In Vitro and In Vivo Antitumor Activity of Scutellaria barbate Extract on Murine Liver Cancer
Abstract
:1. Introduction

2. Results and Discussion
2.1. CE-SB Inhibited the Proliferation of H22 Cells In Vitro

2.2. Ultrastructure Observation of H22 Cells Induced by CE-SB

2.3. Anti-Tumor Effects of CE-SB on Hepatoma H22 Bearing Mice
| Group | Dosage (g/kg/d) | Body weight(g) | Variation of body weight (g) | Tumor weight (g) | Tumor inhibition rate (%) | |
|---|---|---|---|---|---|---|
| Pre-treatment Post-treatment | ||||||
| Normal | - | 20.03 ± 1.94 | 24.12 ± 2.02 # | 4.09 ± 2.32 # | - | - |
| Tumor control | - | 20.03 ± 2.07 | 23.50 ± 3.24 # | 3.47 ± 3.82 # | 2.65 ± 1.12 # | - |
| 5-FU | 0.02 | 19.96 ± 2.03 | 20.74 ± 1.86 * | 0.78 ± 1.93 * | 1.53 ± 0.64 * | 42.26 |
| CE-SB | 3 | 20.00 ± 1.94 | 24.52 ± 1.82 # | 4.52 ± 3.93 # | 2.27 ± 0.93 # | 14.34 |
| 6 | 19.93 ± 2.12 | 24.77 ± 1.98 # | 4.84 ± 3.62 #* | 1.89 ± 0.82 *# | 28.68 | |
| 12 | 20.01 ± 2.10 | 25.15 ± 2.13 # | 5.14 ± 3.76 *# | 1.67 ± 0.76 * | 36.98 | |
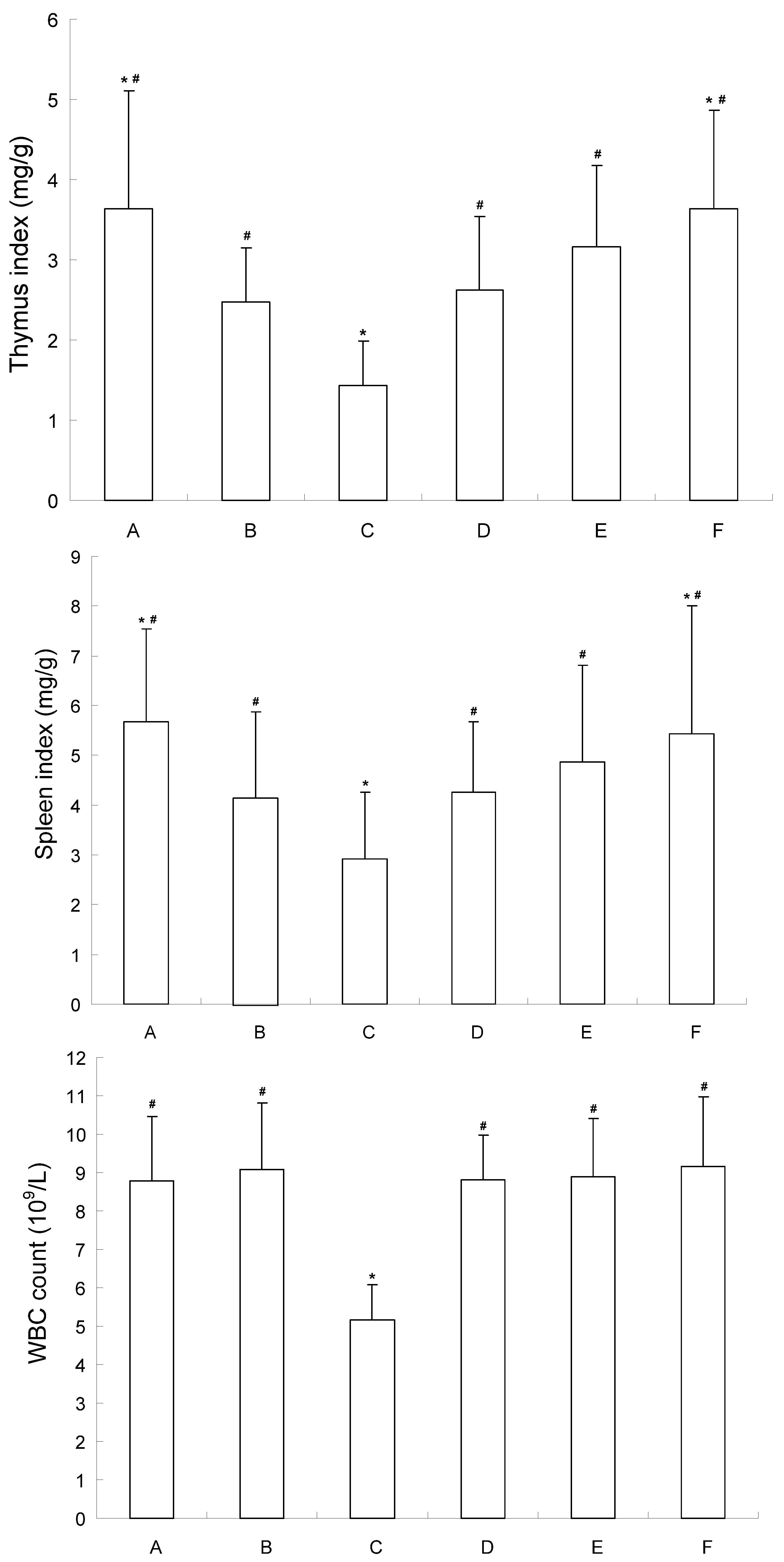
2.4. Influence of CE-SB on Immune Organs and WBC Count of H22 Bearing Mice

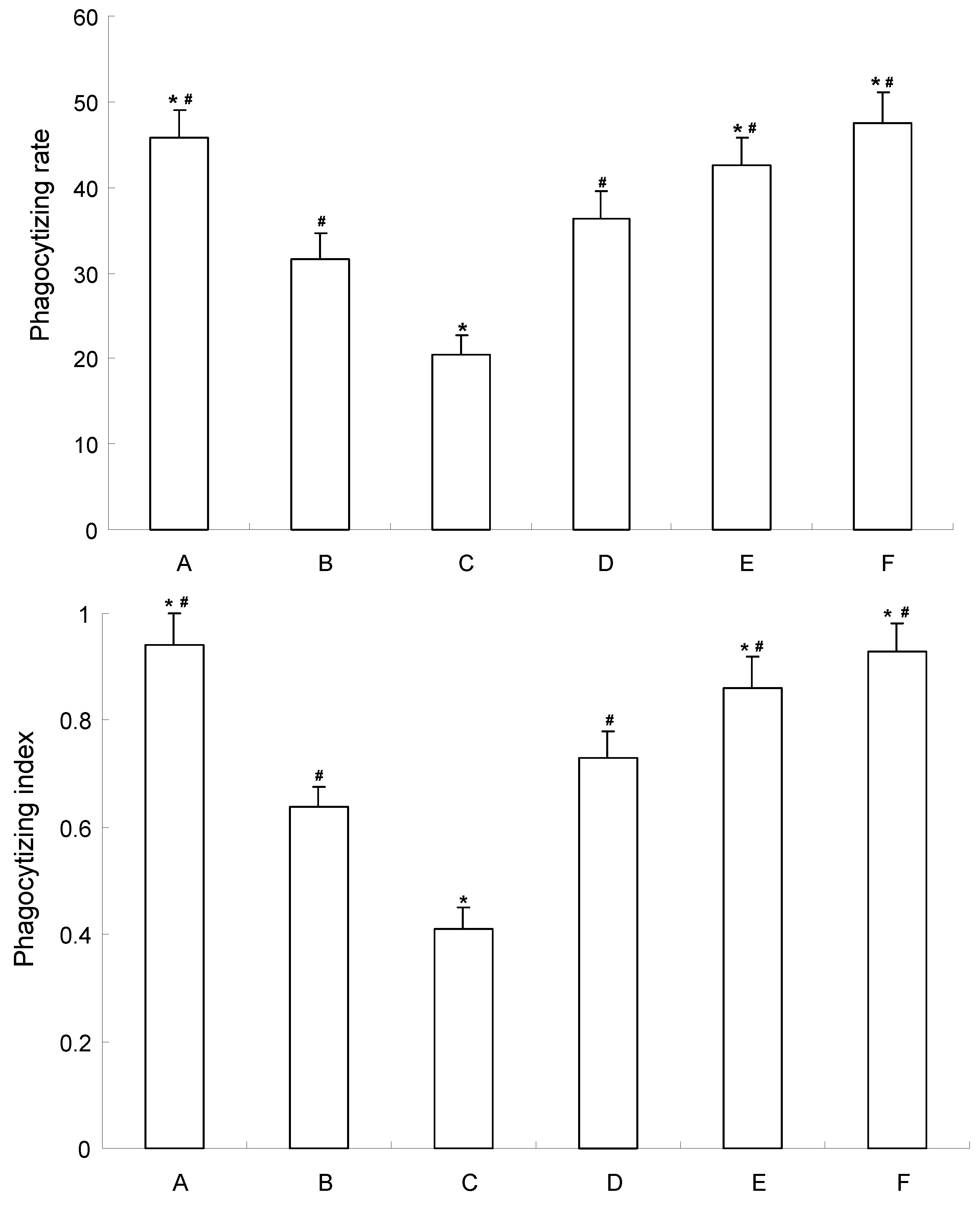
2.5. Influence of CE-SB on Phagocytotic Function of Macrophage of H22 Bearing Mice

3. Experimental
3.1. Reagents and Animals
3.2. Preparation of S. barbata Extract and Drug Containing Serum
3.3. Cell Culture and Cell Proliferation Assay
3.4. Ultrastructure Observation by Transmission Electron Microscope
3.5. Antitumor Activity In Vivo
3.6. Determination of Phagocytotic Function of Macrophage
3.7. Statistical Analysis
4. Conclusions
Acknowledgements
References and Notes
- Jemal, A.; Bray, F.; Center, M.M.; Ferlay, J.; Ward, E.; Forman, D. Global cancer statistics. CA Cancer J. Clin. 2011, 61, 69–90, PMID: 21296855.. [Google Scholar] [CrossRef]
