On Two Novel Parameters for Validation of Predictive QSAR Models
Abstract
:1. Introduction
2. Materials and Methods
2.1. The data sets and descriptors
2.1.1. Data set I
2.1.2. Data set II
2.1.3. Data set III
2.2. Model development
2.3. Statistical methods
2.3.1. GFA
2.3.2. Validation parameters
2.3.2.1. Q2
2.3.2.2. R2pred
2.3.2.3. rm2
2.3.2.4. Rp2
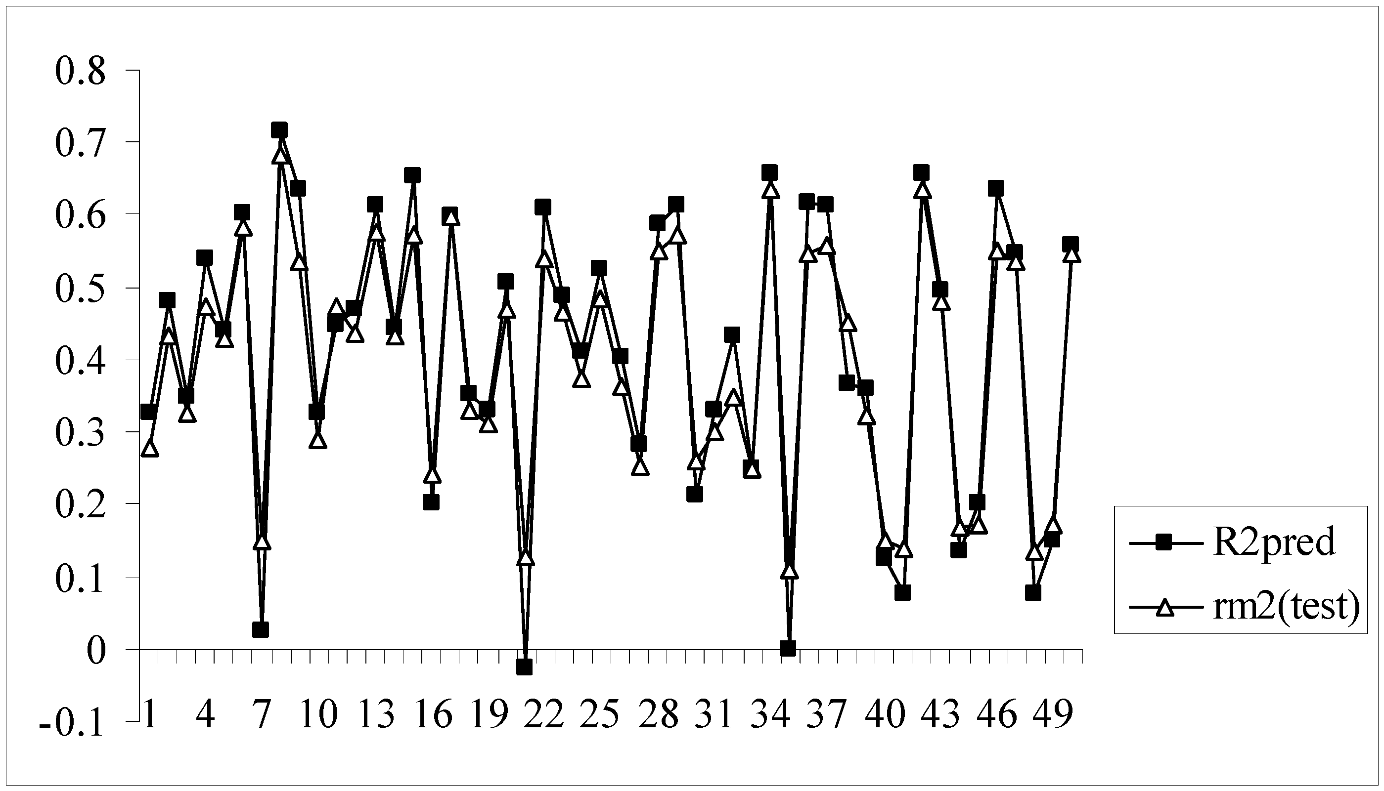
3. Results and Discussion
3.1. Data set I
3.2. Data set II
3.3. Data set III
3.4. Overview
4. Conclusions
Supplementary Files
Supplementary File 1Acknowledgements
References and Notes
- Zvinavashe, E.; Murk, A.J.; Rietjens, I.M.C.M. Promises and pitfalls of quantitative structure-activity relationship approaches for predicting metabolism and toxicity. Chem. Res. Toxicol. 2008, 21, 2229–2236. [Google Scholar] [CrossRef] [PubMed]
- Perkins, R.; Fang, H.; Tong, W.; Welsh, W.J. Quantitative structure-activity relationship methods: perspectives on drug discovery and toxicology. Environ. Toxicol. Chem. 2003, 22, 1666–1679. [Google Scholar] [CrossRef] [PubMed]
- Yang, G.F.; Huang, F. Development of Quantitative Structure-Activity Relationships and Its Application in Rational Drug Design. Curr. Pharm. Des. 2006, 12, 4601–4611. [Google Scholar] [CrossRef] [PubMed]
- Mazzatorta, P.; Benfenati, E.; Lorenzini, P.; Vighi, M. QSAR in ecotoxicity: an overview of modern classification techniques. J. Chem. Inf. Comput. Sci. 2004, 44, 105–112. [Google Scholar] [CrossRef] [PubMed]
- Konovalov, D.A.; Llewellyn, L.E.; Heyden, Y.V.; Coomans, D.J. Robust cross-validation of linear regression QSAR models. Chem. Inf. Model. 2008, 48, 2081–2094. [Google Scholar] [CrossRef] [PubMed]
- Tetko, I.V.; Sushko, I.; Pandey, A.K.; Zhu, H.; Tropsha, A.; Papa, E.; Oberg, T.; Todeschini, R.; Fourches, D.; Varnek, A. Critical assessment of QSAR models of environmental toxicity against Tetrahymena pyriformis: focusing on applicability domain and overfitting by variable selection. J. Chem. Inf. Model. 2008, 48, 1733–1746. [Google Scholar] [CrossRef] [PubMed]
- Golbraikh, A.; Tropsha, A. Beware of q2! J. Mol. Graphics Mod. 2002, 20, 269–276. [Google Scholar] [CrossRef]
- Tropsha, A.; Gramatica, P.; Gombar, V.K. The Importance of Being Earnest: Validation is the Absolute Essential for Successful Application and Interpretation of QSPR Models. QSAR Comb. Sci. 2003, 22, 69–77. [Google Scholar] [CrossRef]
- Tong, W.; Xie, Q.; Hong, H.; Shi, L.; Fang, H.; Perkins, R. Assessment of prediction confidence and domain extrapolation of two structure-activity relationship models for predicting estrogen receptor binding activity. Environ. Health Perspect. 2004, 112, 1249–1254. [Google Scholar] [PubMed]
- Aptula, A.O.; Jeliazkova, N.G.; Schultz, T.W.; Cronin, M.T.D. The better predictive model: High q2 for the training set or low root mean square error of prediction for the test set? QSAR Comb. Sci. 2005, 24, 385–396. [Google Scholar] [CrossRef]
- He, L.; Jurs, P.C. Assessing the reliability of a QSAR model’s predictions. J. Mol. Graphics Mod. 2005, 23, 503–523. [Google Scholar] [CrossRef] [PubMed]
- Ghafourian, T.; Cronin, M.T.D. The impact of variable selection on the modelling of oestrogenicity. SAR QSAR Environ. Res. 2005, 16, 171–190. [Google Scholar] [CrossRef] [PubMed]
- Roy, K.; Leonard, J.T. On selection of training and test sets for the development of predictive QSAR models. QSAR Comb. Sci. 2006, 25, 235–251. [Google Scholar]
- Kolossov, E.; Stanforth, R. The quality of QSAR models: problems and solutions. SAR and QSAR Environ. Res. 2007, 18, 89–100. [Google Scholar] [CrossRef] [PubMed]
- Roy, P.P.; Roy, K. On some aspects of variable selection for partial least squares regression models. QSAR Comb. Sci. 2008, 27, 302–313. [Google Scholar] [CrossRef]
- Roy, P.P.; Leonard, J.T.; Roy, K. Exploring the impact of the size of training sets for the development of predictive QSAR models. Chemom. Intell. Lab. Sys. 2008, 90, 31–42. [Google Scholar] [CrossRef]
- Schuurmann, G.; Ebert, R.U.; Chen, J.; Wang, B.; Kuhne, R. External validation and prediction employing the predictive squared correlation coefficient test set activity mean vs training set activity mean. J. Chem. Inf. Model. 2008, 48, 2140–2145. [Google Scholar] [CrossRef] [PubMed]
- Hawkins, D.M.; Kraker, J.J.; Basak, S.C.; Mills, D. QSPR checking and validation: a case study with hydroxy radical reaction rate constant. SAR and QSAR Environ. Res. 2008, 19, 525–539. [Google Scholar] [CrossRef] [PubMed]
- Benigni, R.; Bossa, C. Predictivity of QSAR. J. Chem. Inf. Model. 2008, 48, 971–980. [Google Scholar] [CrossRef] [PubMed]
- Wold, S.; Eriksson, L. Chemometrics Methods in Molecular Design; van de Waterbeemd, H., Ed.; VCH: Weinheim, Germany, 1995; pp. 309–318. [Google Scholar]
- Gramatica, P. Principles of QSAR models validation: internal and external. QSAR Comb. Sci. 2007, 26, 694–701. [Google Scholar] [CrossRef]
- Available online: http://ec.europa.eu/environment/chemicals/reach/reach_intro.htm accessed on 28 April 2009.
