Addition and Cycloaddition Reactions of Phosphinyl- and Phosphonyl-2H-Azirines, Nitrosoalkenes and Azoalkenes
Abstract
:1. Introduction
2. 2H-Azirines
2.1. Synthesis
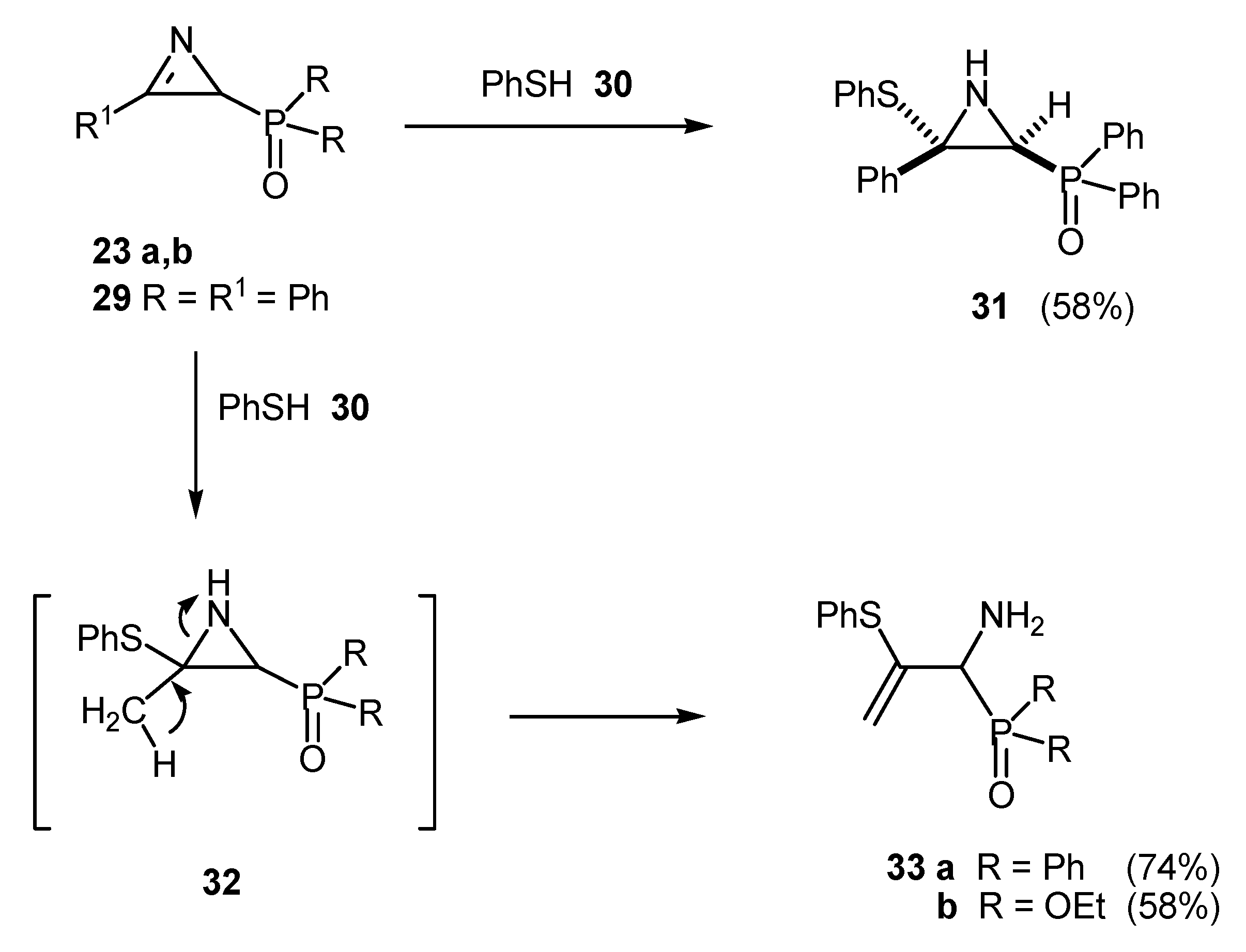
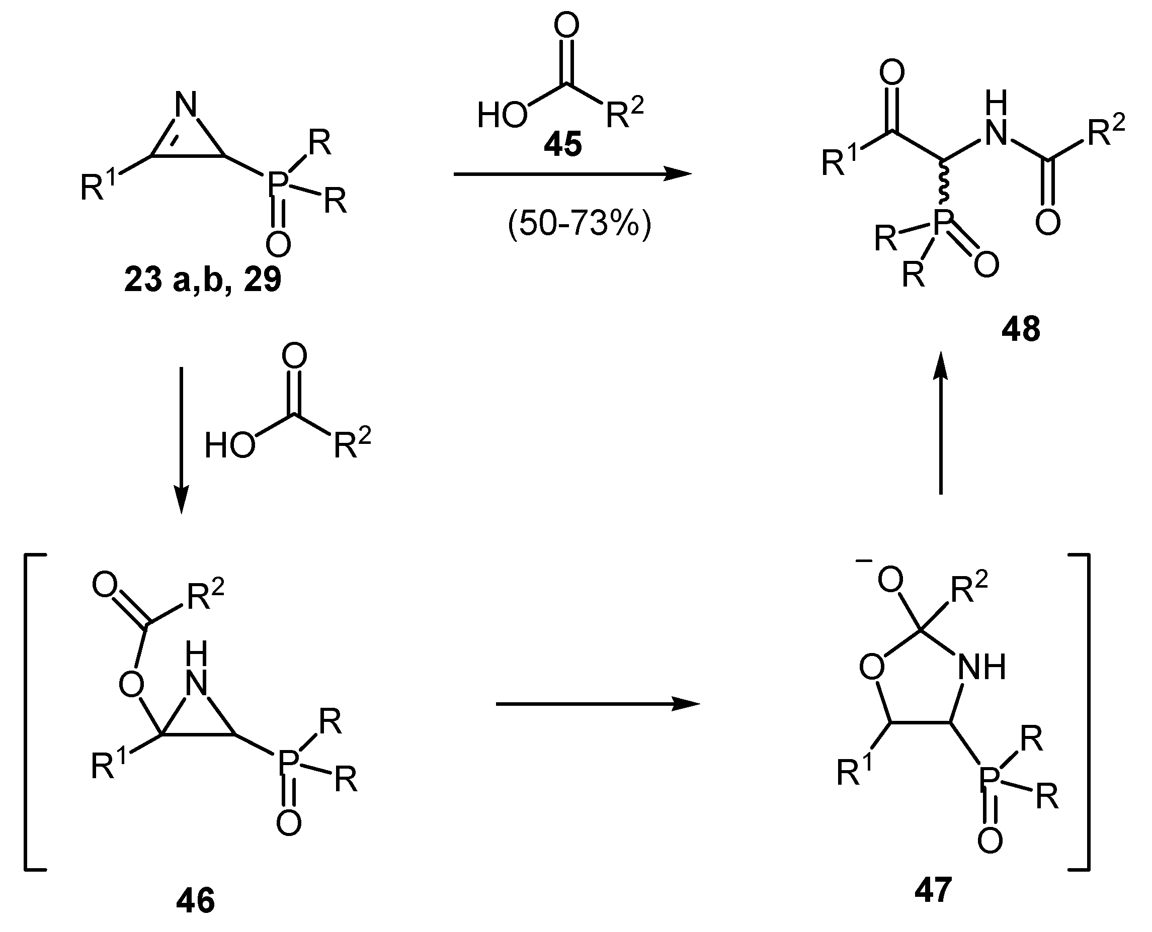
2.2. Addition reactions
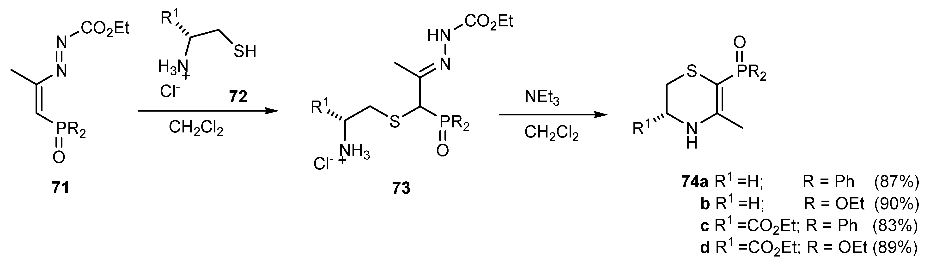
2.3. Cycloadditions
3. Nitroso- and Azo-alkenes
3.1. Synthesis or generation
3.2. Reactions with nucleophiles
3.3. Cycloadditions
4. Concluding Remarks
Acknowledgments
References and Notes
- Attanasi, O.A.; De Crescentini, L.; Favi, G.; Filippone, P.; Mantellini, F.; Perrulli, F.R.; Santeusanio, S. Cultivating the passion to build heterocycles from 1,2-diaza-1,3-dienes: The force of imagination. Eur. J. Org. Chem. 2009, 3109–3127. [Google Scholar] [CrossRef]
- Rai, K.M.L. Heterocycles via Oxime Cycloadditions. Top. Heterocycl. Chem. 2008, 13, 1–69. [Google Scholar]
- Palacios, F.; Ochoa de Retana, A.M.; Marigorta, E.M.; de los Santos, J.M. Addition Reactions to the Imine Bond of 2H-Azirines. Synthesis of Heterocyclic Compounds. In Recent Developments in Heterocyclic Chemistry; Pinho e Melo, T.M.V.D., Rocha-Gonsalves, A.M.A., Eds.; Research Signpost: Trivandrum, India, 2007; pp. 27–58. [Google Scholar]
- Reissig, H.U.; Zimmer, R. 1-Nitrosoalkenes. In Science of Synthesis; Molander, G.A., Ed.; Thieme: Stuttgard, Germany, 2006; Vol. 33, pp. 371–389. [Google Scholar]
- Pinho e Melo, T.M.V.D.; Rocha Gonsalves, A.M.A. Exploiting 2-halo-2H-Azirine chemistry. Curr. Org. Synth. 2004, 1, 275–292. [Google Scholar] [CrossRef]
- Palacios, F.; Ochoa de Retana, A.M.; Marigorta, E.M.; de los Santos, J.M. Preparation, properties and synthetic applications of 2H-Azirines. A review. Org. Prep. Proced. Int. 2002, 34, 219–269. [Google Scholar] [CrossRef]
- Attanasi, O.A.; De Crescentini, L.; Filippone, P.; Mantelilini, F.; Santeusanio, S. 1,2-Diaza-1,3-butadienes; just a nice class of compounds, or powerful tools in organic chemistry? Reviewing an experience. ARKIVOC 2002, 274–292. [Google Scholar]
- Gilchrist, T.L. Activated 2H-Azirines as Dienophiles and Electrophiles. Aldrichim. Acta 2001, 34, 51–55. [Google Scholar]
- Palacios, F.; Ochoa de Retana, A.M.; Marigorta, E.M.; de los Santos, J.M. 2H-Azirines as synthetic tools in organic chemistry. Eur. J. Org. Chem. 2001, 2401–2414. [Google Scholar] [CrossRef]
