Two New Phenols from Scutellaria barbata
Abstract
:1. Introduction
2. Results and Discussion

3. Experimental
3.1. General
3.2. Plant material
3.3. Extraction and isolation
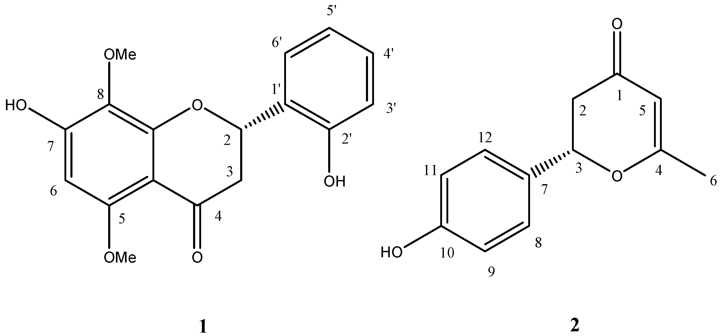
3.4. Characterization of compound 1
–19.1 (c 0.021, MeOH). UV (MeOH): λmax (log ε) 207 (3.76), 285 (3.02) nm. IR (KBr): νmax 3266, 1614, 1583, 1510, 1458, 1416, 1367, 1270, 1099, 992, 748 cm-1. 1H-NMR (DMSO) and 13C NMR (DMSO) data, see Table 1. HRMS [(+)ESI]: m/z 317.1024 (calcd. 317.1025 for C17H17O6, [M + H]+).3.5. Characterization of compound 2
–21.7 (c 0.030, MeOH). 1H NMR (DMSO) and 13C NMR (DMSO) data, see Table 1. HRMS [(+)ESI]: m/z 227.0683 (calcd. 227.0684 for C12H12O3Na [M + Na]+).| Position | 1 | 2 | |||
|---|---|---|---|---|---|
| δH | δC | δH | δC | ||
| 1 | 191.8 (C) | ||||
| 2 | 5.61 (dd, 2.8, 12.8) | 74.1 (CH) | 2.36 (dd, 3.4, 16.6) | 41.4 (CH2) | |
| 2.83 (dd, 14, 16.6) | |||||
| 3a | 2.58 (dd, 2.8, 16.4) | 43.8 (CH2) | 5.36 (m) | 80.2 (CH) | |
| 3b | 2.92 (dd, 12.8,16.4) | ||||
| 4 | 188.5 (C) | 174.0 (C) | |||
| 4a | 104.7 (C) | ||||
| 5 | 157.3 (C) | 5.34 (s) | 104.4 (CH) | ||
| 6 | 6.13 (s) | 93.3 (CH) | 1.99 (s) | 20.6 (CH3) | |
| 7 | 157.1 (C) | 128.7 (C) | |||
| 8 | 129.2 (C) | 7.27 (d, 7.5) | 128.3 (CH) | ||
| 8a | 156.9 (C) | ||||
| 9 | 6.76 (d, 7.5) | 115.2 (CH) | |||
| 10 | 157.7 (C) | ||||
| 11 | 6.76 (d, 7.5) | 115.2 (CH) | |||
| 12 | 7.27 (d, 7.5) | 128.3 (CH) | |||
| 1′ | 125.4 (C) | ||||
| 2′ | 154.4 (C) | ||||
| 3′ | 6.86 (d, 7.7) | 115.5 (CH) | |||
| 4’ | 7.18 (m) | 129.4 (CH) | |||
| 5’ | 6.87 (m) | 119.4 (CH) | |||
| 6’ | 7.43 (d, 7.0) | 126.8 (CH) | |||
| 5-OCH3 | 3.69 (s) | 55.8 (CH3) | |||
| 8-OCH3 | 3.62 (s) | 60.6 (CH3) | |||
| 7-OH | 10.45 (s) | ||||
| 2’-OH | 9.91 (s) | ||||
| 10-OH | 9.61(s) | ||||
4. Conclusions
Acknowledgements
References and Notes
- Wang, F.; Ren, F.C.; Li, Y.J.; Liu, J.K. Scutebarbatines W–Z, New neo-Clerodane Diterpenoids from Scutellaria barbata and Structure Revision of a Series of 13-Spiro neo-Clerodane. Chem. Pharm. Bull. 2010, 58, 1267–1270. [Google Scholar] [CrossRef]
- Tomimori, T.; Miyaichi, Y.; Imoto, Y.; Kizu, H.; Namba, T. Studies on Nepalese Crude Drugs. V. On the Flavonoid Constituents of the Root of Scutellaria discolor. Chem. Pharm. Bull. 1985, 33, 4457–4463. [Google Scholar] [CrossRef]
- Wang, Z.Q.; Xu, F.M.; Yan, X.Z.; Zhu, Y. Scutebarbatine A, a new neoclerodane-type diterpenoid alkaloid from Scutellaria barbata. Chin. Chem. Lett. 1996, 7, 333–334. [Google Scholar]
- Dai, S.J.; Chen, M.; Liu, K.; Jiang, Y.T.; Shen, L. Four New neo-Clerodane Diterpenoid Alkaloids from Scutellaria barbata with Cytotoxic Activities. Chem. Pharm. Bull. 2006, 54, 869–872. [Google Scholar]