- Roy, K. On some aspects of validation of predictive QSAR models. Expert Opin. Drug Discov. 2007, 2, 1567–1577. [Google Scholar] [CrossRef] [PubMed]
- Hawkins, D.M.; Basak, S.C.; Mills, D. Assessing model fit by crossvalidation. J. Chem. Inf. Comput. Sci. 2003, 43, 579–586. [Google Scholar] [CrossRef] [PubMed]
- Hawkins, D.M. The problem of overfitting. J. Chem. Inf. Comput. Sci. 2003, 44, 1–12. [Google Scholar] [CrossRef] [PubMed]
- Novellino, E.; Fattorusso, C.; Greco, G. Use of comparative molecular field analysis and cluster analysis in series design. Pharm. Acta Helv. 1995, 70, 149–154. [Google Scholar] [CrossRef]
- Norinder, U. Single and domain variable selection in 3D QSAR applications. J. Chemom. 1996, 10, 95–105. [Google Scholar] [CrossRef]
- Kubinyi, H. A general view on similarity and QSAR studies. In Computer-Assisted Lead Finding and Optimization; van de Waterbeemd, H., Testa, B., Folkers, G., Eds.; VHChA and VCH: Basel, Weinheim, 1997; pp. 9–28. [Google Scholar]
- Kubinyi, H.; Hamprecht, F.A.; Mietzner, T. Three-dimensional quantitative similarity-activity relationships (3D QSiAR) from SEAL similarity matrices. J. Med. Chem. 1998, 41, 2553–2564. [Google Scholar] [CrossRef] [PubMed]
- Roy, K.; Roy, P.P. Comparative QSAR studies of CYP1A2 inhibitor flavonoids using 2D and 3D descriptors. Chem. Biol. Drug Des. 2008, 5, 370–382. [Google Scholar] [CrossRef] [PubMed]
- Roy, K.; Ghosh, G. QSTR with Extended Topochemical Atom (ETA) Indices. 10. Modeling of Toxicity of Organic Chemicals to Humans Using Different Chemometric Tools. Chem. Biol Drug Des. 2008, 5, 383–394. [Google Scholar] [CrossRef] [PubMed]
- Roy, K.; Paul, S. Exploring 2D and 3D QSARs of 2,4-diphenyl-1,3-oxazolines for ovicidal activity against Tetranychus urticae. QSAR Comb. Sci. 2008, 28, 406–425. [Google Scholar] [CrossRef]
- Dorn, C.P.; Finke, P.E.; Oates, B.; Budhu, R.J.; Mills, S.G.; MacCoss, M.; Malkowitz, L.; Springer, M.S.; Daugherty, B.L.; Gould, S.L.; DeMartino, J.A.; Siciliano, S.J.; Carella, A.; Carver, G.; Holmes, K.; Danzeisen, R.; Hazuda, D.; Kessler, J.; Lineberger, J.; Miller, M.; Schleif, W.A.; Emini, E.A. Antagonists of the human CCR5 receptor as anti-HIV-1 agents. Part 1: discovery and initial structure-activity relationships for 1-amino-2-phenyl-4-(piperidin-1-yl) butanes. Bioorg. Med. Chem. Lett. 2001, 11, 259–264. [Google Scholar] [CrossRef]
- Finke, P.E.; Meurer, L.C.; Oates, B.; Mills, S.G.; MacCoss, M.; Malkowitz, L.; Springer, M.S.; Daugherty, B.L.; Gould, S.L.; DeMartino, J.A.; Sicilino, S.J.; Carella, A.; Carver, G.; Holmes, K.; Danzeisen, R.; Hazuda, D.; Kessler, J.; Lineberger, J.; Miller, M.; Schleif, W.A.; Emini, E.A. Antagonists of the human CCR5 receptor as anti-HIV-1 agents. Part 2: structure-activity relationships for substituted 2-aryl-1-[N-(methyl)-N-(phenylsulfonyl) amino]-4-(piperidin-1-yl) butanes. Bioorg. Med. Chem. Lett. 2001, 11, 265–270. [Google Scholar] [CrossRef]
- Finke, P.E.; Meurer, L.C.; Oates, B.; Shah, S.K.; Loebach, J.L.; Mills, S.G.; MacCoss, M.; Castonguay, L.; Malkowitz, L.; Springer, M.S.; Gould, S.L.; DeMartino, J.L. Antagonists of the human CCR5 receptor as anti-HIV-1 agents. Part 3: a proposed pharmacophore model for 1-[N-(methyl)-N-(phenylsulfonyl) amino]-2-(phenyl)-4-[4-(substituted)piperidin-1-yl] butanes. Bioorg. Med. Chem. Lett. 2001, 11, 2469–2473. [Google Scholar] [CrossRef]
- Finke, P.E.; Oates, B.; Mills, S.G.; MacCoss, M.; Malkowitz, L.; Springer, M.S.; Gould, S.L.; DeMartino, J.A.; Carella, A.; Carver, G.; Holmes, K.; Danzeisen, R.; Hazuda, D.; Kessle, J.; Lineberger, J.; Miller, M.; Schleif, W.A.; Emini, E.A. Antagonists of the human CCR5 receptor as anti-HIV-1 agents. Part 4: synthesis and structure-activity relationships for 1-[N-(methyl)-N-(phenylsulfonyl)amino]-2-(phenyl)-4-(4-(N-(alkyl)-N-(benzyloxycarbonyl)amino)piperidin-1-yl)-butanes. Bioorg. Med. Chem. Lett. 2001, 11, 2475–2479. [Google Scholar] [CrossRef]
- Suzuki, J.; Tanji, I.; Ota, Y.; Toda, K.; Nakagawa, Y. QSAR of 2,4-diphenyl-1,3-oxazolines for ovicidal activity against the two-spotted spider mite Tetranychus urticae. J. Pestic. Sci. 2006, 31, 409–416. [Google Scholar] [CrossRef]
- Schultz, T.W.; Netzeva, T.I.; Cronin, M.T.D. Selection of data sets for QSARs: Analyses of Tetrahymena toxicity from aromatic compounds. SAR and QSAR Environ. Res. 2003, 14, 59–81. [Google Scholar] [CrossRef] [PubMed]
- Rogers, D.; Hopfinger, A. J. Application of genetic function approximation to quantitative structure-activity relationships and quantitative structure-property relationships. J. Chem. Inf. Comput. Sci. 1994, 34, 854–866. [Google Scholar] [CrossRef]
- Cerius2 Version 4.10. Accelrys Inc.: San Diego, CA, USA.
- Roy, K.; Ghosh, G. QSTR with extended topochemical atom (ETA) indices. 9. Comparative QSAR for the toxicity of diverse functional organic compounds to Chlorella vulgaris using chemometric tools. Chemosphere 2007, 70, 1–12. [Google Scholar] [CrossRef] [PubMed]
- Roy, K.; Ghosh, G. QSTR with extended topochemical atom (ETA) indices. 8. QSAR for the inhibition of substituted phenols on germination rate of Cucumis sativus using chemometric tools. QSAR Comb. Sci. 2006, 25, 846–859. [Google Scholar] [CrossRef]
- Eriksson, L.; Jaworska, J.; Worth, A.P.; Cronin, M.T.D.; McDowell, R.M.; Gramatica, R.P. Methods for reliability and uncertainty assessment and for applicability evaluations of classification and regression-based QSARs. Environ. Health Perspect. 2003, 111, 1361–1375. [Google Scholar] [CrossRef] [PubMed]
- Dougherty, E.R.; Barrera, J.; Brun, M.; Kim, S.; Cesar, R.M.; Chen, Y.; Bittner, M.; Trent, J.M. Inference from clustering with application to gene-expression microarrays. J. Comput. Biol. 2002, 9, 105–126. [Google Scholar] [CrossRef] [PubMed]
- Wu, W.; Walczak, B.; Massart, D.L.; Heuerding, S.; Erni, F.; Last, I.R.; Prebble, K.A. Artificial neural networks in classification of NIR spectral data: Design of the training set. Chemom. Intell. Lab. Syst. 1996, 33, 35–46. [Google Scholar] [CrossRef]
Sample availability: Not available. |














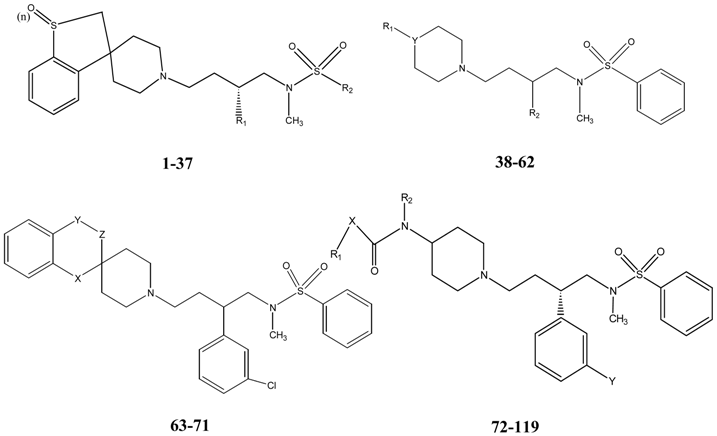
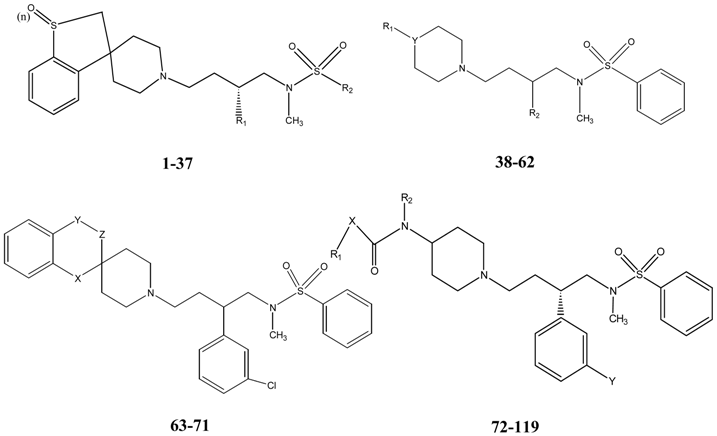
| Sl. No. | Structural Features | CCR5 binding affinity (-logIC50(mM)) | |||||
| Number of oxygen atoms (n) | R1 | R2 | Y | X | Y-Z | Observed [33,34,35,36] | |
| 1 | 0 | (S)-3,4-Cl2-phenyl | Phenyl | - | - | - | 3.000 |
| 2 | 1 | (S)-3,4-Cl2-phenyl | Phenyl | - | - | - | 4.456 |
| 3 | 2 | (S)-3,4-Cl2-phenyl | Phenyl | - | - | - | 4.000 |