- Lyapkalo, I.M.; Ioffe, S.L. Conjugated Nitrosoalkenes. Russ. Chem. Rev. 1998, 67, 467–484. [Google Scholar] [CrossRef]
- Attanasi, O.A.; Filippone, P. Working twenty years on conjugated azo-alkenes (and environs) to find new entries in organic synthesis. Synlett 1997, 1128–1140. [Google Scholar] [CrossRef]
- Ordóñez, M.; Rojas-Cabrera, H.; Cativiela, C. An overview of stereoselective synthesis of α-aminophosphonic acids and derivatives. Tetrahedron 2009, 65, 17–49. [Google Scholar] [CrossRef] [PubMed]
- Palacios, F.; Alonso, C.; de los Santos, J.M. Synthesis of β-Aminophosphonates and -Phosphinates. Chem. Rev. 2005, 105, 899–931. [Google Scholar] [CrossRef] [PubMed]
- Moonen, K.; Laureyn, I.; Stevens, C.V. Synthetic methods for azaheterocyclic phosphonates and their biological activity. Chem. Rev. 2004, 104, 6177–6215. [Google Scholar] [CrossRef] [PubMed]
- Kafarski, P.; Lejczak, B. The Biological Activity of Phosphono- and Phosphino-peptides. In Aminophosphinic and Aminophosphonic Acids. Chemistry and Biological Activity; Kukhar, V.P., Hudson, H.R., Eds.; John Wiley & Sons Ltd: Chichester, UK, 2000; pp. 173–203, 407–442. [Google Scholar]
- Kafarski, P.; Lejczak, B. Biological activity of aminophosphonic acids. Phosphor. Sulfur Silicon 1991, 63, 193–215. [Google Scholar] [CrossRef]
- Singh, G.S.; D’hooghe, M.; De Kimpe, N. Synthesis and reactivity of C-heteroatom-substituted aziridines. Chem. Rev. 2007, 107, 2080–2135. [Google Scholar] [CrossRef] [PubMed]
- Christensen, B.G.; Beattie, T.R. Herstellung von Phosphonsäuren. Ger. Offen. 2,011,092, 1970. [Chem. Abstr. 1971, 74, 42491]. [Google Scholar]
- Russel, G.A.; Yao, C.F. Reactions of ethyl phosphites with β-nitrostyrenes. The role of nitrosoalkenes as intermediates. J. Org. Chem. 1992, 57, 6508–6513. [Google Scholar] [CrossRef]
- Alcaraz, G.; Wecker, U.; Baceiredo, A.; Dahan, F.; Bertrand, G. Synthesis of a 2H-Azirine by [1+2] cycloaddition of a phosphinocarbene with a nitrile and its ring-expansion to a 1,2λ5-Azaphosphete. Angew. Chem. Int. Ed. Engl. 1995, 34, 1246–1248. [Google Scholar] [CrossRef]
- Piquet, V.; Baceiredo, A.; Gornitzka, H.; Dahan, F.; Bertrand, G. The Stable (phosphino)(silyl)carbene as a useful building block: Synthesis and reactivity of 2-phosphorus-substituted 2H-Azirines. Chem. Eur. J. 1997, 3, 1757–1764. [Google Scholar] [CrossRef]
