Next Article in Journal
Evaluation of the Chemical Composition of Brazilian Commercial Cymbopogon citratus (D.C.) Stapf Samples
Previous Article in Journal
Synthesis of a Novel D-Glucose-Conjugated 15-Crown-5 Ether with a Spiro Ketal Structure
 
 
Font Type:
Arial Georgia Verdana
Font Size:
Aa Aa Aa
Line Spacing:
Column Width:
Background:
Article

Oligomerization of Indole Derivatives with Incorporation of Thiols

1
Department of Pharmaceutical Biosciences, Division of Pharmaceutical Pharmacology, Uppsala Biomedical center, Uppsala University, S-751 24, Uppsala, Sweden
2
Latvian Institute of Organic Synthesis, Aizkraukles 21, LV-1006, Riga, Latvia
3
Department of Biochemistry and Organic Chemistry, Box 576, Uppsala University, S-751 23, Uppsala, Sweden
*
Author to whom correspondence should be addressed.
Molecules 2008, 13(8), 1846-1863; https://doi.org/10.3390/molecules13081846
Submission received: 10 June 2008 / Revised: 18 August 2008 / Accepted: 19 August 2008 / Published: 26 August 2008

Abstract

:
Two molecules of indole derivative, e.g. indole-5-carboxylic acid, reacted with one molecule of thiol, e.g. 1,2-ethanedithiol, in the presence of trifluoroacetic acid to yield adducts such as 3-[2-(2-amino-5-carboxyphenyl)-1-(2-mercaptoethylthio)ethyl]-1H-indole-5-carboxylic acid. Parallel formation of dimers, such as 2,3-dihydro-1H,1'H-2,3'-biindole-5,5'-dicarboxylic acid and trimers, such as 3,3'-[2-(2-amino-5-carboxy-phenyl)ethane-1,1-diyl]bis(1H-indole-5-carboxylic acid) of the indole derivatives was also observed. Reaction of a mixture of indole and indole-5-carboxylic acid with 2-phenylethanethiol proceeded in a regioselective way, affording 3-[2-(2-aminophenyl)-1-(phenethylthio)ethyl]-1H-indole-5-carboxylic acid. An additional product of this reaction was 3-[2-(2-aminophenyl)-1-(phenethylthio)ethyl]-2,3-dihydro-1H,1'H-2,3'-biindole-5'-carboxylic acid, which upon standing in DMSO-d6 solution gave 3-[2-(2-aminophenyl)-1-(phenethylthio)ethyl]-1H,1'H-2,3'-biindole-5'-carboxylic acid. Structures of all compounds were elucidated by NMR, and a mechanism for their formation was suggested.

Introduction

Multistage solid phase organic synthesis, which excludes isolation of intermediates steps, is an attractive method for the preparation of diverse chemical substances [1]. However, a high yield of desired product at each synthetic stage is particularly important for these methods [2], as various side reactions, lowering the chemical yield of the individual synthetic steps, are the main limitation of the method [3]. In order to make the method more efficient, a deeper understanding of these unwanted processes is desirable.
Scheme 1. Incorporation of thiols. Proposed mechanism and related substances.
Scheme 1. Incorporation of thiols. Proposed mechanism and related substances.
In our previous investigation of indole-5-carboxylic acid derivatives attached to carboxylated Wang polymer [4], LC/MS analysis after the cleavage step using trifluoroacetic acid and 1,2-ethanedithiol mixture unexpectedly showed the presence of compounds whose molecular mass corresponded to dimerization of the expected products with addition of 1,2-ethanedithiol.
Dimers [5,6,7,8,9,10], trimers [8, 11,12,13,14,15,16,17] and tetramers [7, 14, 15, 17] of indole and its derivatives are described in a number of research articles and patents. It is well documented that indole (1) forms the indole dimer 2,3-dihydro-1H,1'H-2,3'-biindole [6, 15] (2, Scheme 1) and trimer 2-[2,2-di(1H-indol-3-yl)ethyl]-aniline [5, 12, 15] (3, Figure 1) under various acidic conditions.

