The Anti-HIV Actions of 7- and 10-Substituted Camptothecins
Abstract
:1. Introduction
2. Results and Discussion
2.1. Cytotoxicities of Camptothecin and Its Derivates
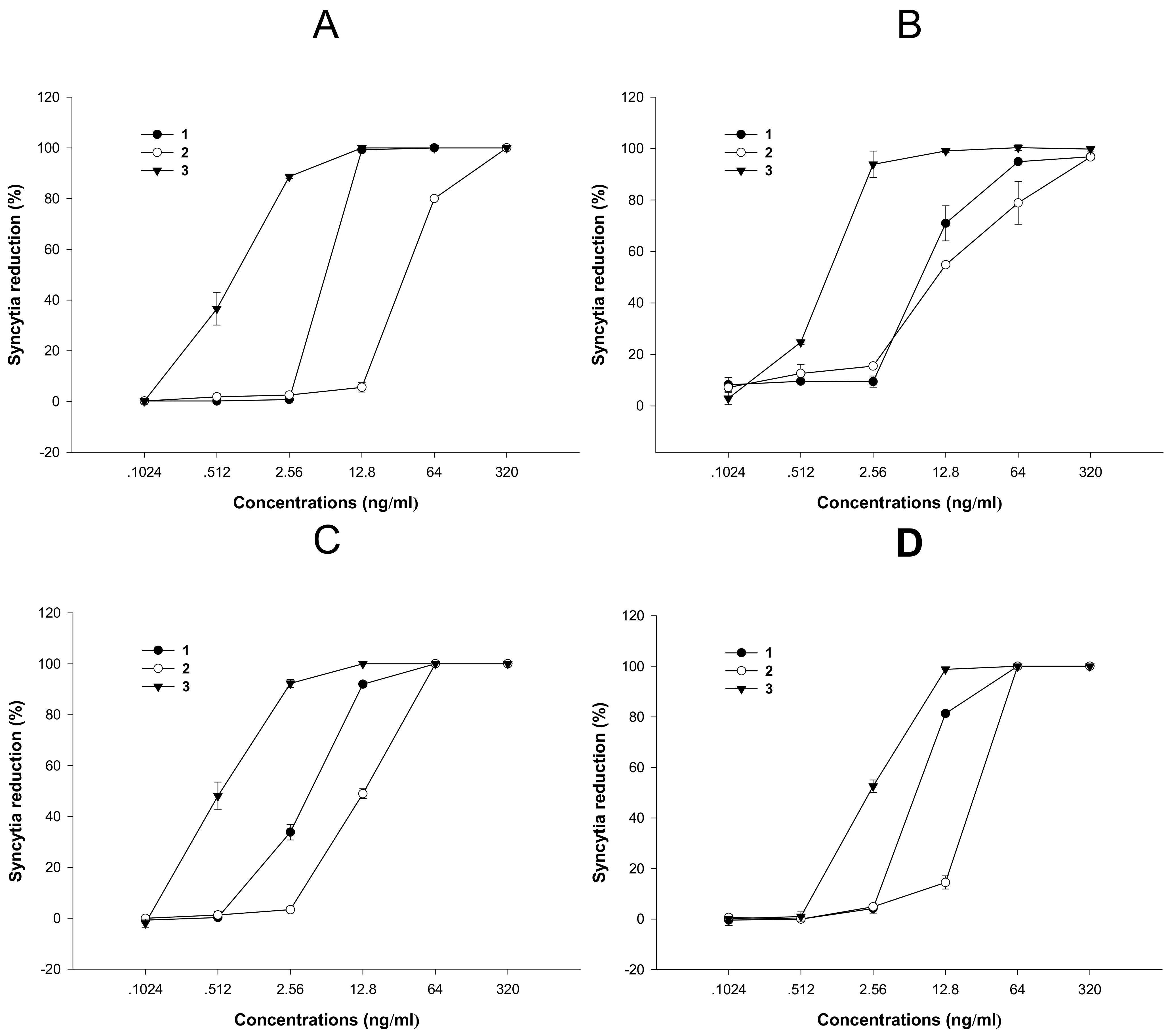
2.2. The Anti-HIV-1 Activities
2.3. Anti-HIV-2 Activities
2.4. Mechanistic Clarification of Antiviral Activities
2.5. Discussion
3. Experimental
3.1. Reagents
3.2. Chemistry
3.3. Cells and Virus
3.4. MTT-Based Cytotoxicity Assay
3.5. Syncytia Assay
3.6. Inhibition of HIV-1 p24 Antigen Production in PBMC
3.7. Inhibition of HIV-1 p24 Antigen Production in Chronically Infected Cells
3.8. Co-Cultivation Assay
3.9. Inhibition Assay of Recombinant HIV-1 RT Activity
3.10. Inhibition Assay of Recombinant HIV-1 Protease Activity
3.11. Binding Potency of the Compound to HIV-1 Integrase
4. Conclusions
Supplementary Materials
Supplementary File 1Acknowledgements
References
- Palella, F.J.; Delaney, K.M.; Moorman, A.C.; Loveless, M.O.; Fuhrer, J.; Satten, G.A.; Aschman, D.J.; Holmberg, S.D. Declining morbidity and mortality among patients with advanced human immunodeficiency virus infection. HIV Outpatient Study Investigators. N. Engl. J. Med. 1998, 338, 853–860. [Google Scholar] [CrossRef] [PubMed]
- Grant, R.M.; Hecht, F.M.; Warmerdam, M.; Liu, L.; Liegler, T.; Petropoulos, C.J.; Hellmann, N.S.; Chesney, M.; Busch, M.P.; Kahn, J.O. Time trends in primary HIV-1 drug resistance among recently infected persons. JAMA 2002, 288, 181–188. [Google Scholar] [CrossRef] [PubMed]
- Wall, M.E.; Wani, M.C.; Cook, C.E.; Palmer, K.H.; McPhail, A.T.; Sim, G.A. Plant antitumor agents. I. The isolation and structure of Camptothecin, a novel alkaloidal leukemia and tumor inhibitor from Camptotheca acuminata. J. Am. Chem. Soc. 1966, 88, 3888–3890. [Google Scholar]
- Sadaie, M.E.; Mayner, R.; Doniger, J. A novel approach to develop anti-HIV drugs: Adapting non-nucleoside anticancer chemotherapeutics. Antiviral. Res. 2004, 61, 1–18. [Google Scholar] [CrossRef] [PubMed]
- Hsiang, Y.H.; Hertzberg, R.; Hecht, S.; Liu, L.F. Camptothecin induces protein-linked DNA breaks via mammalian DNA topoisomerase I. J. Biol. Chem. 1985, 260, 14873–14878. [Google Scholar] [PubMed]