- Davis, F.A.; McCoull, W. Asymmetric synthesis of aziridine 2-phosphonates and azirinyl PHOSPHONATES from enantiopure sulfinimines. Tetrahedron Lett. 1999, 40, 249–252. [Google Scholar] [CrossRef]
- Davis, F.A.; Wu, Y.; Yan, H.; Prasad, K.R.; McCoull, W. 2H-Azirine 3-phosphonates: A new class of chiral iminodienophiles. asymmetric synthesis of quaternary piperidine phosphonates. Org. Lett. 2002, 4, 655–658. [Google Scholar] [CrossRef] [PubMed]
- Palacios, F.; Ochoa de Retana, A.M.; Gil, J.I.; Ezpeleta, J.M. Simple asymmetric synthesis of 2H-Azirines derived from phosphine oxides. J. Org. Chem. 2000, 65, 3213–3217. [Google Scholar] [CrossRef] [PubMed]
- Palacios, F.; Ochoa de Retana, A.M.; Gil, J.I. Easy and efficient synthesis of enantiomerically enriched 2H-azirines derived from phosphonates. Tetrahedron Lett. 2000, 41, 5363–5366. [Google Scholar] [CrossRef]
- Palacios, F.; Aparicio, D.; Ochoa de Retana, A.M.; de los Santos, J.M.; Gil, J.I.; Alonso, J.M. Asymmetric synthesis of 2H-Azirines derived from phosphine oxides using solid-supported amines. Ring opening of azirines with carboxylic acids. J. Org. Chem. 2002, 67, 7283–7288. [Google Scholar] [CrossRef] [PubMed]
- Brel, V.K. New synthetic route to 2-(Diethylphosphono)-2H-Azirines. Synthesis 2002, 1829–1832. [Google Scholar] [CrossRef]
- Brel, V.K. Synthesis of 3-azido-4-(diethoxyphosphoryl)alka-1,3-dienes and their transformation to derivatives of 2H-azirine. Synthesis 2007, 2674–2680. [Google Scholar] [CrossRef]
- Palacios, F.; Ochoa de Retana, A.M.; Alonso, J.M. Regioselective synthesis of fluoroalkylated β-aminophosphorus derivatives and aziridines from phosphorylated oximes and nucleophilic reagents. J. Org. Chem. 2006, 71, 6141–6148. [Google Scholar] [CrossRef] [PubMed]
- Palacios, F.; Ochoa de Retana, A.M.; Alonso, J.M. Reaction of 2H-Azirine phosphine oxide and -phosphonates with nucleophiles. Stereoselective synthesis of functionalized aziridines and α- and β-aminophosphorus derivatives. J. Org. Chem. 2005, 70, 8895–8901. [Google Scholar] [CrossRef] [PubMed]
- Carlson, R.M.; Lee, S.Y. Olefin synthesis via the stereospecific deamination of aziridines. Tetrahedron Lett. 1969, 10, 4001–4004. [Google Scholar] [CrossRef]
- Davis, F.A.; Liang, C.H.; Liu, H. Asymmetric synthesis of β-substituted α-amino acids using 2H-azirine-2-carboxylate esters. Synthesis of 3,3-disubstituted aziridine-2-carboxylate esters. J. Org. Chem. 1997, 62, 3796–3797. [Google Scholar] [CrossRef]