Results and Discussion

To investigate the aforementioned unknown side reaction, in the present study we tried to prepare a similar compound from indole-5-carboxylic acid itself. Indole-5-carboxylic acid (1a, Scheme 1) was treated with trifluoroacetic acid and 1,2-ethanedithiol mixture. Indeed, the expected dimerization and addition reactions furnished the desired product. In addition, according to LC/MS, along with the dimer and trimer of indole-5-carboxylic acid, a product, whose molecular mass corresponded to the sum of mass of four molecules of indole-5-carboxylic acid and one molecule 1,2-ethanedithiol was detected.
Figure 1. Indole trimers.
Figure 1. Indole trimers.
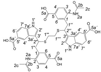
A detailed NMR investigation of the products was performed using 1H [18], COSY [18, 19], proton decoupled 13C [18, 20], HETRES [21] and selective long range INEPT [22] experiments, and evaluation of the resulting NMR data confirmed proposed structures 2a (Scheme 1), 3a (Figure 1), 5a and 6a (Scheme 1). Moreover, as additional proof of the correctness of the proposed structures, their corresponding acetylated derivatives 2b (Scheme 1), 3b (Figure 1), 5b and 6b (Scheme 1) were also prepared and their structures investigated.
1,2-Ethanedithiol is known to be a strong nucleophilic reagent, widely used as the most effective scavenger of carbonium ions [23]. Incorporation of dithiol could be explained in terms of the mechanism proposed by Smith [11] and Sundberg [24] for oligomerization of indole (Scheme 1). We suggest that ethanedithiol reacts with the indole-5-carboxylic acid dimer 4a (Scheme 1) forming an ethanedithiol adduct 5a. Competitive attachment of the third molecule of indole-5-carboxylic acid leads to parallel formation of trimer 3a (Figure 1). It is logical to assume that in a way similar to formation of 5a, the SH group in 5a reacts further with the protonated dimer 4a yielding a symmetric structure 6a (Scheme 1).
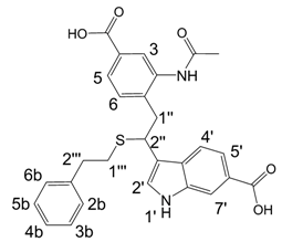
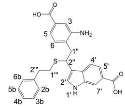
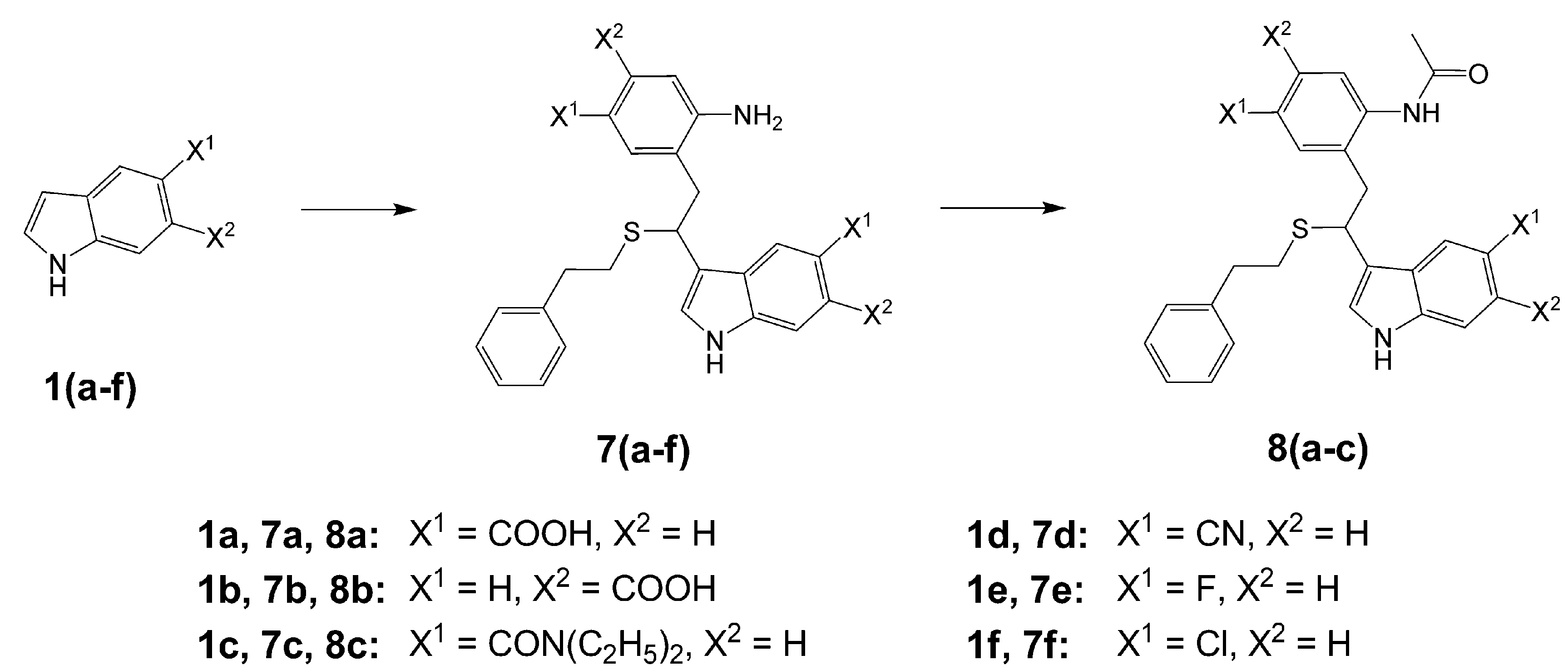
Further, we investigated the influence of substitution pattern in the indole on the course of the oligomerization. Replacing 1,2-ethanedithiol with 2-phenylethanethiol and varying substituents in the indole system we obtained products 7a-f analogous to 5a (Scheme 2). Indole-5-carboxylic acid, its diethylamide [24], indole-6-carboxylic acid, 5-cyanoindole, 5-fluoroindole and 5-chloroindole were used. Acetylated derivatives of 2-phenylethanethiol adducts 8a-c (Scheme 2) were prepared to assist in the spectroscopic structure assignments. Incorporation of thiols was accompanied by formation of ample quantities of dimers of indoles like 2a, acetylated derivative 2b (Scheme 1) and indole trimers like 3a, acetylated derivative 3b, and 3c (Figure 1) (according to LC/MS data).
Scheme 2. Incorporation of 2-phenylethanethiol.
Scheme 2. Incorporation of 2-phenylethanethiol.
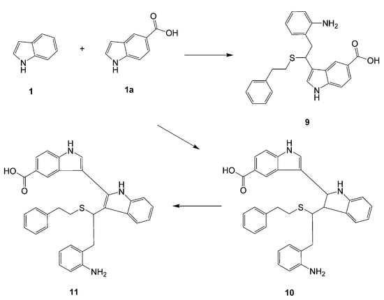
It was not possible to obtain an adduct from unsubstituted indole and 1,2-ethanedithiol under typical reaction conditions. Incorporation of this indole was only possible when it was used in a mixture with indole-5-carboxylic acid. In addition, it was noted that the reaction proceeded in a regioselective way yielding 9 (Scheme 3). This reactivity pattern of unsubstituted indole could be explained on the basis of mechanism shown in Scheme 1. Michael additions of thiols are known to be facilitated by the electrodeficiency of the participating alkenes [26]. Electron acceptors attached to the benzene ring of indole should decrease the electron density on the carbon atom being attacked by thiols in structures like 4a (Scheme 1), thereby promoting the reaction.
Scheme 3. Introduction of unsubstituted indole.
Scheme 3. Introduction of unsubstituted indole.
An additional indole oligomerization product 10, corresponding to the combination of two molecules of indole, one molecule of indole-5-carboxylic acid and one molecule of 2-phenylethane-thiol was isolated from the reaction mixture (Scheme 3). Upon standing in DMSO-d6 solution for one week, the indoline structure in 10 was oxidized quantitatively to yield indole 11.
Yields for the thiol incorporation products reached 30% (Table 1). They were higher if carbonyl (compounds 5a, 7a-c, 9) or nitrile (7d) groups were attached to the starting indole molecule. Much less reactive were halogenated indoles (products 7e and 7f). Particular low were the yields for tetramer 6a and trimer 10.
Table 1. Representative yields for products of incorporation of thiols.
Table 1. Representative yields for products of incorporation of thiols.
Compound5a 6a 7a 7b 7c 7d 7e 7f 9 10
Yield, %33 1.3 19 32 30 15 2 5 19 1

Conclusions

In summary, we have discovered a previously unknown indole oligomerization with incorporation of thiols, which has potential synthetic utility. The reaction proceeds with parallel formation of indole 3,3´-trimers; both processes require indole derivatives that are free of substitution at both the 2- and 3- positions. The inclusion of electronegative substituents in benzene ring of indole is another crucial factor that makes incorporation of thiols possible. Adducts similar to those reported herein might be of interest as, e.g., potential enzyme inhibitors.

Experimental

General

Reagents were obtained from Aldrich or Fluka. Evaporations of solvents were carried out on a vacuum rotary evaporator at 30 oC and 20 mbar. TLC was performed using Merck Silica gel 60 F 254 glass plates; flash chromatography was performed using Merck Silica gel (70-230 mesh, pore size 60Å). LC/MS was performed on a Perkin Elmer PE SCIEX API 150EX instrument with a Turboionspray Ion Source and equipped with a Dr. Maisch Reprosil-Pur C18-AQ, 5 μ, 150 × 3 mm HPLC column, using a water and acetonitrile gradient with 5 mM ammonium acetate additive. Semi-preparative HPLC was carried out on a LKB system consisting of a 2150 HPLC Pump, 2152 LC Controller and 2151 Variable Wavelength Monitor and Vydac RP C18 column (10 × 250 mm, 90 Å, 201HS1010), the eluent being an appropriate concentration of MeCN in water + 0.1% TFA, flow rate 5 mL/min, detection at 280 nm. Freeze-drying was performed at 0.1 milibar on a Lyovac GT2 Freeze-Dryer (Finn-Aqua) equipped with a Busch 010-112 vacuum pump and a liquid nitrogen trap. Exact molecular masses were determined on a Micromass Q-Tof2 mass spectrometer equipped with an electrospray ion source. 1H-NMR spectra were recorded on a Jeol JNM-EX270 or Jeol JNM-EX400, Bruker DMX-600 spectrometer equipped with a cryoprobe or a Bruker DMX-500 spectrometer. Chemical shifts are reported in ppm relative to residual solvent signal [δ (1H) 2.50 ppm, δ (13C) 39.5 ppm]. Two-dimensional spectra recorded included COLOC, HETRES, selective long range INEPT, COSY, ROESY, sensitivity-enhanced 13C-HSQC and 13C-1H HMBC. ROESY mixing time was 0.1 s. Pulsed-field gradients were used for all 13C correlation spectra. 13C-HMBC spectra were recorded with coupling evolution delay for the generation of multiple-bond correlations set to 62.5 ms. ROESY, 13C-HSQC and 13C-1H HMBC spectra were run with 4096*1024 points data matrix, giving τ2max = 250 ms for 1H nucleus in acquisition dimension and τ1max = 200 ms for 1H or τ1max = 50 ms for 13C for indirect dimension; prior to Fourier transform the data matrix was zero-filled twice and multiplication by shifted sine-bell window function applied. For 1H-13C HMBC the magnitude spectra were calculated.

