The Effect of Dye Density on the Efficiency of Photosensitization of TiO2 Films: Light-Harvesting by Phenothiazine-Labelled Dendritic Ruthenium Complexes
Abstract
:1. Introduction
1.1. Dye Sensitization
1.2. Dye-Loaded Dendrimers
1.3. Photosensitized Charge Injection
2. Results and Discussion
2.1. Spectral Analysis
2.2. Ligands and Complexes in Homogeneous Solution
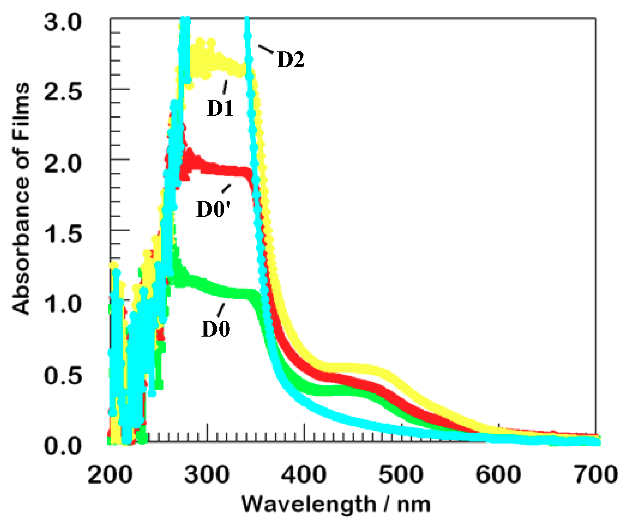
2.3. Steady State Optical Properties of Films
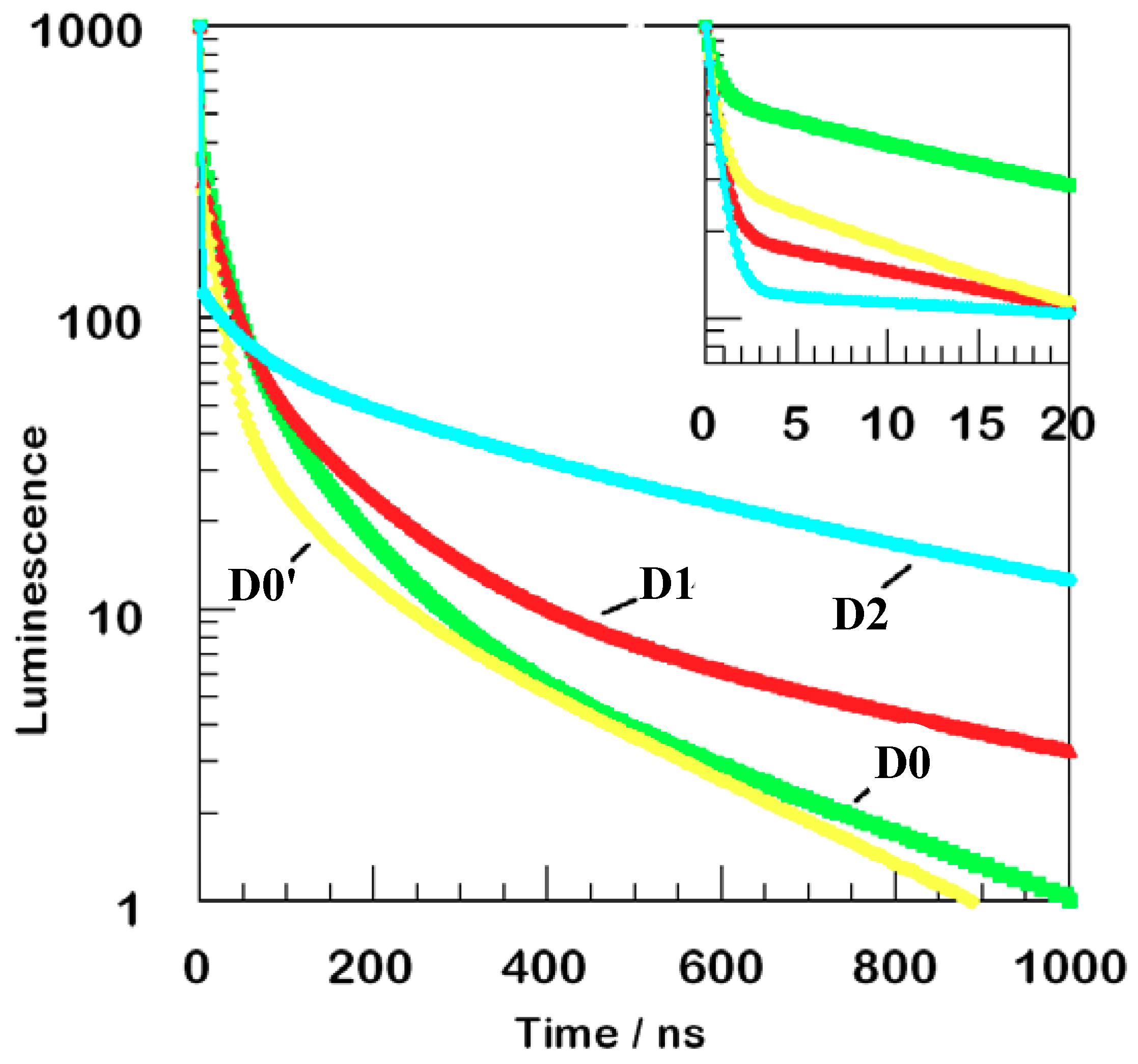
2.4. Time-Resolved Photoluminescence of the Thin Films
2.5. Transient Absorption
3. Experimental
3.1. Chemicals
3.2. Preparation of Dye-loaded Dendrons Bound to Bis[2,2’-bipyridine-4,4’-dicarboxylic acid (dcb)]ruthenium Complex [PnGn-Ru-(CO2H)4]
- D0 = P1G0Ru(CO2H)4: yield 60% , Anal. Calcd for C50H39Cl2N7O8RuS∙xH2O: C, 56.13; H, 3.67; N, 9.16, found: C, 55.84, H, 3.92; N, 8.84. FAB MS, m/z = 999.0 [M – 2Cl].
