Lianqiaoxinoside B, a Novel Caffeoyl Phenylethanoid Glycoside from Forsythia suspensa
Abstract
:1. Introduction

2. Results and Discussion
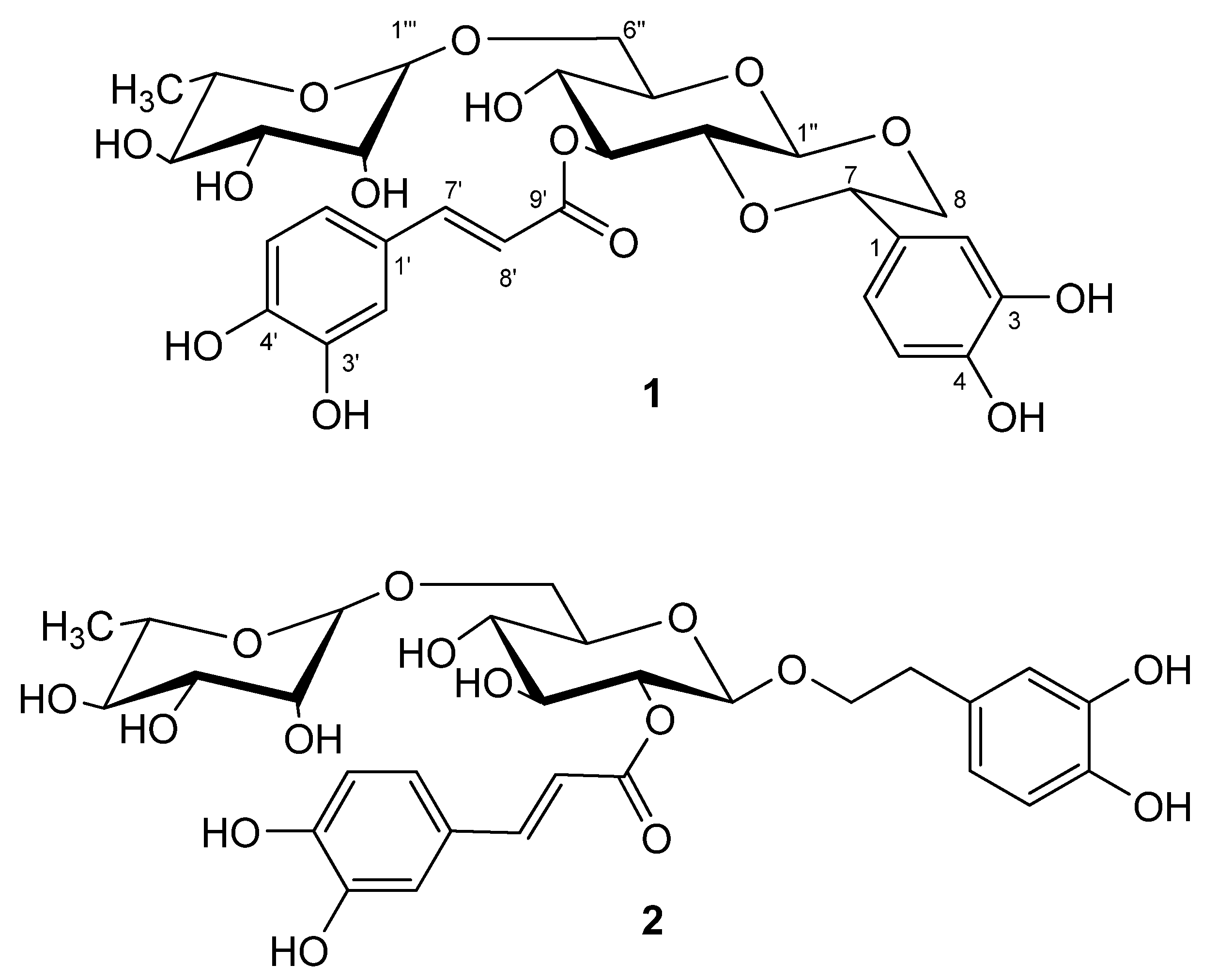
2.1. Structure Elucidation of 1

2.2. In Vitro Antimicrobial Activity
| 1 | 2 | Cefalexin | |
|---|---|---|---|
| S. aureus | >200 | >200 | 8.0 |
| E. coli | >200 | >200 | 4.0 |
| B. streptococci | 54.0 | >200 | 8.0 |
| B. vulgare | 27.5 | 38.2 | 0.5 |
| A. bacillus | 31.5 | 36.5 | 0.5 |
| M. pneumoniae | 28.5 | 42.5 | 0.5 |
| S. albus | >200 | >200 | 8.0 |
| B. dysenteriae | 36.7 | 30.2 | 0.5 |
2.3. Antioxidant Activity

3. Experimental Section
3.1. General
3.2. Plant Material
3.3. Extraction and Isolation
3.4. Determination of the in-Vitro Antimicrobial Activity
| No. | 1 | 2 | |||
|---|---|---|---|---|---|
| δH | δC | δH | δC | ||
| 1 | 129.8 | 131.4 | |||
| 2 | 6.78 (1H, d, J = 1.2 Hz) | 115.1 | 6.59 (1H, d, J = 1.6 Hz) | 117.0 | |
| 3 | 146.3 | 146.0 | |||
| 4 | 146.6 | 144.6 | |||
| 5 | 6.69 (1H, d, J = 8.2 Hz) | 116.4 | 6.57 (1H, d, J = 8.0 Hz) | 116.3 | |
| 6 | 6.66 (1H, dd, J = 8.2, 1.2 Hz) | 119.5 | 6.48 (1H, dd, J = 8.0, 1.6 Hz) | 121.4 | |
| 7 | 4.50 (1H, dd, J = 10.2, 2.8 Hz) | 78.7 | 2.67 (2H, t, J = 7.2 Hz) | 36.7 | |
| 8 | 3.90 (1H, dd, J = 12.0, 2.8 Hz) | 72.6 | 3.94 (1H, m) | 72.0 | |
| 3.61 (1H, dd, J = 12.0, 10.2 Hz) | 3.63 (1H, m) | ||||
| 1′ | 127.8 | 127.8 | |||
| 2′ | 7.01 (1H, d, J = 2.0 Hz) | 115.5 | 7.06 (1H, d, J = 1.2 Hz) | 115.2 | |
| 3′ | 146.9 | 146.8 | |||
| 4′ | 149.8 | 149.6 | |||
