Development of an Enzyme-linked Immuno-Sorbent Assay (ELISA) Method for Carbofuran Residues
Abstract
:Introduction
Results and Discussion
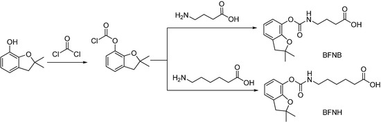
Antigen synthesis

Preparation and purification of MAbs
Preparation of antibody-HRP
Evaluation of four ELISA formats

Differences between the four ELISA formats
| Parameter | Format | |||
|---|---|---|---|---|
| Format I | Format II | Format III | Format IV | |
| BFNH-OVA (ng/mL) | 0.5 | 0.25 | — | — |
| MAbs (ng/mL) | 0.057 | — | 0.35 | 1.42 |
| The secondary antibody | Peroxidase-labeled goat anti-mouse immunoglobulins diluted 1:20000 | — | — | 1 μg/mL Goat anti-mouse immunoglobulins |
| Antibody-HRP | — | 1:80 | — | — |
| BFNH-HRP | — | — | 1:800 | 1:400 |
| Step | 5 | 3 | 3 | 4 |
| Assay time(h) | 4 | 1 | 1.5 | 2 |
| IC50 (ng/mL) | 11.63 | 18.49 | 6343.38 | >10000 |
| Limit detection (10% inhibition) (ng/mL) | 0.007 | 0.11 | 0.066 | 3.58 |
| Linearity detection range (ng/mL) | IC20-IC80 | IC20-IC80 | IC20-IC50 | IC8-IC15 |
| 0.08-1694.93 | 0.65-692.64 | 9.82-6343.38 | 0.74-188.92 | |
Sample analysis
Conclusions
| Matrix | Fortification Level (ng/mL) | Mean±S.D.( ng/mL) | Recovery (%) | R.S.D. (%) |
|---|---|---|---|---|
| Lettuce | 0.1 | 0.14±0.03 | 140.0 | 14.7 |
| 1 | 0.93±0.04 | 93.0 | 12.8 | |
| 10 | 9.71±0.11 | 97.1 | 5.9 | |
| 50 | 47.6±0.93 | 95.2 | 12.2 | |
| Means | 106.3 | 11.4 | ||
| Cabbage | 0.1 | 0.12±0.02 | 120.0 | 13.9 |
| 1 | 0.87±0.06 | 87.0 | 13.7 | |
| 10 | 9.80±0.25 | 98.0 | 6.4 | |
| 50 | 47.6±1.02 | 95.2 | 21.3 | |
| Means | 100.1 | 13.8 | ||
| Water | 0.1 | 0.13±0.01 | 130.0 | 7.7 |
| 1 | 0.96±0.078 | 96.0 | 8.1 | |
| 10 | 9.42±0.17 | 94.2 | 1.8 | |
| 50 | 49.18±4.35 | 98.4 | 8.8 | |
| Means | 104.6 | 6.6 | ||
| Soil | 0.1 | 0.13±0.02 | 130.0 | 15.6 |
| 1 | 1.07±0.11 | 107.0 | 10.4 | |
| 10 | 9.88±0.88 | 98.8 | 8.9 | |
| 50 | 48.69±5.72 | 97.4 | 11.7 | |
| Means | 108.3 | 11.6 |
Experimental
Materials
Antigen synthesis
Production of MAbs to carbofuran
Purification of MAbs
Preparation of antibody-HRP
Preparation of BFNH-HRP
Preparation of standard solutions
The development of ELISAs for carbofuran
Preparation of samples
Acknowledgements
References
- Tomlin, C.D.S. The Pesticide Manual: A World Compendium, 11th ed.; British Crop Protection Publications: Surrey, UK, 1997; pp. 186–188. [Google Scholar]
- Campbell, S.; David, M.D.; Woodward, L.A.; Li, Q.X. Persistence of carbofuran in marine sand and water. Chemosphere 2004, 54, 1155–1161. [Google Scholar] [CrossRef]
- Richter, P.; Sepulveda, B.; Oliva, R.; Calderon, K.; Seguel, R. Screening and determination of pesticides in soil using continuous subcritical water extraction and gas chromatography-mass spectrometry. J. Chromatogr. A. 2003, 994, 169–177. [Google Scholar] [CrossRef]
