New Phenylethanoid Glycosides from the Fruits of Forsythia Suspense (Thunb.) Vahl
Abstract
:1. Introduction
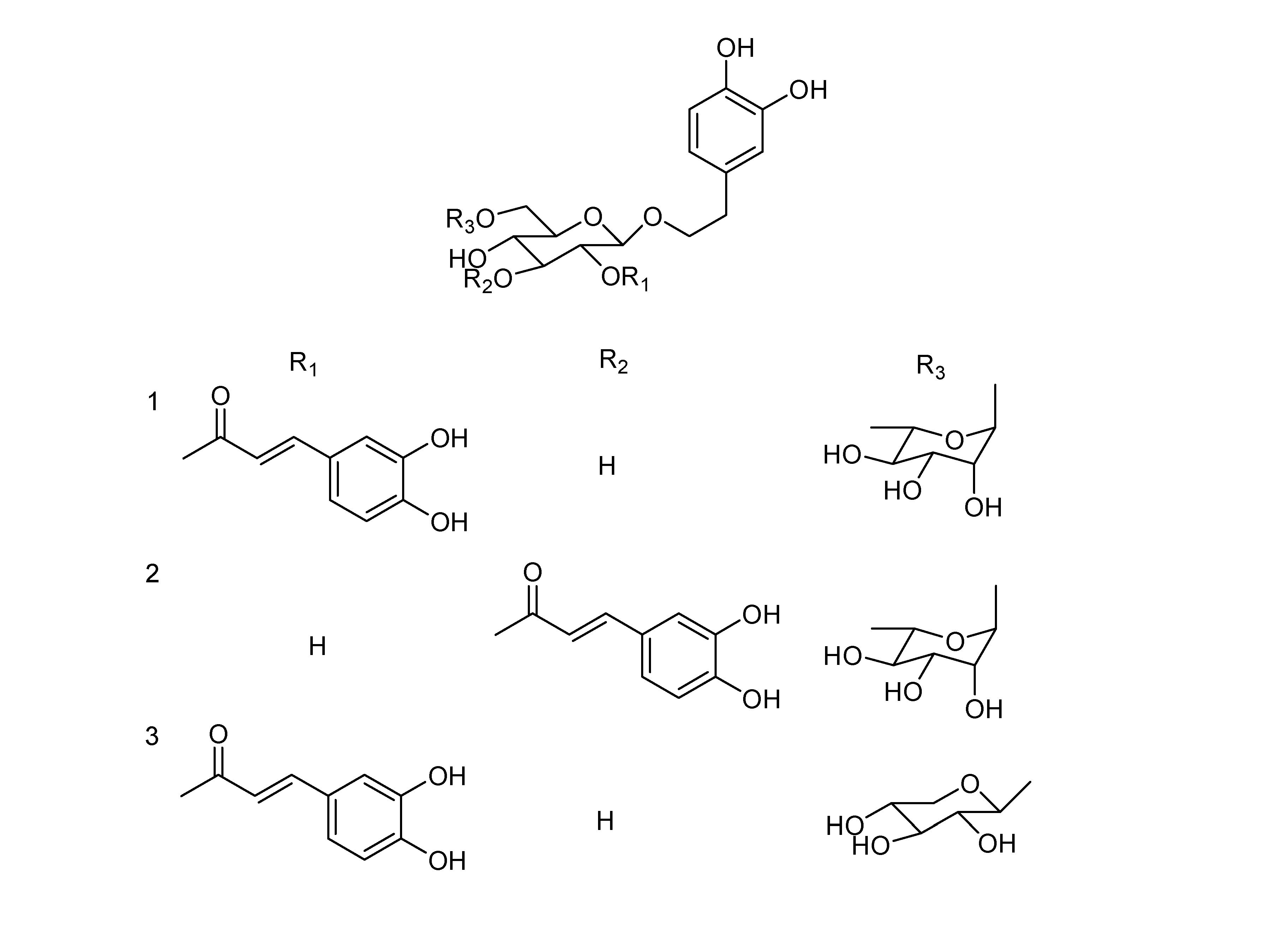
2. Results and Discussion

| no. | 1 | 2 | 3 | 4 | ||||
| δH | δC | δH | δC | δH | δC | δH | δC | |
| 1 | 129.1 | 129.5 | 129.2 | 129.2 | ||||
| 2 | 6.54 br.s | 115.4 | 6.61 d (1.8) | 115.5 | 6.55 d (1.2) | 115.4 | 6.62 br.s | 115.5 |
| 3 | 144.9 | 144.7 | 144.9 | 144.9 | ||||
| 4 | 143.5 | 143.5 | 143.5 | 143.5 | ||||
| 5 | 6.55 d (8.4) | 116.2 | 6.63 d (7.8) | 116.3 | 6.54 d (7.8) | 116.2 | 6.63 d (7.8) | 116.3 |
| 6 | 6.41 dd (1.8, 8.4) | 119.6 | 6.48 dd (1.8, 7.8) | 119.5 | 6.41 dd (1.2, 7.8) | 119.6 | 6.49 dd (1.8, 7.8) | 119.5 |
| 7 | 2.56 m | 35.1 | 2.69 m | 35.1 | 2.56 m | 35.0 | 2.67 m | 35.1 |
| 8 | 3.76 m | 69.8 | 3.82 m | 70.2 | 3.78 m | 69.8 | 3.83 m | 70.3 |
| 3.54 m | 3.62 m | 3.53 m | 3.61 m | |||||
| 1′ | 4.49 d (8.4) | 100.2 | 4.34 d (7.8) | 102.7 | 4.74 d (7.8) | 100.1 | 4.31 d (7.8) | 102.9 |
| 2′ | 4.64 t (8.4) | 73.4 | 3.18 dd (7.8, 9.0) | 71.4 | 4.65 t (7.8) | 73.3 | 3.41 dd (7.8, 9.0) | 73.0 |
| 3′ | 3.42 m | 74.1 | 4.88 t (9.0) | 77.5 | 3.42 m | 74.1 | 3.10 m | 73.5 |
| 4′ | 3.44 m | 70.7 | 3.28 dd (9.0, 10.2) | 68.1 | 3.22 dd (9.0, 9.6) | 70.0 | 4.66 t (9.6) | 71.0 |
| 5′ | 3.38 m | 75.5 | 3.42 m | 75.1 | 3.39 m | 75.7 | 3.45 m | 73.9 |
