicrobial Activity Test

Disc diffusion method with some modifications was used for screening the nylon 66, acetate and polyester fabric samples for antimicrobial activity [52]. Nutrient agar (for bacteria) or malt agar (for yeast) plates were inoculated with 0.1 mL of an appropriate dilution of the tested culture. Test fabric samples (1 cm diameter) were placed on the surface of the inoculated plates. The plates were incubated at the appropriate temperature for 24 h. Diameter of inhibition zone (mm) including the disc diameter was measured for each treatment. The result of antimicrobial activity of the tested dyed fabric are given in Table 3.

4. Conclusions

Our synthetic strategy provides a simple protocol for producing dyes and dye precursors based on conjugate enaminones and/or enaminonitriles with potent dyeing and/or antimicrobial finishing capabilities. The novel compounds could be lead for the development of new functional materials with special finish properties for textile fabrics. Moreover, the results of the present study may point that the novel products could be useful as synthetic precursors for azo- and azomethine ligands or polymethine dyes which may be suitable for both electronic and optical applications. It is clear that fabrics dyed or treated with the synthesized novel systems exhibit significant antimicrobial activity. This is due to the inherent antimicrobial character of the dyes or dye precursors. The presence of an oxo moiety which could be responsible to complex or bind with nucleophilic amino acids in proteins leads to inactivation of the protein and loss of function. Moreover, formation of H-bonds with water molecules enable these compounds to more readily form positive ions, thereby inhibition of microbial growth by adsorption onto bacterial surface. As a consequence, we can conclude that the newly synthesized systems could be accepted as promising to develop new antibacterial compounds.

Acknowledgments

R.M. Mohareb would like to express his deepest thanks to the Alexander von Humboldt Foundation in Bonn for affording him fellowships in Germany helping for completing this research. The authors thank the research group at the National Cancer Institute in Egypt for recording the antimicrobial activity.
  • Sample Availability: Samples of the compounds 3-24b are available from the authors.

