Gold(I) Complexes of N-Heterocyclic Carbene Ligands Containing Benzimidazole: Synthesis and Antimicrobial Activity
Abstract
:1. Introduction
2. Results and Discussion
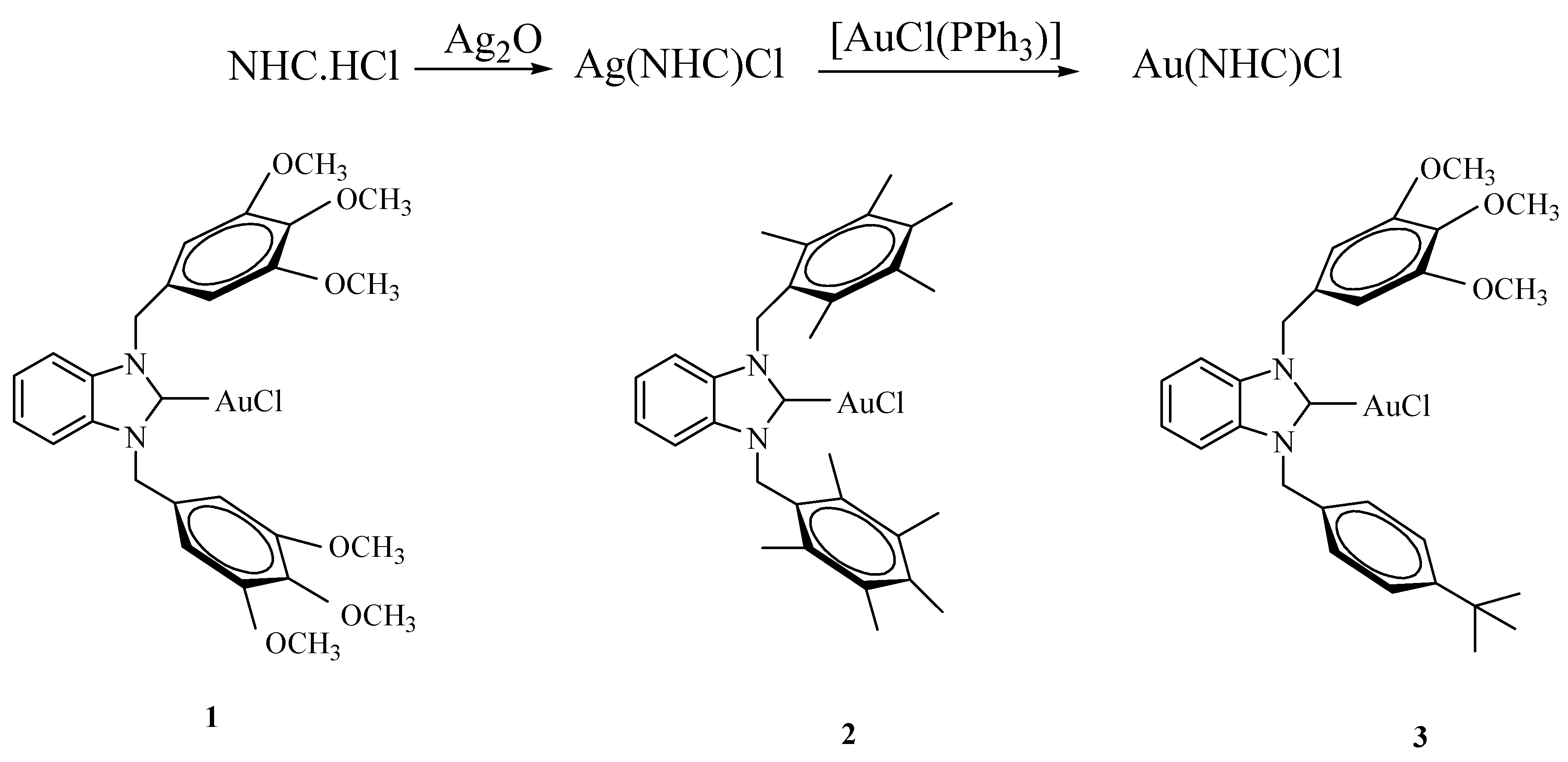
2.1. Synthesis of gold carbene complexes 1–3
2.2. Antimicrobial properties of gold(I)NHC complexes
3. Experimental
3.1. General
3.2. General method for the preparation of gold NHC complexes
3.3. Antimicrobial activities of silver NHC complexes
4. Conclusions
Acknowledgments
References and Notes
- Guo, Z.; Sadler, P.J. Metals in Medicine. Angew. Chem. Int. Ed. 1999, 38, 1512–1531. [Google Scholar] [CrossRef]
- Thompson, K.H.; Orvig, C. Medicinal Inorganic Chemistry in Concepts and Model Systems in Bioinorganic Chemistry; Kraatz, H.B., Nolte, N.M., Eds.; Wiley-VCH: Weinheim, Germany, 2006; pp. 25–42. [Google Scholar]
- Church, D.; Elsayed, S.; Reid, O.; Winston, B.; Lindsay, R. Burn wound infections. Clin. Microbiol. Rev. 2006, 19, 403–434. [Google Scholar] [CrossRef] [PubMed]
- Hindi, K.M.; Siciliano, T.J.; Durmus, S.; Panzner, M.J.; Medvetz, D.A.; Reddy, D.V.; Hogue, L.A.; Hovis, C.E.; Hilliard, J.K.; Mallet, R.J.; Tessier, C.A.; Cannon, C.L.; Youngs, W.J. Synthesis, stability, and antimicrobial studies of electronically tuned Silver acetate N-heterocyclic carbenes. J. Med. Chem. 2008, 51, 1577–1583. [Google Scholar] [CrossRef] [PubMed]
- Ray, S.; Mohan, R.; Singh, J.K.; Samantaray, M.K.; Shaikh, M.M.; Panda, D.; Ghosh, P. Anticancer and antimicrobial metallopharmaceutical agents based on palladium, gold, and silver N-heterocyclic carbene complexes. J. Am. Chem. Soc. 2007, 129, 15042–15053. [Google Scholar] [CrossRef] [PubMed]
- Shaw, C.F. Gold-based therapeutic agents. Chem. Rev. 1999, 99, 2589–2600. [Google Scholar] [CrossRef]
- Melaiye, A.; Sun, Z.; Hindi, K.; Milsted, A.; Ely, D.; Reneker, D.H.; Tessier, C.A.; Youngs, W.J. Silver(I)−imidazole cyclophane gem-diol complexes encapsulated by electrospun tecophilic nanofibers: Formation of nanosilver particles and antimicrobial activity. J. Am. Chem. Soc. 2005, 127, 2285–2291. [Google Scholar] [CrossRef] [PubMed]
- Garrison, J.C.; Tessier, C.A.; Youngs, W.J. Synthesis and crystallographic characterization of multi-donor N-heterocyclic carbene chelating ligands and their silver complexes: Potential use in pharmaceuticals. J. Organomet. Chem. 2005, 690, 6008–6020. [Google Scholar] [CrossRef]
- Ray, L.; Katiyar, V.; Raihan, M.J.; Nanavati, H.; Shaikh, M.M.; Ghosh, P. First example of a gold(I) N-heterocyclic-carbene-based initiator for the bulk ring-opening polymerization of l-Lactide. Eur. J. Inorg. Chem. 2006, 3724–3730. [Google Scholar] [CrossRef]
- Ray, L.; Shaikh, M.M.; Ghosh, P. Air-stable, convenient to handle Pd based PEPPSI (pyridine enhanced precatalyst preparation, stabilization and initiation) themed precatalysts of N/O-functionalized N-heterocyclic carbenes and its utility in Suzuki–Miyaura cross-coupling reaction. Dalton Trans. 2007, 4546–4555. [Google Scholar] [CrossRef] [PubMed]