- Dai, L.C.; Wang, X.; Yao, X.; Lu, Y.L.; Ping, J.L.; He, J.F. Enhanced therapeutic effects of combined chemotherapeutic drugs and midkine antisense oligonucleotides for hepatocellular carcinoma. World J. Gastroenterol. 2007, 13, 1989–1994, PMID: 17461503.. [Google Scholar]
- Yu, J.Q.; Liu, H.B.; Lei, J.C.; Tan, W.J.; Hu, X.M.; Zou, G.L. Antitumor Activity of Chloroform Fraction of Scutellaria barbata and its Active Constituents. Phytother. Res. 2007, 21, 817–822, PMID: 17674423.. [Google Scholar] [CrossRef]
- Vickers, A. Botanical medicines for the treatment of cancer: Rationale, overview of current data, and methodological considerations for phase I and II trials. Cancer Invest. 2002, 20, 1069–1079, PMID: 12449740.. [Google Scholar] [CrossRef]
- Lee, T.K.; Lee, D.K.; Kim, D.I. Inhibitory effects of Scutellaria barbata D.Don on human uterine leiomyomal smooth muscle cell proliferation through cell cycle analysis. Int. Immunopharmacol. 2004, 4, 447–454, PMID: 15072097.. [Google Scholar] [CrossRef]
- Lin, C.C.; Shieh, D.E. The anti-inflammatory activity of Scutellaria rivularis extracts and its active components, baicalin, baicaleinand wogonin. Am. J. Chin. Med. 1996, 24, 31–36, PMID: 8739179.. [Google Scholar] [CrossRef]
- Lee, T.K.; Kim, D.I.; Song, Y.L.; Lee, Y.C.; Kim, H.M.; Kim, C.H. Differential Inhibition of Scutellaria barbata D. Don (Lamiaceae) on HCG-Promoted Proliferation of Cultured Uterine Leiomyomal and Myometrial Smooth Muscle Cells. Immunopharmacol. Immunotoxicol. 2004, 26, 329–342, PMID: 15518168.. [Google Scholar] [CrossRef]
- Goh, D.; Lee, Y.H.; Ong, E.S. Inhibitory effects of a chemically standardized extract from Scutellaria barbata in human colon cancer cell lines, LoVo. J. Agric. Food Chem. 2005, 53, 8197–8204, PMID: 16218664.. [Google Scholar]
- Yin, X.; Zhou, J.; Jie, C.; Xing, D.M.; Zhang, Y. Anticanceractivity and mechanism of Scutellaria barbata extract on human lung cancer cell line A549. Life Sci. 2004, 75, 2233–2244, PMID: 15325848.. [Google Scholar]