- Shao, R.G.; Cao, C.X.; Nieves-Neira, W.; Dimanche-Boitrel, M.T.; Solary, E.; Pommier, Y. Activation of the Fas pathway independently of Fas ligand during apoptosis induced by camptothecin in p53 mutant human colon carcinoma cells. Oncogene 2001, 20, 1852–1859. [Google Scholar] [CrossRef] [PubMed]
- Pantazis, P. Camptothecin: A promising antiretroviral drug. J. Biomed. Sci. 1996, 3, 14–19. [Google Scholar] [CrossRef] [PubMed]
- Sadaie, M.R.; Doniger, J.; Hung, C.L.; Pantazis, P. 9-nitrocamptothecin selectively inhibits human immunodeficiency virus type 1 replication in freshly infected parental but not 9-nitrocamptothecin-resistant U937 monocytoid cells. AIDS Res. Hum. Retrovirus. 1999, 15, 239–245. [Google Scholar] [CrossRef] [PubMed]
- Royal, W.; Dupont, B.; McGuire, D.; Chang, L.; Goodkin, K.; Ernst, T.; Post, M.J.; Fish, D.; Pailloux, G.; Poncelet, H.; Concha, M.; Apuzzo, L.; Singer, E. Topotecan in the treatment of acquired immunodeficiency syndrome-related progressive multifocal leukoencephalopathy. J. Neurovirology 2003, 9, 411–419. [Google Scholar] [CrossRef]
- Earp, L.J.; Delos, S.E.; Park, H.E.; White, J.M. The many mechanisms of viral membrane fusion proteins. Curr. Top. Microbiol. Immunol. 2005, 285, 25–66. [Google Scholar] [PubMed]
- Hung, C.L.; Doniger, J.; Palini, A.; Snyder, S.W.; Radonovich, M.F.; Brady, J.N.; Pantazis, P.; Sadaie, M.R. 9-nitrocamptothecin inhibits HIV-1 replication in human peripheral blood lymphocytes: A potential alternative for HIV-infection/AIDS therapy. J. Med. Virol. 2001, 64, 238–244. [Google Scholar] [CrossRef] [PubMed]
- Moulton, S.; Pantazis, P.; Epstein, J.S.; Sadaie, M.R. 9-Nitrocamptothecin inhibits tumor recrosis factor-mediated activation of human immunodeficiency virus type 1 and enhances apoptosis in a latently infected T cell clone. AIDS Res. Hum. Retroviruses 1998, 14, 39–49. [Google Scholar] [CrossRef] [PubMed]