Procedure A: Preparation of compounds 2a, 3a, 5a and 6a

Indole-5-carboxylic acid (1a, 370 mg, 2.3 mmol) was dissolved in a mixture of trifluoroacetic acid (5 mL) and 1,2-ethanedithiol (1 mL). After 1 h at room temperature the mixture was evaporated without heating under water aspirator pump vacuum. Dry ether-hexane (1:1, 50 mL) was added to the residue and the white precipitate formed was filtered off, washed with 1:1 dry ether-hexane and dried in vacuo. The raw product was next dissolved in 24 % MeCN in water, centrifuged and the clear solution applied in several portions onto an HPLC semipreparative column (10 x 250 mm, Vydac RP C18 90Å Pharmaceutical 201HS1010), eluent - 20 % MeCN in water + 0.1% TFA, flow 5 mL/min, detection at 280 nm. Eluate fractions, containing putative 2a (RT 5 min), 3a (RT 8 min) and 5a (RT 17 min) were separately pooled. Next the eluent was changed to 80 % MeCN in water + 0.1% TFA and a peak containing 6a was collected. Freeze drying provided pure 2a (15 mg, 4 %), 5a (156 mg, 33 %) and partially purified 3a and 6a as powders. The fraction containing 3a was dissolved in 16 % MeCN in water and applied in several portions onto an HPLC column (4 × 250 mm, Merck Hibar Lichrosorb RP18, 10μm), eluent - 16 % MeCN in water + 0.1% TFA, flow 2 mL/min, detection at 220 nm. Eluate fractions containing pure 3a were pooled and lyophilized to give a yellow powder. (yield 15 mg, 4 %). The fraction containing 6a was purified again on the Vydac column (eluent - 22 % MeCN in water + 0.1% TFA), followed by purification on the Merck column (eluent - 22 % MeCN in water + 0.1% TFA) to give, after freeze drying, a white powder (2.1 mg, 0.3 %).

