A New Abietene Diterpene and Other Constituents from Kaempferia angustifolia Rosc.
Abstract
:1. Introduction
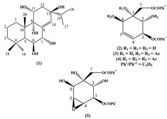
2. Results and Discussion


| Position | 1H-NMR δ (multiplicity, J in Hz) | COSY | 13C -NMR (δ) | HMBC | |
|---|---|---|---|---|---|
| 2J | 3J | ||||
| 1 | 1.55 (m) | - | 37.1 | C-2 | C-9 |
| 1.76 (dd, 13.1, 3.4) | |||||
| 2 | 1.46 (dt, 13.1, 3.4) | - | 20.0 | - | - |
| 1.66 (m) | |||||
| 3 | 1.25 (br d, 3.4) | - | 45.0 | - | C-1 |
| 1.33 (br d, 11.3) | |||||
| 4 | - | - | 35.0 | - | - |
| 5 | 1.96 (d, 2.8) | H-6 | 44.3 | C-6, C-4,C-10 | C-9, C-20,C-18, C-3 |
| 6 | 4.18 (t, 2.8) | H-5, H-7 | 73.1 | C-7 | C-10, C-8 |
| 7 | 3.89 (d, 2.8) | H-6 | 81.2 | C-6, C-8 | C-5, C-9, C-14 |
| 8 | - | - | 139.9 | - | - |
| 9 | - | - | 78.0 | - | - |
| 10 | - | - | 45.0 | - | - |
| 11 | 4.35 (dd, 4.9, 11.3) | H-12 | 65.4 | C-12 | C-10 |
| 12 | 1.61 (dd, 11.3, 1.5) | H-11 | 37.6 | C-13, C-11 | C-14, C-9, C-15 |
| 1.63 (dd, 4.9, 1.5) | |||||
| 13 | - | - | 73.3 | - | - |
| 14 | 5.78 (s) | H-12 | 135.8 | C-13 | C-7, C-9, C-12, C-15 |
| 15 | 1.71 (m) | H-16, H-17 | 39.3 | C-13, C-16 | C-12, C-14 |
| 16 | 0.96 (d, 7.0) | H-15 | 16.9 | C-15 | C-13, C-17 |
| 17 | 0.93 (d, 7.0) | H-15 | 17.6 | C-15 | C-13, C-16 |
| 18 | 1.27 (s) | - | 25.0 | C-4 | C-3, C-19 |
| 19 | 1.02 (s) | - | 34.3 | C-4 | C-18, C-5, C-3 |
| 20 | 1.21 (s) | - | 21.2 | C-10 | C-9, C-1 |
2.1. Derivatives of Zeylenol
2.2. Cytotoxic Activity of Compounds
| IC50(μg/mL) | ||||
|---|---|---|---|---|
| Compounds | HL-60 | MCF-7 | HT-29 | HeLa |
| 1 | 24.22 ± 0.30 | 23.50 ± 1.70 | - | - |
| 2 | 11.65 ± 0.52 | - | - | - |
| 3 | - | - | 6.73 ± 0.68 | - |
| 4 | - | - | - | - |
| 5 | 20.91 ± 1.28 | - | NT | - |
| Positive control | ||||
| Goniothalamin | 1.23 ± 0.20 | |||
| 5-Fluorouracil | 4.20 ± 0.30 | |||
| Tamoxifen | 3.12 ± 0.20 | 1.10 ± 0.21 | ||
3. Experimental
3.1. General
3.2. Plant Material
3.3. Extraction and Isolation
3.4. Structural Modification of Zeylenol
3.5. Spectral Data
3.6. Cytotoxicity Assays
4. Conclusions
Acknowledgements
References and Notes
- Sukari, M.A.; Neoh, B.K.; Lajis, N.H.; Ee, G.C.L.; Rahmani, M.; Ahmad, F.H.; Yusof, U.K. Chemical constituents of Kaempferia angustifolia (Zingiberaceae). Orient. J. Chem. 2004, 20, 451–456. [Google Scholar]
- Sukari, M.A.; Neoh, B.K.; Rahmani, M.; Khalid, K.; Lajis, M.N.; Taufiq-Yap, Y.H.; Ee, G.C.L. Essential oils from rhizomes of Kaempferia angustifolia Roscoe and Kaempferia rotunda L. Ultra Sci. Phy. Sci. 2008, 20, 611–616. [Google Scholar]
- Sukari, M.A.; Rashid, N.Y.; Neoh, B.K.; Abu Bakar, N.H.; Riyanto, S.; Ee, G.C.L. Larvicidal activity of some Curcuma and Kaempferia rhizome extracts against dengue fever mosquito Aedes aegypti Linnaeus (Diptera: Culidae). Asian J. Chem. 2010, 22, 7915–7919. [Google Scholar]
- Pancharoen, O.; Tuntiwachwuttikul, P.; Taylor, W.C. Cyclohexane oxide derivatives from Kaempferia angustifolia and Kaempferia species. Phytochemistry 1989, 28, 1143–1148. [Google Scholar]
- Thongnest, S.; Mahidol, C.; Sutthivaiyakit, S.; Ruchirawat, S. Oxygenated pimarane diterpenes from Kaempferia marginata. J. Nat. Prod. 2005, 68, 1632–1636. [Google Scholar] [CrossRef]
