Antimicrobial and Antioxidant Activities of Coumarins from the Roots of Ferulago campestris (Apiaceae)
Abstract
:Introduction
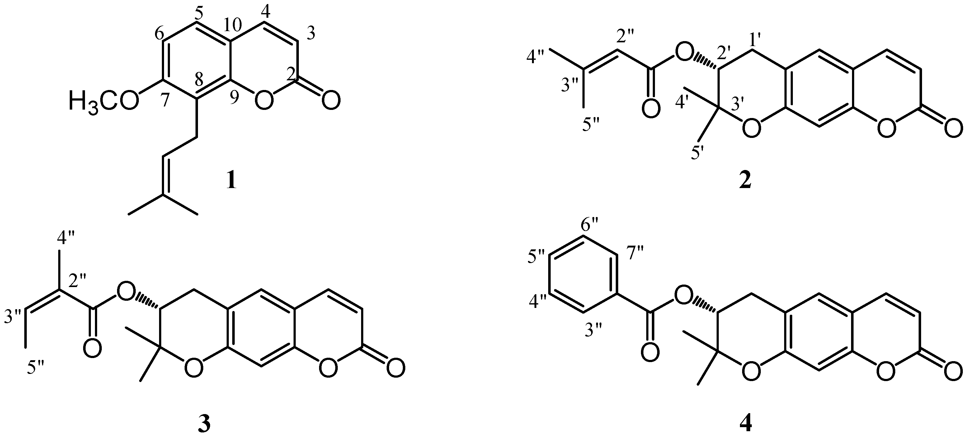
Results and Discussion


| Protons | δ(S) | δ(R) | ∆δ |
|---|---|---|---|
| H-1’(a) | 3.28 | 3.25 | +0.03 |
| H-1’(b) | 2.99 | 2.87 | +0.12 |
| Me-4’ | 1.33 | 1.38 | -0.05 |
| Me-5’ | 1.26 | 1.32 | -0.06 |


Antibacterial activity
| Compounds | Antibiotics | ||||||
|---|---|---|---|---|---|---|---|
| Organism | 2 | 3 | 4 | 5 | CTAX | PENG | TET |
| S. aureus ATCC 13709 | 250 | 32 | 125 | 16 | 2 | 0.03 | 2 |
| S. aureus CI | 250 | 64 | 250 | 32 | R | R | R |
| Ent. faecalis ATCC 14428 | 125 | 32 | 64 | 32 | R | 8 | 2 |