Characterization data

2,3-Dihydro-2,3'-biindole-5,5'-dicarboxylic acid (2a): HRMS: M+H+ (C18H15N2O4) 323.1019, calculated 323.1032; M-H- (C18H13N2O4) 321.0861, calculated 321.0876; Elemental analysis: found, %: N 8.2, C 64.9, H 4.8; calculated for 3C18H14N2O4·2H2O, %: N 8.38, C 64.67, H 4.62.
1H-NMR (400 MHz, DMSO-d6, 25°C): δ 3.03 (dd, J = 16.0, 8.8 Hz, 1H, H-3), 3.43 (dd, J = 16.0, 9.2 Hz, 1H, H-3), 5.28 (t, J = 9.2 Hz, 1H, H-2), 6.50 (d, J = 8.0 Hz, 1H, H-7), 7.36 (d, J = 2.0 Hz, 1H, H-4), 7.53 (d, J = 8.4 Hz, 1H), 7.58 (m, 1H), 7.61 (dd, J = 8.0, 1.6 Hz, 1H, H-6), 7.81 (dd, J = 8.4, 1.6 Hz, 1H), 7.96 (m, 1H), 11.26 (d, J = 1.6 Hz, 1H, H-1), 11.79 (d, J = 2.0 Hz, 1H, H-1’), 12.3 (m, 2H, 2COOH)
3,3'-[2-(2-Amino-5-carboxyphenyl)ethane-1,1-diyl]bis(1H-indole-5-carboxylic acid (3a): HRMS: M+H+ (C27H22N3O6) 484.1504, calculated 484.1508; M-H- (C27H20N3O6) 482.1331, calculated 482.1352; Elemental analysis: found, %: N 7.7, C 58.5, H 5.4; calculated for C27H21N3O6·4H2O, %: N 7.56, C 58.37, H 5.26.
1H-NMR (270 MHz, DMSO-d6, 25°C): δ 3.22 (m, 2H, 2H-1’’), 4.93 (m, 1H, H-2’’), 6.58 (d, J = 8.6 Hz, 1H, H-3), 7.31 (d, J = 8.6 Hz, 2H, H-7’, H-7’), 7.33, 7.34 (2m, 2H, H-2’, H-2’), 7.35 (m, 1H, H-4), 7.40 (m, 1H, H-6), 7.59 (dd, J = 8.6 Hz, 1.6 Hz, 2H, H-6’, H-6’), 8.08 (d, J = 1.7 Hz, 2H, H-4’, H-4’), 11.14 (d, J = 1.9 Hz, 2H, H-1’, H-1’).
3-(2-(2-Amino-5-carboxyphenyl)-1-(2-mercaptoethylthio)ethyl)-1H-indole)-5-carboxylic acid (5a): HRMS: M+H+ (C20H21N2O4S2) 417.0957, calculated 417.0943; M-H- (C20H19N2O4S2) 415.0794, calculated 415.0787; Elemental analysis: found, %: N 6.5, C 57.8, H 5.0; calculated for C20H20N2O4S2, %: N 6.73, C 57.67, H 4.84.
1H-NMR (400 MHz, DMSO-d6, 25°C): δ 2.34(m, 1H, SH), 2.5 (m, 4H, 2H-1’’’, 2H-2’’’), 3.22 (m, 2H, 2H-1’’), 4.67(m, 1H, H-2’’), 6.61 (d, J = 8.3 Hz, 1H, H-3), 7.39 (d, J = 8.6 Hz, 1H, H-7’), 7.45 (d, J = 2.2 Hz, 1H, H-2’), 7.46 (dd, J = 8.3 Hz, 2.0 Hz, 1H, H-4), 7.53 (d, J = 2.0 Hz, 1H, H-6), 7.71 (dd, J = 8.6 Hz, 1.6 Hz, 1H, H-6’), 8.43 (d, J = 1.6 Hz, 1H, H-4’), 11.27 (d, J = 2.2 Hz, 1H, H-1’); 13C-NMR (100 MHz, DMSO-d6, 25°C): δ 24.8 (C-2’’’), 35.0 (C-1’’’), 37.2 (C-1’’), 40.0 (C-2’’), 112.0 (C-7’), 116.6 (C-3’), 119.0 (C-5), 121.5 (C-5’), 122.8 (C-4’), 123.1 (C-1), 123.1 (C-6’), 125.9 (C-3a’), 126.0 (C-2’), 129.6 (C-4), 132.8 (C-6), 139.6 (C-7a’), 150.0 (C-2), 168.1 (C-5a), 169.1 (C-5a’).
3,3'-{1,1'-[Ethane-1,2-diylbis(sulfane-diyl)]bis[2-(2-amino-5-carboxyphenyl)ethane-1,1-diyl]}bis(1H-indole-5-carboxylic acid) (6a): HRMS: M+H+ (C38H35N4O8S2) 739.1880, calculated 739.1896; M-H- (C38H33N4O8S2) 737.1733, calculated 737.1740; Elemental analysis: found, %: N 5.3, C 47.9, H 4.2; calculated for C38H34N4O8S2·2CF3COOH·5H2O, %: N 5.30, C 47.73, H 4.39.
1H-NMR (270 MHz, DMSO-d6, 25°C): δ 2.3 (m, 4H, 2H-1’’’, 2H-1’’’), 3.13 (m, 4H, 2H-1’’, 2H-1’’), 4.55 (m, 2H, H-2’’, H-2’’), 6.55 (d, J = 8.6 Hz, 2H, H-3, H-3), 7.30, 7.31 (2d, J = 2.3 Hz, 2H, H-2’, H-2’), 7.35 (d, J = 8.6 Hz, 2H, H-7’, H-7’), 7.42-7.64 (m, 2H, H-4, H-4), 7.43-7.66 (m, 2H, H-6, H-6), 7.68 (dd, J = 8.6 Hz, 1.6 Hz, 2H, H-6’, H-6’), 8.38, 8.39 (2d, J = 1.6 Hz, 2H, H-4’, H-4’), 11.18 (d, J = 2.3 Hz, 2H, H-1’, H-1’).
Procedure B: Compounds 2a, 3a, 5a and 6a were also obtained by a modification of Procedure A, whereby the crude product was dissolved in chloroform and applied onto a glass column filled with silica gel (pore size 60Å, 70-230 mesh). The column was eluted with chloroform-methanol mixture, gradually changing its proportions from 20:1 to 1:4, and thereafter the elution was made with pure methanol. Eluate fractions containing pure 3a and 5a were separately pooled and evaporated. White crystalline products were obtained. Isolated yield of 3a was 7%, and that of 5a was 25%. (however, determination of the reaction products by HPLC provided the following yields: 2a: 22%, 3a: 27%, 5a: 28% and 6a: 1.3%).
3a: Elemental analysis. Found, %: N 7.6, C 64.7, H 5.3. Calculated for 3C27H21N3O4·4MeOH, %: N 7.99. C 64.67, H 5.04.
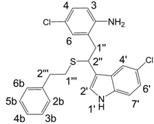
2-(2,2-bis(5-Chloro-1H-indol-3-yl)ethyl)-4-chloroaniline (3c). Compound 3c was obtained from 5-chloroindole using Procedure A. Yield 63 %. HRMS: M+H+ (C24H19Cl3N3) 454.0637, calculated 454.0644; Elemental analysis: found, %: N 7.17, C 54.81, H 3.45; calculated for C24H18Cl3N3·CF3COOH, %: N 7.39, C 54.90, H 3.37.
1H-NMR (400 MHz, DMSO-d6, 25°C): δ 3.36 (d, J = 7.9 Hz, 2H, 2H-1’’), 4.89 (t, J = 7.9 Hz, 1H, H-2’’), 6.78 (m, 1H, H-3), 6.93 (m, 2H, H-4, H-6), 6.99 (dd, J = 8.6 Hz, 2.2 Hz, 2H, H-6’, H-6’), 7.29 (d, J = 8.6 Hz, 2H, H-7’, H-7’), 7.42 (d, 2H, H-2’, H-2’), 7.49 (d, J = 2.2 Hz, 2H, H-4’, H-4’), 10.99 (d, J = 2.4 Hz, 2H, H-1’, H-1’); 13C-NMR (67.5 MHz, DMSO-d6, 25°C): δ 32.0 (C-2’’), 35.7 (C-1’’), 113.4 (C-7’, C-7’), 118.2 (C-3’, C-3’), 118.8 (C-4’, C-4’), 120.1 (C-3), 121.2 (C-6’, C-6’), 123.3 (C-5’, C-5’), 124.9 (C-1, C-2’, C-2’), 126.8 (C-6), 128.2 (C-3a’, C-3a’), 129.8 (C-4), 130.8 (C-5), 135.4 (C-7a’, C-7a’), 140.0 (C-2).