| 4 | 1 | (S)-3,4-Cl2-phenyl | 2-Thienyl | - | - | - | 4.222 |
| 5 | 2 | (S)-3,4-Cl2-phenyl | 2-Thienyl | - | - | - | 3.921 |
| 6 | 1 | (S)-3,4-Cl2-phenyl | Dimethylamino | - | - | - | 3.469 |
| 7 | 1 | (S)-3,4-Cl2-phenyl | Benzyl | - | - | - | 3.229 |
| 8 | 1 | (S)-3,4-Cl2-phenyl | Methyl | - | - | - | 3.071 |
| 9 | 1 | (S)-3,4-Cl2-phenyl | n-Octyl | - | - | - | 2.854 |
| 10 | 1 | (S)-3,4-Cl2-phenyl | Cyclopentyl | - | - | - | 4.000 |
| 11 | 1 | (S)-3,4-Cl2-phenyl | Cyclohexyl | - | - | - | 4.000 |
| 12 | 1 | (S)-3,4-Cl2-phenyl | 2-Cl-phenyl | - | - | - | 4.097 |
| 13 | 1 | (S)-3,4-Cl2-phenyl | 3-Cl-phenyl | - | - | - | 4.155 |
| 14 | 1 | (S)-3,4-Cl2-phenyl | 4-Cl-phenyl | - | - | - | 4.398 |
| 15 | 2 | (S)-3,4-Cl2-phenyl | 3-NO2-phenyl | - | - | - | 3.824 |
| 16 | 2 | (S)-3,4-Cl2-phenyl | 4-NO2-phenyl | - | - | - | 4.222 |
| 17 | 1 | (S)-3,4-Cl2-phenyl | 4-MeO-phenyl | - | - | - | 4.398 |
| 18 | 1 | (S)-3,4-Cl2-phenyl | 4-Phenyl-phenyl | - | - | - | 4.398 |
| 19 | 1 | (S)-3,4-Cl2-phenyl | Naphth-1-yl | - | - | - | 3.444 |
| 20 | 1 | (S)-3,4-Cl2-phenyl | Naphth-2-yl | - | - | - | 4.222 |
| 21 | 1 | (S)-3,4-Cl2-phenyl | Indan-5-yl | - | - | - | 4.155 |
| 22 | 1 | (S)-3,4-Cl2-phenyl | Pyridin-3-yl | - | - | - | 4.000 |
| 23 | 1 | (S)-3,4-Cl2-phenyl | Quinolin-8-yl | - | - | - | 4.046 |
| 24 | 1 | (S)-3,4-Cl2-phenyl | Quinolin-3-yl | - | - | - | 3.921 |
| 25 | 1 | (S)-3,4-Cl2-phenyl | 1-Me-imidazol-4-yl | - | - | - | 3.469 |
| 26 | 0 | (R/S)-phenyl | Phenyl | - | - | - | 3.347 |
| 27 | 1 | (R/S)-phenyl | Phenyl | - | - | - | 4.456 |
| 28 | 2 | (R/S)-phenyl | Phenyl | - | - | - | 4.523 |
| 29 | 1 | (R/S)-2-Cl-phenyl | Phenyl | - | - | - | 2.699 |
| 30 | 2 | (R/S)-2-Cl-phenyl | Phenyl | - | - | - | 2.886 |
| 31 | 0 | (S)-3-Cl-phenyl | Phenyl | - | - | - | 3.569 |
| 32 | 1 | (S)-3-Cl-phenyl | Phenyl | - | - | - | 5.000 |
| 33 | 2 | (S)-3-Cl-phenyl | Phenyl | - | - | - | 4.824 |
| 34 | 1 | (S)-4-Cl-phenyl | Phenyl | - | - | - | 3.569 |
| 35 | 1 | (S)-4-F-phenyl | Phenyl | - | - | - | 3.244 |
| 36 | 1 | (R/S)-3,5- Cl2-phenyl | Phenyl | - | - | - | 4.046 |
| 37 | 2 | (R/S)-3,5- Cl2-phenyl | Phenyl | - | - | - | 3.959 |
| 38 | - | Phenyl | (R/S)-Phenyl | -CH- | - | - | 3.921 |
| 39 | - | Phenyl | (R/S)-2-Cl-phenyl | -CH- | - | - | 2.523 |
| 40 | - | Phenyl | (S)-3-Cl-phenyl | -CH- | - | - | 4.523 |
| 41 | - | Phenyl | (S)-4-F-phenyl | -CH- | - | - | 3.000 |
| 42 | - | Phenyl | (R/S)-3,5-Cl2-phenyl | -CH- | - | - | 3.523 |
| 43 | - | Phenyl | (R/S)-3-F-phenyl | -CH- | - | - | 4.000 |
| 44 | - | Phenyl | (R/S)-3-Me-phenyl | -CH- | - | - | 4.097 |
| 45 | - | Phenyl | (R/S)-3-Et-phenyl | -CH- | - | - | 3.959 |
| 46 | - | Phenyl | (R/S)-3-CF3-phenyl | -CH- | - | - | 3.301 |
| 47 | - | Phenyl | (R/S)-4-Me-phenyl | -CH- | - | - | 3.699 |
| 48 | - | Phenyl | (R/S)-3,5-Me2-phenyl | -CH- | - | - | 3.796 |
| 49 | - | Phenyl | (R/S)-3,4-F2-phenyl | -CH- | - | - | 3.244 |
| 50 | - | Phenyl | (R/S)-3,4-Me2-phenyl | -CH- | - | - | 4.222 |
| 51 | - | Phenyl | (R/S)-3-Me-4-F-phenyl | -CH- | - | - | 3.745 |
| 52 | - | Phenyl | (R/S)-3-F-4-Me-phenyl | -CH- | - | - | 3.959 |
| 53 | - | Phenyl | 3-Cl-phenyl | -N- | - | - | 3.155 |
| 54 | - | 2-Methyl-phenyl | 3-Cl-phenyl | -N- | - | - | 2.620 |
| 55 | - | 2-Methyl-phenyl | 3-Cl-phenyl | -CH- | - | - | 3.398 |
| 56 | - | 2-MeO-phenyl | 3-Cl-phenyl | -CH- | - | - | 4.155 |
| 57 | - | 3-CF3-phenyl | 3-Cl-phenyl | -CH- | - | - | 3.921 |
| 58 | - | 4-Cl-phenyl | 3-Cl-phenyl | -CH- | - | - | 3.699 |
| 59 | - | 4-F-phenyl | 3-Cl-phenyl | -CH- | - | - | 4.602 |
| 60 | - | Benzyl | 3-Cl-phenyl | -CH- | - | - | 3.602 |
| 61 | - | C6H5CH2CH2 | 3-Cl-phenyl | -CH- | - | - | 4.187 |
| 62 | - | C6H5CH2CH2CH2 | 3-Cl-phenyl | -CH- | - | - | 5.301 |
| 63 | - | - | - | - | -a | -CH2CH2- | 3.745 |
| 64 | - | - | - | - | -a | -NHCH2- | 4.301 |
| 65 | - | - | - | - | -a | -C(O)CH2- | 5.301 |
| 66 | - | - | - | - | -a | -C(O)NH- | 4.347 |
| 67 | - | - | - | - | -a | -C(O)N(Me) | 4.000 |
| 68 | - | - | - | - | -a | -C(O)NHCH2- | 4.456 |
| 69 | - | - | - | - | -a | -NHC(O)CH2- | 4.456 |
| 70 | - | - | - | - | -a | -CH(OH)CH2- | 4.000 |
| 71 | - | - | - | - | -CH2- | -O- | 3.585 |
| 72 | - | Me | H | H | O | - | 3.000 |
| 73 | - | t-Bu | H | H | O | - | 3.000 |
| 74 | - | t-Bu | Et | H | O | - | 4.523 |
| 75 | - | Me | Me | H | O | - | 3.824 |
| 76 | - | Me | Et | H | O | - | 4.398 |
| 77 | - | Me | n-Pr | H | O | - | 4.699 |
| 78 | - | Me | n-Bu | H | O | - | 4.824 |
| 79 | - | Me | n-C6H13 | H | O | - | 5.000 |
| 80 | - | Me | c-C6H11-CH2 | H | O | - | 5.222 |
| 81 | - | Me | Bn | H | O | - | 4.000 |
| 82 | - | Et | c-C6H11-CH2 | H | O | - | 4.456 |
| 83 | - | Bn | c-C6H11-CH2 | H | O | - | 3.097 |
| 84 | - | Et | Et | H | O | - | 4.398 |
| 85 | - | t-Bu | Et | H | O | - | 4.602 |
| 86 | - | c-C6H11-CH2 | Et | H | O | - | 4.824 |
| 87 | - | Ph | Et | H | O | - | 5.000 |
| 88 | - | Bn | Et | H | O | - | 5.699 |
| 89 | - | Bn | Et | Cl | O | - | 5.699 |
| 90 | - | Bn | Me | H | O | - | 5.301 |
| 91 | - | Bn | n-Pr | H | O | - | 5.699 |
| 92 | - | Bn | n-Pr | Cl | O | - | 5.398 |
| 93 | - | Bn | n-Bu | H | O | - | 5.301 |
| 94 | - | Bn | Allyl | H | O | - | 5.824 |
| 95 | - | 2-Me-C6H4-CH2 | n-Pr | H | O | - | 5.398 |
| 96 | - | 3-Me-C6H4-CH2 | n-Pr | H | O | - | 5.523 |
| 97 | - | 4-Me-C6H4-CH2 | n-Pr | H | O | - | 5.523 |
| 98 | - | 4-CF3-C6H4-CH2 | n-Pr | H | O | - | 5.222 |
| 99 | - | 4-NO2-C6H4-CH2 | n-Pr | H | O | - | 5.824 |
| 100 | - | 4-NO2-C6H4-CH2 | Allyl | H | O | - | 5.699 |
| 101 | - | 4-NO2-C6H4-CH2 | Allyl | Cl | O | - | 5.699 |
| 102 | - | 3-NH2COC6H4-CH2 | n-Pr | H | O | - | 6.097 |
| 103 | - | 4-NH2COC6H4-CH2 | n-Pr | H | O | - | 5.699 |
| 104 | - | 4-NH2COC6H4-CH2 | n-Pr | Cl | O | - | 5.523 |
| 105 | - | Bn | n-Pr | H | O | - | 5.699 |
| 106 | - | Me | H | H | NH | - | 3.000 |
| 107 | - | Me | Et | H | NH | - | 3.921 |
| 108 | - | Bn | H | H | NH | - | 4.000 |
| 109 | - | Bn | n-Pr | H | NH | - | 5.602 |
| 110 | - | Ph | n-Pr | H | NH | - | 5.398 |
| 111 | - | Bn | n-Pr | H | N-Me | - | 4.699 |
| 112 | - | (S)-α-Me-Bn | n-Pr | H | NH | - | 4.125 |
| 113 | - | 4-NO2-Bn | Allyl | H | NH | - | 6.125 |
| 114 | - | Me | Et | H | - | - | 3.921 |
| 115 | - | Ph | n-Pr | H | - | - | 4.000 |
| 116 | - | Bn | n-Pr | H | - | - | 5.523 |
| 117 | - | PhOCH2 | n-Pr | H | - | - | 5.398 |
| 118 | - | PhCH2CH2 | n-Pr | H | - | - | 4.699 |
| 119 | - | 4-NO2-Bn | Allyl | H | - | - | 5.699 |

| Sl. No. | Substitution (R) | Ovicidal activity |
| Observed [37] | ||