- Davis, F.A.; Deng, J.; Zhang, Y.; Haltiwanger, R.C. Aziridine-mediated asymmetric synthesis of quaternary β-amino acids using 2H-azirine 2-carboxylate esters. Tetrahedron 2002, 58, 7135–7143. [Google Scholar] [CrossRef]
- Palacios, F.; Ochoa de Retana, A.M.; Gil, J.I.; Alonso, J.M. Synthesis of optically active oxazoles and N-protected amino acids or peptides. Tetrahedron Asymmetry 2002, 13, 2541–2552. [Google Scholar] [CrossRef]
- Palacios, F.; Ochoa de Retana, A.M.; Gil, J.I.; Alonso, J.M. Regioselective synthesis of 4- and 5-oxazole-phosphine oxides and –phosphonates from 2H-azirines and acyl chlorides. Tetrahedron 2004, 60, 8937–8947. [Google Scholar] [CrossRef]
- Anderson, D.J.; Hassner, A. Synthesis of heterocycles via cycloadditions to 1-azirines. Synthesis 1975, 483–495. [Google Scholar] [CrossRef]
- Ray, C.A.; Risberg, E.; Somfai, P. Lewis acid-catalyzed hetero Diels–Alder cycloadditions of 3-alkyl, 3-phenyl and 3-carboxylated 2H-azirine. Tetrahedron Lett. 2001, 42, 9289–9291. [Google Scholar] [CrossRef]
- Ray, C.A.; Risberg, E.; Somfai, P. Diastereoselective Lewis acid-catalysed [4+2] cycloadditions of 3-alkyl-, 3-aryl- and 3-carboxyl-2H-azirines: A route to aziridine containing azabicyclo[4.1.0]heptanes and azatricyclo[2.2.1.0]nonanes. Tetrahedron 2002, 58, 5983–5987. [Google Scholar] [CrossRef]
- Gilchrist, T.L.; Mendonça, R. Synthesis and diels–alder reactions of 2H-azirine-3-carboxamides. ARKIVOC 2000, 769–778. [Google Scholar]
- Alves, M.J.; Fortes, A.G.; Lemos, A.; Martins, C. Ethyl 3-(2-pyridyl)-2H-azirine-2-carboxylate: synthesis and reaction with dienes. Synthesis 2005, 555–558. [Google Scholar]
- Alves, M.J.; Lemos, A.; Rodriguez-Borges, J.E.; García-Mera, X.; Fortes, A.G. Ethyl 2-(diisopropoxyphosphoryl)-2H-azirine-3-carboxylate: Reactions with nucleophilic 1,3-dienes. Synthesis 2009, 3263–3266. [Google Scholar] [CrossRef]
- Alves, M.J.; Gilchrist, T.L. Methyl 2-aryl-2H-azirine-3-carboxylates as dienophiles. J. Chem. Soc. Perkin 1 1998, 299–303. [Google Scholar] [CrossRef]
- Palacios, F.; Aparicio, D.; de 1os Santos, J.M. An efficient strategy for the regioselective synthesis of 3-phosphorylated-1-aminopyrroles from β-hydrazono phosphine oxides and phosphonates. Tetrahedron 1999, 55, 13767–13778. [Google Scholar] [CrossRef]
- Palacios, F.; Aparicio, D.; López, Y.; de los Santos, J.M. Addition of amine derivatives to phosphorylated 1,2-diaza-1,3-butadienes. Synthesis of α-aminophosphonates. Tetrahedron Lett. 2004, 45, 4345–4348. [Google Scholar] [CrossRef]