- Wall, M.E.; Wani, M.C.; Nicholas, A.W.; Manikumar, G.; Tele, C.; Moore, L.; Truesdale, A.; Leitner, P.; Besterman, J.M. Plant antitumor agents. 30. Synthesis and structure activity of novel camptothecin analogs. J. Med. Chem. 1993, 36, 2689–2700. [Google Scholar] [PubMed]
- Sawada, S.; Nokata, K.; Furuta, T.; Yokokura, T.; Miyasaka, T. Chemical modification of an antitumor alkaloid camptothecin: synthesis and antitumor activity of 7-C-substituted camptothecins. Chem. Pharm. Bull. (Tokyo) 1991, 39, 2574–3580. [Google Scholar]
- Zhang, G.H.; Wang, Q.; Chen, J.J.; Zhang, X.M.; Tam, S.C.; Zheng, Y.T. The anti-HIV-1 effect of scutellarin. Biochem. Biophys. Res. Commun. 2005, 334, 812–816. [Google Scholar] [CrossRef] [PubMed]
- Zheng, Y.T.; Zhang, W.F.; Ben, K.L.; Wang, J.H. In vitro immunotoxicity and cytotoxicity of trichosanthin against human normal immunocytes and leukemia-lymphoma cells. Immunopharmacol. Immunotoxicol. 1995, 17, 69–79. [Google Scholar] [CrossRef] [PubMed]
- Wang, Q.; Ding, Z.H.; Liu, J.K.; Zheng, Y.T. Xanthohumol, a novel anti-HIV-1 agent purified from Hops Humulus lupulus. Antiviral. Res. 2004, 64, 189–194. [Google Scholar] [CrossRef]
- Wang, Y.H.; Wang, R.R.; Yang, L.M.; Li, J.F.; Xu, W.M.; Zheng, Y.T. Expression, purification of HIV-1 protease and the establishment of a method for protease inhibitor screening. Virol. Sin. 2006, 21, 126–130. [Google Scholar]
- Wang, Y.H.; Tang, J.G.; Wang, R.R.; Yang, L.M.; Dong, Z.J.; Du, L.; Shen, X.; Liu, J.K.; Zheng, Y.T. Flazinamide, a novel beta-carboline compound with anti-HIV actions. Biochem. Biophys. Res. Commun. 2007, 355, 1091–1095. [Google Scholar]
Sample Availability: Samples of the compounds CPT (1), 10-hydroxy-CPT (2) and 7-hydroxymethyl-CPT (3) are available from the authors. |




| Compounds | Cells | HIV strains or enzymes | Assays | EC50 b (ng/mL) | CC50 c (ng/mL) | TId |
|---|---|---|---|---|---|---|
| 1 | C8166 | HIV-1IIIB | Syncytia | 5.7 ± 0.1 | 137.8 ± 7.8 | 24.2 |
| HIV-2CBL-20 | Syncytia | 4.0 ± 0.3 | 34.5 | |||
| HIV-2ROD | Syncytia | 6.7 ± 0.1 | 20.6 | |||
| PBMC | HIV-1KM018 | p24 | 7.4 ± 1.1 | 75.9 ± 13.1 | 10.3 | |