- Cha, Y.Y.; Lee, E.O.; Lee, H.J.; Park, Y.D.; Ko, S.; Kim, D.H.; Kim, H.M.; Kang, I.C.; Kim, S.H. Methylene chloride fraction of Scutellaria barbata induces apoptosis in human U937 leukemia cells via the mitochondrial signaling pathway. Clin. Chim. Acta 2004, 348, 41–48, PMID: 15369734.. [Google Scholar] [CrossRef]
- Suh, S.J.; Yoon, J.W.; Lee, T.K.; Jin, U.H.; Kim, S.L.; Kim, M.S.; Kwon, D.Y.; Lee, Y.C.; Kim, C.H. Chemoprevention of Scutellaria bardata on Human Cancer Cells and Tumorigenesis in Skin Cancer. Phytother. Res. 2007, 21, 135–141, PMID: 17128438.. [Google Scholar] [CrossRef]
- Dai, Z.J.; Liu, X.X.; Xue, Q.; Ji, Z.Z.; Wang, X.J.; Kang, H.F.; Guan, H.T.; Ma, X.B.; Ren, H.T. Antiproliferative and apoptosis-inducing activity of Scutellaria barbate containing serum on mouse hepatoma H22 cells. Zhong Yao Cai 2008, 31, 550–553, PMID: 18661828.. [Google Scholar]
- Lin, J.M.; Liu, Y.; Luo, R.C. Inhibition activity of Scutellariae barbata extracts against human hepatocellular carcinoma cells. Nan Fang Yi Ke Da Xue Xue Bao 2006, 26, 591–593, PMID: 16762857.. [Google Scholar]
- Lee, T.K.; Cho, H.L.; Kim, D.I.; Lee, Y.C.; Kim, C.H. Scutellaria barbata D. Don induces c-fos gene expression in human uterine leiomyomal cells by activating beta2-adrenergic receptors. Int. J. Gynecol. Cancer 2004, 14, 526–531, PMID: 15228428.. [Google Scholar] [CrossRef]
- Wang, W.S.; Zhou, Y.W.; Ye, Y.H. Studies on the flavonoids in herb from Scutellaria barbata. Zhong Guo Zhong Yao Za Zhi 2004, 29, 957–959, PMID: 15631081.. [Google Scholar]
- Dai, S.J.; Sun, J.Y.; Ren, Y.; Liu, K.; Shen, L. Bioactive ent-clerodane diterpenoids from Scutellaria barbata. Planta Med. 2007, 73, 1217–1220, PMID: 17764068.. [Google Scholar] [CrossRef]
- Qu, G.W.; Yue, X.D.; Li, G.S.; Yu, Q.Y.; Dai, S.J. Two new cytotoxic ent-clerodane diterpenoids from Scutellaria barbata. J. Asian Nat. Prod. Res. 2010, 12, 859–864, PMID: 20924899.. [Google Scholar] [CrossRef]