- Palacios, F.; Aparicio, D.; López, Y.; de los Santos, J.M.; Ignacio, R. An efficient synthesis of functionalized α-amino-phosphine oxides and -phosphonates by addition of aminoalcohols to 4-phosphorylated-1,2-diaza-1,3-butadienes. Arkivoc 2005, 153–161. [Google Scholar]
- Palacios, F.; Aparicio, D.; López, Y.; de los Santos, J.M. Synthesis of functionalized a-amino-phosphine oxides and -phosphonates by addition of amines and aminoesters to 4-phosphinyl- and 4-phosphonyl-1,2-diaza-1,3-butadienes. Tetrahedron 2005, 61, 2815–2830. [Google Scholar] [CrossRef]
- Attanasi, O.A.; Filippone, P.; Lillini, S.; Mantellini, F.; Nicolini, S.; de los Santos, J.M.; Ignacio, R.; Aparicio, D.; Palacios, F. Reactions of 1,2-diaza-1,3-dienes with thiol derivatives: A versatile construction of nitrogen/sulfur heterocycles. Tetrahedron 2008, 64, 9264–9274. [Google Scholar] [CrossRef]
- Attanasi, O.A.; Baccolini, G.; Boga, C.; De Crescentini, L.; Favi, G.; Filippone, P.; Mantellini, F. Carbon-phosphorus bond formation and transformation in the reaction of 1,2-diaza-1,3-butadienes with alkyl phenylphosphonites. Tetrahedron 2008, 64, 6724–6732. [Google Scholar] [CrossRef]
- Attanasi, O.A.; Filippone, P.; Lillini, S.; Mantellini, F.; de los Santos, J.M.; Ignacio, R.; Palacios, F. Domino reaction for the construction of new 2-Oxo[1,2,4]triazolo[5,1-c]thiazines. Synlett 2009, 735–738. [Google Scholar]
- Aparicio, D.; Attanasi, O.A.; Filippone, P.; Ignacio, R.; Lillini, S.; Mantellini, F.; Palacios, F.; de los Santos, J.M. Straightforward access to pyrazines, piperazinones, and quinoxalines by reactions of 1,2-diaza-1,3-butadienes with 1,2-diamines under solution, solvent-free, or solid-phase conditions. J. Org. Chem. 2006, 71, 5897–5905. [Google Scholar] [CrossRef] [PubMed]
- Lemos, A.; Lopes, M. Reactions of azovinylphosphonates with nucleophilic alkenes and heterocycles: Synthesis of tetrahydropyridazine-3-phosphonate and 2-substituted-1-hydrazonoethylphosphonate derivatives. Phosphor. Sulfur Silicon 2008, 183, 2882–2890. [Google Scholar] [CrossRef]
- Gilchrist, T.L; Lingham, D.A.; Roberts, T.G. Ethyl 3-bromo-2-hydroxyiminopropanoate, a reagent for the preparation of ethyl esters of α-amino acids. J. Chem. Soc. Chem. Commun. 1979, 1089–1090. [Google Scholar] [CrossRef]