- Panzner, M.J.; Hindi, K.M.; Wright, B.D.; Taylor, J.B.; Han, D.S.; Youngs, W.J.; Cannon, C.L. A theobromine derived silver N-heterocyclic carbene: synthesis, characterization, and antimicrobial efficacy studies on cystic fibrosis relevant pathogens. Dalton Trans. 2009, 7308–7313. [Google Scholar] [CrossRef] [PubMed]
- Lin, J.C.Y.; Huang, R.T.W.; Lee, C.S.; Bhattacharyya, A.; Hwang, W.S.; Lin, I.J.B. Coinage metal-N-heterocyclic carbene complexes. Chem. Rev. 2009, 109, 3561–3598. [Google Scholar] [CrossRef] [PubMed]
- Bonati, F.; Burini, A.; Pietroni, B.R.; Bovio, B. Reactions of symmetric C-imidazolylgold(I) leading to Au1 carbene complexes or mixed valence or AuIII imidazolyl derivatives.Crystal structure of [1-benzyl-3-(carboethoxy)imidazolin-2-yliden]chlorogold(I). J. Organomet. Chem. 1991, 408, 271–280. [Google Scholar] [CrossRef]
- Gunatilleke, S.S.; Barrios, A.M. Inhibition of lysosomal cysteine proteases by a series of Au(I) complexes: A detailed mechanistic investigation. J. Med. Chem. 2006, 49, 3933–3937. [Google Scholar] [CrossRef] [PubMed]
- Barnard, P.J.; Baker, M.V.; Berners-Price, S.J.; Day, D.A. Mitochondrial permeability transition induced by dinuclear gold(I)–carbene complexes: potential new antimitochondrial antitumour agents. J. Inorg. Biochem. 2004, 98, 1642–1647. [Google Scholar] [CrossRef] [PubMed]
- Hindi, K.M.; Panzner, M.J.; Tessier, C.A.; Cannon, C.L.; Youngs, W.J. The Medicinal applications of imidazolium carbene−metal complexes. Chem. Rev. 2009, 109, 3859–3884. [Google Scholar] [CrossRef] [PubMed]
- Özdemir, I.; Denizci, A.; Öztürk, H.T.; Çetinkaya, B. Synthetic and antimicrobial studies on new gold(I) complexes of imidazolidin-2-ylidenes. Appl. Organomet. Chem. 2004, 18, 318–322. [Google Scholar] [CrossRef]
- Böhler, C.; Stein, D.; Donati, N.; Grützmacher, H. Synthesis of a transient tropylidene substituted N-heterocyclic carbene (tropNHC): rearrangement and formation of its gold complex. New. J. Chem. 2002, 26, 1291–1295. [Google Scholar] [CrossRef]
- Raubenheimer, H.G.; Cronje, S. Carbene complexes derived from lithiated heterocycles, mainly azoles, by transmetallation. J. Organomet. Chem. 2001, 617–618, 170–181. [Google Scholar] [CrossRef]
- Poyatos, M.; Sanau, M.; Peris, E. New Rh(I) and Rh(III) Bisimidazol-2-ylidene complexes: Synthesis, reactivity, and molecular structures. Inorg. Chem. 2003, 42, 2572–2576. [Google Scholar] [CrossRef] [PubMed]
- Wang, H.M.J.; Lin, I.J.B. Facile synthesis of silver(I)-carbene complexes. Useful carbene transfer agents. Organometallics 1998, 17, 972–975. [Google Scholar] [CrossRef]
- Arslan, H.; VanDerveer, D.; Demir, S.; Özdemir, İ.; Çetinkaya, B. 1-(4-tert-butylbenzyl)-3-(3,4,5-trimethoxybenzyl)benzimidazolium bromide monohydrate. Acta Cryst. 2009, E65, o208–o209. [Google Scholar] [CrossRef] [PubMed]