- D1 = P2G1Ru(CO2H)4: yield 30% , Anal. Calcd. for C71H56Cl2N8O10RuS2∙xH2O: C, 60.17; H, 3.98; N, 7.91, found: C, 59.62, H, 4.07; N, 7.64. FAB MS, m/z = 1368.2 [M + Na – H – 2Cl].
- D2 = P4G2Ru(CO2H)4: yield 10%, Anal. Calcd. for C113H90Cl2N10O14RuS4∙xH2O: C, 64.26; H, 4.29; N, 6.63, found: C, 61.54; H, 4.35; N, 6.64. MALDI-TOF-MS (matrix: DHB), m/z = 2061.5 [M + Na–2H–2Cl].
3.3. Preparation of Dendron/ TiO2 Nanocomposite Films
3.4. Steady-state Absorption and Luminescence
3.5. Time-Resolved Emission
3.6. Transient Absorption
4. Conclusions
Acknowledgements
References and Notes
- Durr, H.; Bossman, S. Ruthenium polypyridine complexes: On the route to biomimetic assemblies as models for the photosynthetic reaction center. Acc. Chem. Res. 2001, 34, 905–917. [Google Scholar] [CrossRef] [PubMed]
- Chanon, M.; Fox, M.A. (Eds.) Photoinduced Electron Transfer; Elsevier Press: Amsterdam, The Netherlands, 1986; Vols. 1-4. [Google Scholar]
- Vlcek, A., Jr. Electron Transfer in Chemistry; Balzani, V., Ed.; Wiley-VCH: New York, NY, USA, 2001; Vol. 2, pp. 804–877. [Google Scholar]
- Meyer, T.J. Chemical approaches to artificial photosynthesis. Acc. Chem. Res. 1989, 22, 163–170. [Google Scholar] [CrossRef]
- Grätzel, M. (Ed.) Energy Resources through Photochemistry and Catalysis; Academic Press: New York, NY, USA, 1983. [Google Scholar]
- Wenger, B.; Grätzel, M.; Moser, J.E. Rationale for kinetic heterogeneity of ultrafast light-induced electron transfer from Ru(II) complex sensitizers to nanocrystalline TiO2. J. Am. Chem. Soc. 2005, 127, 12150–12151. [Google Scholar] [CrossRef] [PubMed]
- O’Reagan, B.; Grätzel, M. A low-cost, high-efficiency solar cell based on dye-sensitized colloidal TiO2 films. Nature 1991, 353, 737–740. [Google Scholar] [CrossRef]
- Gust, D.; Moore, T.A.; Moore, A. Mimicking photosynthetic solar energy transduction. Acc. Chem. Res. 2001, 34, 40–48. [Google Scholar] [CrossRef] [PubMed]
- Bard, A.J.; Fox, M.A. Artificial photosynthesis: Solar splitting of water to hydrogen and oxygen. Accts. Chem. Res. 1995, 28, 141–149. [Google Scholar] [CrossRef]
- Fujishima, A.; Honda, K. Electrochemical evidence for the mechanism of the primary stage of photosynthesis. Bull. Chem. Soc. Japan 1971, 44, 1048–1050. [Google Scholar] [CrossRef]
- Fujishima, A.; Honda, K. Electrochemical photolysis of water at a semiconductor electrode. Nature 1972, 238, 37–38. [Google Scholar] [CrossRef] [PubMed]
- Rajeshwar, K. Hydrogen generation at irradiated oxide semiconductor–solution interfaces. J. Appl. Electrochem. 2007, 371, 765–787. [Google Scholar] [CrossRef]
- Nozik, A.J. Photochemical diodes. Appl. Phys. Lett. 1977, 30, 567–569. [Google Scholar] [CrossRef]
- Gao, F.; Wang, Y.; Shi, D.; Zhang, J.; Wang, M.K.; Jing, X.Y.; Humphry-Baker, R.; Wang, P.; Zakeeruddin, S.M.; Grätzel, M. Enhance the optical absorptivity of nanocrystalline tio2 film with high molar extinction coefficient ruthenium sensitizers for high performance dye-sensitized solar cells. J. Am. Chem. Soc. 2008, 130, 10720–10728. [Google Scholar] [CrossRef] [PubMed]
- Moore, J.S. Molecular design of thin film optoelectronic materials for solar cells. J. Am. Chem. Soc. 2008, 130, 12201–12203. [Google Scholar] [CrossRef] [PubMed]