- Sukari, M.A.; Tang, S.W.; Neoh, B.K.; Ee, G.C.L.; Rahmani, M. Antileukemic activity and chemical constituents of some Zingiberaceae species. Asian J. Chem. 2010, 22, 7891–7896. [Google Scholar]
- Yenjai, C.; Prasanphen, K.; Daodee, S.; Wongpanich, V.; Kittakoop, P. Bioactive flavonoids from Kaempferia parviflora. Fitoterapia 2004, 75, 89–92. [Google Scholar] [CrossRef]
- Chakravarty, A.K.; Das, B.; Masuda, K.; Ageta, H. Tetracyclic triterpenoids from Glycosmis arborea. Phytochemistry 1996, 42, 1109–1113. [Google Scholar]
- Kojima, H.; Sato, N.; Hatano, A.; Ogura, H. Sterol glucosides from Prunella vulgaris. Phytochemistry 1990, 29, 2351–2355. [Google Scholar]
- Mizushina, Y.; Nakanishi, R.; Kuriyama, I.; Kamiya, K.; Satake, T.; Shimazaki, N.; Koiwai, O.; Uchiyama, Y.; Yonezawa, Y.; Takemura, M.; Sakaguchi, K.; Yoshida, H. β-Sitosterol-3-O-β-D-glucopyranoside: A eukaryotic DNA polymerase λ inhibitor. J. Steroid Biochem. Mol. Biol. 2006, 99, 100–107. [Google Scholar] [CrossRef]
- CCDC-815733 contains the supplementary crystallographic data for this paper. These data can be obtained free of charge at http://www.ccdc.cam.ac.uk/data_request/cif, by mailing data_request@ccdc.cam.ac.uk or by contacting The Cambridge Crystallographic Data Centre, 12, Union Road, Cambridge CB2 1EZ, UK; Fax: +44-1223-336033.
- Belas, F.J. Abieta-8,11,13-trien-11-ol: Isolation and Identification of an Inhibitor of Cell Growth and Analysis of Structural Activity Relationships of Analogs. University of Houston, Houston, TX, USA, 1992. [Google Scholar]
- Tuntiwachwuttikul, P.; Pancharoen, O.; Bubb, W.A.; Hambley, T.W.; Taylor, W.C.; Reutrakul, V. Constituents of the Zingiberaceae XI*. Structures of (+)-(1R,2S,3R,4S)-2-Benzoyloxy-methylcyclohex-5-ene-1,2,3,4-tetrol 4-benzoate [(+)-zeylenol] and (+)-(1R,2R,4R,5S,6R,7R)-4-benzoyloxymethyl-3,8-dioxatricyclo-[5.1.0.02,4]octane-5,6-diol 5-acetate 6-benzoate (boesenboxide) isolated from a new Boesenbergia species. Aust. J. Chem. 1987, 40, 2049–2061. [Google Scholar] [CrossRef]
- Sample Availability: Contact the corresponding author.
© 2011 by the authors; licensee MDPI, Basel, Switzerland. This article is an open access article distributed under the terms and conditions of the Creative Commons Attribution license ( http://creativecommons.org/licenses/by/3.0/).
Share and Cite
Tang, S.W.; Sukari, M.A.; Rahmani, M.; Lajis, N.H.; Ali, A.M. A New Abietene Diterpene and Other Constituents from Kaempferia angustifolia Rosc. Molecules 2011, 16, 3018-3028. https://doi.org/10.3390/molecules16043018
Tang SW, Sukari MA, Rahmani M, Lajis NH, Ali AM. A New Abietene Diterpene and Other Constituents from Kaempferia angustifolia Rosc. Molecules. 2011; 16(4):3018-3028. https://doi.org/10.3390/molecules16043018
Chicago/Turabian StyleTang, Sook Wah, Mohd Aspollah Sukari, Mawardi Rahmani, Nordin Hj. Lajis, and Abdul Manaf Ali. 2011. "A New Abietene Diterpene and Other Constituents from Kaempferia angustifolia Rosc." Molecules 16, no. 4: 3018-3028. https://doi.org/10.3390/molecules16043018
APA StyleTang, S. W., Sukari, M. A., Rahmani, M., Lajis, N. H., & Ali, A. M. (2011). A New Abietene Diterpene and Other Constituents from Kaempferia angustifolia Rosc. Molecules, 16(4), 3018-3028. https://doi.org/10.3390/molecules16043018