References and Notes

  1. Basaif, S.A.; Hassan, M.A.; Gobouri, A.A. AlCl3-catalyzed diazocoupling of 1-(aryl/het-aryl)-3-phenyl-1H-pyrazol-2-in-5-ones in aqueous medium. Synthesis of hetaryl-azopyrazol-ones and their application as disperse dyes. Dyes Pigm. 2007, 72, 387–391. [Google Scholar] [CrossRef]
  2. Ho, Y.W. Synthesis of some new azo pyrazolo[1,5-a]pyrimidine-thieno[2,3-b]pyridine derivatives and their application as disperse dyes. Dyes Pigm. 2005, 64, 223–230. [Google Scholar] [CrossRef]
  3. Rădulescu, C.; Hossu, A.M.; Ioniţă, I. Disperse dyes derivatives from compact condensed system 2-aminothiazolo[5,4-c]pyridine: Synthesis and characterization. Dyes Pigm. 2006, 71, 123–129. [Google Scholar] [CrossRef]
  4. Rădulescu, C.; Hossu, A.M.; Ioniţă, I.; Moater, E.I. Synthesis and characterization of new cationic dyes for synthetic fibres. Dyes Pigm. 2008, 76, 366–371. [Google Scholar] [CrossRef]
  5. Shams, H.Z.; Helal, M.H.; Mohamed, F.A.; Abd-Elhafiz, S.A. A novel synthesis of 1-oxathieno[3/, 2/-3,4]pyrazolo[1,2-a] pyrazole azo dye systems for dyeing of synthetic and modified cellulose fibers. Pigm. Resin Technol. 2001, 30, 158–167. [Google Scholar]
  6. Shams, H.Z.; Helal, M.H.; Mohamed, F.A. A novel synthesis of polyfunctionally substituted pyrazolo [1,2-a] pyrazole, and thieno [3′,2′-3,4] pyrazolo [1,2-a] pyrazole systems. Phosphorous Sulfur Silicon 2001, 174, 255–267. [Google Scholar] [CrossRef]
  7. Shams, H.Z.; Youssef, Y.A.; Mohamed, F.A.; El-Zawahry, M.M.; Helal, M.H.; El-kharadly, E.A. Synthesis and application of novel disazo pyrazolo[1,2-a]pyrazole reactive dyes. Pigm. Resin Technol. 2009, 38, 372–379. [Google Scholar] [CrossRef]
  8. Shams, H.Z.; Helal, M.H.; Samir, I.M.; Mohareb, R.M. Synthesis of new disperse azodyes based on oxopyridine core. Pigm. Resin Technol. 2008, 37, 299–307. [Google Scholar] [CrossRef]
  9. Isak, S.J.; Eyring, E.M.; Spikes, J.D.; Meekins, P.A. Direct blue dye solutions: Photo properties. J. Photochem. Photobiol. A 2000, 134, 77–85. [Google Scholar] [CrossRef]
  10. Dinçalp, H.; Toker, F.; Durucasu, İ.; Avcıbaşı, N.; Ιcli, S. New thiophene-based azo ligands containing azo methine group in the main chain for the determination of copper(II) ions. Dyes Pigm. 2007, 75, 11–24. [Google Scholar] [CrossRef]
  11. Li, X.; Wu, Y.; Gu, D.; Gan, F. Spectral, thermal and optical properties of metal(II)-azo complexes for optical recording media. Dyes Pigm. 2010, 86, 182–189. [Google Scholar] [CrossRef]
  12. Shindy, H.A.; El-Maghraby, M.A.; Eissa, F.M. Synthesis, photosensitization and antimicrobial activity of certain oxadiazine cyanine dyes. Dyes Pigm. 2006, 70, 110–116. [Google Scholar] [CrossRef]
  13. Ho, M.S.; Barrett, C.; Paterson, J.; Esteghamatian, M.; Natansohn, A.; Rochon, P. Synthesis and optical properties of poly{(4-nitrophenyl)-[3-[N-[2-(methacryloyloxy)ethyl]-carbazolyl]]-diazene}. Macromolecules 1996, 29, 4613–4618. [Google Scholar] [CrossRef]
  14. Boogers, J.A.F.; Klaase, P.T.A.; de Vlieger, J.J.; Alkema, D.P.W.; Tinnemans, A.H.A. Cross-linked polymer materials for nonlinear optics. 1. UV-cured acrylic monomers bearing azobenzene dyes. Macromolecules 1994, 27, 197–204. [Google Scholar] [CrossRef]
  15. Yin, S.; Xu, H.; Shi, W.; Geo, Y.; Song, Y.; Lam, J.W.Y.; Tang, B.Z. Synthesis and optical properties of polyacetylenes containing nonlinear optical chromophores. Polymer 2005, 46, 7670–7677. [Google Scholar]
  16. Katz, H.E.; Singer, K.D.; Sohn, J.E.; Dirk, C.W.; King, L.A.; Gordon, H.M. Greatly enhanced second-order nonlinear optical susceptibilities in donor-acceptor organic molecules. J. Am. Chem. Soc. 1987, 109, 6561–6563. [Google Scholar]
  17. Freeman, H.S.; Sokolwska, J.; Jolanta, S. Developments in dyestuff chemistry. Rev. Prog. Color 1999, 29, 8–22. [Google Scholar]
  18. Chao, Y.C.; Yeh, C.W. The influence of long-chain alkyl groups on the colour, dyeing and fastness properties of 2-(and 1-)phenylazo-1-(and 2-) naphthol acid dyes. Dyes Pigm. 1993, 23, 285–296. [Google Scholar] [CrossRef]
  19. Chao, Y.C.; Chang, M.J.; Chang, C.H. Water-repellent acid dyes: The influence of the perfluorobutamido group on the colour, dyeing and fastness properties of 2-(p-alkyl) phenylazo-1-naphthol acid dyes. Dyes Pigm. 1998, 39, 183–191. [Google Scholar] [CrossRef]
  20. Rajagopal, R.; Seshadri, S. Light-stabilised azo dyes containing a built-in ultraviolet absorber residue. Dyes Pigm. 1988, 9, 233–241. [Google Scholar] [CrossRef]
  21. Freeman, H.S.; Posey, J.C., Jr. An approach to the design of lightfast disperse dyes-analogs of disperse yellow 42. Dyes Pigm. 1992, 20, 171–195. [Google Scholar] [CrossRef]
  22. Freeman, H.S.; Mason, M.E.; Lye, J. Disperse dyes containing a built-in oxalanilide stabilizer. Dyes Pigm. 1999, 42, 53–63. [Google Scholar] [CrossRef]
  23. Singh, R.; Jain, A.; Panwar, S.; Gupta, D.; Khare, S.K. Antimicrobial activity of some natural dyes. Dyes Pigm. 2005, 66, 99–102. [Google Scholar] [CrossRef]
  24. Dev, V.R.G.; Venugopal, J.; Sudha, S.; Deepika, G.; Ramakrishna, S. Dyeing and antimicrobial characteristics of chitosan treated wool fabrics. Carbohydr. Polym. 2009, 75, 646–650. [Google Scholar] [CrossRef]
  25. Dong, Y.; Wang, J.; Liu, P. Dyeing and finishing of cotton fabric in a single bath with reactive dyes and citric acid. Coloration Technol. 2001, 117, 262–265. [Google Scholar] [CrossRef]
  26. Raheel, M.; Guo, C. Single-Step dyeing and formaldehyde-free durable press finishing of cotton fabric. Text. Res. J. 1998, 68, 571–577. [Google Scholar] [CrossRef]