- O’Reagan, B.C.; Lopez-Duarte, I.; Victoria-Martinez, M.; Fomell, A.; Alero, J.; Morandeza, A.; Palomares, E.; Terres, T.; Durant, J.R. Catalysis of recombination and its limitation on open circuit voltage for dye sensitized photovoltaic cells using phthalocyanine Dyes. J. Am. Chem. Soc. 2008, 130, 2906–2907. [Google Scholar] [CrossRef] [PubMed]
- Dance, Z.E.X; Ahrens, M.J.; Vega, A.M.; Ricks, A.B.; McCamani, D.W.; Ratner, M.A.; Wasielewski, M. Direct observation of the preference of hole transfer over electron transfer for radical ion pair recombination in donor-bridge-acceptor molecules. J. Am. Chem. Soc. 2008, 130, 830–832. [Google Scholar] [CrossRef] [PubMed]
- Veldman, D.; Ipek, O.; Maskers, S.E.J.; Sweetssen, J.; Koelse, M.M.; Veenstra, S.C.; Kroon, J.M.; vanVeldman, S.; Loos, J.; Janssen, R.A. Compositional and electric field dependence of the dissociation of charge transfer excitons in alternating polyfluorene copolymer/fullerene blends. J. Am. Chem. Soc. 2008, 130, 7721–7735. [Google Scholar] [CrossRef] [PubMed]
- Stewart, G.M.; Fox, M.A. Chromophore-Labeled Dendrons as light harvesting antennae. J. Am. Chem. Soc. 1996, 118, 4354–4360. [Google Scholar] [CrossRef]
- Ghaddar, T.H.; Whitesell, J.K.; Fox, M.A. Excimer formation in a naphthalene-labeled dendrimer. J. Phys. Chem. 2001, 105, 8729–8731. [Google Scholar] [CrossRef]
- Ghaddar, T.H.; Wishart, J.F.; Thompson, D.W.; Whitesell, J.K.; Fox, M.A. A dendrimer-based electron antenna: paired electron-transfer reactions in dendrimers with a 4,4’-Bipyridine core and naphthalene peripheral groups. J. Am. Chem. Soc. 2002, 124, 8285–8289. [Google Scholar] [CrossRef] [PubMed]
- Zhu, L.Y.; Tong, X.F.; Li, M.Z.; Wang, E.J. Luminescence enhancement of Tb3+ ion in assemblies of amphiphilic linear-dendritic block copolymers: Antenna and microenvironment effects. J. Phys. Chem. B 2001, 105, 2461–2464. [Google Scholar] [CrossRef]
- Taranekar, P.; Fulghum, T.; Patton, D.; Ponnapati, R.; Clyde, G.; Advincula, R. Investigating carbazole jacketed precursor dendrimers: Sonochemical synthesis, characterization, and electrochemical crosslinking properties. J. Am. Chem. Soc. 2007, 129, 12537–12548. [Google Scholar] [CrossRef] [PubMed]
- Jiang, D.L.; Aida, T. Photoisomerization in dendrimers by harvesting of low-energy photons. Nature 1997, 388, 454–456. [Google Scholar] [CrossRef]
- Devadoss, C.; Bharathi, P.; Moore, J.S. Energy Transfer in dendritic macromolecules: Molecular size effects and the role of an energy gradient. J. Am. Chem. Soc. 1996, 118, 9635–9644. [Google Scholar] [CrossRef]
- Sharma, V. Structural origin of circularly polarized iridescence in jeweled beetles. Science 2009, 325, 449–456. [Google Scholar] [CrossRef] [PubMed]
- Frechet, J.M.J. Functional polymers and dendrimers: Reactivity, molecular architecture, and interfacial energy. Science 1994, 263, 1710–1715. [Google Scholar] [CrossRef] [PubMed]
- Hawker, C.J.; Frechet, J.M.J. Preparation of polymers with controlled molecular architecture: A new convergent approach to dendritic macromolecules. J. Am. Chem. Soc. 1990, 112, 7638–7647. [Google Scholar] [CrossRef]
- Wooley, K.L.; Hawker, C.J.; Frechet, J.M.J. Unsymmetrical three-dimensional macromolecules: preparation and characterization of strongly dipolar dendritic macromolecules. J. Am. Chem. Soc. 1993, 115, 11496–505. [Google Scholar] [CrossRef]
- Zhu, L.; Magde, D.; Whitesell, J.K.; Fox, M.A. Optical and electrochemical properties of shell-core dendrimers: Ruthenium coordination complexes capped with sized phenothiazine-substituted bipyridines. Inorg. Chem. 2009, 48, 1811–1818. [Google Scholar] [CrossRef] [PubMed]