3-[2-(2-Amino-5-carboxyphenyl)-1-(phenethylthio)ethyl]-1H-indole-5-carboxylic acid (7a). This compound was prepared according to Procedure A using indole-5-carboxylic acid and 2-phenylethanethiol as starting materials. Yield 19%; HRMS: M+H+ (C26H25N2O4S) 461.1532, calculated 461.1535; Elemental analysis: found, %: N 5.82, C 65.44, H 5.31; calculated for C26H24N2O4S·H2O, %: N 5.85, C 65.25, H 5.48.
1H-NMR (270 MHz, DMSO-d6, 25°C): δ 2.39 and 2.58 (2m, 4H, 2H-1’’’, 2H-2’’’), 3.13-3.32 (m, 2H, 2H-1’’), 4.66 (t, J = 7.6 Hz, 1H, H-2’’), 6.59 (d, J = 8.5 Hz, 1H, H-3), 7.02 (XX´ part of AA´XX´system, 2H, H-2b, H-6b), 7.08-7.22 (m, 1H, H-4b), 7.08-7.22 (AA´ part of AA´XX´system, 2H, H-3b, H-5b), 7.37 (d, J = 8.6 Hz, 1H, H-7’), 7.45 (m, 2H, H-4, H-6), 7.53 (d, J = 2.3 Hz, 1H, H-2’), 7.69 (dd, J = 8.6 Hz, 1.6 Hz, 1H, H-6’), 8.43 (d, J = 1.6 Hz, 1H, H-4’), 11.28 (br s, 1H, H-1’).
3-[2-(2-Amino-4-carboxyphenyl)-1-(phenethylthio)ethyl]-1H-indole-6-carboxylic acid (7b). Prepared according to Procedure A from indole-6-carboxylic acid and 2-phenylethanethiol. Yield 32%; HRMS: M+H+ (C26H25N2O4S) 461.1548; calculated 461.1535. Elemental analysis: found, %: N 5.26, C 61.88, H 4.74; calculated for 2C26H24N2O4S·CF3COOH·H2O, %: N 5.32, C 61.59, H 4.88.
1H-NMR (400MHz, DMSO-d6, 25°C): δ 2.42 and 2.52-2.63 (2m, 4H, 2H-1’’’, 2H-2’’’), 3.20-3.32 (m, 2H, 2H-1’’), 4.69 (m, 1H, H-2’’), 6.97 (d, J = 8.0 Hz, 1H, H-H-6), 7.02 (XX´ part of AA´XX´system, 2H, H-2b, H-6b), 7.02 (m, 1H, H-5), 7.09-7.14 (m, 1H, H-4b), 7.16-7.20 (AA´ part of AA´XX´system, 2H, H-3b, H-5b), 7.29 (d, J = 1.6 Hz, 1H, H-3), 7.53 (d, J = 2.4 Hz, 1H, H-2’), 7.58 (dd, J = 8.4, 1.6 Hz, 1H, H-5’), 7.77 (d, J = 8.4 Hz, 1H, H-4’), 7.96 (dd, J = 1.6, 0.8 Hz, 1H, H-7’), 11.26 (d, J = 2.8 Hz, 1H, H-1’).
3-{2-[2-Amino-5-(diethylcarbamoyl)phenyl]-1-(phenethylthio)ethyl}-N,N-diethyl-1H-indole-5-carbox-amide (7c). Compound 7c was prepared according to Procedure A using indole-5-carboxylic acid diethylamide [24] and 2-phenylethanethiol as starting materials. Yield 30%; HRMS: M+H+ (C34H43N4O3S) 571.3101; calculated 571.3106; Elemental analysis: found, %: N 9.47, C 69.97, H 7.37; calculated for 6C34H42N4O2S·CF3COOH, %: N 9.50, C 69.92, H 7.21.
1H-NMR (400 MHz, DMSO-d6, 25°C): δ 0.87 (m, 6H, 2CH3), 1.09 (m, 6H, 2CH3), 2.52-2.63 (m, 4H, 2H-1’’’, 2H-2’’’), 3.02 (m, 4H, 2CH2 NEt), 3.22 (m, 2H, H-1’’), 3.31 (m, 4H, 2CH2 NEt), 4.64(m, 1H, H-2’’), 6.69 (d, J = 8.0 Hz, 1H, H-3), 6.77 (d, J = 2.0 Hz, 1H, H-6), 6.91 (dd, J = 8.0, 2.0 Hz, 1H, H-4), 7.00 (XX´ part of AA´XX´system, 2H, H-2b, H-6b), 7.04 (dd, J = 8.4, 1.6 Hz, 1H, H-6’), 7.09-7.13 (m, 1H, 1H-4b), 7.15-7.19 (AA´ part of AA´XX´system, 2H, H-3b, H-5b), 7.33 (d, J = 2.4 Hz, 1H, H-2’), 7.34 (d, J = 8.4 Hz, 1H, H-7’), 7.71 (m, 1H, 1H-4’), 11.08 (d, J = 2.4 Hz, 1H, H-1’).
3-[2-(2-Amino-5-cyanophenyl)-1-(phenethylthio)ethyl]-1H-indole-5-carbonitrile (7d). 7d was prepared according to Procedure A from 5-cyanoindole and 2-phenylethanethiol. Yield 15%; HRMS: M+H+ (C26H23N4S) 423.1674; calculated 423.1643.
1H-NMR (400MHz, DMSO-d6, 25°C): δ 2.43 and 2.52-2.64 (2m, 4H, 2H-1’’’, 2H-2’’’), 3.16 (dd, J = 8.0, 2.0 Hz, 2H, 2H-1’’), 4.70 (t, J = 8.0 Hz, 1H, H-2’’), 6.59 (d, J = 8.8 Hz, 1H, H-3), 7.02 (XX´ part of AA´XX´system, 2H, H-2b, H-6b), 7.02 (m, 1H), 7.12-7.23 (AA´ part of AA´XX´system, 2H, H-3b, H-5b), 7.12-7.23 (m, 1H, H-4b), 7.32 (d, J = 2.0 Hz, 1H), 7.36-7.44 (m, 1H), 7.47 (m, 1H), 7.54 (d, J = 2.4 Hz, 1H), 11.48 (br s, 1H, H-1’).
4-Fluoro-2-[2-(5-fluoro-1H-indol-3-yl)-2-(phenethylthio)ethyl]aniline (7e). 7e was prepared according to Procedure A using 5-fluoroindole and 2-phenylethanethiol as starting materials. Yield 2%; HRMS: M+H+ (C24H23F2N2S) 409.1533; calculated 409.1550.
4-Chloro-2-[2-(5-chloro-1H-indol-3-yl)-2-(phenethylthio)ethyl]aniline (7f). 7f was prepared according to Procedure A from 5-chloroindole and 2-phenylethanethiol. Yield 5%; HRMS: M+H+ (C24H23Cl2N2S) 441.0958; calculated 441.0959; Elemental analysis: found, %: N 6.09, C 65.43, H 4.96; calculated for C24H22Cl2N2S, %: N 6.35, C 65.30, H 5.02.
1H-NMR (400MHz, DMSO-d6, 25°C): δ 2.47 and 2.53 (2m, 2H, 2H-1’’’), 2.62 (m, 2H, 2H-2’’’), 3.14 (m, 2H, 2H-1’’), 4.62 (m, 1H, 1H-2’’), 6.56 (d, J = 8.8 Hz, 1H, H-3), 6.83 (dd, J = 8.8, 2.8 Hz, 1H, H-4), 6.91 (d, J = 2.8 Hz, 1H, H-6), 7.02-7.06 (XX´ part of AA´XX´system, 2H, H-2b, H-6b), 7.02-7.06 (m, 1H, H-6’), 7.12 (m, 1H, H-4b), 7.17-7.22 (AA´ part of AA´XX´system, 2H, H-3b, H-5b), 7.32 (d, J = 8.4 Hz, 1H, H-7’), 7.41 (d, J = 2.4 Hz, 1H, H-2’), 7.73 (d, J = 2.0 Hz, 1H, H-4’), 11.09 (br s, 1H, H-1’).
3-[2-(2-Aminophenyl)-1-(phenethylthio)ethyl]-1H-indole-5-carboxylic acid (9). Compound 9 was prepared according to Procedure A using indole, indole-5-carboxylic acid (equimolar quantities) and 2-phenylethanethiol as starting materials. Yield 19%; HRMS: M+H+ 417.1618. C25H25N2O2S; calculated 417.1636. Elemental analysis: found, %: N 5.94, C 64.41, H 5.10; calculated for 2C25H24N2O2S· CF3COOH·H2O, %: N 5.81, C 64.71, H 5.33.