- Gilchrist, T.L.; Stretch, W.; Chrystal, E.J.T. Reaction of azoles with ethyl bromopyruvate oxime: Alkylation by substitution and by elimination-addition. J. Chem. Soc. Perkin Trans. 1 1987, 2235–2239. [Google Scholar] [CrossRef]
- Zimmer, R.; Reissig, H.U. Efficient synthesis of trifluoromethyl-substituted 5,6-dihydro-4H-1,2-oxazines by the hetero-diels-alder reaction of l,l,l-trifluoro-2-nitroso-2-propene and electron-rich olefins. J. Org. Chem. 1992, 57, 339–347. [Google Scholar] [CrossRef]
- De los Santos, J.M.; Ignacio, R.; Aparicio, D.; Palacios, F. Michael addition of amine derivatives to conjugate phosphinyl and phosphonyl nitrosoalkenes. Preparation of α-amino phosphine oxide and phosphonate derivatives. J. Org. Chem. 2007, 72, 5202–5206. [Google Scholar] [CrossRef] [PubMed]
- Henning, R.; Lerch, U.; Urbach, H. Synthesis of esters of lipophilic proline analogs by reduction of ethyl 5,6- dihydro-4H-1,2-oxazine-3-carboxylates. Synthesis 1989, 265–268. [Google Scholar] [CrossRef]
- Paulini, K.; Reissig, H.U.; Rademacher, P. On the reactivity of N,N-bis(trimethyl)silylated enamines: Model studies on hetero Diels-Alder reactions and other cycloadditions. J. Prakt. Chem. 1995, 337, 209–215. [Google Scholar] [CrossRef]
- Gallos, J.K.; Sarli, V.C.; Varvogli, A.C; Papadoyanni, C.Z.; Papaspyrou, S.D.; Argyropoulos, N.G. The hetero-Diels–Alder addition of ethyl 2-nitrosoacrylate to electron-rich alkenes as a route to unnatural α-amino acids. Tetrahedron Lett. 2003, 44, 3905–3909. [Google Scholar] [CrossRef]
- Wabnitz, T.C.; Saaby, S.; Jorgensen, K.A. The first catalytic inverse-electron demand hetero-Diels–Alder reaction of nitroso alkenes using pyrrolidine as an organocatalyst. Org. Biomol. Chem. 2004, 2, 828–834. [Google Scholar] [CrossRef] [PubMed]
- Gallos, J.K.; Sarli, V.C.; Massen, Z.S.; Varvogli, A.C.; Papadoyanni, C.Z; Papaspyrou, S.D.; Argyropoulos, N.G. A new strategy for the stereoselective synthesis of unnatural a-amino acids. Tetrahedron 2005, 61, 565–574. [Google Scholar] [CrossRef]
- Domingo, L.R.; Picher, M.T.; Arroyo, P. Towards an understanding of the polar Diels–Alder reactions of nitrosoalkenes with enamines: A theoretical study. Eur. J. Org. Chem. 2006, 2570–2580. [Google Scholar] [CrossRef]