- Dai, S.J.; Peng, W.B.; Shen, L.; Zhang, D.W.; Ren, Y. New norditerpenoid alkaloids from Scutellaria barbata with cytotoxic activities. Nat. Prod. Res. 2011, 15, 1–6, PMID: 21337255.. [Google Scholar]
- Mi, X.; Zhu, R. Simultaneous determination of 7 active ingredients in Scutellaria barbata D. Don by capillary micellar electrokinetic chromatography. Se Pu 2010, 28, 209–214, PMID: 20556963.. [Google Scholar]
- Yu, J.Q.; Lei, J.C.; Yu, H.D.; Cai, X.; Zou, G.L. Chemical composition and antimicrobial activity of the essential oil of Scutellaria barbata. Phytochemistry 2004, 65, 881–884, PMID: 15081288.. [Google Scholar]
- Tashiro, S. "Serum pharmacology" and "serum pharmacochemistry"-New worlds of drug level monitoring starting from the pharmacology of Kampo remedies. TDM Res. 1988, 5, 54–64. [Google Scholar]
- Miura, D.; Miura, Y.; Yagasaki, K. Effect of Apple Polyphenol Extract on Hepatoma Proliferation and Invasion in Culture and on Tumor Growth, Metastasis, and Abnormal Lipoprotein Profiles in Hepatoma-Bearing Rats. Biosci. Biotechnol. Biochem. 2007, 71, 2743–2750, PMID: 17986774.. [Google Scholar]
- Nishida, S.; Satoh, H. Mechanisms for the vasodilations induced by Ginkgo biloba extract and its main constituent, bilobalide, in rat aorta. Life Sci. 2003, 72, 2659–2667, PMID: 12672511.. [Google Scholar] [CrossRef]
- Er, H.M.; Cheng, E.H.; Radhakrishnan, A.K. Anti-proliferative and mutagenic activities of aqueous and methanol extracts of leaves from Pereskia bleo (Kunth) DC (Cactaceae). J. Ethnopharmacol. 2007, 113, 448–456, PMID: 17698306.. [Google Scholar] [CrossRef]
- Wang, P.; Geng, X.; Pi, G.; Shi, R.; Yuan, Z.; Wang, C. Preparative separation of four individual flavonoids in Scutellaria barbata D. Don based on high selectivity polymeric adsorbents with different polarities. J. Chromatogr. B 2010, 878, 3375–3381, PMID: 21093386.. [Google Scholar]