| Ent. faecalis CI | 250 | 64 | 125 | 32 | R | R | R |
| P. vulgaris ATCC 12454 | R | 64 | R | 32 | 2 | 4 | R |
| P. vulgaris CI | R | 125 | R | 64 | 32 | R | R |
| P. mirabilis ATCC 7002 | R | 64 | R | 32 | 0.03 | 4 | 32 |
| P. mirabilis CI | R | 125 | R | 64 | 32 | R | R |
| S. typhii ATCC 19430 | R | 32 | R | 16 | 0.05 | 4 | 1 |
| S. typhii CI | R | 32 | R | 32 | 1 | 2 | 1 |
| E. cloacae ATCC 10699 | 125 | 32 | 64 | 16 | R | 4 | R |
| E. cloacae CI | 250 | 64 | 125 | 32 | R | R | R |
| E. aerogenes ATCC 13048 | 125 | 32 | 64 | 16 | R | 4 | R |
| E. aerogenes CI | 250 | 64 | 125 | 32 | R | R | R |
| Ps. aeruginosa ATCC 27853 | 250 | 64 | 125 | 32 | 16 | R | 32 |
| Ps. aeruginosa CI | R | 125 | R | 125 | 32 | R | R |
| K. pneumoniae ATCC 27736 | 125 | 64 | 125 | 32 | 0.01 | R | 16 |
| K. pneumoniae CI | 250 | 125 | 250 | 64 | 32 | R | R |


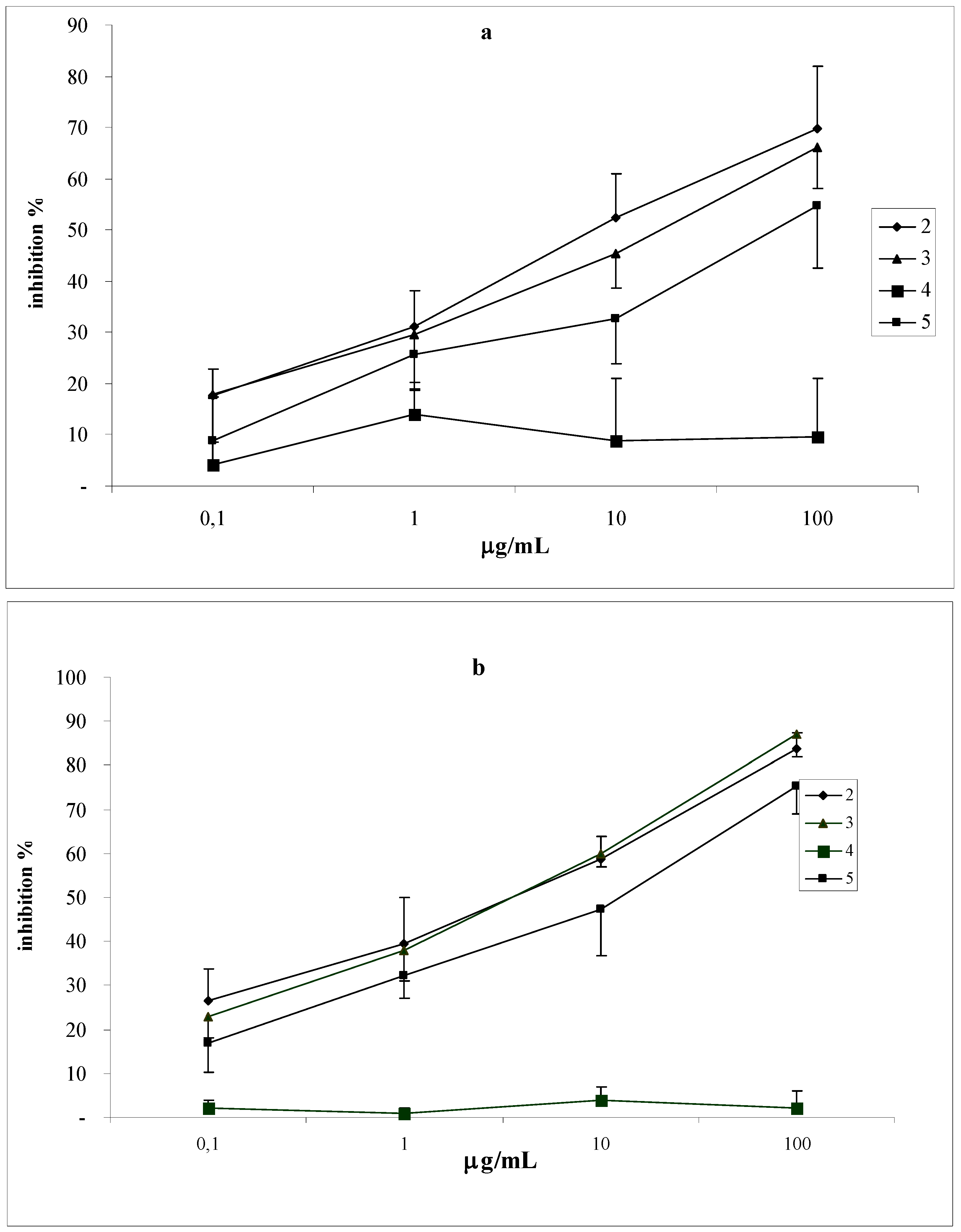
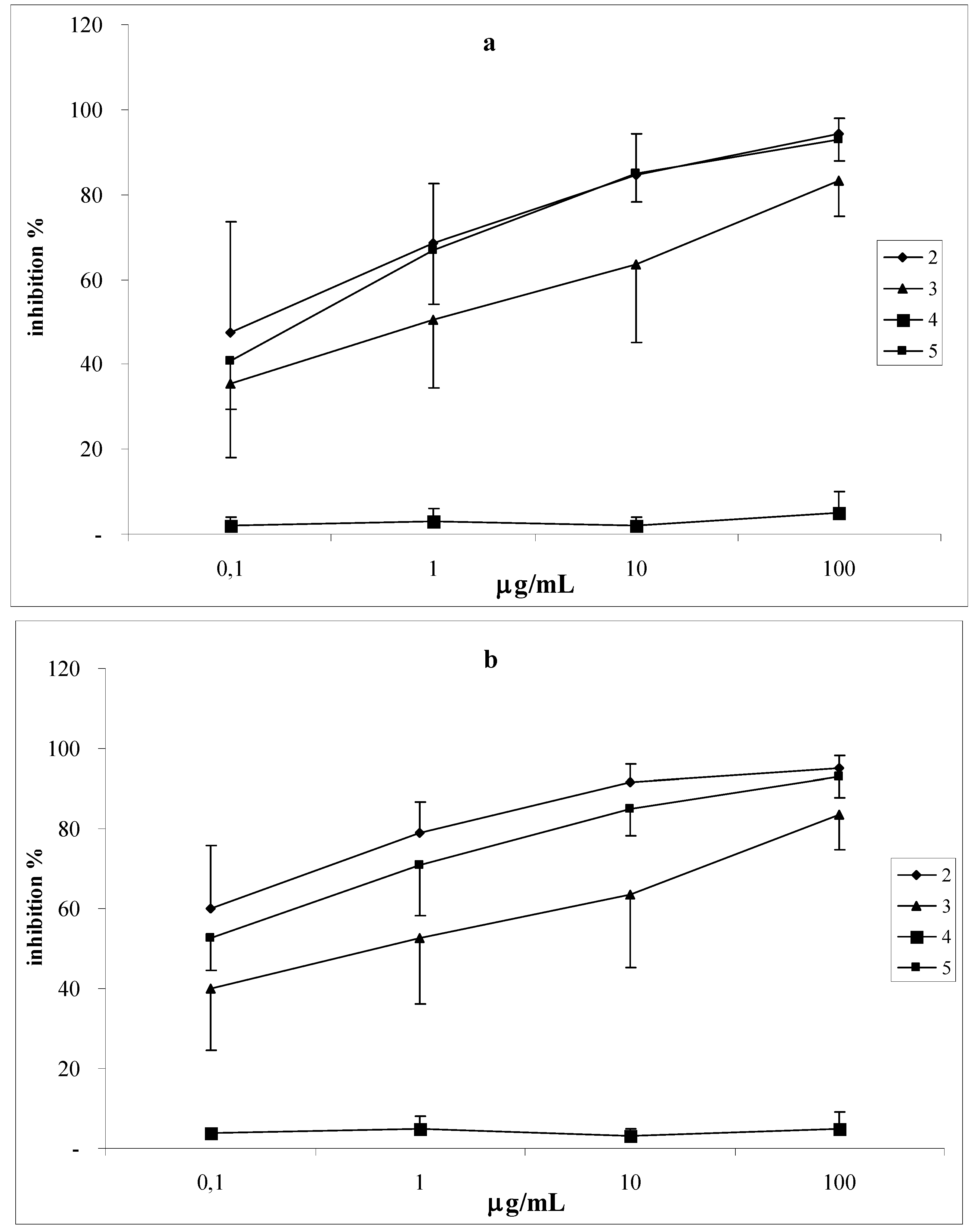
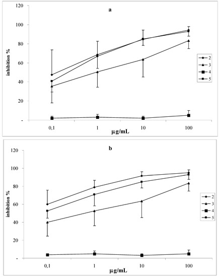
Chemiluminescence studies


Experimental Section
General
Plant material
Extraction and Isolation
Hydrolysis of grandivittin (2), agasyllin (3) and benzoyl aegelinol (4)
Spectroscopic data for compounds 2-5
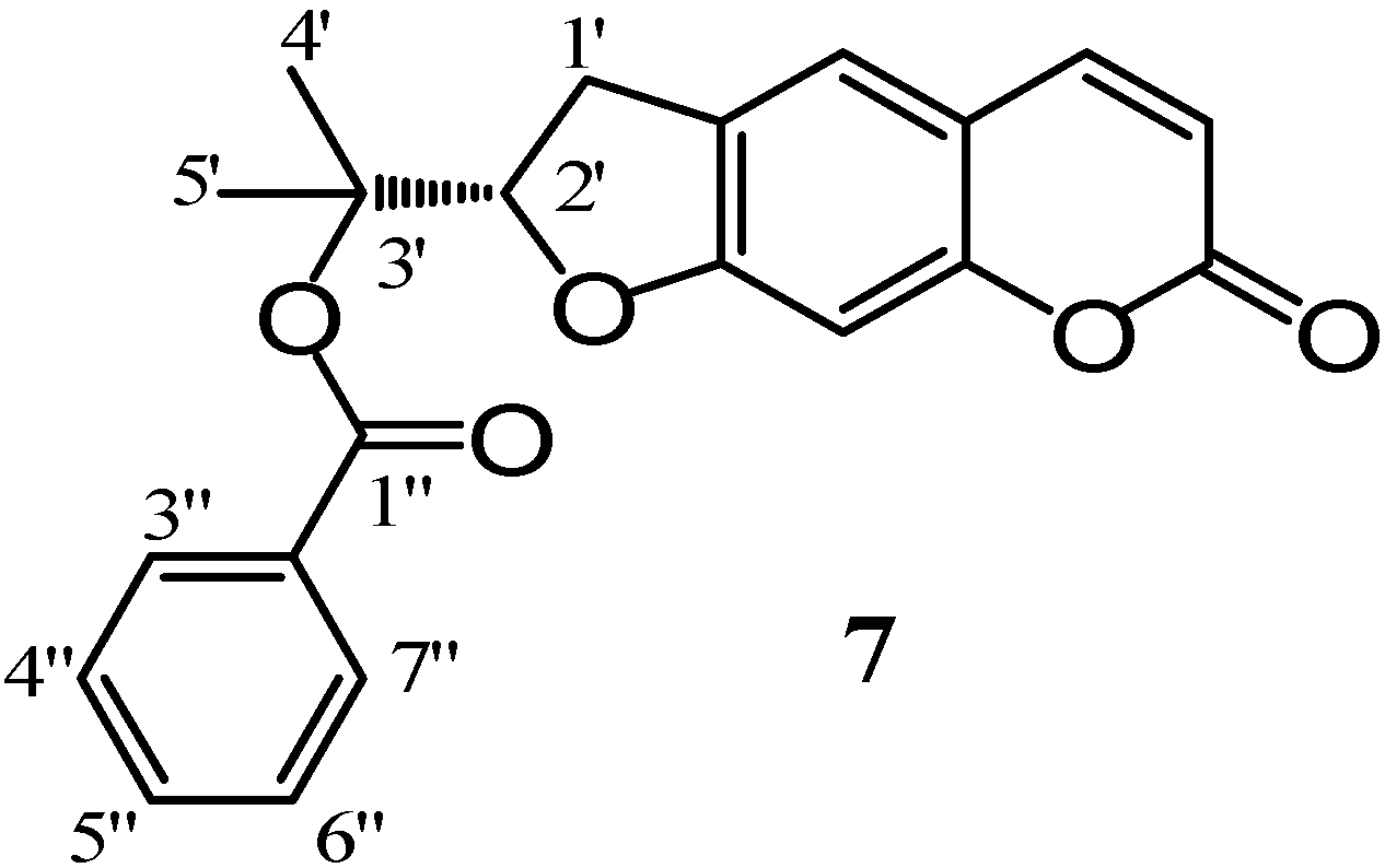
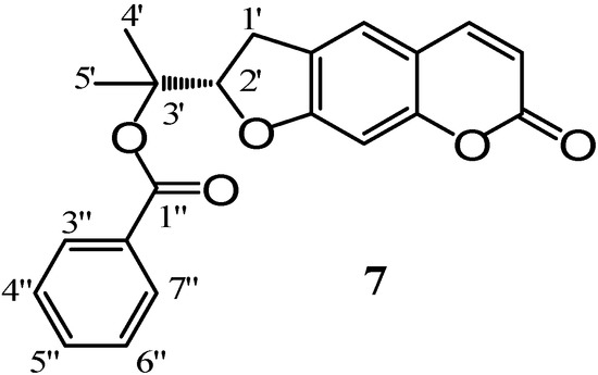
Spectroscopic data for felamidin (7)
Antimicrobial activity assays
Statistical analysis
- Construction of dose–response curves:
- ○
- Regression analysis with evaluation of the linearity of dose–response curves (dose logarithm as independent variable and CL percent inhibition as dependent) was drawn for each cumarin. If response regression was linear, the angular coefficient significance was calculated to verify the null hypothesis of an angular coefficient equal to zero.
- Comparison between dose–response curves:
- ○
- When the curves of the coumarins were linear, the analysis of variance applied to regression (ANOVA-R) was performed to compare the angular coefficients; if one or more curves were nonlinear, analysis of variance was carried out by comparing the coumarins at each concentration.