| 1 | H | 4.71 |
| 2 | 2-CH3 | 3.74 |
| 3 | 2-Et | 4.76 |
| 4 | 2-OCH3 | 3.76 |
| 5 | 2-OEt | 3.78 |
| 6 | 2-F | 4.74 |
| 7 | 2-Cl | 5.77 |
| 8 | 3-CH3 | 3.74 |
| 9 | 3-Et | 3.76 |
| 10 | 3-OCH3 | 4.76 |
| 11 | 3-OEt | 4.78 |
| 12 | 3-F | 4.74 |
| 13 | 3-Cl | 4.77 |
| 14 | 4-CH3 | 5.74 |
| 15 | 4-Et | 7.76 |
| 16 | 4-i-Pr | 7.78 |
| 17 | 4-n-Bu | 8.8 |
| 18 | 4-i-Bu | 8.8 |
| 19 | 4-t-Bu | 8.8 |
| 20 | 4-n-C6H13 | 8.84 |
| 21 | 4-n-C8H17 | 8.87 |
| 22 | 4-n-C10H21 | 8.9 |
| 23 | 4-n-C12H25 | 8.93 |
| 24 | 4-n-C15H31 | 7.97 |
| 25 | 4-OH | 3.74 |
| 26 | 4-OCH3 | 4.76 |
| 27 | 4-OEt | 7.78 |
| 28 | 4-O-iPr | 7.8 |
| 29 | 4-n-Bu | 8.82 |
| 30 | 4-O-n-C8H17 | 8.89 |
| 31 | 4-O-n-C10H21 | 8.92 |
| 32 | 4-O-n-C13H27 | 7.96 |
| 33 | 4-O-n-C14H29 | 6.97 |
| 34 | 4-OCF3 | 7.84 |
| 35 | 4-OCH2CF3 | 8.85 |
| 36 | 4-SCH3 | 5.79 |
| 37 | 4-S-i-Pr | 5.82 |
| 38 | 4-S-NC9H19 | 6.92 |
| 39 | 4-S(=O)CH3 | 3.81 |
| 40 | 4-SO2CH3 | 2.83 |
| 41 | 4-F | 5.74 |
| 42 | 4-Cl | 7.77 |
| 43 | 4-Br | 7.83 |
| 44 | 4-CF3 | 6.82 |
| 45 | 4-N(CH3)2 | 3.78 |
| 46 | 4-Si(CH3)3 | 8.82 |
| 47 | 2-CH3, 4-CH3 | 3.76 |
| 48 | 2-CH3, 4-n-C8H17 | 8.89 |
| 49 | 2-CH3, 4-Cl | 5.79 |
| 50 | 2-OCH3, 4-t-Bu | 7.84 |
| 51 | 2-OCH3, 4-n-C8H17 | 6.9 |
| 52 | 2-OCH3, 4-n-C9H19 | 7.92 |
| 53 | 2-OCH3, 4-n-C10H21 | 6.93 |
| 54 | 2-OCH3, 4-F | 5.79 |
| 55 | 2-OCH3, 4-Cl | 5.81 |
| 56 | 2-OEt, 4-i-Pr | 6.84 |
| 57 | 2-OEt, 4-t-Bu | 7.86 |
| 58 | 2-OEt, 4-n-C5H11 | 8.87 |
| 59 | 2-OEt, 4-F | 7.81 |
| 60 | 2-OEt, 4-Cl | 5.83 |
| 61 | 2-OEt, 4-Br | 5.88 |
| 62 | 2-O-n-Pr, 4-i-Pr | 8.86 |
| 63 | 2-O-n-Pr, 4-t-Bu | 7.87 |
| 64 | 2-O-n-Pr, 4-n-C5H11 | 7.89 |
| 65 | 2-O-n-Bu, 4-t-Bu | 6.89 |
| 66 | 2-O-n-Bu, 4-F | 8.84 |
| 67 | 2-O-n-Hex, 4-t-Bu | 5.92 |
| 68 | 2-F, 4-Et | 5.79 |
| 69 | 2-F, 4-n-C6H13 | 8.86 |
| 70 | 2-F, 4-n-C7H15 | 8.88 |
| 71 | 2-F, 4-n-C8H17 | 8.89 |
| 72 | 2-F, 4-n-C10H21 | 7.92 |
| 73 | 2-F, 4-n-C12H25 | 6.95 |
| 74 | 2-F, 4-F | 6.77 |
| 75 | 2-F, 4-Cl | 8.79 |
| 76 | 2-Cl, 4-Et | 7.81 |
| 77 | 2-Cl, 4-i-Bu | 8.84 |
| 78 | 2-Cl, 4-n-C6H13 | 8.88 |
| 79 | 2-Cl, 4-n-C8H17 | 8.91 |
| 80 | 2-Cl, 4-n-C10H21 | 5.94 |
| 81 | 2-Cl, 4-n-C12H25 | 5.97 |
| 82 | 2-Cl, 4-F | 5.79 |
| 83 | 2-Cl, 4-Cl | 6.82 |
| 84 | 3-CH3, 4-CH3 | 4.76 |
| 85 | 3-F, 4-n-C6H13 | 5.86 |
| 86 | 3-F, 4-F | 5.77 |
| 87 | 3-F, 4-Cl | 6.79 |
| 88 | 3-Cl, 4-n-C6H13 | 5.88 |
| 89 | 3-Cl, 4-F | 5.79 |
| 90 | 3-Cl, 4-Cl | 5.82 |
| Sl. No | Name | Toxicity [38] |
| 1 | 3-Aminobenzyl alcohol | -1.13 |
| 2 | 2-Aminobenzyl alcohol | -1.07 |
| 3 | Benzyl alcohol | -0.83 |
| 4 | 4-Hydroxyphenethyl alcohol | -0.83 |
| 5 | 4-Aminobenzyl cyanide | -0.76 |
| 6 | 2-Nitrobenzamide | -0.72 |
| 7 | 4-Hydroxy-3-methoxybenzyl alcohol | -0.7 |
| 8 | 2-Methoxyaniline | -0.69 |
| 9 | (sec)-Phenethyl alcohol | -0.66 |
| 10 | 1,3-Dihydroxybenzene | -0.65 |
| 11 | 1-Phenyl-2-propanol | -0.62 |
| 12 | Phenethyl alcohol | -0.59 |
| 13 | 2-Phenyl-2-propanol | -0.57 |
| 14 | 3-Amono-2-cresol | -0.55 |
| 15 | 2,4,6-tris-(Dimethylaminomethyl)phenol | -0.52 |
| 16 | 4-Methylbenzyl alcohol | -0.49 |
| 17 | Phenylacetic acid hydrazide | -0.48 |
| 18 | 3-Cyanoaniline | -0.47 |
| 19 | Acetophenone | -0.46 |
| 20 | 2-Methylbenzyl alcohol | -0.43 |
| 21 | (±)1-Phenyl-1-propanol | -0.43 |
| 22 | 2,3-Dimethylaniline | -0.43 |
| 23 | 2,6-Dimethylaniline | -0.43 |
| 24 | 2-Methyl-1-phenyl-2-propanol | -0.41 |
| 25 | N-Methylphenethylamine | -0.41 |
| 26 | 2-Phenyl-1-propanol | -0.4 |
| 27 | 3-Fluorobenzyl alcohol | -0.39 |
| 28 | 4-Hydroxybenzyl cyanide | -0.38 |
| 29 | 4-Cyanobenzamide | -0.38 |
| 30 | 2-Fluoroaniline | -0.37 |
| 31 | 3,5-Dimethylaniline | -0.36 |
| 32 | Benzyl cyanide | -0.36 |
| 33 | Phenol | -0.35 |
| 34 | 3-Methoxyphenol | -0.33 |
| 35 | 2,5-Dimethylaniline | -0.33 |
| 36 | 2-Methylphenol | -0.29 |
| 37 | 2,4-Dimethylaniline | -0.29 |
| 38 | 3-Methylaniline | -0.28 |
| 39 | β- Methylphenethylamine | -0.28 |
| 40 | 4-Methylphenethyl alcohol | -0.26 |
| 41 | Benzylamine | -0.24 |
| 42 | 2-Tolunitrile | -0.24 |
| 43 | 3-Methylbenzyl alcohol | -0.24 |
| 44 | Aniline | -0.23 |
| 45 | 2-Ethylaniline | -0.22 |
| 46 | 3-Nitrobenzyl alcohol | -0.22 |
| 47 | 3-Phenyl-1-propanol | -0.21 |
| 48 | Benzaldehyde | -0.2 |
| 49 | 2-Phenyl-3-butyn-2-ol | -0.18 |
| 50 | 1-Phenylethylamine | -0.18 |
| 51 | 2-Chloroaniline | -0.17 |
| 52 | 1-Phenyl-2-butanol | -0.16 |
| 53 | 3,4-Dimethylaniline | -0.16 |
| 54 | 2-Methylaniline | -0.16 |
| 55 | 4-Methylphenol | -0.16 |
| 56 | 3-Phenylpropionitrile | -0.16 |
| 57 | 3-Acetamidophenol | -0.16 |
| 58 | 4-Methoxyphenol | -0.14 |
| 59 | Phenetole | -0.14 |
| 60 | 3-Hydroxy-4-methoxybenzaldehyde | -0.14 |
| 61 | Chlorobenzene | -0.13 |
| 62 | Benzene | -0.12 |
| 63 | 2-Phenyl-1-butanol | -0.11 |
| 64 | Benzaldoxime | -0.11 |
| 65 | Anisole | -0.1 |
| 66 | 3-Fluoroaniline | -0.1 |
| 67 | 2,4,5-Trimethoxybenzaldehyde | -0.1 |
| 68 | (S±)-1-Phenyl-1-butanol | -0.09 |
| 69 | 3,5-Dimethoxyphenol | -0.09 |
| 70 | 3-Methylphenol | -0.08 |
| 71 | 3-Phenyl-2-propen-1-ol | -0.08 |
| 72 | α,α-Dimethylbenzenepropanol | -0.07 |
| 73 | Propiophenone | -0.07 |
| 74 | 2-Nitroanisole | -0.07 |
| 75 | 4-Methylaniline | -0.05 |
| 76 | 2,4,6-Trimethylaniline | -0.05 |
| 77 | 2-(4-Tolyl)-ethylamine | -0.04 |
| 78 | 3-Ethylaniline | -0.03 |
| 79 | 3-Methoxy-4-hydroxybenzaldehyde | -0.03 |
| 80 | 4-Hydroxy-3-methoxybenzonitrile | -0.03 |
| 81 | Ethyl phenylcyanoacetate | -0.02 |
| 82 | (R±)-1-Phenyl-1-butanol | -0.01 |
| 83 | 4-Methylbenzylamine | -0.01 |
| 84 | Thioacetanilide | -0.01 |
| 85 | 3-Phenyl-1-butanol | 0.01 |
| 86 | α-Methylbenzyl cyanide | 0.01 |
| 87 | 4-Ethoxyphenol | 0.01 |
| 88 | 3-Ethoxy-4-hydroxybenzaldehyde | 0.02 |
| 89 | 4-Fluorophenol | 0.02 |
| 90 | 4-Ethylaniline | 0.03 |
| 91 | 3-Nitroaniline | 0.03 |
| 92 | 4-Chloroaniline | 0.05 |
| 93 | (±)-2-Phenyl-2-butanol | 0.06 |
| 94 | Benzyl chloride | 0.06 |
| 95 | N-Methylaniline | 0.06 |
| 96 | 4-Ethylbenzyl alcohol | 0.07 |
| 97 | N-Ethylaniline | 0.07 |
| 98 | Bromobenzene | 0.08 |
| 99 | 2-Nitroaniline | 0.08 |
| 100 | 2-Propylaniline | 0.08 |
| 101 | 3-Hydroxybenzaldehyde | 0.08 |
| 102 | Thiobenzamide | 0.09 |
| 103 | 1-Fluoro-4-nitrobenzene | 0.1 |
| 104 | 2-Bromobenzyl alcohol | 0.1 |
| 105 | 4-Methoxybenzonitrile | 0.1 |
| 106 | 3,5-Dimethylphenol | 0.11 |
| 107 | 3-Nitrobenzaldehyde | 0.11 |
| 108 | 4-Phenyl-1-butanol | 0.12 |
| 109 | 4/-Hydroxypropiophenone | 0.12 |
| 110 | 2-iso-Propylaniline | 0.12 |
| 111 | 3,4-Dimethylphenol | 0.12 |
| 112 | 2,3-Dimethylphenol | 0.12 |