1H-NMR (500 MHz, DMSO-d6, 25°C): δ 2.65 (m, 2H, 2H-2’’’), 3.31, 3.35 (m, 2H, 2H-1’’’), 3.31, 3.35 (m, 2H, 2H-1’’), 4.74 (m, 1H, H-2’’), 6.79 (m, 1H, H-3), 6.96(m, 1H, H-5), 7.03 (m, 1H, H-6), 7.05 (m, 1H, H-4), 7.05 (XX´ part of AA´XX´system, 2H, H-2b, H-6b), 7.14 (m, 1H, H-4b), 7.20 (AA´ part of AA´XX´system, 2H, H-3b, H-5b), 7.40 (d, J = 8.6 Hz, 1H, H-7’), 7.46 (d, J = 2.3 Hz, 1H, H-2’), 7.71 (dd, J = 8.6 Hz, 1.5 Hz, 1H, H-6’), 8.46 (s, 1H, H-4’), 11.28 (d, J = 1.8 Hz, 1H, H-1’). 13C NMR (125 MHz, DMSO-d6, 25°C): δ 31.1 (C-1’’’), 34.9 (C-2’’’), 35.6 (C-1’’), 38.7 (C-2’’), 110.6 (C-7’), 115.2 (C-3’), 118.4 (C-5), 120.2 (C-5’), 121.1 (C-3), 121.4 (C-6’), 121.8 (C-4’), 124.6 (C-2’), 124.7 (C-3a’), 125.2 (C-4b), 126.4 (C-4), 127.4 (C-3b, C-5b), 127.6 (C-2b, C-6b), 129.8 (C-6), 129.9 (C-1), 138.2 (C-7a’), 139.8 (C-1b), 150.0 (C-2), 167.7 (C-5a’).
3-[2-(2-Aminophenyl)-1-(phenethylthio)ethyl]-2,3-dihydro-1H,1'H-2,3'-biindole-5'-carboxylic acid (10). This compound was prepared according to Procedure A using indole, indole-5-carboxylic acid (equimolar quantities) and 2-phenylethanethiol. Yield 1%; HRMS: M+H+ (C33H32N3O2S) 534.2212; calculated 534.2215.
1H-NMR (500 MHz, DMSO-d6, 25°C): δ 2.23 (m, 2H, 2H-1’’’), 2.30, 2.37 (m, 2H, 2H-2’’’), 2.65 (m, 1H, Ha-1’’), 2.94 (m, 1H, Hb-1’’), 3.54 (m, 1H, H-2’’), 3.98 (m, 1H, H-3’), 5.24 (d, J = 7.6 Hz, 1H, H-2’), 6.64 (d, J = 7.5 Hz, 1H, H-7’), 6.71 (m, 1H, H-5’), 6.72 (m, 1H, H-3), 6.78 (XX´ part of AA´XX´system, 2H, H-2, H-6), 6.91(m, 1H, H-5), 6.93 (m, 1H, H-4), 7.05 (m, 1H, H-6), 7.06 (m, 1H, H-6’), 7.11 (AA´ part of AA´XX´system, 2H, H-3, H-5), 7.14 (m, 1H, H-4), 7.31 (d, J = 7.3 Hz, 1H, H-4’), 7.35 (m, 1H, H-2’), 7.45 (d, J = 8.6 Hz, 1H, H-7’), 7.74 (dd, J = 8.6 Hz, 1.5 Hz, 1H, H-6’), 8.26 (s, 1H, H-4’), 11.35 (m, 1H, H-1’), 12.36 (br, 1H, COOH); 13C-NMR (125 MHz, DMSO-d6, 25°C): δ 32.5 (C-1’’’), 34.4 (C-1’’), 34.5 (C-2’’’), 47.1 (C-2’’), 53.1 (C-3’), 57.9 (C-2’), 108.5 (C-7’), 110.6 (C-7’), 117.2 (C-5’), 117.5 (C-5), 117.8 (C-3’), 120.3 (C-5’), 121.6 (C-4’), 121.8 (C-6’), 123.7 (C-4’), 124.4 (C-2’), 124.5 (C-3a’), 125.2 (C-4), 126.9 (C-6), 126.9 (C-6’), 127.3 (C-3, 5), 127.5 (C-2, 6), 130.5 (C-4), 138.6 (C-7a’), 139.6 (C-1), 167.5 (C-COOH).
3-[2-(2-Aminophenyl)-1-(phenethylthio)ethyl]-1H,1'H-2,3'-biindole-5'-carboxylic acid (11). Compound 11 was synthesized from 10 (5 mg) when the latter was dissolved in DMSO-d6 (0.7 mL) and the solution was allowed to stand in a NMR tube at room temperature for one week.
1H-NMR (500 MHz, DMSO-d6, 25°C): δ 2.21, 2.30 (m, 4H, 2H-1’’’, 2H-2’’’), 3.39 (m, 1H, Ha-1’’), 3.45 (m, 1H, Hb-1’’), 4.64 (dd, J = 8.9 Hz, 5.9 Hz, 1H, H-2’’), 6.55 (XX´ part of AA´XX´system, 2H, H-2, H-6), 6.70 (d, J = 7.4 Hz, 1H, H-6), 6.80 (m, 1H, H-2’), 6.94 (m, 1H, H-4), 6.96 (AA´ part of AA´XX´system, 2H, H-3, H-5), 7.03 (m, 1H, H-5), 7.03 (m, 1H, H-4), 7.07 (m, 1H, H-5’), 7.13 (m, 1H, H-6’), 7.42 (d, J = 8.0 Hz, 1H, H-7’), 7.48 (d, J = 8.6 Hz, 1H, H-7’), 7.79 (dd, J = 8.6 Hz, 1.5 Hz, 1H, H-6’), 8.02 (d, J = 7.9 Hz, 1H, H-4’), 8.36 (s, 1H, H-4’), 11.20 (m, 1H, H-1’), 11.74 (m, 1H, H-1’), 12.50 (br, 1H, COOH); 13C-NMR (125 MHz, DMSO-d6, 25°C): δ 31.5 (C-1’’’), 35.1 (C-1’’, 2’’’), 39.9 (C-2’’), 107.9 (C-3’), 109.6 (C-3’), 110.7 (C-7’, 7’), 117.7 (C-5’), 119.4 (C-4’), 120.2 (C-6’), 121.4 (C-5’), 121.9 (C-4’), 122.3(C-6’), 125.0 (C-4), 125.2 (C-3a’), 125.3 (C-2’), 125.5 (C-3a’), 126.8 (C-4, 5), 127.2 (C-3, 5), 127.3 (C-2, 6), 129.6 (C-2), 129.7 (C-6), 130.6 (C-1, 2’), 136.5 (C-7a’), 137.9 (C-7a’), 139.4 (C-1), 167.5 (C-COOH).
Procedure C. Preparation of 3,3'-{1,1'-[ethane-1,2-diylbis(sulfanediyl)]bis[2-(2-acetamido-5-carboxyphenyl)ethane-1,1-diyl]}bis(1H-indole-5-carboxylic acid) (6b). Compound 6a (6.6 mg, 6.24 µmol) was dissolved in DMF (180 µL) and acetic anhydride (30 µL, 318 µmol) was added. The mixture was allowed to stand for 40 h, diluted with water to 1 mL volume, centrifuged and the clear solution in several portions applied onto an HPLC semipreparative column (10 x 250 mm, Vydac RP C18 90Å Pharmaceutical 201HS1010), eluent - 22 % MeCN in water + 0.1% TFA, flow 5 mL/min, detection at 280 nm. Eluate fractions containing pure putative 6b were pooled and freeze-dried. Yield ofoff-white powder was 3.4 mg (57%); HRMS: M+H+ (C42H39N4O10S2) 823.2129; calculated 823.2107. M-H- (C42H37N4O10S2) 821.1979; calculated 821.1951; Elemental analysis: found, %: N 6.1, C 54.3, H 4.6; calculated for 3C42H38N4O10S2·2CF3COOH·9H2O, %: N 5.88. C 54.62, H 4.72.
1H-NMR (500 MHz, DMSO-d6, 25°C): δ 1.88, 1.90 (2s, 6H, H-2c, H-2c), 2.3 – 2.5 (m, 4H, 2H-1’’’, 2H-1’’’), 3.25 - 3.40 (m, 4H, 2H-1’’, 2H-1’’), 4.42, 4.44 (2m, 2H, H-2’’, H-2’’), 7.19 (m, 2H, H-2’, H-2’), 7.33 (dd, J = 8.5 Hz, 2.7 Hz, 2H, H-7’, H-7’), 7.45 (d, J = 8.6 Hz, 2H, H-3, H-3), 7.64 (m, 2H, H-4, H-4), 7.66 (m, 2H, H-6, H-6), 7.68 (m, 2H, H-6’, H-6’), 8.38, 8.39 (2m, 2H, H-4’, H-4’), 9.35, 9.36 (2s, 2H, H-2a, H-2a), 11.14 (m, 2H, H-1’, H-1’), 12.5 (br, 2H, H-5a, H-5a); 13C NMR (125 MHz, DMSO-d6, 25°C): δ 22.4(C-2c, C-2c), 30.1 (C-1’’’, C-1’’’), 36.3 (C-1’’, C-1’’), 40.5 (C-2’’, C-2’’), 110.6 (C-7’, C-7’), 114.5 (C-3’, C-3’), 120.4 (C-5’, C-5’), 121.6 (C-4’, C-4’), 126.1 (C-5, C-5), 121.8 (C-6’, C-6’), 124.3 (C-3a’, C-3a’), 124.6 (C-2’, C-2’), 126.9 (C-4, C-4), 131.0 (C-6, C-6), 132.3 (C-1, C-1), 138.6 (C-7a’, C-7a’), 140.0 (C-2, C-2), 166.2 (C-5a, C-5a), 167.8 (C-5a’, C-5a’), 167.8 (C-2b, C-2b).