- Marconett, C.N.; Morgenstern, T.J.; San Roman, A.K.; Sundar, S.N.; Singhal, A.K.; Firestone, G.L. BZL101, a phytochemical extract from the Scutellaria barbata plant, disrupts proliferation of human breast and prostate cancer cells through distinct mechanisms dependent on the cancer cell phenotype. Cancer Biol. Ther 2010, 10, 397–405, PMID: 20574166.. [Google Scholar]
- Wu, S.L.; Sun, Z.J.; Yu, L., Meng; Qin, X.L.; Pan, C.E. Effect of resveratrol and in combination with 5-FU on murine liver cancer. World J. Gastroenterol. 2004, 10, 3048–3052, PMID: 15378791.. [Google Scholar]
- Song, G.C.; Xu, W.; Zhang, J.; Feng, K.J.; Zhu, X.D. Experiments on efficiency enhancing and toxicity reducing of scutellaria barbata polysaccharides on cytoxan and its immunology mechanism. Acta Chin. Med. Pharm. 2010, 28, 48–50. [Google Scholar]
- Dai, Z.J.; Wang, X.J.; Li, Z.F.; Ji, Z.Z.; Ren, H.T.; Tang, W.; Liu, X.X.; Kang, H.F.; Guan, H.T.; Song, L.Q. Scutellaria barbate extract induces apoptosis of hepatoma H22 cells via the mitochondrial pathway involving caspase-3. World J. Gastroenterol. 2008, 14, 7321–7328, PMID: 19109865.. [Google Scholar] [CrossRef]
- Blattner, J.R.; He, L.; Lemasters, J.J. Screening assays for the mitochondrial permeability transition using a fluorescence multiwell plate reader. Anal. Biochem. 2001, 295, 220–226, PMID: 11488625.. [Google Scholar]
- Daiki, M.; Yutaka, M.; Kazumi, Y. Effect of Apple Polyphenol Extract on Hepatoma Proliferation and Invasion in Culture and on Tumor Growth, Metastasis, and Abnormal Lipoprotein Profiles in Hepatoma-Bearing Rats. Biosci. Biotechnol. Biochem 2007, 71, 2743–2750, PMID: 17986774.. [Google Scholar] [CrossRef]
- Dongre, S.H.; Badami, S.; Natesan, S.; Raghu, C.H. Antitumor Activity of the Methanol Extract of Hypericum hookerianum Stem Against Ehrlich Ascites Carcinoma in Swiss Albino Mice. J. Pharmacol. Sci. 2007, 103, 354–359, PMID: 17443057.. [Google Scholar] [CrossRef]