  27. Choi, H.M.; Srinivasan, M.; Morris, N.M. Single-step dyeing and finishing treatment of cotton with 1,2,3,4-butanetetracarboxylic acid. J. Appl. Polym. Sci. 1994, 54, 2107–2118. [Google Scholar]
  28. Sharma, P.; Gahlot, M.A. Comparative study of simultaneous dyeing-finishing and two-step dyeing finishing on silk fabric. Man-Made Text. India 2002, 45, 257–259. [Google Scholar]
  29. Shyu, J.P.; Chen, C.C. Dyeing N-methylol group containing acid dyes using the pad/dry cure process. Am. Dyestuff. Rep. 1992, 81, 60–62. [Google Scholar]
  30. Nasr, H.I.; Abdel-Fattah, S.H.; El Kharadly, E.A. Simultaneous dye and finish fixation on a radiation-induced N-methylolacrylamide-treated wool fabrics. Radiat. Phys. Chem. 1980, 16, 491–492. [Google Scholar]
  31. Ma, M.; Sun, G. Antimicrobial cationic dyes. Part 3: Simultaneous dyeing and antimicrobial finishing of acrylic fabrics. Dyes Pigm. 2005, 66, 33–41. [Google Scholar] [CrossRef]
  32. Sun, Y.; Sun, G. Durable and regenerable antimicrobial textile materials prepared by a continuous grafting process. J. Appl. Polym. Sci. 2002, 84, 1592–1599. [Google Scholar] [CrossRef]
  33. Kim, Y.H.; Sun, G. Functional finishing of acrylic and cationic dyeable fabrics: Intermolecular interactions. Text. Res. J. 2002, 72, 1052–1056. [Google Scholar] [CrossRef]
  34. Alnajjar, A.-A.; Abdelkhalik, M.M.; Al-Enezi, A.; Elnagdi, M.H. Enaminones as building blocks in heterocyclic synthesis: Reinvestigating the product structures of enaminones with malononitrile. A novel route to 6-substituted-3-oxo-2,3-dihydropyridazine-4-carboxylic acids. Molecules 2009, 14, 68–77. [Google Scholar]
  35. Al-Mousawi, S.M.; El-Apasery, M.A.; Elnagdi, M.H. Enaminones in heterocyclic synthesis: A novel route to tetrahydropyrimidines, dihydropyridines, triacylbenzenes and naphthofurans under microwave irradiation. Molecules 2010, 15, 58–67. [Google Scholar]
  36. Šimůnek, P.; Macháček, V. The structure and tautomerism of azo coupled β-Enaminones. Dyes Pigm. 2010, 86, 197–205. [Google Scholar] [CrossRef]
  37. Elassar, A.-Z.A.; El-Khair, A.A. Recent developments in the chemistry of enaminones. Tetrahedron 2003, 59, 8463–8480. [Google Scholar] [CrossRef]
  38. Elassar, A.-Z.A.; Dib, H.H.; Al-Awadi, N.A.; Elnagdi, M.H. Chemistry of carbofunctionally substituted hydrazones. ARKIVOC 2007, ii, 272–315. [Google Scholar]
  39. Shams, H.Z.; Mohareb, R.M.; Elkholy, Y.M.; Azam, R.A. Synthetic potentialities of thiophene systems in heterocyclic synthesis: A novel synthesis of thieno [2,3-b] pyridine derivatives. Phosphorus. Sulfur Silicon 1999, 155, 215–233. [Google Scholar] [CrossRef]
  40. Wardakhan, W.W.; Shams., H.Z.; Moustafa, H.E. Synthesis of polyfunctionally substituted thiophene, thieno[2,3-b]pyrimidine and thieno[2,3-d] pyrimidine derivatives. Phosphorus Sulfur Silicon 2005, 180, 1815–1827. [Google Scholar] [CrossRef]
  41. Shams, H.Z.; Mohareb, R.M.; Helal, M.H.; Mahmoud, A.E. Synthesis, structure elucidation, and biological evaluation of some fused and/or pendant thiophene, pyrazole, imidazole, thiazole, triazole, triazine, and coumarin systems based on cyanoacetic 2-[(benzoyl-amino)thioxomethyl]-hydrazide. Phosporus Sulfur Silicon 2007, 182, 237–263. [Google Scholar] [CrossRef]
  42. Shams, H.Z.; Mohareb, R.M.; Helal, M.H.; Mahmoud, A.E. Novel synthesis and antitumor evaluation of polyfunctionally substituted heterocyclic compounds derived from 2-cyano-N-(3-cyano-4,5,6,7-tetrahydrobenzo[b]thiophen-2-yl)-acetamide. Molecules 2011, 16, 52–73. [Google Scholar]
  43. Gewald, K.; Schindler, R. Cyclisierungen mit cyanthioacetamid in gegenwart von schwefel. J. Prakt. Chem. 1990, 332, 223–228. [Google Scholar] [CrossRef]
  44. Mohareb, R.M.; Aziz, S.I.; Sayed, N.I.A.; Shams, H.Z. Reactions of benzoyl isothiocyanate with active methylene reagents: A novel synthesis of thiophene, thiazoline and thieno[2,3-d]pyrimidine derivatives. J. Chin. Chem. Soc. 1992, 39, 181–187. [Google Scholar]
  45. Hawkey, P.M.; Lewis, D.A. Medical Bacteriology − A Practical Approach; Oxford University Press: London, UK, 1994; pp. 181–194. [Google Scholar]
  46. Rameshkumar, N.; Ashokkumar, M.; Subramanian, E.H.; Ilavarasan, R.; Sridhar, S.K. Synthesis of 6-fluoro-1,4-dihydro-4-oxo-quinoline-3-carboxylic acid derivatives as potential antimicrobial agents. Eur. J. Med. Chem. 2003, 38, 1001–1004. [Google Scholar] [CrossRef]
  47. Liu, S.; Ma, J.; Zhao, D. Synthesis and characterization of cationic monoazo dyes incorporating quaternary ammonium salts. Dyes Pigm. 2007, 75, 255–262. [Google Scholar] [CrossRef]
  48. Trotman, E.R. Dyeing and Chemical Technology of Textile Fibers, 6th ed; John Wiley & Sons Inc: London, UK/ Melbourne, Australia/ Auckland, NZ, 1984; pp. 306–309. [Google Scholar]
  49. Society of Dyer and Colourists, Standard Methods for the Determination of the Colour Fastness of Textiles and Leather, 4th ed; The England Society: Bradford, England, UK, 1978.
  50. Gewald, K. Synthesis of 4-amino-thiono[2,3-b]pyridine. Monatshefte Chem. 1979, 110, 1189–1196. [Google Scholar] [CrossRef]
  51. Mohareb, R.M.; El-Omran, F.A.; Ho, J.Z. The reaction of 2-amino-3-cyano-4,5,6,7-tetrahydrobenzo[b]thiophene with diethyl malonate: Synthesis of coumarin, pyridine, and thiazole derivatives. Heteroatom. Chem. 2001, 12, 168–175. [Google Scholar] [CrossRef]
  52. Ericsson, H.M.; Sherris, J.C. Antibiotic sensitivity testing: Report of an international collaborative study. Acta Path. Microbiol. Scand. 1971, Suppl. 217. Sec. B.. [Google Scholar]