| 5′ | 6.73 (1H, d, J = 8.2 Hz) | 116.5 | 6.77 (1H, d, J = 8.4 Hz) | 116.5 | |
| 6′ | 6.91 (1H, dd, J = 8.2, 2.0 Hz) | 123.1 | 6.91 (1H, dd, J = 8.4, 1.2 Hz) | 123.0 | |
| 7′ | 6.25 (1H, d, J = 16.0 Hz) | 147.8 | 6.27 (1H, d, J = 16.0 Hz) | 147.1 | |
| 8′ | 7.55 (1H, d, J = 16.0 Hz) | 114.6 | 7.56 (1H, d, J = 16.0 Hz) | 115.2 | |
| 9′ | 168.2 | 168.4 | |||
| 1′′ | 4.51 (1H, d, J = 7.6 Hz) | 99.9 | 4.49 (1H, d, J = 8.0 Hz) | 102.4 | |
| 2′′ | 3.40 (1H, m) | 74.3 | 4.80 (1H, t, J = 8.0 Hz) | 75.1 | |
| 3′′ | 5.25 (1H, t, J = 8.8 Hz) | 76.0 | 3.56 (1H, t, J = 8.8 Hz) | 76.2 | |
| 4′′ | 3.62 (1H, m) | 70.2 | 3.38 (1H, m) | 71.7 | |
| 5′′ | 3.67 (1H, m) | 78.5 | 3.44 (1H, m) | 76.9 | |
| 6′′ | 3.45 (1H, dd, J = 11.2, 5.2 Hz) | 67.8 | 3.65 (1H, dd, J = 10.8, 5.0 Hz) | 67.9 | |
| 3.72 (1H, dd, J = 11.2, 1.7 Hz) | 4.00 (1H, dd, J = 10.8, 1.2 Hz) | ||||
| 1′′′ | 4.73 (1H, d, J = 0.8 Hz) | 102.3 | 4.74 (1H, d, J = 1.6 Hz) | 102.2 | |
| 2′′′ | 3.85 (1H, m) | 72.0 | 3.84 (1H, m) | 72.3 | |
| 3′′′ | 3.70 (1H, m) | 72.4 | 3.70 (1H, m) | 72.2 | |
| 4′′′ | 3.37 (1H, m) | 74.0 | 3.37 (1H, m) | 74.0 | |
| 5′′′ | 3.71 (1H, m) | 69.9 | 3.70 (1H, m) | 69.8 | |
| 6′′′ | 1.26 (1H, d, J = 6.5 Hz) | 18.0 | 1.26 (1H, d, J = 6.0 Hz) | 18.1 | |
3.5. ABTS Radical-Scavenging Assay
3.6. Acid Hydrolysis and Derivatization with PMP Reagent
4. Conclusions
Acknowledgements
Conflict of Interest
References
- Tropicos. Missouri Botanical Garden. Available online: http://www.tropicos.org/NameSearch.aspx (accessed on 22 May 2011).