| 113 | 4-Chlororesorcinol | 0.13 |
| 114 | 2,4-Dimethylphenol | 0.14 |
| 115 | 2-(4-Chlorophenyl)-ethylamine | 0.14 |
| 116 | Nitrobenzene | 0.14 |
| 117 | 2,5-Dimethylphenol | 0.14 |
| 118 | 4-Phenylbutyronitrile | 0.15 |
| 119 | 3-Chlorobenzyl alcohol | 0.15 |
| 120 | 2-Anisaldehyde | 0.15 |
| 121 | 2-Ethylphenol | 0.16 |
| 122 | 4-Chlorobenzylamine | 0.16 |
| 123 | (±)-1-Phenyl-2-pentanol | 0.16 |
| 124 | Cinnamonitrile | 0.16 |
| 125 | 2-Nitrobenzaldehyde | 0.17 |
| 126 | Thioanisole | 0.18 |
| 127 | 2-Chloro-4-methylaniline | 0.18 |
| 128 | 4-iso-Propylbenzyl alcohol | 0.18 |
| 129 | Phenyl-1,3-dialdehyde | 0.18 |
| 130 | 2-Fluorophenol | 0.19 |
| 131 | 4-Nitrobenzaldehyde | 0.2 |
| 132 | 4-Ethylphenol | 0.21 |
| 133 | Butyrophenone | 0.21 |
| 134 | 4-iso-propylaniline | 0.22 |
| 135 | 3-Chloroaniline | 0.22 |
| 136 | 4-(Dimethylamino)-benzaldehyde | 0.23 |
| 137 | 3-Anisaldehyde | 0.23 |
| 138 | 1-Fluoro-2-nitrobenzene | 0.23 |
| 139 | 4-Xylene | 0.25 |
| 140 | Toluene | 0.25 |
| 141 | 4-Methylanisole | 0.25 |
| 142 | 4-Chlorobenzyl alcohol | 0.25 |
| 143 | 2,4-Dihydroxyacetophenone | 0.25 |
| 144 | 2-Nitrotoluene | 0.26 |
| 145 | Pentafluoroaniline | 0.26 |
| 146 | 2-Phenylpyridine | 0.27 |
| 147 | 3-Hydroxy-4-nitrobenzaldehyde | 0.27 |
| 148 | 2,3,6-Trimethylphenol | 0.28 |
| 149 | 3-Ethylphenol | 0.29 |
| 150 | 2,6-Diethylaniline | 0.31 |
| 151 | Methyl-4-methylaminobenzoate | 0.31 |
| 152 | Benzoyl cyanide | 0.31 |
| 153 | 4-Chlorophenethyl alcohol | 0.32 |
| 154 | 3/-Nitroacetophenone | 0.32 |
| 155 | 2-Allylphenol | 0.33 |
| 156 | 5-Hydroxy-2-nitrobenzaldehyde | 0.33 |
| 157 | 2-Bromophenol | 0.33 |
| 158 | 2,5-Difluoronitrobenzene | 0.33 |
| 159 | 4-Chloro-2-methylaniline | 0.35 |
| 160 | 2-Iodoaniline | 0.35 |
| 161 | 2,3,5-trimethylphenol | 0.36 |
| 162 | Iodobenzene | 0.36 |
| 163 | 4-(tert)-Butylaniline | 0.36 |
| 164 | 4-methyl-2-nitroaniline | 0.37 |
| 165 | 2-Amino-4-(tert)-butylphenol | 0.37 |
| 166 | 2-Benzylpyridine | 0.38 |
| 167 | 3-Chloro-2-methylaniline | 0.38 |
| 168 | 3-Chloro-4-methylaniline | 0.39 |
| 169 | Methyl-4-nitrobenzoate | 0.39 |
| 170 | 4-Chlorobenzaldehyde | 0.4 |
| 171 | 5-Phenyl-1-pentanol | 0.42 |
| 172 | (2-Bromoethyl)-benzene | 0.42 |
| 173 | 2,4,6-Trimethylphenol | 0.42 |
| 174 | 3-Nitrotoluene | 0.42 |
| 175 | 2-Hydroxybenzaldehyde | 0.42 |
| 176 | 1-Chloro-4-nitrobenzene | 0.43 |
| 177 | Dimethylnitroterephthalate | 0.43 |
| 178 | 2-Amino-5-chlorobenzonitrile | 0.44 |
| 179 | 3-Nitrobenzonitrile | 0.45 |
| 180 | 4-Bromotoluene | 0.47 |
| 181 | 3-Phenylpyridine | 0.47 |
| 182 | 4-iso-Propylphenol | 0.47 |
| 183 | 4-(tert)-Butylbenzyl alcohol | 0.48 |
| 184 | Benzhydrol | 0.5 |
| 185 | 5-Chloro-2-methylaniline | 0.5 |
| 186 | 3-Nitrophenol | 0.51 |
| 187 | 1,2-Dichlorobenzene | 0.53 |
| 188 | 2-Chloro-5-nitrobenzaldehyde | 0.53 |
| 189 | 4-Chlorophenol | 0.54 |
| 190 | Phenyl propargyl sulfide | 0.54 |
| 191 | 2-Chloro-5-methylphenol | 0.54 |
| 192 | 2-Hydroxy-4-methoxyacetophenone | 0.55 |
| 193 | 2,4-Dichloroaniline | 0.56 |
| 194 | 1,2-Dimethyl-3-nitrobenzene | 0.56 |
| 195 | Valerophenone | 0.56 |
| 196 | 4-Methyl-2-nitrophenol | 0.57 |
| 197 | 2,5-Dichloroaniline | 0.58 |
| 198 | trans-Methyl cinnamate | 0.58 |
| 199 | 1,2-Dimethyl-4-nitrobenzene | 0.59 |
| 200 | 5-Chloro-2-hydroxybenzamide | 0.59 |
| 201 | 5-Methyl-2-nitrophenol | 0.59 |
| 202 | 4-Chloroanisole | 0.6 |
| 203 | 2-Bromo-4-methylphenol | 0.6 |
| 204 | 4-Bromophenyl acetonitrile | 0.6 |
| 205 | 4-Butoxyaniline | 0.61 |
| 206 | 4-sec-Butylaniline | 0.61 |
| 207 | 3-iso-Propylphenol | 0.61 |
| 208 | 2-iso-Propylphenol | 0.61 |
| 209 | 3-Methyl-2-nitrophenol | 0.61 |
| 210 | 4-Hydroxy-3-nitrobenzaldehyde | 0.61 |
| 211 | 5-Bromovanillin | 0.62 |
| 212 | α,α,α-Trifluoro-4-cresol | 0.62 |
| 213 | 4-Benzylpyridine | 0.63 |
| 214 | 4-Propylphenol | 0.64 |
| 215 | Benzylidine malononitrile | 0.64 |
| 216 | 4-Nitrotoluene | 0.65 |
| 217 | 3-Iodoaniline | 0.65 |
| 218 | Benzyl methacrylate | 0.65 |
| 219 | 4-Chlorobenzylcyanide | 0.66 |
| 220 | 2-Methyl-5-nitrophenol | 0.66 |
| 221 | 2-Nitroresorcinol | 0.66 |
| 222 | 1-Bromo-4-ethylbenzene | 0.67 |
| 223 | 4-iso-Propylbenzaldehyde | 0.67 |
| 224 | 2-Nitrophenol | 0.67 |
| 225 | 1,4-Dibromobenzene | 0.68 |
| 226 | 2-Chloro-6-nitrotoluene | 0.68 |
| 227 | 1-Chloro-2-nitrobenzene | 0.68 |
| 228 | 4-Bromophenol | 0.68 |
| 229 | 4-Benzoylaniline | 0.68 |
| 230 | iso-Propylbenzene | 0.69 |
| 231 | 2-Chloro-4,5-dimethylphenol | 0.69 |
| 232 | 4-Butoxyphenol | 0.7 |
| 233 | 4-Chloro-2-methylphenol | 0.7 |
| 234 | 3,5-Dichloroaniline | 0.71 |
| 235 | 2-Hydroxy-4,5-dimethylacetophenone | 0.71 |
| 236 | Ethyl-4-nitrobenzoate | 0.71 |
| 237 | 3-Nitroanisole | 0.72 |
| 238 | 2,4-Dinitroaniline | 0.72 |
| 239 | 1-Chloro-3-nitrobenzene | 0.73 |
| 240 | 2,6-Dichlorophenol | 0.73 |
| 241 | 3-tert-Butylphenol | 0.74 |
| 242 | 1,1-Diphenyl-2-propanol | 0.75 |
| 243 | 2-Chloro-4-nitroaniline | 0.75 |
| 244 | 1-Bromo-2-nitrobenzene | 0.75 |
| 245 | 2-Methoxy-4-propenylphenol | 0.75 |
| 246 | 2-Chloromethyl-4-nitrophenol | 0.75 |
| 247 | 4,5-Difluoro-2-nitroaniline | 0.75 |
| 248 | 2,6-Diisopropylaniline | 0.76 |
| 249 | 3-Chloro-5-methoxyphenol | 0.76 |
| 250 | 4-Ethoxy-2-nitroaniline | 0.76 |
| 251 | 1,3-Dinitrobenzene | 0.76 |
| 252 | α,α,α-4-Tetrafluoro-3-touidine | 0.77 |
| 253 | Ethyl-4-methoxybenzoate | 0.77 |
| 254 | (±)-1,2-Diphenyl-2-propanol | 0.8 |
| 255 | 4-Chloro-3-methylphenol | 0.8 |
| 256 | 3-Chloro-4-fluoronitrobenzene | 0.8 |
| 257 | Methyl-2,5-dichlorobenzoate | 0.81 |
| 258 | 4-Chloro-2-nitrotoluene | 0.82 |
| 259 | Pentafluorobenzaldehyde | 0.82 |
| 260 | 4-Bromophenyl-3-pyridyl ketone | 0.82 |
| 261 | Methyl-4-chloro-2-nitrobenzoate | 0.82 |
| 262 | 4-Nitrophenetole | 0.83 |
| 263 | 2,6-Dinitrophenol | 0.83 |
| 264 | 2,6-Dinitroaniline | 0.84 |
| 265 | 4-Iodophenol | 0.85 |
| 266 | 1,3,5-Trimethyl-2-nitrobenzene | 0.86 |
| 267 | 6-Phenyl-1-hexanol | 0.87 |
| 268 | 3-Chlorophenol | 0.87 |
| 269 | Benzophenone | 0.87 |
| 270 | 1,3,5-Trichlorobenzene | 0.87 |
| 271 | 2,4-Dinitrotoluene | 0.87 |
| 272 | 4-(tert)-Butylphenol | 0.91 |
| 273 | 4-Biphenylmethanol | 0.92 |
| 274 | 3,4,5-Trimethylphenol | 0.93 |
| 275 | 2,2/,4,4/-Tetrahydroxybenzophenone | 0.96 |
| 276 | 4-Pentyloxyaniline | 0.97 |
| 277 | 2,4-Dichloronitrobenzene | 0.99 |
| 278 | (trans)-Ethyl cinnamate | 0.99 |
| 279 | 4-Benzoylphenol | 1.02 |
| 280 | 1-Bromo-3-nitrobenzene | 1.03 |
| 281 | 2,4-Dichlorophenol | 1.04 |
| 282 | 2,5-Dinitrophenol | 1.04 |