- Biju, V.; Micic, M.; Hu, D.H.; Lu, H.P. Intermittent single-molecule interfacial electron transfer dynamics. J. Am. Chem. Soc. 2004, 126, 9374–9381. [Google Scholar] [CrossRef] [PubMed]
- Haque, S.A.; Handa, S.; Peter, K.; Palomares, E.; Thelakkat, M.; Durrant, J.R. Supermolecular control of charge transfer in dye-sensitized nanocrystalline TiO2 films: Towards a quantitative structure-function relationship. Angew. Chem. Int. Ed. 2005, 44, 5740–5744. [Google Scholar] [CrossRef] [PubMed]
- Argazzi, R.A.; Bignozzi, C.A.; Heimer, T.A.; Castellano, F.N.; Meyer, G.J. Light-induced charge separation across Ru(II)-modified nanocrystalline TiO2 interfaces with phenothiazine donors. J. Phys. Chem. B 1997, 101, 2591–2597. [Google Scholar] [CrossRef]
- Odobel, F.; Zabri, H. Preparations and characterizations of bichromophoric systems composed of a ruthenium polypyridine complex connected to a difluoroborazaindacene or a Zinc phthalocyanine chromophore. Inorg. Chem. 2005, 44, 5600–5611. [Google Scholar] [CrossRef] [PubMed]
- Nazeeruddin, M.; Zakeeruddin, S.M.; Humphry-Baker, R.; Jirousek, M.; Liska, P.; Vlachopoulos, N.; Shklover, V.; Fischer, C.H.; Grätzel, M. Acid-base equilibria of (2,2’-Bipyridyl-4,4’-dicarboxylic acid) ruthenium(II) complexes and the effect of protonation on charge-transfer sensitization of nanocrystalline titania. Inorg. Chem. 1999, 38, 6298–5305. [Google Scholar] [CrossRef] [PubMed]
- Zhang, D.; Downing, J.A.; Knorr, F.J.; McHale, J.L. Room-temperature preparation of nanocrystalline TiO2 films and the influence of surface properties on dye-sensitized solar energy conversion. J. Phys. Chem. B 2006, 110, 21890–21898. [Google Scholar] [CrossRef] [PubMed]
Sample Availability: Samples of the compounds are available from the authors. |








© 2009 by the authors; licensee Molecular Diversity Preservation International, Basel, Switzerland. This article is an open-access article distributed under the terms and conditions of the Creative Commons Attribution license (http://creativecommons.org/licenses/by/3.0/).
Share and Cite
Fox, M.A.; Whitesell, J.K.; Magde, D.; Zhu, L.-Y. The Effect of Dye Density on the Efficiency of Photosensitization of TiO2 Films: Light-Harvesting by Phenothiazine-Labelled Dendritic Ruthenium Complexes. Molecules 2009, 14, 3851-3867. https://doi.org/10.3390/molecules14103851
Fox MA, Whitesell JK, Magde D, Zhu L-Y. The Effect of Dye Density on the Efficiency of Photosensitization of TiO2 Films: Light-Harvesting by Phenothiazine-Labelled Dendritic Ruthenium Complexes. Molecules. 2009; 14(10):3851-3867. https://doi.org/10.3390/molecules14103851
Chicago/Turabian StyleFox, Marye Anne, James K. Whitesell, Douglas Magde, and Lin-Yong Zhu. 2009. "The Effect of Dye Density on the Efficiency of Photosensitization of TiO2 Films: Light-Harvesting by Phenothiazine-Labelled Dendritic Ruthenium Complexes" Molecules 14, no. 10: 3851-3867. https://doi.org/10.3390/molecules14103851
APA StyleFox, M. A., Whitesell, J. K., Magde, D., & Zhu, L.-Y. (2009). The Effect of Dye Density on the Efficiency of Photosensitization of TiO2 Films: Light-Harvesting by Phenothiazine-Labelled Dendritic Ruthenium Complexes. Molecules, 14(10), 3851-3867. https://doi.org/10.3390/molecules14103851