Acknowledgements
References
- El-Razek, M.H.A.; Ohta, S.; Ahmed, A.A.; Hirata, T. Monoterpene coumarins from Ferula ferulago. Phytochemistry 2001, 57, 1201–1203. [Google Scholar] [CrossRef]
- Demetzos, C.; Perdetzoglou, D.; Gazouli, M.; Tan, K.; Economakis, C. Chemical analysis and antimicrobial studies on three species of Ferulago from Greece. Planta Med. 2000, 66, 560–563. [Google Scholar] [CrossRef]
- Boulus, L. Medicinal plants of North-Africa MI; Algonae: Michigan, USA, 1983; p. 183. [Google Scholar]
- Rosselli, S.; Maggio, A.; Eiroa, C.; Formisano, C.; Bruno, M.; Irace, C.; Maffettone, C.; Mascolo, N. Cytotoxic activity of diterpenoids isolated from the aerial parts of Elaeoselinum asclepium (L.) Bertol. subsp. meoides (Desf.) Fiori (Apiaceae). Planta Med. 2008, 74, 1285–1287. [Google Scholar] [CrossRef]
- Rosselli, S.; Maggio, A.; Formisano, C.; Napolitano, F.; Senatore, F.; Spadaro, V.; Bruno, M. Chemical composition and antibacterial activity of extracts of Helleborus bocconei Ten. subsp. intermedius. Nat. Prod. Commun. 2007, 2, 675–679. [Google Scholar]
- Kumar, R.; Gupta, B.D.; Banerjee, S.K.; Atal, C.K. New coumarins from Seseli sibiricum. Phytochemistry 1978, 17, 2111–2114. [Google Scholar] [CrossRef]
- Erdelmeier, C.A.J.; Sticher, O. Coumarins derivatives from Eryngium campestre. Planta Med. 1985, 51, 407–409. [Google Scholar] [CrossRef]
- Abyshev, A.Z.; Gindin, V.A.; Semenov, E.V.; Agaev, E.M.; Abdulla-zade, A.A.; Guseinov, A.B. Structure and biological properties of 2H-1-benzopyran-2-one (coumarin) derivatives. Pharm. Chem. J. 2006, 40, 607–610. [Google Scholar] [CrossRef]
- Abyshev, A.Z.; Denisenko, P.P.; Abyshev, D.Z.; Kerumov, Y.B. Coumarin composition of Seseli grandivittatum. Khimiya Prirodnykh Soedinenii 1977, 640–646. [Google Scholar]
- Lemmich, J.; Nielsen, B.E. Stereochemistry of natural coumarins containing the 3-hydroxy-2,2-dimethylchroman system. Tetrahedron Lett. 1969, 3–4. [Google Scholar] [CrossRef]
- Dale, J.A.; Mosher, H.S. Nuclear magnetic resonance enantiomer reagents. Configurational correlations via nuclear magnetic resonance chemical shifts of diastereomeric mandelate, O-methylmandelate, and alpha-methoxy-alfa- trifluoromethylphenylacetate (MTPA) esters. J. Am. Chem. Soc. 1973, 95, 512–519. [Google Scholar] [CrossRef]
- Horeau, A.; Nouaille, A. Extension et simplification de la methode de determination de la configuration des alcools secondaires par “dedoublement partiel” VIII. Application a la genipine. Tetrahedron Lett. 1971, 1939–1942. [Google Scholar] [CrossRef]
- Kilic, C.S.; Okada, Y.; Coskun, M.; Okuyama, T. New furanocoumarins isolated from the roots of Ferulago isaurica Pesmen growing in Turkey. Heterocycles 2006, 69, 481–486. [Google Scholar] [CrossRef]
- Basile, A.; Vuotto, M.L.; Violante, U.; Sorbo, S.; Martone, G.; Castaldo Cobianchi, R. Antibacterial activity in Actinidia chinensis, Feijoa sellowiana and Aberia caffra. International J. Antimicrob. Agents 1997, 8, 199–203. [Google Scholar] [CrossRef]
- Basile, A.; Giordano, S.; Lopez-Saez, J. A.; Castaldo Cobianchi, R. Antibacterial activity of pure flavonoids isolated from mosses. Phytochemistry 1999, 52, 1479–1482. [Google Scholar] [CrossRef]
- Zarrilli, R.; Ricci, V.; Romano, M. Molecular response of gastric epithelial cells to Helicobacter pylori induced cell damage. Cell Microbiol. 1999, 1, 93–99. [Google Scholar] [CrossRef]
- Covacci, A.; Telford, J. L.; Del Giudice, G.; Personnet, J.; Rappuoli, R. Helicobacter pylori virulence and genetic geography. Science 1999, 284, 1328–1333. [Google Scholar] [CrossRef]
- Epifano, F.; Genovese, S.; Menghini, L.; Curini, M. Chemistry and pharmacology of oxyprenylated secondary plant metabolites. Phytochemistry 2007, 68, 939–953. [Google Scholar] [CrossRef]