The following compounds were similarly prepared by Procedure C:
1-Acetyl-2,3-dihydro-1H,1'H-2,3'-biindole-5,5'-dicarboxylic acid (2b). From 2a. HRMS: M+H+ (C20H17N2O5) 365.1138; calculated 365.1137; M-H- (C20H15N2O5) 363.0961; calculated 363.0981; Elemental analysis: found, %: N 6.3, C 56.1, H 4.2; calculated for 2C20H16N2O5·CF3COOH·3H2O, %: N 6.25. C 56.25, H 4.38.
1H-NMR (400 MHz, DMSO-d6, 25°C): δ 2.07 (s, 3H, CH3), 3.01 (d, J = 16.0 Hz, 1H, H-3), 3.79 (dd, J = 16.0, 10.4 Hz, 1H, H-3), 6.04 (dd, J = 10.0, 2.0 Hz, 1H, H-2), 7.17 (d, J = 2.0 Hz, 1H, H-2’), 7.40 (d, J = 8.8 Hz, 1H, H-7), 7.69 (dd, J = 8.8, 1.6 Hz, 1H, H-6), 7.77 (d, J = 1.6 Hz, 1H, H-4), 7.88 (dd, J = 8.4, 2.0 Hz, 1H, H-6’), 7.98 (s, 1H, H-4’), 8.18 (m, 1H, H-7’), 11.34 (br s, 1H, H-1’).
3,3'-[2-(2-Acetamido-5-carboxyphenyl)ethane-1,1-diyl]bis(1H-indole-5-carboxylic acid) (3b). From 3a. HRMS: M+H+ (C29H24N3O7) 526.162, calculated 526.1614. M-H- (C29H22N3O7) 524.1467, calculated 524.1458; Elemental analysis: found, %: N 6.2, C 53.4, H 4.5; calculated for C29H23N3O4·CF3COOH·3H2O, %: N 6.06. C 53.68, H 4.36.
1H-NMR (400 MHz, DMSO-d6, 25°C): δ 1.88 (s, 3H, CH3), 3.54 (d, J = 7.6 Hz, 2H, 2H-1’’), 4.83 (dd, J = 7.6, 7.6 Hz, 1H, 1H-2’’), 7.27 (d, J = 2.4 Hz, 2H, H-1’, H-1’), 7.31 (d, J = 8.8 Hz, 2H, H-7’, H-7’), 7.48 (d, J = 8.4 Hz, 1H, H-3), 7.59 (dd, J = 8.8, 1.6 Hz, 2H, H-6’, H-6’), 7.61 (dd, J = 8.4, 2.0 Hz, 1H, H-4), 7.69 (d, J = 2.0 Hz, 1H, H-6), 8.11 (d, J = 1.6 Hz, 2H, H-4’, H-4’), 9.31 (s, 1H, H-2a), 11.13 (d, J = 2.4 Hz, 2H, H-1’, H-1’).
3-[2-(2-Acetamido-5-carboxyphenyl)-1-(2-mercaptoethylthio)ethyl]-1H-indole-5-carboxylic acid (5b). From 5a. HRMS: M+H+ (C22H23N2O5S2) 459.1037; calculated 459.1048; Elemental analysis: found, %: N 5.70, C 56.39, H 4.81; calculated for 8C22H22N2O5S2·CF3COOH, %: N 5.92. C 56.52, H 4.72.
1H-NMR (400 MHz, DMSO-d6, 25°C): δ 1.95 (s, 3H, CH3), 2.34(m, 1H, SH), 2.46 and 2.53 (2m, 4H, 2H-1’’’ and 2H-2’’’), 3.34 (m, 1H, 1H-1’’), 3.42 (dd, J = 14.4, 8.4 Hz, 1H, 1H-1’’), 4.49 (m, 1H, 1H-2’’), 7.31 (d, J = 2.4 Hz, 1H, H-2’), 7.36 (d, J = 8.8 Hz, 1H, H-7’), 7.45 (d, J = 8.4 Hz, 1H, H-3), 7.67 (m, 1H, H-4), 7.69 (dd, J = 8.4, 1.6 Hz, 1H, H-6’), 7.73 (d, J = 1.6 Hz, 1H, H-6), 8.41 (d, J = 1.6 Hz, 1H, H-4’), 9.44 (s, 1H, H-2a), 11.23 (d, J = 2.0 Hz, 1H, H-1’).
3-[2-(2-Acetamido-5-carboxyphenyl)-1-(phenethylthio)ethyl]-1H-indole-5-carboxylic acid (8a). From 7a. HRMS: M+H+ (C28H27N2O5S) 503.1636; calculated 503.1640; Elemental analysis: found, %: N 5.17, C 66.28, H 5.44; calculated for 3C28H26N2O5S·H2O, %: N 5.51. C 66.12, H 5.28.
1H-NMR (270 MHz, DMSO-d6, 25°C): δ 1.92 (s, 3H, CH3), 2.55 and 2.60 (2m, 4H, 2H-1’’’, 2H-2’’’), 3.30-3.49 (m, 2H, 2H-1’’), 4.48 (m, 1H, H-2’’), 7.03 (XX´ part of AA´XX´system, 2H, H-2b, H-6b), 7.08-7.22 (m, 1H, H-4b), 7.08-7.22 (AA´ part of AA´XX´system, 2H, H-3b, H-5b), 7.32 (d, J = 2.3 Hz, 1H, H-2’), 7.37 (d, J = 8.6 Hz, 1H, H-7’), 7.47 (d, J = 8.3 Hz, 1H, H-3), 7.69 (m, 2H, H-4, H-6’), 7.75 (d, J = 1.3 Hz, 1H, H-6), 8.43 (d, J = 1.3 Hz, 1H, H-4’), 9.46 (br s, 1H, H-2a), 11.25 (d, J = 2.3 Hz, 1H, H-1’).
3-[2-(2-Acetamido-4-carboxyphenyl)-1-(phenethylthio)ethyl]-1H-indole-6-carboxylic acid (8b). From 7b. HRMS: M+H+ (C28H27N2O5S) 503.1656; calculated 503.1640; Elemental analysis: found, %: N 5.30, C 65.24, H 5.17; calculated for 4C28H26N2O5S·3H2O, %: N 5.43. C 65.16, H 5.37.
1H-NMR (270 MHz, DMSO-d6, 25°C): δ 1.97 (s, 3H, CH3), 2.54 and 2.61 (2m, 4H, 2H-1’’’, 2H-2’’’), 3.31-3.51 (m, 2H, 2H-1’’), 4.50 (m, 1H, H-2’’), 7.04 (XX´ part of AA´XX´system, 2H, H-2b, H-6b), 7.09-7.24 (m, 1H, 4b), 7.09-7.24 (AA´ part of AA´XX´system, 2H, H-3b, H-5b), 7.09-7.24 (m, 1H, H-6), 7.42 (d, J = 2.6Hz, 1H, H-2’), 7.51 (dd, J = 7.9, 2.0 Hz, 1H, H-5), 7.57(dd, J = 8.3, 1.6 Hz, 1H, H-5’), 7.73 (d, J = 8.3 Hz, 1H, H-4’), 7.84 (d, J = 2.0 Hz, 1H, H-3), 7.96 (d, J = 1.6 Hz, 1H, H-7’), 9.48 (br s, 1H, H-2a), 11.27 (d, J = 2.3 Hz, 1H, H-1’).
3-{2-[2-Acetamido-5-(diethylcarbamoyl)phenyl]-1-(phenethylthio)ethyl}-N,N-diethyl-1H-indole-5-carboxamide (8c). From 7c. HRMS: M+H+ (C36H45N5O3S) 613.3205; calculated 613.3212; Elemental analysis: found, %: N 8.63, C 69.01, H 7.03; calculated for 6C36H44N5O3S·CF3COOH H2O, %: N 8.83. C 68.74, H 7.07.
1H-NMR (400 MHz, DMSO-d6, 25°C): δ 0.74 and 1.08 (2m, 12H, 4CH3), 1.99 (s, 3H, COCH3), 2.51-2.66 (m, 4H, 2H-1’’’, 2H-2’’’), 3.24-3.44 (m, 10H, 4CH2 NEt, 2H-1’’), 4.46 (dd, J = 8.8, 6.4 Hz, 1H, H-2’’), 6.89 (d, J = 2.0 Hz, 1H, H-6), 7.02-7.06 (XX´ part of AA´XX´system, 2H, H-2b, H-6b), 7.02-7.06 (m, 2H, H-4, H-6’), 7.09-7.13 (m, 1H, H-4b), 7.16-7.20 (AA´ part of AA´XX´system, 2H, H-3b, H-5b), 7.23 (d, J = 2.4 Hz, 1H, H-2’), 7.31 (d, J = 8.0 Hz, 1H, H-3), 7.32 (d, J = 8.4 Hz, 1H, H-7’), 7.68 (m, 1H, H-4’), 9.45 (br s, 1H, H-2a), 11.06 (d, J = 2.4 Hz, 1H, H-1’).