| 6′ | 3.84 br.d (10.2) | 66.6 | 3.82 br.d (9.6) | 66.5 | 3.96 br.d (11.4) | 65.7 | 3.53 br.d (13.0) | 66.1 |
| 3.48 m | 3.49 m | 3.58 dd (5.4, 11.4) | 3.33 dd (7.5, 13.0) | |||||
| 1″ | 4.60 br.s | 100.7 | 4.59 br.s | 100.7 | 4.20 d (7.2) | 104.0 | 4.50 br.s | 100.5 |
| 2″ | 3.63 m | 70.5 | 3.62 m | 70.6 | 2.98 dd (7.2, 8.4) | 73.3 | 3.59 m | 70.6 |
| 3″ | 3.45 m | 70.3 | 3.62 m | 70.4 | 3.09 dd (8.4, 9.0) | 76.6 | 3.36 dd (9.0, 10.2) | 70.6 |
| 4″ | 3.19 t (9.6) | 72.0 | 3.44 m | 71.9 | 3.28 m | 69.6 | 3.57 t (9.0) | 71.9 |
| 5″ | 3.46 m | 68.4 | 3.48 m | 68.4 | 3.70 m | 68.2 | 3.34 m | 68.4 |
| 3.02 m | ||||||||
| 6″ | 1.14 d (6.6) | 18.0 | 1.13 d (6.6) | 17.9 | 1.05 d (6.0) | 17.8 | ||
| 1‴ | 125.5 | 125.6 | 125.5 | 125.4 | ||||
| 2‴ | 7.06 br.s | 114.8 | 7.04 d (1.8) | 114.9 | 7.06 br.s | 114.8 | 7.05 br.s | 114.8 |
| 3‴ | 145.6 | 145.5 | 145.6 | 145.6 | ||||
| 4‴ | 148.5 | 148.2 | 148.5 | 148.6 | ||||
| 5‴ | 6.76 d (7.2) | 115.8 | 6.75 d (8.4) | 115.7 | 6.76 d (7.8) | 115.8 | 6.76 d (8.4) | 115.8 |
| 6‴ | 7.01 br.d (7.2) | 121.3 | 7.01 dd (1.8, 8.4) | 121.3 | 7.01 d (7.8) | 121.3 | 7.01 br.d (8.4) | 121.4 |
| 7‴ | 7.49 d (16.2) | 145.2 | 7.47 d (15.6) | 144.9 | 7.49 d (15.6) | 145.1 | 7.50 d (15.6) | 145.6 |
| 8‴ | 6.27 d (16.2) | 114.2 | 6.26 d (15.6) | 114.7 | 6.27 d (15.6) | 114.2 | 6.25 d (15.6) | 113.6 |
| 9‴ | 165.7 | 166.1 | 165.7 | 165.9 | ||||

