A New Natural Ceramide from Trollius chinensis Bunge
Abstract
:Introduction
Results and Discussion
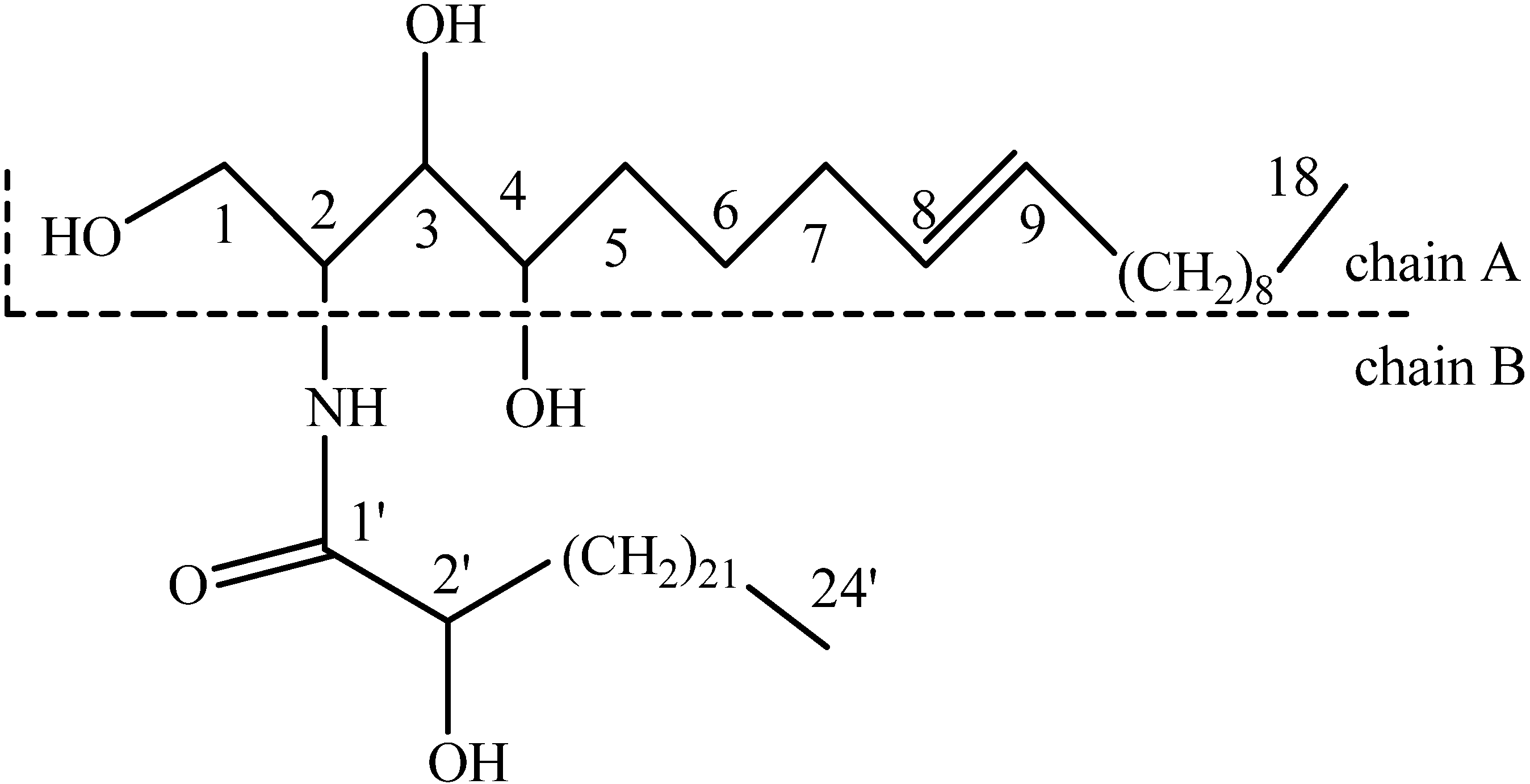
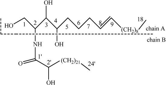
| No. | 1H a)δ, J in Hz | 13C b) δ |
|---|---|---|
| 1 | 4.48(1H, dd, 10.7, 6.7 )4.43(1H, dd, 10.7, 4.5) | 62.0 |
| 2 | 5.11(1H, m) | 52.9 |
| 3 | 4.61(1H, m) | 76.8 |
| 4 | 4.31(1H, m) | 72.9 |
| 5 | 2.00(2H, m) | 33.8 |
| 6 | 1.74(2H, m) | 26.7 |
| 7 | 2.16(2H, m) | 33.3 |
| 8 | 5.53(1H, m) | 130.8 |
| 9 | 5.53(1H, m) | 130.7 |
| 10 | 1.99(2H, m) | 33.0 |
| 11-15 | 1.30 -1.24 | 30.3-29.5 |
| 16 | 1.30 -1.24 | 32.1 |
| 17 | 1.30 -1.24 | 22.9 |
| 18 | 0.87(3H, t, 6.0) | 14.3 |
| 1ʹ | - | 175.2 |
| 2ʹ | 4.35(1H, m) | 72.4 |
| 3ʹ | 1.98(2H, m) | 35.7 |
| 4ʹ | 1.76(2H, m) | 25.8 |
| 5ʹ-21ʹ | 1.30-1.24 | 30.3-29.5 |
| 22ʹ | 1.30-1.24 | 32.1 |
| 23ʹ | 1.30-1.24 | 22.9 |
| 24ʹ | 0.87(3H, t, 6.0) | 14.3 |
| NH | 8.59(1H, d, 9.0) |

Experimental
General
Plant Material
Extraction and Isolation
Trolliamide
Conclusions
Acknowledgements
- Sample Availability: Sample of the compound 2-hydroxy-tetracosanoic acid(2,3-dihydroxy-1-hydroxymethyl-heptadec-7-enyl)-amide is available from the authors.
References and Notes
- Jiangsu New College of Medicine, Chinese Materia Medica Dictionary; Shanghai People’s Press: Shanghai, China, 1977; p. 1398.
- Kang, S.W.; Yu, Y.F.; Wang, P. Investigation on the constituents of Trollius chinensis. Zhong Cao Yao 1984, 15, 7–9. [Google Scholar]
- Li, Y.L.; Ma, S.C.; Yang, Y.T. Antiviral activities of flavonoids and organic acid from Trollius chinensis Bunge. J. Ethnopharmacol. 2002, 79, 365–368. [Google Scholar] [CrossRef]