References and Notes

  1. Fruechtel, J. S.; Jung, G. Organic chemistry on solid supports. Angew. Chem. Int. Ed. Engl. 1996, 35, 17–42. [Google Scholar] [CrossRef]
  2. Brown, R. C. D. Recent developments in solid-phase organic synthesis. J. Chem. Soc., Perkin Trans. 1998, 1, 3293–3320. [Google Scholar] [CrossRef]
  3. Crowley, J. I.; Rapoport, H. Solid- Phase Organic Synthesis: Novelty or Fundamental Concept? Acc. Chem. Res. 1976, 9, 135–144. [Google Scholar] [CrossRef]
  4. Mutulis, F. unpublished data.
  5. Keller, K. Polymeric Indoles. Chem. Ber. 1913, 46, 726–733. [Google Scholar] [CrossRef]
  6. Wu, Y-H.; Lobeck, W. G., Jr.; Ryan, R. P. Diuretics. 1. 1-Imidoyl-2-(2- and 3-indolyl)indolines. J. Med. Chem. 1972, 15, 529–534. [Google Scholar] [CrossRef]
  7. Bergman, J.; Egestad, B.; Eklund, N. The reaction of indigo with hydrazine. Tetrahedron Lett. 1978, 34, 3147–3150. [Google Scholar] [CrossRef]
  8. Banerji, J.; Saha, R.; Manna, A. P.; Shoolery, J. N.; Prange, T.; Pascard, C. Electrophilic substitution of indoles: Part IV - Addition and annulation reactions with mesityl oxide. Indian J. Chem. 1982, 21B, 83–87. [Google Scholar]
  9. Napolitano, A.; Corradini, M. G.; Prota, G. A reinvestigation of the structure of melanochrome. Tetr. Lett. 1985, 26, 2805–2808. [Google Scholar] [CrossRef]
  10. Somei, M.; Hayashi, H.; Ohmoto, S. Reduction of indigo: simple syntheses of 3-acetoxy-, 1-acetyl-2,3-dihydro-, 3-acetoxy-3'-acetyl-, 3-acetoxy-1,3'-diacetyl-2,2'-bisindoles, and 2,2'-bisindole. Heterocycles 1997, 44, 169–176. [Google Scholar] [CrossRef]
  11. Smith, G. F. The dimerization and trimerization of indole. Chem. Ind. 1954, 1451–1452. [Google Scholar]
  12. Ishii, H.; Murakami, K.; Murakami, Y.; Hosoya, K. Fischer indolization and its related compounds. XI. New indole trimer. Chem. Pharm. Bull. 1977, 25, 3122–3124. [Google Scholar] [CrossRef]
  13. Ishii, H.; Murakami, K.; Furuse, T.; Hosoya, K. Abnormal Fischer indolization and its related compounds. XII. Synthesis of 3,6'-biindole. Chem. Pharm. Bull 1979, 27, 346–350. [Google Scholar] [CrossRef]
  14. Bocchi, V.; Palla, G. Synthesis and characterization of new indole trimers and tetramers. Tetrahedron 1986, 42, 5019–5024. [Google Scholar] [CrossRef]
  15. Ishii, H.; Sakurada, E.; Murakami, K.; Takase, S.; Tanaka, H. Polymerization of indole. Part 3. Two indolylquinolines, an indole tetramer, and the dihydro derivative of the indole dimer. J. Chem. Soc. Perkin Trans. 1988, I, 2387–2395. [Google Scholar]
  16. Mackintosh, J. G.; Mount, A. R.; Reed, D. Characterization of the unsymmetrical trimer of indole-5-carboxylic acid by proton NMR spectroscopy. Magn. Reson. Chem. 1994, 32, 559–561. [Google Scholar] [CrossRef]
  17. Manini, P.; d’Ischia, M.; Milosa, M.; Prota, G. Acid-Promoted Competing Pathways in the Oxidative Polymerization of 5,6-Dihydroxyindoles and Related Compounds: Straightforward Cyclotrimerization Routes to Diindolocarbazole Derivatives. J. Org. Chem. 1998, 63, 7002–7008. [Google Scholar] [CrossRef]
  18. Sanders, J. K. M.; Hunter, B. K. Modern NMR Spectroscopy; A Guide for Chemists, 2nd Ed. ed; Oxford University Press: Oxford, U.K, 1993. [Google Scholar]
  19. Bax, A.; Freeman, R.; Gareth, M. Correlation of proton chemical shifts by two-dimensional Fourier transform NMR. J. Magn. Reson 1981, 42, 164–168. [Google Scholar]
  20. Breitmaier, E.; Voelter, W. Carbon-13 NMR Spectroscopy; High-resolution Methods and Applications in Organic Chemistry and Biochemistry, 3rd Ed. ed; VCH Verlagsgesellsschaft: Weinhem, 1987. [Google Scholar]
  21. Reynolds, W. F.; McLean, S.; Perpick-Dumont, M.; Enriquez, R. G. Carbon-13-proton shift correlation with full proton-proton decoupling. II. Further significant improvements in resolution and sensitivity. Magn. Reson. Chem. 1988, 26, 1068–1074. [Google Scholar] [CrossRef]
  22. Bax, A. Structure determination and spectral assignment by pulsed polarization transfer via long-range proton-carbon-13 couplings. J. Magn. Res. 1984, 57, 314–318. [Google Scholar]
  23. King, D. S.; Fields, C. G.; Fields, G. B. A cleavage method which minimizes side reactions following Fmoc solid phase peptide synthesis. Int. J. Pept. Protein Res. 1990, 36, 255–266. [Google Scholar]
  24. Sundberg, R. J. The Chemistry of Indoles.; Academic Press: New York, 1970. [Google Scholar]
  25. Igolen, J.; Kolb, A. 4(and 5)-Substituted indoles prepared from 5-bromoindole. C. R. Acad. Sci., Ser. C: Chim. 1969, 269, 54–56. [Google Scholar]
  26. Firouzabadi, H.; Iranpoor, N.; Jafarpour, M.; Ghaderi, A. Silica gel catalyzed highly selective C-S bond formation via Michael addition of thiols to α,β-unsaturated ketones under solvent-free conditions. J. Mol. Catal. A: Chem. 2006, 249, 98–102. [Google Scholar] [CrossRef]
  • Sample Availability: Samples of the compounds are available from the authors upon request.

Share and Cite

MDPI and ACS Style

Mutulis, F.; Gogoll, A.; Mutule, I.; Yahorava, S.; Yahorau, A.; Liepinsh, E.; Wikberg, J.E.S. Oligomerization of Indole Derivatives with Incorporation of Thiols. Molecules 2008, 13, 1846-1863. https://doi.org/10.3390/molecules13081846

AMA Style

Mutulis F, Gogoll A, Mutule I, Yahorava S, Yahorau A, Liepinsh E, Wikberg JES. Oligomerization of Indole Derivatives with Incorporation of Thiols. Molecules. 2008; 13(8):1846-1863. https://doi.org/10.3390/molecules13081846

Chicago/Turabian Style

Mutulis, Felikss, Adolf Gogoll, Ilze Mutule, Sviatlana Yahorava, Aleh Yahorau, Edvards Liepinsh, and Jarl E.S. Wikberg. 2008. "Oligomerization of Indole Derivatives with Incorporation of Thiols" Molecules 13, no. 8: 1846-1863. https://doi.org/10.3390/molecules13081846

APA Style

Mutulis, F., Gogoll, A., Mutule, I., Yahorava, S., Yahorau, A., Liepinsh, E., & Wikberg, J. E. S. (2008). Oligomerization of Indole Derivatives with Incorporation of Thiols. Molecules, 13(8), 1846-1863. https://doi.org/10.3390/molecules13081846

Article Metrics

Back to TopTop