- Liu, F.; Wang, J.G.; Wang, S.Y.; Li, Y.; Wu, Y.P.; Xi, S.M. Antitumor effect and mechanism of Gecko on human esophageal carcinoma cell lines in vitro and xenografted sarcoma 180 in Kunming mice. World J. Gastroenterol. 2008, 14, 3990–3996, PMID: 18609682.. [Google Scholar] [CrossRef]
- Sample Availability: Samples of the plant are available from the Medical School of Xi’an Jiaotong University on request from the authors.
© 2011 by the authors; licensee MDPI, Basel, Switzerland. This article is an open access article distributed under the terms and conditions of the Creative Commons Attribution license ( http://creativecommons.org/licenses/by/3.0/).
Share and Cite
Dai, Z.-J.; Gao, J.; Li, Z.-F.; Ji, Z.-Z.; Kang, H.-F.; Guan, H.-T.; Diao, Y.; Wang, B.-F.; Wang, X.-J. In Vitro and In Vivo Antitumor Activity of Scutellaria barbate Extract on Murine Liver Cancer. Molecules 2011, 16, 4389-4400. https://doi.org/10.3390/molecules16064389
Dai Z-J, Gao J, Li Z-F, Ji Z-Z, Kang H-F, Guan H-T, Diao Y, Wang B-F, Wang X-J. In Vitro and In Vivo Antitumor Activity of Scutellaria barbate Extract on Murine Liver Cancer. Molecules. 2011; 16(6):4389-4400. https://doi.org/10.3390/molecules16064389
Chicago/Turabian StyleDai, Zhi-Jun, Jie Gao, Zong-Fang Li, Zong-Zheng Ji, Hua-Feng Kang, Hai-Tao Guan, Yan Diao, Bao-Feng Wang, and Xi-Jing Wang. 2011. "In Vitro and In Vivo Antitumor Activity of Scutellaria barbate Extract on Murine Liver Cancer" Molecules 16, no. 6: 4389-4400. https://doi.org/10.3390/molecules16064389
APA StyleDai, Z.-J., Gao, J., Li, Z.-F., Ji, Z.-Z., Kang, H.-F., Guan, H.-T., Diao, Y., Wang, B.-F., & Wang, X.-J. (2011). In Vitro and In Vivo Antitumor Activity of Scutellaria barbate Extract on Murine Liver Cancer. Molecules, 16(6), 4389-4400. https://doi.org/10.3390/molecules16064389