3. Experimental
3.1. General
3.2. Plant Material
3.3. Extraction and Isolation.
3.4. Acid Hydrolysis of 1, 2 and 3
Acknowledgements
References and Notes
- State Pharmacopeia Commission of P. R. China. Pharmacopeia of the P. R. China People’s Health Publishing House: Beijing. 2005, I, 117.
- Tokar, M.; Klimek, B. Isolation and identification of biologically active compounds from Forsythia viridissima flowers. Acta Pol. Pharm. 2004, 61, 191–197. [Google Scholar]
- Nishibe, S.; Okabe, K.; Tsukamoto, H.; Sakushima, A.; Hisada, S. Studies on the Chinese crude drug Forsythia fructus. V. The structure of forsythiaside isolated from Forsythia suspensa. Chem. Pharm. Bull. 1982, 30, 1048–1050. [Google Scholar] [CrossRef]
- Ming, D.-S; Yu, D.-Q.; Yu, S.-S. Two new caffeoyl glycosides from Forsythia suspensa. J. Asian Nat. Prod. Res. 1999, 1, 327–335. [Google Scholar] [CrossRef]
- Nishibe, S.; Okabe, K.; Tsukamoto, H.; Sakushima, A.; Hisada, S.; Baba, H.; Akisada, T. Studies on the Chinese crude drug “forsythiae fructus”. VI. The structure and antibacterial activity of suspensaside isolated from Forsythia suspensa. Chem. Pharm. Bull. 1982, 30, 4548–4553. [Google Scholar] [CrossRef]
- Endo, K.; Hikino, H. Structures of rengyol, rengyoxide, and rengyolone, new cyclohexylethane derivatives from Forsythia suspensa fruits. Can. J. Chem. 1984, 62, 2011–2014. [Google Scholar] [CrossRef]
- Kitagawa, S.; Tsukamoto, H.; Hisada, S.; Nishibe, S. Studies on the Chinese crude drug “forsythiae fructus”. VII. A new caffeoyl glycoside from Forsythia viridissima. Chem. Pharm. Bull. 1984, 32, 1209–1213. [Google Scholar] [CrossRef]
- Liu, D.-L.; Zhang, Y.; Xu, S.-X.; Xu, Y.; Wang, Z.-X. Phenylethanoid glycosides from Forsythia suspensa Vahl. J. Chin. Pharm. Sci. 1998, 7, 103–105. [Google Scholar]
- Endo, K.; Hikino, H. Validity of oriental medicine. Part 44. Structures of forsythoside C and D, antibacterial principles of Forsythia suspensa fruits. Heterocycles 1982, 19, 2033–2036. [Google Scholar] [CrossRef]
- Endo, K.; Takahashi, K.; Abe, T.; Hikino, H. Structure of forsythoside A, an antibacterial principle of Forsythia suspensa leaves. Heterocycles 1981, 16, 1311–1314. [Google Scholar] [CrossRef]
- Endo, K.; Takahashi, K.; Abe, T.; Hikino, H. Structure of forsythoside B, an antibacterial principle of Forsythia koreana stems. Heterocycles 1982, 19, 261–264. [Google Scholar] [CrossRef]
- Endo, K.; Takahashi, K. Constitutions of forsythosides F and G, new phenol glycosides of Forsythia viridissima stems. Heterocycles 1990, 30, 291–294. [Google Scholar] [CrossRef]
- Rahman, M. M. A.; Dewick, P. M.; Jackson, D. E.; Lucas, J. A. Lignans of Forsythia intermedia. Phytochemistry 1990, 29, 1971–1980. [Google Scholar] [CrossRef]