- Jothibasu, R.; Huynh, H.V.; Koh, L.L. Au(I) and Au(III) complexes of a sterically bulky benzimidazole-derived N-heterocyclic carbene. J. Organomet. Chem. 2008, 693, 374–380. [Google Scholar] [CrossRef]
- National Clinical and Laboratory Standards Instıtute. Methods for Dilution Antimicrobial Susceptibility Tests for Bacteria That Grow Aerobically: Approved Standard, 7th ed.; CLSI Document M7-A7; National Clinical and Laboratory Standards Instıtute: Wayne, PA, USA, 2003. [Google Scholar]
- Clinical and Laboratory Standards Instıtute. Reference Method for Broth Dilution Antifungal Susceptibility Testing of Yeasts: Approved Standard, 2nd ed.; NCCLS document M27-A2; National Clinical and Laboratory Standards Instıtute: Wayne, PA, USA, 2002. [Google Scholar]
- Hindler, J.; Hochstein, L.; Howell, A. Preparation of routine media and reagents used in antimicrobial susceptibility testing. Part 1. McFarland standards. In Clinical Microbiology Procedures Handbook; Isenberg, H.D., Ed.; American Society for Microbiology: Washington, DC, USA, 1992; Volume 1, pp. 5.19.1–5.19.6. [Google Scholar]
Sample Availability: Samples of the compounds are available from the authors. |

| Bacteria | 1 | 2 | 3 | Ampicillin | Ciprofloxacin | Fluconazole |
|---|---|---|---|---|---|---|
| E. coli | 400 | 400 | 200 | 3.12 | 1.56 | - |
| S. aureus | 12.5 | 200 | 12.5 | 3.12 | 0.39 | - |
| E. faecalis | 12.5 | 200 | 12.5 | 1.56 | 0.78 | - |
| P. aerug | 400 | 800 | 400 | - | 3.12 | - |
| C. albicans | 200 | 12.5 | 200 | - | - | 3.12 |
| C. tropicalis | 200 | 12.5 | 200 | - | - | 3.12 |
© 2010 by the authors; licensee Molecular Diversity Preservation International, Basel, Switzerland. This article is an open-access article distributed under the terms and conditions of the Creative Commons Attribution license (http://creativecommons.org/licenses/by/3.0/).
Share and Cite
Özdemir, İ.; Temelli, N.; Günal, S.; Demir, S. Gold(I) Complexes of N-Heterocyclic Carbene Ligands Containing Benzimidazole: Synthesis and Antimicrobial Activity. Molecules 2010, 15, 2203-2210. https://doi.org/10.3390/molecules15042203
Özdemir İ, Temelli N, Günal S, Demir S. Gold(I) Complexes of N-Heterocyclic Carbene Ligands Containing Benzimidazole: Synthesis and Antimicrobial Activity. Molecules. 2010; 15(4):2203-2210. https://doi.org/10.3390/molecules15042203
Chicago/Turabian StyleÖzdemir, İlknur, Nazan Temelli, Selami Günal, and Serpil Demir. 2010. "Gold(I) Complexes of N-Heterocyclic Carbene Ligands Containing Benzimidazole: Synthesis and Antimicrobial Activity" Molecules 15, no. 4: 2203-2210. https://doi.org/10.3390/molecules15042203
APA StyleÖzdemir, İ., Temelli, N., Günal, S., & Demir, S. (2010). Gold(I) Complexes of N-Heterocyclic Carbene Ligands Containing Benzimidazole: Synthesis and Antimicrobial Activity. Molecules, 15(4), 2203-2210. https://doi.org/10.3390/molecules15042203