| 283 | 2,4-Dichlorobenzaldehyde | 1.04 |
| 284 | Biphenyl | 1.05 |
| 285 | 2,4-Dinitrophenol | 1.06 |
| 286 | 4-Butylaniline | 1.07 |
| 287 | 3,4-Dichlorotoluene | 1.07 |
| 288 | 2,3-Dichloronitrobenzene | 1.07 |
| 289 | Benzyl-4-hydroxylphenyl ketone | 1.07 |
| 290 | 1,2,4-Trichlorobenzene | 1.08 |
| 291 | 4-Chloro-3-ethylphenol | 1.08 |
| 292 | 1-Fluoro-3-iodo-5-nitrobenzene | 1.09 |
| 293 | Resorcinol monobenzoate | 1.11 |
| 294 | 6-Chloro-2,4-dinitroaniline | 1.12 |
| 295 | 4-Biphenylcarboxaldehyde | 1.12 |
| 296 | 3,5-Dichloronitrobenzene | 1.13 |
| 297 | 2,5-Dichloronitrobenzene | 1.13 |
| 298 | 2-Bromo-5-nitrotoluene | 1.16 |
| 299 | 3,4-Dichloronitrobenzene | 1.16 |
| 300 | 6-tert-butyl-2,4-dimethylphenol | 1.16 |
| 301 | 4-Bromo-2,6-dimethylphenol | 1.16 |
| 302 | 2,2/-Dihydroxybenzophenone | 1.16 |
| 303 | 3,5-Dibromo-4-hydroxybenzonitrile | 1.16 |
| 304 | 4-(Pentyloxy)-benzaldehyde | 1.18 |
| 305 | 4-Nitrobenzyl chloride | 1.18 |
| 306 | Hexanophenone | 1.19 |
| 307 | 4-Chloro-3,5-dimethylphenol | 1.2 |
| 308 | 4-tert-Pentylphenol | 1.23 |
| 309 | n-Propyl cinnamate | 1.23 |
| 310 | 2-Bromo-4,6-dinitroaniline | 1.24 |
| 311 | n-Butylbenzene | 1.25 |
| 312 | 1,2-Dinitrobenzene | 1.25 |
| 313 | 4-Bromobenzophenone | 1.26 |
| 314 | 2,4-Dichloro-6-nitroaniline | 1.26 |
| 315 | 4-Phenoxybenzaldehyde | 1.26 |
| 316 | 4-Chloro-3-nitrophenol | 1.27 |
| 317 | 4-Bromo-6-chloro-2-cresol | 1.28 |
| 318 | 2,4,5-Trichloroaniline | 1.3 |
| 319 | 1,4-Dinitrobenzene | 1.3 |
| 320 | 2-Nitrobiphenyl | 1.3 |
| 321 | 5-Pentylresorcinol | 1.31 |
| 322 | Ethyl-4-bromobenzoate | 1.33 |
| 323 | 2/,3/,4/-Trichloroacetophenone | 1.34 |
| 324 | Phenyl benzoate | 1.35 |
| 325 | Phenyl-4-hydroxybenzoate | 1.37 |
| 326 | 2,5-Dibromonitrobenzene | 1.37 |
| 327 | 4-Hexyloxyaniline | 1.38 |
| 328 | 2,4-Dibromophenol | 1.4 |
| 329 | 2,4,6-Trichlorophenol | 1.41 |
| 330 | Phenyl isothiocyanate | 1.41 |
| 331 | 2-Hydroxy-4-methoxybenzophenone | 1.42 |
| 332 | 1,3,5-Trichloro-2-nitrobenzene | 1.43 |
| 333 | Benzyl benzoate | 1.45 |
| 334 | iso-Amyl-4-hydroxybenzoate | 1.48 |
| 335 | 2,5-Diphenyl-1,4-benzoquinone | 1.48 |
| 336 | 4-Chlorobenzophenone | 1.5 |
| 337 | 1,2,3-Trichloro-4-nitrobenzene | 1.51 |
| 338 | 1,2,4-Trichloro-5-nitrobenzene | 1.53 |
| 339 | n-Butyl cinnamate | 1.53 |
| 340 | 3-Chlorobenzophenone | 1.55 |
| 341 | 3,5-Dichlorosalicylaldehyde | 1.55 |
| 342 | Heptanophenone | 1.56 |
| 343 | 3,5-Dichlorophenol | 1.56 |
| 344 | 4-Nitrophenyl phenyl ether | 1.58 |
| 345 | 2,4-Dibromo-6-nitroaniline | 1.62 |
| 346 | 4-Chloro-6-nitro-3-cresol | 1.63 |
| 347 | Pentafluorophenol | 1.63 |
| 348 | 3,5-Di-tert-butylphenol | 1.64 |
| 349 | 3,5-Dibromosalicylaldehyde | 1.65 |
| 350 | 3-Trifluoromethyl-4-nitrophenol | 1.65 |
| 351 | 4,5-Dichloro-2-nitroaniline | 1.66 |
| 352 | 2,4-Dinitro-1-fluorobenzene | 1.71 |
| 353 | 2-(Benzylthio)-3-nitropyridine | 1.72 |
| 354 | 4,6-Dinitro-2-methylphenol | 1.73 |
| 355 | 2,4-Dichloro-6-nitrophenol | 1.75 |
| 356 | 2,3,5,6-Tetrachloroaniline | 1.76 |
| 357 | 4-Bromo-2,6-dichlorophenol | 1.78 |
| 358 | 2,3,4,5-Tetrachloronitrobenzene | 1.78 |
| 359 | n -Amylbenzene | 1.79 |
| 360 | 4-Hexylresorcinol | 1.8 |
| 361 | 4-(tert)-Butyl-2,6-dinitrophenol | 1.8 |
| 362 | 2,6-Diiodo-4-nitrophenol | 1.81 |
| 363 | 2,3,5,6- Tetrachloronitrobenzene | 1.82 |
| 364 | 2,3,4,6- Tetrachloronitrobenzene | 1.87 |
| 365 | Octanophenone | 1.89 |
| 366 | 1,2,3-Trifluoro-4-nitrobenzene | 1.89 |
| 367 | 2,4,6-Tribromophenol | 1.91 |
| 368 | 2,3,4,5-Tetrachloroaniline | 1.96 |
| 369 | 4-Ethylbiphenyl | 1.97 |
| 370 | 1,2,4,5-Tetrachlorobenzene | 2 |
| 371 | Pentachlorophenol | 2.07 |
| 372 | 2,4,5-Trichlorophenol | 2.1 |
| 373 | 2,4-Dinitro-1-iodobenzene | 2.12 |
| 374 | 1-Chloro-2,4-dinitrobenzene | 2.16 |
| 375 | 2,3,4,6-Tetrachlorophenol | 2.18 |
| 376 | 1,3,5-Trichloro-2,4-dinitrobenzene hemihydrate | 2.19 |
| 377 | 1,2-Dichloro-4,5-dinitrobenzene | 2.21 |
| 378 | 1,5-Dichloro-2,3-dinitrobenzene | 2.42 |
| 379 | Nonylphenol | 2.47 |
| 380 | 3,4,5,6-Tetrabromo-2-cresol | 2.57 |
| 381 | 1,3-Dinitro-2,4,5-trichlorobenzene | 2.60 |
| 382 | Pentabromophenol | 2.66 |
| 383 | 2,3,4,5-Tetrachlorophenol | 2.72 |
| 384 | 1,4-Dinitrotetrachlorobenzene | 2.82 |
| Trial No. | No. of predictor variables | LOF | R2 | Q2 | R2pred | rm2(LOO) | rm2(test) | rm2 (overall) | rm2(overall)(adjusted) | Rr2 | Rp2 |
| 01 | 4 | 0.276 | 0.677 | 0.642 | 0.329 | 0.466 | 0.313 | 0.444 | 0.418 | 0.143 | 0.495 |
| 02 | 2 | 0.336 | 0.596 | 0.569 | 0.358 | 0.378 | 0.348 | 0.383 | 0.369 | 0.098 | 0.421 |
| 03 | 3 | 0.380 | 0.552 | 0.511 | 0.595* | 0.367 | 0.566 | 0.400 | 0.379 | 0.118 | 0.364 |
| 04 | 4 | 0.349 | 0.621 | 0.569 | 0.438 | 0.409 | 0.391 | 0.407 | 0.379 | 0.108 | 0.445 |
| 05 | 4 | 0.323 | 0.634 | 0.567 | 0.367 | 0.407 | 0.339 | 0.402 | 0.374 | 0.078 | 0.473 |
| 06 | 2 | 0.357 | 0.542 | 0.511 | 0.542 | 0.366 | 0.508 | 0.399 | 0.385 | 0.116 | 0.354 |
| 07 | 3 | 0.351 | 0.597 | 0.560 | 0.436 | 0.402 | 0.466 | 0.416 | 0.395 | 0.100 | 0.421 |
| 08 | 4 | 0.304 | 0.660 | 0.620 | 0.346 | 0.414 | 0.303 | 0.400 | 0.371 | 0.117 | 0.486 |
| 09 | 3 | 0.256 | 0.697 | 0.675 | 0.080 | 0.494 | 0.142 | 0.417 | 0.396 | 0.102 | 0.538 |
| 10 | 4 | 0.347 | 0.596 | 0.549 | 0.530 | 0.394 | 0.509 | 0.431 | 0.404 | 0.087 | 0.425 |
| 11 | 3 | 0.359 | 0.567 | 0.519 | 0.556 | 0.372 | 0.506 | 0.407 | 0.386 | 0.102 | 0.387 |
| 12 | 3 | 0.294 | 0.663 | 0.632 | 0.117 | 0.458 | 0.133 | 0.405 | 0.384 | 0.138 | 0.480 |
| 13 | 4 | 0.273 | 0.678 | 0.640 | 0.326 | 0.463 | 0.324 | 0.441 | 0.414 | 0.089 | 0.520 |
| 14 | 3 | 0.345 | 0.604 | 0.568 | 0.390 | 0.408 | 0.364 | 0.410 | 0.389 | 0.176 | 0.395 |
| 15 | 3 | 0.369 | 0.558 | 0.502 | 0.523 | 0.360 | 0.500 | 0.386 | 0.364 | 0.130 | 0.365 |
| 16 | 3 | 0.318 | 0.627 | 0.584 | 0.282 | 0.401 | 0.310 | 0.373 | 0.351 | 0.126 | 0.444 |
| 17 | 4 | 0.330 | 0.622 | 0.562 | 0.462 | 0.405 | 0.445 | 0.417 | 0.389 | 0.100 | 0.449 |
| 18 | 4 | 0.370 | 0.581 | 0.531 | 0.542 | 0.381 | 0.529 | 0.415 | 0.387 | 0.091 | 0.407 |
| 19 | 4 | 0.346 | 0.615 | 0.564 | 0.447 | 0.406 | 0.427 | 0.411 | 0.383 | 0.111 | 0.437 |
| 20 | 3 | 0.289 | 0.657 | 0.625 | 0.301 | 0.452 | 0.268 | 0.420 | 0.400 | 0.108 | 0.487 |
| 21 | 3 | 0.299 | 0.648 | 0.614 | 0.254 | 0.443 | 0.241 | 0.412 | 0.391 | 0.124 | 0.469 |
| 22 | 3 | 0.324 | 0.610 | 0.573 | 0.426 | 0.410 | 0.426 | 0.418 | 0.397 | 0.143 | 0.417 |
| 23 | 3 | 0.347 | 0.581 | 0.519 | 0.471 | 0.373 | 0.440 | 0.398 | 0.377 | 0.116 | 0.396 |