- Liu, D.-L.; Xu, S.-X.; Wang, W.-F. A novel lignan glucoside from Forsythia suspensa Vahl. J. Chin. Pharm. Sci. 1998, 7, 49–51. [Google Scholar]
- Kitagawa, S.; Nishibe, S.; Benecke, R.; Thieme, H. Phenolic compounds from Forsythia leaves. II. Chem. Pharm. Bull. 1988, 36, 3667–3670. [Google Scholar] [CrossRef]
- Matsuo, K.; Tokoroyama, T.; Kubota, T. Bitter constituents of Forsythia viridissima. Phytochemistry 1972, 11, 1522–1523. [Google Scholar] [CrossRef]
- Lee , T. H.; Kuo, Y. C.; Wang, G. J.; Kuo, Y. H.; Chang , C. I.; Lu , C. K.; Lee , C. K. Five new phenolics from the roots of Ficus beecheyana. J. Nat. Prod. 2002, 65, 1497. [Google Scholar] [CrossRef]
- Otsuka, H.; Takeda, Y.; Yamasaki, K. Xyloglucosides of benzyl and phenethyl alcohols and Z-hex-3-en-1-ol from leaves of Alangium platanifolium var. trilobum. Phytochemistry 1990, 29, 3681–3683. [Google Scholar] [CrossRef]
- Damtoft , S.; Jensen, S. R. Three phenylethanoid glucosides of unusual structure from Chirita sinensis (gesneriaceae). Phytochemistry 1994, 37, 441. [Google Scholar] [CrossRef]
- Kinjo, J.; Araki, K.; Fukui, K.; Higuchi , H.; Ikeda , T.; Nohara, T.; Ida , Y.; Takemoto , N.; Miyakoshi , M.; Shoji , J. Six new triterpenoidal glycosides including two new sapogenols from Albizziae Cortex. V. Chem. Pharm. Bull. 1992, 40, 3269–3273. [Google Scholar] [CrossRef]
- Sample Availability: Available from the authors.
© 2009 by the authors; licensee Molecular Diversity Preservation International, Basel, Switzerland. This article is an open-access article distributed under the terms and conditions of the Creative Commons Attribution license ( http://creativecommons.org/licenses/by/3.0/).
Share and Cite
Wang, F.N.; Ma, Z.Q.; Liu, Y.; Guo, Y.Z.; Gu, Z.W. New Phenylethanoid Glycosides from the Fruits of Forsythia Suspense (Thunb.) Vahl. Molecules 2009, 14, 1324-1331. https://doi.org/10.3390/molecules14031324
Wang FN, Ma ZQ, Liu Y, Guo YZ, Gu ZW. New Phenylethanoid Glycosides from the Fruits of Forsythia Suspense (Thunb.) Vahl. Molecules. 2009; 14(3):1324-1331. https://doi.org/10.3390/molecules14031324
Chicago/Turabian StyleWang, Fu Nan, Zhi Qiang Ma, Ying Liu, Ying Zhi Guo, and Zhong Wei Gu. 2009. "New Phenylethanoid Glycosides from the Fruits of Forsythia Suspense (Thunb.) Vahl" Molecules 14, no. 3: 1324-1331. https://doi.org/10.3390/molecules14031324
APA StyleWang, F. N., Ma, Z. Q., Liu, Y., Guo, Y. Z., & Gu, Z. W. (2009). New Phenylethanoid Glycosides from the Fruits of Forsythia Suspense (Thunb.) Vahl. Molecules, 14(3), 1324-1331. https://doi.org/10.3390/molecules14031324