- Ieven, M.; Dirk, A.; Vanden Berghe, V.; Francis, M.; Vlietinck, A.; Lammens, E. Screening of higher plants for biological activities. I. Antimicrobial activity. Planta medica 1979, 36, 311–321. [Google Scholar] [CrossRef]
- Ericcson, H. M.; Sherris, J. C. Antibiotic sensitivity testing: report of an international collaborative study. Acta Pathol. Microbiol. Scand. 1971, 217, 1. [Google Scholar]
- Basile, A.; Senatore, F.; Gargano, R.; Sorbo, S.; Del Pezzo, M.; Lavitola, A.; Ritieni, A.; Bruno, M.; Spatuzzi, D.; Rigano, D.; Vuotto, M.L. Antibacterial and antioxidant activities in Sideritis italica (Miller) Greuter et Burdet essential oils. J. Ethnopharmacol. 2007, 107, 240–248. [Google Scholar]
- Numao, N.; Iwahori, A.; Hirota, Y.; Sasatsu, M.; Kondo, I.; Onimura, K.; Sampe, R.; Yamane, S.; Itoh, S.; Katoh, T.; Kobayashi, S. Antibacterial activity of two alkylamines integrated an indane scaffold: mimicry of a complementary unit on magainin 2. Biol. Pharm. Bull. 1977, 20, 800–804. [Google Scholar]
- Kawase, M.; Harada, H.; Saito, S.; Cui, J.; Tani, S. In vitro susceptibility of Helicobacter pylori to trifluorometethyl ketones. Bioorg. Med. Chem. Lett. 1999, 9, 193–194. [Google Scholar] [CrossRef]
- De Sole, P.; Fresu, R.; Frigieri, L.; Pagliari, G.; De Simone, C.; Guerriero, C. Effect of adherence to plastic on pheripheral blood monocyte and alveolar macrophage chemiluminescence. J. Biolumin. Chemilumin. 1993, 8, 153–158. [Google Scholar] [CrossRef]
- Heberer, M.; Ernst, M.; During, M.; Allgower, M.; Fisher, H. Measurement of chemiluminescence in freshly drawn human blood. Wien. Klin. Wochenschr. 1982, 60, 1443. [Google Scholar] [CrossRef]
- Harbeck, R.J.; Hoffman, A.A.; Redecker, S.; Biundo, T.; Kurnick, J. The isolation and functional activity of polymorphonuclear leukocytes and lymphocytes separated from whole blood on a single Percoll density gradient. Clin. Immunol. Immunopathol. 1982, 23, 682–690. [Google Scholar] [CrossRef]
- Merchant, P.J.; Kahn, R.H.; Murphy, W.H. Handbook of Cell and Organ Culture; Burgess Publishing Company: Minneapolis, USA, 1960; p. 157. [Google Scholar]
- Sample Availability: Samples of the compounds are available from the authors.
© 2009 by the authors; licensee Molecular Diversity Preservation International, Basel, Switzerland. This article is an open-access article distributed under the terms and conditions of the Creative Commons Attribution license ( http://creativecommons.org/licenses/by/3.0/).
Share and Cite
Basile, A.; Sorbo, S.; Spadaro, V.; Bruno, M.; Maggio, A.; Faraone, N.; Rosselli, S. Antimicrobial and Antioxidant Activities of Coumarins from the Roots of Ferulago campestris (Apiaceae). Molecules 2009, 14, 939-952. https://doi.org/10.3390/molecules14030939
Basile A, Sorbo S, Spadaro V, Bruno M, Maggio A, Faraone N, Rosselli S. Antimicrobial and Antioxidant Activities of Coumarins from the Roots of Ferulago campestris (Apiaceae). Molecules. 2009; 14(3):939-952. https://doi.org/10.3390/molecules14030939
Chicago/Turabian StyleBasile, Adriana, Sergio Sorbo, Vivienne Spadaro, Maurizio Bruno, Antonella Maggio, Nicoletta Faraone, and Sergio Rosselli. 2009. "Antimicrobial and Antioxidant Activities of Coumarins from the Roots of Ferulago campestris (Apiaceae)" Molecules 14, no. 3: 939-952. https://doi.org/10.3390/molecules14030939
APA StyleBasile, A., Sorbo, S., Spadaro, V., Bruno, M., Maggio, A., Faraone, N., & Rosselli, S. (2009). Antimicrobial and Antioxidant Activities of Coumarins from the Roots of Ferulago campestris (Apiaceae). Molecules, 14(3), 939-952. https://doi.org/10.3390/molecules14030939