- Rossi, E.; Abbiati, G.; Attanasi, O.A.; Rizzato, S.; Santeusanio, S. Divergent and solvent dependent reactions of 4-ethoxycarbonyl-3-methyl-1-tert-butoxycarbonyl-1,2-diaza-1,3-diene with enamines. Tetrahedron 2007, 63, 11055–11065. [Google Scholar] [CrossRef]
- Attanasi, O.A.; Favi, G.; Filippone, P.; Forzato, C.; Giorgi, G.; Morganti, S.; Nitti, P.; Pitacco, G.; Rizzato, E.; Spinelli, S.; Valentin, E. On the reactivity of some 2-methyleneindolines with β-nitroenamines, α-nitroalkenes, and 1,2-diaza-1,3-butadienes. Tetrahedron 2006, 62, 6420–6434. [Google Scholar] [CrossRef]
- South, M.S. Novel cyclization reactions of mono- and dichloroazodienes. A new synthesis of substituted pyridazines. J. Heterocycl. Chem. 1999, 36, 301–319. [Google Scholar] [CrossRef]
- South, M.S.; Jakuboski, T.L.; Westmeyer, M.D.; Dukesherer, D.R. Synthesis and reactions of haloazodienes. A new and general synthesis of substituted pyridazines. J. Org. Chem. 1996, 61, 8921–8934. [Google Scholar] [CrossRef] [PubMed]
- South, M.S.; Jakuboski, T.L.; Westmeyer, M.D.; Dukesherer, D.R. Novel cyclization reactions of dichloroazodienes. Tetrahedron Lett. 1996, 37, 1351–1354. [Google Scholar] [CrossRef]
- South, M.S.; Jakuboski, T.L. Synthesis and reactions of chloroazodienes. A new and general synthesis of pyridazines. Tetrahedron Lett. 1995, 36, 5703–5706. [Google Scholar]
- Clarke, S.J.; Davies, D.E.; Gilchrist, T.L. Competing [4+2] and [3+2] cycloaddition in the reactions of nucleophilic olefins with ethyl 3-(toluene-p-sulphonylazo)but-2-enoate. J. Chem. Soc. Perkin Trans. 1 1983, 1803–1807. [Google Scholar] [CrossRef]
- Sommer, S. [3+2]-cycloadditionen von azoalkenen an enamine—“criss-cross”—cycloadditionen an azoalkene. Angew.Chem. 1979, 91, 756–757. [Google Scholar] [CrossRef]
- De los Santos, J.M.; Ignacio, R.; Aparicio, D.; Palacios, F.; Ezpeleta, J.M. Reactions of conjugate phosphinyl- and phosphonyl-nitroso alkenes with enamines. Preparation of N-hydroxypyrrole derivatives. J. Org. Chem. 2009, 74, 3444–3448. [Google Scholar] [CrossRef] [PubMed]
- Palacios, F.; Aparicio, D.; López, Y.; De los Santos, J.M.; Alonso, C. Cycloaddition reactions of phosphorylated 1,2-diaza-1,3-butadienes with olefins: Regioselective synthesis of pyridazine derivatives. Eur. J. Org. Chem. 2005, 1142–1147. [Google Scholar] [CrossRef]
- Gilchrist, T.L.; Lemos, A. Reaction of pyrroles with ethyl 2-nitroso- and 2-azo-propenoates, and with ethyl cyanoformate N-oxide: A comparison of the reaction pathways. J. Chem. Soc. Perkin Trans. 1 1993, 1391–1395. [Google Scholar] [CrossRef]