- Caballo-López, A.; Luque de Castro, M.D. Continuous ultrasound-assisted extraction coupled to on line filtrationsolid-phase extraction-column liquid chromatography-post column derivatisation-fluorescence detection for the determination of N-methylcarbamates in soil and food. J. Chromatogr. A. 2003, 998, 51–59. [Google Scholar] [CrossRef]
- Mc Garvey, B.D. High-performance liquid chromatographic methods for the determination of N-methylcarbamate pesticides in water, soil, plants and air. J. Chromatogr. A. 1993, 642, 89–105. [Google Scholar] [CrossRef]
- Yang, S.S.; Goldsmith, A.I.; Smetena, I. Recent advances in the residue analysis of N-methylcarbamate pesticides. J. Chromatogr. A. 1996, 754, 3–16. [Google Scholar] [CrossRef]
- Anne, D.L.; Shirley, J.G.; Hammock, B.D. Integration of immunochemical methods with other analytical techniques for pesticides residue determination. J. AOAC. Int. 1995, 78, 585–588. [Google Scholar]
- Mickova, B.; Zrostlikova, J.; Hajslova, J.; Rauch, P.; Moreno, M.-J.; Abad, A.; Montoya, A. Correlation study of enzyme linked immunosorbent assay and high-performance liquid chromatography/tandem mass spectrometry for the determination of N-methylcarbamate insecticides in baby food. Anal. Chim. Acta 2003, 495, 123–132. [Google Scholar] [CrossRef]
- Li, K.; Li, Q.X. Development of an enzyme linked immunosorbent assay for the insecticide imidacloprid. J. Agric. Food Chem. 2000, 48, 3378–3382. [Google Scholar] [CrossRef]
- Liu, S.Z.; Feng, D.H.; Chen, M.J.; Qian, C.F. Study on a highly specific enzyme linked immunosorbent assay for carbofuran. J. Anal. Sci. 2000, 16, 373–378. [Google Scholar]
- Zhu, G.N.; Yang, T.; Wu, Y.L. Development of anti-carbofuran antibodies. Sci. Agric. Sin. 2002, 35, 1025–1029. [Google Scholar]
- Abad, A.; Moreno, M.J.; Montoya, A. A monoclonal immunoassay for carbofuran and its application to the analysis of fruit juices. Anal. Chim. Acta. 1997, 347, 103–110. [Google Scholar]
- Abad, A.; Moreno, M.J.; Montoya, A. Development of monoclonal antibody based immuno assays to the Nmethylcarbamate pesticide carbofuran. J. Agric. Food Chem. 1999, 47, 2475–2485. [Google Scholar] [CrossRef]
- Abad, A.; Moreno, M.J.; Pelegr, R.; Martınez, M.I.; Saez, A.; Gamon, M.; Montoya, A. Determination of carbaryl, carbofuran and methiocarb in cucumbers and strawberries by monoclonal enzyme immunoassays and highperformance liquid chromatography with fluorescence detection An analytical comparison. J. Chromatogr. A. 1999, 833, 3–12. [Google Scholar] [CrossRef]
- Hong, X.Z.; Sun, M.Q. The Technology of Protein Linking.; China Medical Technology Press: Beijing, China, 1993; pp. 2–56. [Google Scholar]
- Chen, X.J.; Chen, M.Y.; Zhao, H.J. Application of Immunological Technology in Botany.; China Agricultural University Press: Beijing, China, 1998; p. 45. [Google Scholar]
- Shen, G.X.; Zhou, R.L. Modern Immunology Laboratory Technology.; Science and Technology Press: Hubei, China, 1998; pp. 112–114. [Google Scholar]