| 24 | 4 | 0.290 | 0.673 | 0.636 | 0.238 | 0.461 | 0.254 | 0.425 | 0.398 | 0.092 | 0.513 |
| 25 | 3 | 0.313 | 0.622 | 0.591 | 0.343 | 0.425 | 0.324 | 0.411 | 0.390 | 0.122 | 0.440 |
| 26 | 4 | 0.257 | 0.686 | 0.645 | 0.233 | 0.467 | 0.179 | 0.405 | 0.377 | 0.108 | 0.521 |
| 27 | 4 | 0.299 | 0.659 | 0.615 | 0.212 | 0.445 | 0.219 | 0.404 | 0.376 | 0.095 | 0.495 |
| 28 | 4 | 0.342 | 0.603 | 0.558 | 0.497 | 0.369 | 0.468 | 0.396 | 0.367 | 0.122 | 0.418 |
| 29 | 4 | 0.385 | 0.593 | 0.536 | 0.544 | 0.386 | 0.474 | 0.399 | 0.370 | 0.118 | 0.409 |
| 30 | 4 | 0.324 | 0.627 | 0.580 | 0.394 | 0.418 | 0.361 | 0.414 | 0.386 | 0.095 | 0.457 |
| 31 | 4 | 0.353 | 0.592 | 0.544 | 0.286 | 0.389 | 0.260 | 0.368 | 0.338 | 0.111 | 0.411 |
| 32 | 3 | 0.314 | 0.636 | 0.602 | 0.264 | 0.434 | 0.272 | 0.411 | 0.390 | 0.113 | 0.460 |
| 33 | 5 | 0.295 | 0.685 | 0.644 | 0.179 | 0.468 | 0.201 | 0.413 | 0.378 | 0.106 | 0.521 |
| 34 | 2 | 0.271 | 0.652 | 0.629 | 0.263 | 0.454 | 0.244 | 0.415 | 0.401 | 0.132 | 0.470 |
| 35 | 4 | 0.340 | 0.615 | 0.566 | 0.303 | 0.406 | 0.273 | 0.387 | 0.358 | 0.088 | 0.447 |
| 36 | 4 | 0.335 | 0.641 | 0.604 | 0.286 | 0.436 | 0.321 | 0.425 | 0.398 | 0.096 | 0.473 |
| 37 | 3 | 0.341 | 0.585 | 0.547 | 0.517 | 0.392 | 0.503 | 0.413 | 0.392 | 0.095 | 0.409 |
| 38 | 3 | 0.279 | 0.659 | 0.628 | 0.253 | 0.454 | 0.266 | 0.419 | 0.398 | 0.166 | 0.463 |
| 39 | 4 | 0.210 | 0.731 | 0.701* | 0.240 | 0.517 | 0.285 | 0.452* | 0.426 | 0.135 | 0.564 |
| 40 | 3 | 0.302 | 0.630 | 0.597 | 0.359 | 0.429 | 0.367 | 0.422 | 0.402 | 0.158 | 0.433 |
| 41 | 3 | 0.380 | 0.558 | 0.510 | 0.565 | 0.367 | 0.542 | 0.399 | 0.378 | 0.107 | 0.375 |
| 42 | 3 | 0.404 | 0.557 | 0.517 | 0.595* | 0.374 | 0.578 | 0.403 | 0.382 | 0.106 | 0.374 |
| 43 | 3 | 0.285 | 0.632 | 0.585 | 0.284 | 0.420 | 0.282 | 0.396 | 0.375 | 0.134 | 0.446 |
| 44 | 4 | 0.337 | 0.611 | 0.565 | 0.424 | 0.405 | 0.453 | 0.421 | 0.393 | 0.137 | 0.421 |
| 45 | 3 | 0.360 | 0.602 | 0.567 | 0.320 | 0.408 | 0.299 | 0.398 | 0.377 | 0.094 | 0.429 |
| 46 | 6 | 0.302 | 0.697 | 0.646 | 0.239 | 0.471 | 0.262 | 0.431 | 0.389 | 0.076 | 0.549 |
| 47 | 3 | 0.312 | 0.615 | 0.573 | 0.369 | 0.411 | 0.365 | 0.411 | 0.390 | 0.134 | 0.427 |
| 48 | 3 | 0.298 | 0.653 | 0.617 | 0.167 | 0.446 | 0.179 | 0.404 | 0.383 | 0.134 | 0.470 |
| 49 | 3 | 0.290 | 0.623 | 0.589 | 0.400 | 0.421 | 0.412 | 0.424 | 0.404 | 0.097 | 0.452 |
| 50 | 2 | 0.311 | 0.590 | 0.561 | 0.420 | 0.428 | 0.401 | 0.415 | 0.401 | 0.106 | 0.410 |
| Trial No. | No. of predictor variables | LOF | R2 | Q2 | R2pred | rm2(LOO) | rm2(test) | rm2(overall) | rm2(overall)(adjusted) | Rr2 | Rp2 |
| 01 | 4 | 1.306 | 0.673 | 0.617 | 0.325 | 0.462 | 0.280 | 0.426 | 0.390 | 0.076 | 0.520 |
| 02 | 4 | 1.696 | 0.577 | 0.510 | 0.479 | 0.384 | 0.433 | 0.393 | 0.354 | 0.078 | 0.408 |
| 03 | 4 | 1.529 | 0.612 | 0.559 | 0.347 | 0.418 | 0.326 | 0.408 | 0.370 | 0.078 | 0.447 |
| 04 | 6 | 1.620 | 0.607 | 0.517 | 0.540 | 0.385 | 0.473 | 0.415 | 0.357 | 0.079 | 0.441 |
| 05 | 4 | 1.347 | 0.646 | 0.606 | 0.441 | 0.449 | 0.430 | 0.444 | 0.409 | 0.071 | 0.490 |
| 06 | 4 | 1.534 | 0.606 | 0.548 | 0.600 | 0.408 | 0.585 | 0.437 | 0.401 | 0.059 | 0.448 |
| 07 | 4 | 1.496 | 0.642 | 0.585 | 0.024 | 0.440 | 0.149 | 0.372 | 0.332 | 0.107 | 0.470 |
| 08 | 4 | 1.644 | 0.553 | 0.468 | 0.714* | 0.357 | 0.684 | 0.408 | 0.370 | 0.050 | 0.392 |
| 09 | 4 | 1.593 | 0.588 | 0.521 | 0.633 | 0.391 | 0.535 | 0.423 | 0.386 | 0.066 | 0.425 |
| 10 | 2 | 1.514 | 0.547 | 0.513 | 0.325 | 0.381 | 0.291 | 0.367 | 0.348 | 0.104 | 0.364 |
| 11 | 5 | 1.457 | 0.658 | 0.589 | 0.448 | 0.439 | 0.472 | 0.448 | 0.403 | 0.051 | 0.513 |
| 12 | 4 | 1.436 | 0.642 | 0.596 | 0.470 | 0.443 | 0.435 | 0.439 | 0.403 | 0.075 | 0.483 |
| 13 | 4 | 1.517 | 0.590 | 0.529 | 0.613 | 0.394 | 0.577 | 0.433 | 0.397 | 0.074 | 0.424 |
| 14 | 4 | 1.318 | 0.654 | 0.609 | 0.443 | 0.452 | 0.433 | 0.449 | 0.414 | 0.076 | 0.497 |
| 15 | 4 | 1.523 | 0.586 | 0.523 | 0.652 | 0.390 | 0.573 | 0.434 | 0.398 | 0.103 | 0.407 |
| 16 | 4 | 1.466 | 0.622 | 0.567 | 0.203 | 0.422 | 0.243 | 0.397 | 0.359 | 0.094 | 0.452 |
| 17 | 6 | 1.409 | 0.681 | 0.613 | 0.597 | 0.457 | 0.597 | 0.471 | 0.419 | 0.072 | 0.531 |
| 18 | 5 | 1.253 | 0.705 | 0.656 | 0.351 | 0.493 | 0.328 | 0.448 | 0.403 | 0.072 | 0.561 |
| 19 | 5 | 1.173 | 0.711 | 0.665 | 0.331 | 0.499 | 0.312 | 0.455 | 0.411 | 0.100 | 0.556 |
| 20 | 5 | 1.546 | 0.630 | 0.558 | 0.507 | 0.416 | 0.468 | 0.425 | 0.379 | 0.060 | 0.476 |
| 21 | 4 | 1.288 | 0.681 | 0.636 | -0.028 | 0.477 | 0.129 | 0.382 | 0.343 | 0.056 | 0.538 |
| 22 | 6 | 1.349 | 0.675 | 0.612 | 0.608 | 0.457 | 0.538 | 0.488* | 0.438 | 0.077 | 0.522 |
| 23 | 5 | 1.392 | 0.660 | 0.600 | 0.488 | 0.449 | 0.467 | 0.447 | 0.402 | 0.046 | 0.517 |
| 24 | 5 | 1.321 | 0.680 | 0.637 | 0.409 | 0.475 | 0.374 | 0.451 | 0.407 | 0.086 | 0.524 |
| 25 | 6 | 1.360 | 0.701 | 0.635 | 0.525 | 0.476 | 0.484 | 0.475 | 0.423 | 0.075 | 0.555 |
| 26 | 6 | 1.231 | 0.722 | 0.666 | 0.403 | 0.504 | 0.363 | 0.464 | 0.411 | 0.068 | 0.584 |
| 27 | 4 | 1.116 | 0.708 | 0.672 | 0.282 | 0.503 | 0.254 | 0.451 | 0.416 | 0.063 | 0.569 |
| 28 | 5 | 1.363 | 0.648 | 0.582 | 0.588 | 0.432 | 0.552 | 0.455 | 0.411 | 0.097 | 0.481 |
| 29 | 5 | 1.414 | 0.627 | 0.564 | 0.614 | 0.418 | 0.572 | 0.447 | 0.402 | 0.110 | 0.451 |
| 30 | 4 | 1.267 | 0.673 | 0.630 | 0.213 | 0.470 | 0.260 | 0.436 | 0.400 | 0.058 | 0.528 |
| 31 | 4 | 1.454 | 0.626 | 0.577 | 0.330 | 0.430 | 0.302 | 0.411 | 0.374 | 0.084 | 0.461 |
| 32 | 5 | 1.595 | 0.613 | 0.540 | 0.433 | 0.407 | 0.349 | 0.391 | 0.342 | 0.081 | 0.447 |
| 33 | 4 | 1.408 | 0.633 | 0.577 | 0.249 | 0.429 | 0.248 | 0.392 | 0.353 | 0.068 | 0.476 |
| 34 | 4 | 1.522 | 0.586 | 0.517 | 0.656 | 0.387 | 0.635 | 0.434 | 0.398 | 0.070 | 0.421 |
| 35 | 6 | 1.075 | 0.758 | 0.704 | -0.002 | 0.536 | 0.108 | 0.422 | 0.365 | 0.083 | 0.623 |
| 36 | 4 | 1.446 | 0.598 | 0.535 | 0.616 | 0.398 | 0.545 | 0.445 | 0.410 | 0.074 | 0.433 |
| 37 | 4 | 1.695 | 0.552 | 0.486 | 0.614 | 0.368 | 0.559 | 0.409 | 0.371 | 0.098 | 0.372 |
| 38 | 4 | 1.305 | 0.650 | 0.596 | 0.368 | 0.442 | 0.450 | 0.443 | 0.408 | 0.080 | 0.491 |
| 39 | 5 | 1.298 | 0.687 | 0.616 | 0.361 | 0.463 | 0.322 | 0.437 | 0.392 | 0.090 | 0.531 |
| 40 | 4 | 1.330 | 0.663 | 0.617 | 0.125 | 0.460 | 0.149 | 0.397 | 0.359 | 0.078 | 0.507 |
| 41 | 5 | 1.319 | 0.682 | 0.620 | 0.077 | 0.465 | 0.140 | 0.393 | 0.344 | 0.093 | 0.523 |
| 42 | 4 | 1.601 | 0.556 | 0.485 | 0.656 | 0.365 | 0.634 | 0.413 | 0.376 | 0.047 | 0.396 |
| 43 | 4 | 1.218 | 0.651 | 0.588 | 0.496 | 0.436 | 0.482 | 0.444 | 0.409 | 0.060 | 0.500 |
