Simplexidine, a 4-Alkylpyridinium Alkaloid from the Caribbean Sponge Plakortis simplex
Abstract
:Introduction

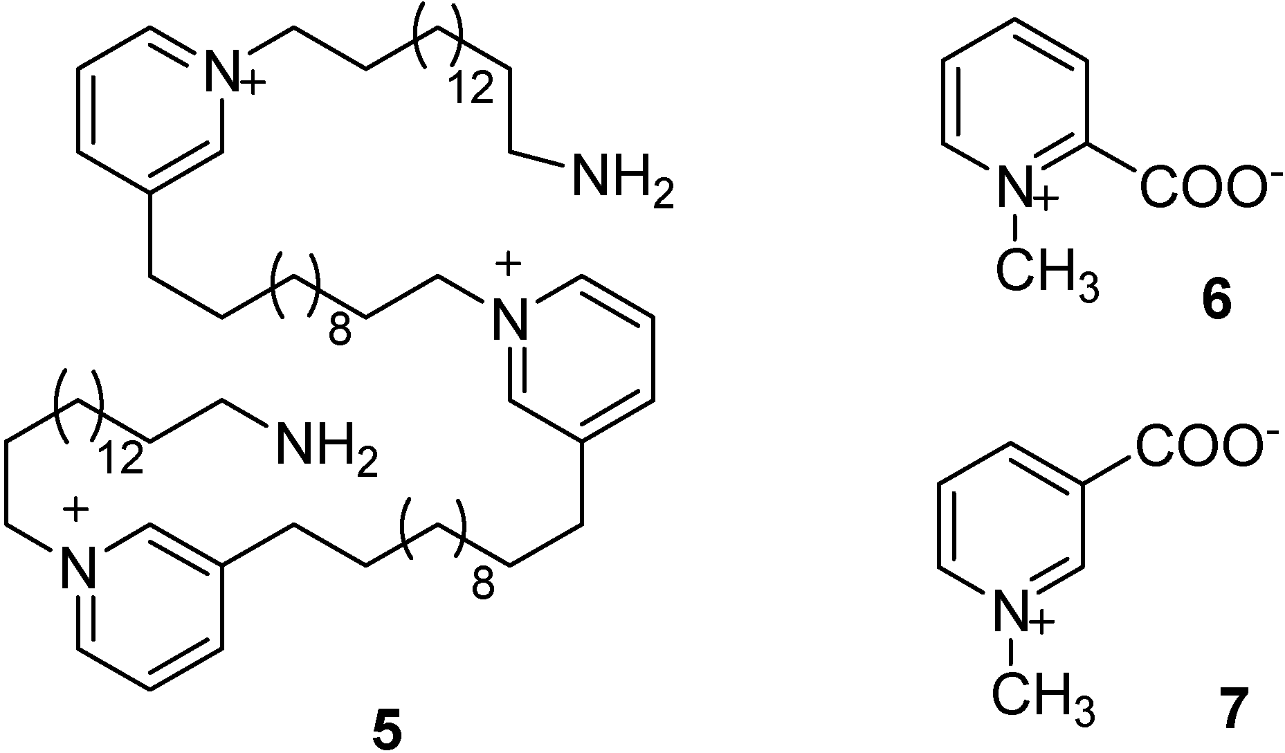
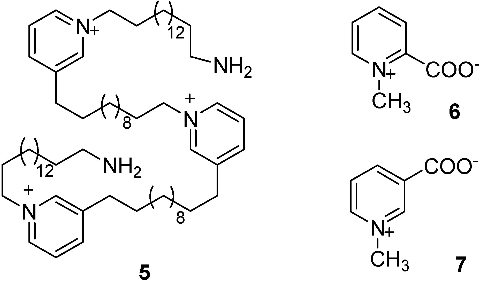
Results and Discussion
| Pos. | δH, mult., J in Hz | δC, mult. | Pos. | δH, mult., J in Hz | δC, mult. |
|---|---|---|---|---|---|
| 1 | 0.93, t, 7.3 | 14.5, CH3 | |||
| 2 | 1.97, q, 7.3 | 25.8, CH2 | 2’ | 8.81, s | 143.1, CH |
| 3 | 5.48, dt, 15.4, 7.3 | 136.2, CH | 3’ | 141.9, C | |
| 4 | 5.35, dt, 15.4, 7.0 | 126.2, CH | 4’ | 163.5, C | |
| 5 | 2.43, q, 7.0 | 38.1, CH2 | 5’ | 7.91, d, 6.9 | 127.3, CH |
| 6 | 3.81, m | 43.4, CH | 6’ | 8.63, d, 6.9 | 143.4, CH |
| 7a | 1.87, m | 27.7, CH2 | 7’ | 168.6, C | |
| 7b | 1.73, m | 8’ | 4.34, s | 46.7, CH3 | |
| 8 | 0.89, t, 7.5 | 12.2, CH3 |


Experimental
General
Extraction and Isolation Procedure
Simplexidine (4) Characterization Data
Acknowledgements
References
- Costantino, V.; Fattorusso, E.; Menna, M.; Taglialatela-Scafati, O. Chemical Diversity of Bioactive Marine Natural Products: An Illustrative Case Study. Curr. Med. Chem. 2004, 11, 1671–1692. [Google Scholar] [CrossRef]
- Laroche, M.; Imperatore, C.; Grozdanov, L.; Costantino, V.; Mangoni, A.; Hentschel, U.; Fattorusso, E. Cellular localization of secondary metabolites isolated from the Caribbean sponge Plakortis simplex. Mar. Biol. 2007, 151, 1365–1373. [Google Scholar] [CrossRef]
- Costantino, V.; Fattorusso, E.; Mangoni, A.; Di Rosa, M.; Ianaro, A. Glycolipids from sponges. 6. Plakoside A and B, two unique prenylated glycosphingolipids with immunosuppressive activity from the marine sponge Plakortis simplex. J. Am. Chem. Soc. 1997, 119, 12465–12470. [Google Scholar] [CrossRef]
- Costantino, V.; Fattorusso, E.; Mangoni, A.; Di Rosa, M.; Ianaro, A. Glycolipids from sponges. VII. Simplexides, novel immunosuppressive glycolipids from the Caribbean sponge Plakortis simplex. Bioorg. Med. Chem. Lett. 1999, 9, 271–276. [Google Scholar] [CrossRef]
- Cafieri, F.; Fattorusso, E.; Taglialatela-Scafati, O.; Ianaro, A. Metabolites from the sponge Plakortis simplex. Determination of absolute stereochemistry of plakortin. Isolation and stereostructure of three plakortin related compounds. Tetrahedron 1999, 55, 7045–7056. [Google Scholar] [CrossRef]
- Campagnuolo, C.; Fattorusso, E.; Romano, A.; Taglialatela-Scafati, O.; Basilico, N.; Parapini, S.; Taramelli, D. Antimalarial polyketide cycloperoxides from the marine sponge Plakortis simplex. Eur. J. Org. Chem. 2005, 23, 5077–5083. [Google Scholar]
- Fattorusso, E.; Parapini, S.; Campagnuolo, C.; Basilico, N.; Taglialatela-Scafati, O.; Taramelli, D. Activity against Plasmodium falciparum of cycloperoxide compounds obtained from the sponge Plakortis simplex. J. Antimicrob. Chemother. 2002, 50, 883–888. [Google Scholar] [CrossRef]