- Dai, S.J.; Wang, G.F.; Chen, M.; Liu, K.; Shen, L. Five New neo-Clerodane Diterpenoid Alkaloids from Scutellaria barbata with Cytotoxic Activities. Chem. Pharm. Bull. 2007, 55, 1218–1221. [Google Scholar] [CrossRef]
- Dai, S.J.; Tao, J.Y.; Liu, K.; Jiang, Y. T.; Shen, L. Neo-Clerodane diterpenoids from Scutellaria barbata with cytotoxic activities. Phytochemistry 2006, 67, 1326–1330. [Google Scholar]
- Dai, S.J.; Sun, J.Y.; Ren, Y.; Liu, K.; Shen, L. Bioactive ent-Clerodane Diterpenoids from Scutellaria barbata. Planta Med. 2007, 73, 1217–1220. [Google Scholar] [CrossRef]
- Dai, S.J.; Liang, D.D.; Ren, Y.; Liu, K.; Shen, L. New neo-Clerodane diterpenoids from Scutellaria barbata with cytotoxic activities. Chem. Pharm. Bull. 2008, 56, 207–209. [Google Scholar] [CrossRef]
- Dai, S.J.; Shen, L.; Ren, Y. Two New neo-Clerodane Diterpenoid Alkaloids from Scutellaria barbata. J. Integr. Plant Biol. 2008, 50, 699–702. [Google Scholar] [CrossRef]
- Dai, S.J.; Peng, W.B.; Shen, L.; Zhang, D.W.; Ren, Y. Two New neo-Clerodane Diterpenoid Alkaloids from Scutellaria barbata with cytotoxic activities. J. Asian Nat. Prod. Res. 2009, 11, 451–456. [Google Scholar] [CrossRef]
- Dai, S.J.; Peng, W.B.; Zhang, D.W.; Shen, L.; Wang, W.Y.; Ren, Y. Cytotoxic neo-Clerodane Diterpenoid Alkaloids from Scutellaria barbata. J. Nat. Prod. 2009, 72, 1793–1797. [Google Scholar] [CrossRef]
- Nguyen, V.H.; Pham, V.C.; Nguyen, T.T.H.; Tran, V.H.; Doan, T.M.H. Novel Antioxidant neo-Clerodane Diterpenoids from Scutellaria barbata. Eur. J. Org. Chem. 2009, 5810–5815. [Google Scholar]
- Lee, H.; Kim, Y.J.; Choi, I.; Min, B.S.; Shim, S.H. Two novel neo-Clerodane Diterpenoids from Scutellaria barbata. Bioorg.Med. Chem. Lett. 2010, 20, 288–290. [Google Scholar] [CrossRef]
- Zhu, F.; Di, Y.T.; Liu, L.L.; Zhang, Q.; Fang, X.; Yang, T.Q.; Hao, X.J.; He, H.P. Cytotoxic Neoclerodane Diterpenoid Alkaloids from Scutellaria barbata. J. Nat. Prod. 2010, 73, 233–236. [Google Scholar] [CrossRef]
- Dai, S.J.; Qu, G.W.; Yu, Q.Y.; Zhang, D.W.; Li, G.S. New neo-Clerodane Diterpenoids from Scutellaria barbata. Fiterapia 2010, 81, 737–741. [Google Scholar] [CrossRef]
- Fong, S.; Shoemaker, M.; Cadaoas, J.; Lo, A.; Liao, W.; Tagliaferri, M.; Cohen, I.; Shtivelman, E. Molecular mechanisms underlying selective cytotoxic activity of BZL101, an extract of Scutellaria barbata, towards breast cancer cells. Cancer Biol. Ther. 2008, 7, 577–586. [Google Scholar] [CrossRef]
- Perez, A.T.; Arun, B.; Tripathy, D.; Tagliaferri, M.; Shaw, H.S.; Kimmick, G.G.; Cohen, I.; Shtivelman, E.; Caygill, K.A.; Grady, D.; Schactman, M.; Shapiro, C.L. A phase 1B dose escalation trial of Scutellaria barbata (BZL101) for patients with metastatic breast cancer. Breast Cancer Res. Treat. 2010, 120, 111–118. [Google Scholar] [CrossRef]