| 44 | 6 | 0.993 | 0.770 | 0.723* | 0.136 | 0.551 | 0.169 | 0.462 | 0.409 | 0.075 | 0.642 |
| 45 | 4 | 1.097 | 0.705 | 0.663 | 0.200 | 0.496 | 0.173 | 0.427 | 0.391 | 0.078 | 0.558 |
| 46 | 5 | 1.494 | 0.633 | 0.558 | 0.636 | 0.418 | 0.550 | 0.439 | 0.394 | 0.103 | 0.461 |
| 47 | 5 | 1.392 | 0.649 | 0.575 | 0.545 | 0.427 | 0.536 | 0.439 | 0.394 | 0.059 | 0.498 |
| 48 | 5 | 1.254 | 0.682 | 0.623 | 0.077 | 0.466 | 0.134 | 0.388 | 0.339 | 0.070 | 0.533 |
| 49 | 4 | 1.252 | 0.684 | 0.636 | 0.151 | 0.476 | 0.173 | 0.411 | 0.374 | 0.073 | 0.535 |
| 50 | 5 | 1.270 | 0.657 | 0.583 | 0.556 | 0.433 | 0.548 | 0.447 | 0.402 | 0.057 | 0.509 |
| Trial No. | No. of predictor variables | LOF | R2 | Q2 | R2pred | rm2(LOO) | rm2(test) | rm2(overall) | rm2(overall)(adjusted) | Rr2 | Rp2 |
| 01 | 08 | 0.132 | 0.774 | 0.758 | 0.551 | 0.711 | 0.559 | 0.675 | 0.666 | 0.042 | 0.662 |
| 02 | 08 | 0.147 | 0.753 | 0.721 | 0.641 | 0.694 | 0.647 | 0.693 | 0.684 | 0.037 | 0.637 |
| 03 | 08 | 0.167 | 0.721 | 0.660 | 0.750 | 0.668 | 0.721 | 0.657 | 0.647 | 0.025 | 0.601 |
| 04 | 07 | 0.139 | 0.764 | 0.744 | 0.685 | 0.723 | 0.586 | 0.667 | 0.659 | 0.045 | 0.648 |
| 05 | 06 | 0.135 | 0.760 | 0.671 | 0.681 | 0.659 | 0.653 | 0.631 | 0.623 | 0.052 | 0.640 |
| 06 | 07 | 0.148 | 0.747 | 0.727 | 0.703 | 0.704 | 0.661 | 0.680 | 0.672 | 0.037 | 0.629 |
| 07 | 06 | 0.159 | 0.731 | 0.708 | 0.612 | 0.694 | 0.620 | 0.669 | 0.662 | 0.035 | 0.610 |
| 08 | 07 | 0.144 | 0.758 | 0.703 | 0.641 | 0.681 | 0.628 | 0.650 | 0.641 | 0.031 | 0.646 |
| 09 | 07 | 0.123 | 0.772 | 0.759 | 0.572 | 0.712 | 0.577 | 0.680 | 0.672 | 0.036 | 0.662 |
| 10 | 09 | 0.137 | 0.765 | 0.734 | 0.742 | 0.701 | 0.752 | 0.677 | 0.667 | 0.042 | 0.651 |
| 11 | 09 | 0.145 | 0.748 | 0.713 | 0.583 | 0.693 | 0.590 | 0.657 | 0.646 | 0.036 | 0.631 |
| 12 | 08 | 0.150 | 0.738 | 0.672 | 0.734 | 0.669 | 0.712 | 0.669 | 0.660 | 0.037 | 0.618 |
| 13 | 12 | 0.129 | 0.780 | 0.738 | 0.716 | 0.698 | 0.669 | 0.691 | 0.678 | 0.032 | 0.675 |
| 14 | 09 | 0.143 | 0.759 | 0.703 | 0.622 | 0.679 | 0.595 | 0.639 | 0.627 | 0.038 | 0.645 |
| 15 | 09 | 0.122 | 0.789 | 0.769 | 0.545 | 0.724 | 0.518 | 0.658 | 0.647 | 0.029 | 0.688 |
| 16 | 07 | 0.149 | 0.734 | 0.692 | 0.753 | 0.676 | 0.728 | 0.688 | 0.680 | 0.032 | 0.615 |
| 17 | 07 | 0.123 | 0.770 | 0.755 | 0.595 | 0.706 | 0.594 | 0.672 | 0.664 | 0.037 | 0.659 |
| 18 | 09 | 0.138 | 0.756 | 0.731 | 0.741 | 0.699 | 0.671 | 0.688 | 0.678 | 0.025 | 0.646 |
| 19 | 07 | 0.162 | 0.726 | 0.676 | 0.678 | 0.673 | 0.674 | 0.643 | 0.634 | 0.027 | 0.607 |
| 20 | 07 | 0.138 | 0.769 | 0.752 | 0.577 | 0.720 | 0.536 | 0.659 | 0.650 | 0.028 | 0.662 |
| 21 | 08 | 0.147 | 0.733 | 0.690 | 0.731 | 0.669 | 0.643 | 0.670 | 0.661 | 0.047 | 0.607 |
| 22 | 08 | 0.160 | 0.730 | 0.693 | 0.731 | 0.679 | 0.688 | 0.666 | 0.656 | 0.044 | 0.605 |
| 23 | 06 | 0.131 | 0.769 | 0.755 | 0.497 | 0.710 | 0.478 | 0.654 | 0.647 | 0.035 | 0.659 |
| 24 | 09 | 0.154 | 0.751 | 0.721 | 0.635 | 0.697 | 0.610 | 0.676 | 0.666 | 0.038 | 0.634 |
| 25 | 06 | 0.108 | 0.784 | 0.772 | 0.575 | 0.715 | 0.594 | 0.674 | 0.667 | 0.023 | 0.684 |
| 26 | 08 | 0.153 | 0.723 | 0.697 | 0.781 | 0.683 | 0.752 | 0.688 | 0.679 | 0.032 | 0.601 |
| 27 | 08 | 0.158 | 0.732 | 0.706 | 0.744 | 0.692 | 0.742 | 0.687 | 0.678 | 0.025 | 0.615 |
| 28 | 08 | 0.164 | 0.726 | 0.696 | 0.736 | 0.696 | 0.686 | 0.664 | 0.654 | 0.052 | 0.596 |
| 29 | 07 | 0.165 | 0.720 | 0.690 | 0.746 | 0.681 | 0.727 | 0.683 | 0.675 | 0.038 | 0.594 |
| 30 | 09 | 0.123 | 0.792 | 0.771 | 0.692 | 0.720 | 0.687 | 0.699* | 0.689 | 0.052 | 0.682 |
| 31 | 08 | 0.118 | 0.783 | 0.766 | 0.580 | 0.716 | 0.559 | 0.665 | 0.655 | 0.032 | 0.678 |
| 32 | 07 | 0.162 | 0.709 | 0.685 | 0.712 | 0.679 | 0.678 | 0.681 | 0.673 | 0.040 | 0.580 |
| 33 | 09 | 0.144 | 0.759 | 0.730 | 0.730 | 0.705 | 0.699 | 0.683 | 0.673 | 0.034 | 0.646 |
| 34 | 13 | 0.154 | 0.758 | 0.718 | 0.678 | 0.699 | 0.638 | 0.674 | 0.659 | 0.025 | 0.649 |
| 35 | 13 | 0.130 | 0.795 | 0.757 | 0.704 | 0.715 | 0.701 | 0.681 | 0.666 | 0.033 | 0.694 |
| 36 | 08 | 0.146 | 0.754 | 0.728 | 0.579 | 0.703 | 0.510 | 0.641 | 0.631 | 0.035 | 0.639 |
| 37 | 05 | 0.135 | 0.769 | 0.757 | 0.382 | 0.720 | 0.385 | 0.646 | 0.640 | 0.032 | 0.660 |
| 38 | 10 | 0.151 | 0.748 | 0.719 | 0.601 | 0.693 | 0.568 | 0.659 | 0.647 | 0.033 | 0.632 |
| 39 | 06 | 0.164 | 0.709 | 0.687 | 0.739 | 0.681 | 0.714 | 0.673 | 0.666 | 0.034 | 0.583 |
| 40 | 08 | 0.153 | 0.739 | 0.710 | 0.758 | 0.692 | 0.722 | 0.691 | 0.682 | 0.037 | 0.619 |
| 41 | 08 | 0.164 | 0.727 | 0.692 | 0.680 | 0.684 | 0.664 | 0.659 | 0.649 | 0.032 | 0.606 |
| 42 | 09 | 0.139 | 0.766 | 0.734 | 0.522 | 0.697 | 0.473 | 0.634 | 0.622 | 0.036 | 0.655 |
| 43 | 07 | 0.147 | 0.748 | 0.727 | 0.643 | 0.699 | 0.638 | 0.661 | 0.653 | 0.039 | 0.630 |
| 44 | 08 | 0.167 | 0.726 | 0.699 | 0.656 | 0.684 | 0.600 | 0.655 | 0.645 | 0.031 | 0.605 |
| 45 | 07 | 0.168 | 0.700 | 0.677 | 0.834* | 0.676 | 0.753 | 0.685 | 0.677 | 0.027 | 0.574 |
| 46 | 08 | 0.162 | 0.708 | 0.676 | 0.753 | 0.679 | 0.725 | 0.676 | 0.667 | 0.039 | 0.579 |
| 47 | 07 | 0.151 | 0.736 | 0.712 | 0.659 | 0.689 | 0.669 | 0.674 | 0.666 | 0.042 | 0.613 |
| 48 | 07 | 0.159 | 0.723 | 0.695 | 0.737 | 0.685 | 0.714 | 0.685 | 0.677 | 0.021 | 0.606 |
| 49 | 08 | 0.130 | 0.781 | 0.764 | 0.596 | 0.719 | 0.610 | 0.693 | 0.684 | 0.035 | 0.675 |
| 50 | 09 | 0.123 | 0.792 | 0.774* | 0.596 | 0.726 | 0.587 | 0.678 | 0.668 | 0.023 | 0.695 |
© 2009 by the authors; licensee Molecular Diversity Preservation International, Basel, Switzerland. This article is an open-access article distributed under the terms and conditions of the Creative Commons Attribution license (http://creativecommons.org/licenses/by/3.0/).
Share and Cite
Pratim Roy, P.; Paul, S.; Mitra, I.; Roy, K. On Two Novel Parameters for Validation of Predictive QSAR Models. Molecules 2009, 14, 1660-1701. https://doi.org/10.3390/molecules14051660
Pratim Roy P, Paul S, Mitra I, Roy K. On Two Novel Parameters for Validation of Predictive QSAR Models. Molecules. 2009; 14(5):1660-1701. https://doi.org/10.3390/molecules14051660
Chicago/Turabian StylePratim Roy, Partha, Somnath Paul, Indrani Mitra, and Kunal Roy. 2009. "On Two Novel Parameters for Validation of Predictive QSAR Models" Molecules 14, no. 5: 1660-1701. https://doi.org/10.3390/molecules14051660
APA StylePratim Roy, P., Paul, S., Mitra, I., & Roy, K. (2009). On Two Novel Parameters for Validation of Predictive QSAR Models. Molecules, 14(5), 1660-1701. https://doi.org/10.3390/molecules14051660