- Gabaldón, J.A.; Maquieira, A.; Puchades, R. Current trends in immunoassay-based kits for pesticide analysis. Crit. Rev. Food Sci. Nutr. 1999, 39, 519–538. [Google Scholar] [CrossRef]
- Crowther, J.R. The ELISA Guidebook.; Humana Press: Totowa, New Jersey, USA, 2001; pp. 9–83. [Google Scholar]
- Manclus, J.J.; Montoya, A. Development of an enzyme-linked immunosorbent assay for 3,5,6-trichloro-2-pyridinol. 1. Production and characterization of monoclonal antibodies. J. Agric. Food Chem. 1996, 44, 3703–3709. [Google Scholar] [CrossRef]
- Manclus, J.J.; Montoya, A. Development of an enzyme-linked immunosorbent assay for 3,5,6-trichloro-2-pyridinol. 2. Assay optimization and application to environmental water samples. J. Agric. Food Chem. 1996, 44, 3710–3716. [Google Scholar] [CrossRef]
- Skerritt, J.H.; Hill, A.S.; Beasley, H.L.; Edward, S.L.; McAdam, D.P. Enzyme-linked immunosorbent assay for quantitation of organophosphate pesticides: fenitrothion, chlorpyrifos-methyl, and pirimiphos-methyl in wheat grain and flour-milling fractions. J. AOAC Int. 1992, 75, 519–528. [Google Scholar]
- Bekheit, H.K.M.; Lucas, A.D.; Szurdoki, F.; Gee, S.J.; Hammock, B.D. An enzyme immunoassay for the environmental monitoring of the herbicide bromacil. J. Agric. Food Chem. 1993, 41, 2220–2227. [Google Scholar] [CrossRef]
- Schneider, P.; Goodrow, M.H.; Gee, S.J.; Hammock, B.D. A highly sensitive and rapid ELISA for the arylurea herbicides diuron, monuron, and linuron. J. Agric. Food Chem. 1994, 42, 413–422. [Google Scholar] [CrossRef]
- Sample Availability: Available from the authors.
© 2008 by MDPI (http://www.mdpi.org). Reproduction is permitted for noncommercial purposes.
Share and Cite
Yang, J.; Wang, H.; Jiang, Y.; Sun, Y.; Pan, K.; Lei, H.; Wu, Q.; Shen, Y.; Xiao, Z.; Xu, Z. Development of an Enzyme-linked Immuno-Sorbent Assay (ELISA) Method for Carbofuran Residues. Molecules 2008, 13, 871-881. https://doi.org/10.3390/molecules13040871
Yang J, Wang H, Jiang Y, Sun Y, Pan K, Lei H, Wu Q, Shen Y, Xiao Z, Xu Z. Development of an Enzyme-linked Immuno-Sorbent Assay (ELISA) Method for Carbofuran Residues. Molecules. 2008; 13(4):871-881. https://doi.org/10.3390/molecules13040871
Chicago/Turabian StyleYang, Jinyi, Hong Wang, Yueming Jiang, Yuanming Sun, Ke Pan, Hongtao Lei, Qing Wu, Yudong Shen, Zhili Xiao, and Zhenlin Xu. 2008. "Development of an Enzyme-linked Immuno-Sorbent Assay (ELISA) Method for Carbofuran Residues" Molecules 13, no. 4: 871-881. https://doi.org/10.3390/molecules13040871
APA StyleYang, J., Wang, H., Jiang, Y., Sun, Y., Pan, K., Lei, H., Wu, Q., Shen, Y., Xiao, Z., & Xu, Z. (2008). Development of an Enzyme-linked Immuno-Sorbent Assay (ELISA) Method for Carbofuran Residues. Molecules, 13(4), 871-881. https://doi.org/10.3390/molecules13040871