- Gaffield, W. Circular dichroism, optical rotatory dispersion and absolute configuration of flavanones, 3-hydroxyflavanones and their glycosides: Determination of aglycone chirality in flavanone glycosides. Tetrahedron 1970, 26, 4093–4108. [Google Scholar] [CrossRef]
- Baker-Glenn, C.; Hodnett, N.; Reiter, M.; Ropp, S.; Ancliff, R.; Gouverneur, V. A Catalytic Asymmetric Bioorganic Route to Enantioenriched Tetrahedro- and Dihydropyranones. J. Am. Chem. Soc. 2005, 127, 1481–1486. [Google Scholar]
- Ahmad, R.; Khera, R.A.; Villinger, A.; Langer, P. One-pot synthesis of 6-aryl-2,3-dihydro-4H-pyran-4-ones by cyclocondensation of 1,3-diketone dianions with aldehydes. Tetrahedron Lett. 2009, 50, 3020–3022. [Google Scholar]
- Veit, M.; Geiger, H.; Czygan, F.C.; Markham, K.R. Malonylated flavone 5-O-glucosides in the barren sprouts of Equisetum arvense. Phytochemiatsy 1990, 29, 2555–2560. [Google Scholar]
- Nagao, T.; Abe, F.; Kinjo, J.; Okabe, H. Antiproliferative Constituents in Plants 10. Flavones from the Leaves of Lantana montevidensis BRIQ. and Consideration of Structure–Activity Relationship. Biol. Pharm. Bull. 2002, 25, 875–879. [Google Scholar] [CrossRef]
- Wang, H.Y.; Xiao, L.H.; Liu, L.; Xu, T.X. Studies on chemical constituents of the roots of Scutellaria viscidula. J. Shenyang Pharm. Univ. 2003, 20, 339–341. [Google Scholar]
- Li, P.; Zhang, G.G.; Zuo, T.T.; Wang, S.C. Chemical constituents of the whole plant of Scutellaria barbata. J. Shenyang Pharm. Univ. 2008, 25, 549–552. [Google Scholar]
- Miyaichi, Y.; Imoto, Y.; Tomimori, T.; Lin, C.C. Studies on the Constituents of Scutellaria Species. IX. On the Flavonoid Constituents of the Root of Scutellaria indica. Chem. Pharm. Bull. 1987, 35, 3720–3725. [Google Scholar] [CrossRef]
- Sample Availability: Samples of the compounds 1 and 2 from Scutellaria barbata are available from the authors.
© 2011 by the authors; licensee MDPI, Basel, Switzerland. This article is an open access article distributed under the terms and conditions of the Creative Commons Attribution license ( http://creativecommons.org/licenses/by/3.0/).
Share and Cite
Wang, G.; Wang, F.; Liu, J.-K. Two New Phenols from Scutellaria barbata. Molecules 2011, 16, 1402-1408. https://doi.org/10.3390/molecules16021402
Wang G, Wang F, Liu J-K. Two New Phenols from Scutellaria barbata. Molecules. 2011; 16(2):1402-1408. https://doi.org/10.3390/molecules16021402
Chicago/Turabian StyleWang, Gang, Fei Wang, and Ji-Kai Liu. 2011. "Two New Phenols from Scutellaria barbata" Molecules 16, no. 2: 1402-1408. https://doi.org/10.3390/molecules16021402
APA StyleWang, G., Wang, F., & Liu, J.-K. (2011). Two New Phenols from Scutellaria barbata. Molecules, 16(2), 1402-1408. https://doi.org/10.3390/molecules16021402