- Clarke, S.J.; Gilchrist, T.L.; Lemos, A.; Roberts, T.G. Reactions of azoalkenes derived from hydrazones of ethyl bromopyruvate with electron rich alkenes and heterocycles. Tetrahedron 1991, 47, 5615–5624. [Google Scholar] [CrossRef]
- Lemos, A.; Lopes, M. Reactions of nitrosovinylphosphonates with electron-rich alkenes and heterocycles. Phosphor. Sulfur Silicon 2007, 182, 2149–2155. [Google Scholar]
- Hu, E.X. Nucleophilic ring opening of aziridines. Tetrahedron 2004, 60, 2701–2743. [Google Scholar] [CrossRef]
- Rogers, R.S.; Stern, M.K. An improved synthesis of the phosphonic acid analog of tryptophan. Synlett 1992, 708. [Google Scholar] [CrossRef]
- Burk, M.J.; Martinez, J.P.; Feaster, J.E.; Cosford, N. Catalytic asymmetric reductive amination of ketones via highly enantioselective hydrogenation of the C=N double bond. Tetrahedron 1994, 50, 4399–4428. [Google Scholar] [CrossRef]
- Demir, A.S.; Tanyeli, C.; Sesenoglu, O.; Demiç, S. A simple synthesis of 1-aminophosphonic acids from 1-hydroxyiminophosphonates with NaBH4 in the presence of transition metal compounds. Tetrahedron Lett. 1996, 37, 407–410. [Google Scholar] [CrossRef]
Sample Availability: Not applicable. |
































© 2009 by the authors; licensee Molecular Diversity Preservation International, Basel, Switzerland. This article is an open-access article distributed under the terms and conditions of the Creative Commons Attribution license (http://creativecommons.org/licenses/by/3.0/).
Share and Cite
Lemos, A. Addition and Cycloaddition Reactions of Phosphinyl- and Phosphonyl-2H-Azirines, Nitrosoalkenes and Azoalkenes. Molecules 2009, 14, 4098-4119. https://doi.org/10.3390/molecules14104098
Lemos A. Addition and Cycloaddition Reactions of Phosphinyl- and Phosphonyl-2H-Azirines, Nitrosoalkenes and Azoalkenes. Molecules. 2009; 14(10):4098-4119. https://doi.org/10.3390/molecules14104098
Chicago/Turabian StyleLemos, Américo. 2009. "Addition and Cycloaddition Reactions of Phosphinyl- and Phosphonyl-2H-Azirines, Nitrosoalkenes and Azoalkenes" Molecules 14, no. 10: 4098-4119. https://doi.org/10.3390/molecules14104098
APA StyleLemos, A. (2009). Addition and Cycloaddition Reactions of Phosphinyl- and Phosphonyl-2H-Azirines, Nitrosoalkenes and Azoalkenes. Molecules, 14(10), 4098-4119. https://doi.org/10.3390/molecules14104098