- Xia, Y.G.; Yang, B.Y.; Wang, Q.H.; Liang, J.; Wei, Y.H.; Yu, H.D.; Zhang, Q.B.; Kuang, H.X. Quantitative analysis and chromatographic fingerprinting for the quality evaluation of Forsythia suspensa extract by HPLC coupled with photodiode array detector. J. Sep. Sci. 2009, 32, 4113–4125. [Google Scholar] [CrossRef]
- Kuang, H.X.; Xia, Y.G.; Yang, B.Y.; Liang, J.; Zhang, Q.B.; Li, G.Y. A new caffeyol phenylethanoid glycoside from the unripe fruits of Forsythia suspensa. Chin. J. Nat. Med. 2009, 7, 278–282. [Google Scholar]
- Nishibe, S.; Tamayama, Y.; Sasahara, M.; Andary, C. A phenylethanoid glycoside from Plantago Asiatica. Phytochemistry 1995, 38, 741–743. [Google Scholar] [CrossRef]
- Shi, F.; Jia, X.B.; Zhao, C.L.; Chen, Y. Antioxidant activities of various extracts from Artemisisa selengensis Turcz (LuHao). Molecules 2010, 15, 4934–4946. [Google Scholar] [CrossRef]
- Osman, H.; Rahim, A.A.; Isa, N.M.; Bakhir, N.M. Antioxidant activity and phenolic content of Paederia foetida and Syzygium aqueum. Molecules 2009, 14, 970–978. [Google Scholar] [CrossRef]
- Qu, H.; Zhang, Y.; Wang, Y.; Li, B.; Sun, W. Antioxidant and antibacterial activity of two compounds (Forsythiaside and Forsythin) isolated from Forsythia suspensa. J. Pharm. Pharmacol. 2008, 60, 261–266. [Google Scholar]
- Kuang, H.X.; Xia, Y.G.; Liang, J.; Yang, B.Y.; Wang, Q.H.; Sun, Y.P. Fast classification and compositional analysis of polysaccharides from TCMs by ultra-performance liquid chromatography coupled with multivariate analysis. Carbohydr. Polymer. 2011, 84, 1258–1266. [Google Scholar] [CrossRef]
- Wang, F.N.; Ma, Z.Q.; Liu, Y.; Guo, Y.Z.; Gu, Z.W. New phenylethanoid glycosides from the fruits of Forsythia Suspense (Thunb.) Vahl. Molecules 2009, 14, 1324–1331. [Google Scholar] [CrossRef]
- Sample Availability: Samples of lianqiaoxinoside B and forsythoside H are available from the authors.
© 2011 by the authors; licensee MDPI, Basel, Switzerland. This article is an open access article distributed under the terms and conditions of the Creative Commons Attribution license ( http://creativecommons.org/licenses/by/3.0/).
Share and Cite
Kuang, H.-X.; Xia, Y.-G.; Liang, J.; Yang, B.-Y.; Wang, Q.-H. Lianqiaoxinoside B, a Novel Caffeoyl Phenylethanoid Glycoside from Forsythia suspensa. Molecules 2011, 16, 5674-5681. https://doi.org/10.3390/molecules16075674
Kuang H-X, Xia Y-G, Liang J, Yang B-Y, Wang Q-H. Lianqiaoxinoside B, a Novel Caffeoyl Phenylethanoid Glycoside from Forsythia suspensa. Molecules. 2011; 16(7):5674-5681. https://doi.org/10.3390/molecules16075674
Chicago/Turabian StyleKuang, Hai-Xue, Yong-Gang Xia, Jun Liang, Bing-You Yang, and Qiu-Hong Wang. 2011. "Lianqiaoxinoside B, a Novel Caffeoyl Phenylethanoid Glycoside from Forsythia suspensa" Molecules 16, no. 7: 5674-5681. https://doi.org/10.3390/molecules16075674
APA StyleKuang, H.-X., Xia, Y.-G., Liang, J., Yang, B.-Y., & Wang, Q.-H. (2011). Lianqiaoxinoside B, a Novel Caffeoyl Phenylethanoid Glycoside from Forsythia suspensa. Molecules, 16(7), 5674-5681. https://doi.org/10.3390/molecules16075674