- Lin, C.; Shen, W.Z.; Li, Y.L. Comparison of antibacterial activity of different extracts from Trollius chinensis Bunge. J. Zhejiang Univ. (Sci. Edition) 2001, 22, 54–55. [Google Scholar]
- Wang, R.F.; Yang, X.W.; Ma, C.M. A bioactive alkaloid from the flowers of Trollius chinensis. Heterocycles 2004, 63, 1443–1448. [Google Scholar] [CrossRef]
- Xiao, Z.Y.; Chen, D.H.; Si, J.Y. Investigation on the constituents of Memordica charantia. Zhong Cao Yao 2000, 31, 571–573. [Google Scholar]
- Ohnishi, M.; Ito, S.; Fujino, Y. Characterization of Sphingolipids in Spinach Leaves. Biochem. Biophys. Acta 1983, 75, 416–422. [Google Scholar]
© 2010 by the authors; licensee MDPI, Basel, Switzerland. This article is an open access article distributed under the terms and conditions of the Creative Commons Attribution license (http://creativecommons.org/licenses/by/3.0/).
Share and Cite
Wang, R.-F.; Liu, R.-N.; Zhang, T.; Wu, T. A New Natural Ceramide from Trollius chinensis Bunge. Molecules 2010, 15, 7467-7471. https://doi.org/10.3390/molecules15107467
Wang R-F, Liu R-N, Zhang T, Wu T. A New Natural Ceramide from Trollius chinensis Bunge. Molecules. 2010; 15(10):7467-7471. https://doi.org/10.3390/molecules15107467
Chicago/Turabian StyleWang, Ru-Feng, Rui-Ning Liu, Tong Zhang, and Tao Wu. 2010. "A New Natural Ceramide from Trollius chinensis Bunge" Molecules 15, no. 10: 7467-7471. https://doi.org/10.3390/molecules15107467
APA StyleWang, R.-F., Liu, R.-N., Zhang, T., & Wu, T. (2010). A New Natural Ceramide from Trollius chinensis Bunge. Molecules, 15(10), 7467-7471. https://doi.org/10.3390/molecules15107467