| 2 | C8166 | HIV-1IIIB | Syncytia | 33.4 ± 0.3 | 140.9 ± 9.7 | 4.2 |
| HIV-2CBL-20 | Syncytia | 13.2 ± 1.0 | 10.7 | |||
| HIV-2ROD | Syncytia | 25.0 ± 0.9 | 5.6 | |||
| PBMC | HIV-1KM018 | p24 | 10.5 ± 0.4 | 36.3 ± 11.8 | 3.5 | |
| 3 | C8166 | HIV-1IIIB | Syncytia | 0.8 ± 0.2 | 158.5 ± 13.7 | 198.1 |
| HIV-2CBL-20 | Syncytia | 0.5 ± 0.1 | 317.0 | |||
| HIV-2ROD | Syncytia | 2.4 ± 0.2 | 66.0 | |||
| PBMC | HIV-1KM018 | p24 | 0.9 ± 0.1 | 60.0 ± 10.1 | 66.7 | |
| C8166 | HIV-1IIIB/H9 | Co-cultivation | > 2000 | |||
| H9/HIV-1IIIB | Reverse transcriptase | ELISA | > 17000 | |||
| - | Protease | Fluorescent | > 40000 | |||
| - | Integrase | BIAcore | 24570(Kd)e | |||
| - | Reverse transcriptase | ELISA | > 17000 | |||
| H9 H9/HIV-1IIIB Jurkat Jurkat/HIV-1IIIB | 18.2 ± 3.2 15.7 ± 2.6 24.4 ± 2.1 41.0 ± 7.0 | |||||
| AZT | C8166 | HIV-1IIIB | Syncytia | 3.0±0.3 | 1.12(mg/ml) | |
| PBMC | HIV-1KM018 | p24 | 2.4±0.3 | 0.45(mg/ml |
© 2010 by the authors; licensee Molecular Diversity Preservation International, Basel, Switzerland. This article is an open-access article distributed under the terms and conditions of the Creative Commons Attribution license (http://creativecommons.org/licenses/by/3.0/).
Share and Cite
Li, Y.-Y.; Chen, S.-W.; Yang, L.-M.; Wang, R.-R.; Pang, W.; Zheng, Y.-T. The Anti-HIV Actions of 7- and 10-Substituted Camptothecins. Molecules 2010, 15, 138-148. https://doi.org/10.3390/molecules15010138
Li Y-Y, Chen S-W, Yang L-M, Wang R-R, Pang W, Zheng Y-T. The Anti-HIV Actions of 7- and 10-Substituted Camptothecins. Molecules. 2010; 15(1):138-148. https://doi.org/10.3390/molecules15010138
Chicago/Turabian StyleLi, Yu-Ye, Shi-Wu Chen, Liu-Meng Yang, Rui-Rui Wang, Wei Pang, and Yong-Tang Zheng. 2010. "The Anti-HIV Actions of 7- and 10-Substituted Camptothecins" Molecules 15, no. 1: 138-148. https://doi.org/10.3390/molecules15010138
APA StyleLi, Y.-Y., Chen, S.-W., Yang, L.-M., Wang, R.-R., Pang, W., & Zheng, Y.-T. (2010). The Anti-HIV Actions of 7- and 10-Substituted Camptothecins. Molecules, 15(1), 138-148. https://doi.org/10.3390/molecules15010138