Share and Cite

MDPI and ACS Style

Shams, H.Z.; Mohareb, R.M.; Helal, M.H.; Mahmoud, A.E.-S. Design and Synthesis of Novel Antimicrobial Acyclic and Heterocyclic Dyes and Their Precursors for Dyeing and/or Textile Finishing Based on 2-N-Acylamino-4,5,6,7-tetrahydro-benzo[b]thiophene Systems. Molecules 2011, 16, 6271-6305. https://doi.org/10.3390/molecules16086271

AMA Style

Shams HZ, Mohareb RM, Helal MH, Mahmoud AE-S. Design and Synthesis of Novel Antimicrobial Acyclic and Heterocyclic Dyes and Their Precursors for Dyeing and/or Textile Finishing Based on 2-N-Acylamino-4,5,6,7-tetrahydro-benzo[b]thiophene Systems. Molecules. 2011; 16(8):6271-6305. https://doi.org/10.3390/molecules16086271

Chicago/Turabian Style

Shams, Hoda Zaki, Rafat Milad Mohareb, Maher Helmy Helal, and Amira El-Sayed Mahmoud. 2011. "Design and Synthesis of Novel Antimicrobial Acyclic and Heterocyclic Dyes and Their Precursors for Dyeing and/or Textile Finishing Based on 2-N-Acylamino-4,5,6,7-tetrahydro-benzo[b]thiophene Systems" Molecules 16, no. 8: 6271-6305. https://doi.org/10.3390/molecules16086271

APA Style

Shams, H. Z., Mohareb, R. M., Helal, M. H., & Mahmoud, A. E.-S. (2011). Design and Synthesis of Novel Antimicrobial Acyclic and Heterocyclic Dyes and Their Precursors for Dyeing and/or Textile Finishing Based on 2-N-Acylamino-4,5,6,7-tetrahydro-benzo[b]thiophene Systems. Molecules, 16(8), 6271-6305. https://doi.org/10.3390/molecules16086271

Article Metrics

Back to TopTop