- Campagnuolo, C.; Fattorusso, E.; Taglialatela-Scafati, O. Plakohypaphorines A-C, iodine-containing alkaloids from the Caribbean sponge Plakortis simplex. Eur. J. Org. Chem. 2003, 2, 284–287. [Google Scholar]
- Borrelli, F.; Campagnuolo, C.; Capasso, R.; Fattorusso, E.; Taglialatela-Scafati, O. Iodinated indole alkaloids from Plakortis simplex-New plakohypaphorines and an evaluation of their antihistamine activity. Eur. J. Org. Chem. 2004, 15, 3227–3232. [Google Scholar]
- Campagnuolo, C.; Fattorusso, C.; Fattorusso, E.; Ianaro, A.; Pisano, B.; Taglialatela-Scafati, O. Simplakidine A, a unique pyridinium alkaloid from the Caribbean sponge Plakortis simplex. Org. Lett. 2003, 5, 673–676. [Google Scholar] [CrossRef]
- Sciuto, S.; Chillemi, R.; Piattelli, M. Onium compounds from the red alga Pteroclaudia capillacea. J. Nat. Prod. 1988, 51, 322–325. [Google Scholar] [CrossRef]
- Laville, R.; Thomas, O.P.; Berrue, F.; Reyes, F.; Amade, P. Pachychalines A-C: novel 3-alkyl-pyridinium salts from the marine sponge Pachychalina sp. Eur. J. Org. Chem. 2008, 121–125. [Google Scholar]
- Schmitz, F.J.; Hollenbeak, K.H.; Campbell, D.C. Marine natural products: Halitoxin, toxic complex of several marine sponges of the genus Haliclona. J. Org. Chem. 1978, 43, 3916–3922. [Google Scholar] [CrossRef]
- Turk, T.; Frangez, R.; Sepcic, K. Mechanism of toxicity of 3-alkylpyridinium polymers from marine sponge Reniera sarai. Mar. Drugs 2007, 5, 157–167. [Google Scholar] [CrossRef]
- Kubanek, J.; Andersen, R.J. Evidence for the incorporation of intact butyrate units in the biosynthesis of triophamine. Tetrahedron Lett. 1997, 38, 6327–6330. [Google Scholar] [CrossRef]
- Sample Availability: Contact the authors.
© 2008 by the authors. Licensee Molecular Diversity Preservation International, Basel, Switzerland. This article is an open-access article distributed under the terms and conditions of the Creative Commons Attribution license ( http://creativecommons.org/licenses/by/3.0/).
Share and Cite
Fattorusso, E.; Romano, A.; Scala, F.; Taglialatela-Scafati, O. Simplexidine, a 4-Alkylpyridinium Alkaloid from the Caribbean Sponge Plakortis simplex. Molecules 2008, 13, 1465-1471. https://doi.org/10.3390/molecules13071465
Fattorusso E, Romano A, Scala F, Taglialatela-Scafati O. Simplexidine, a 4-Alkylpyridinium Alkaloid from the Caribbean Sponge Plakortis simplex. Molecules. 2008; 13(7):1465-1471. https://doi.org/10.3390/molecules13071465
Chicago/Turabian StyleFattorusso, Ernesto, Adriana Romano, Fernando Scala, and Orazio Taglialatela-Scafati. 2008. "Simplexidine, a 4-Alkylpyridinium Alkaloid from the Caribbean Sponge Plakortis simplex" Molecules 13, no. 7: 1465-1471. https://doi.org/10.3390/molecules13071465
APA StyleFattorusso, E., Romano, A., Scala, F., & Taglialatela-Scafati, O. (2008). Simplexidine, a 4-Alkylpyridinium Alkaloid from the Caribbean Sponge Plakortis simplex. Molecules, 13(7), 1465-1471. https://doi.org/10.3390/molecules13071465

