Neglschisandrins A-B: Two New Dibenzocyclooctene Lignans from Schisandra neglecta
Abstract
:Introduction
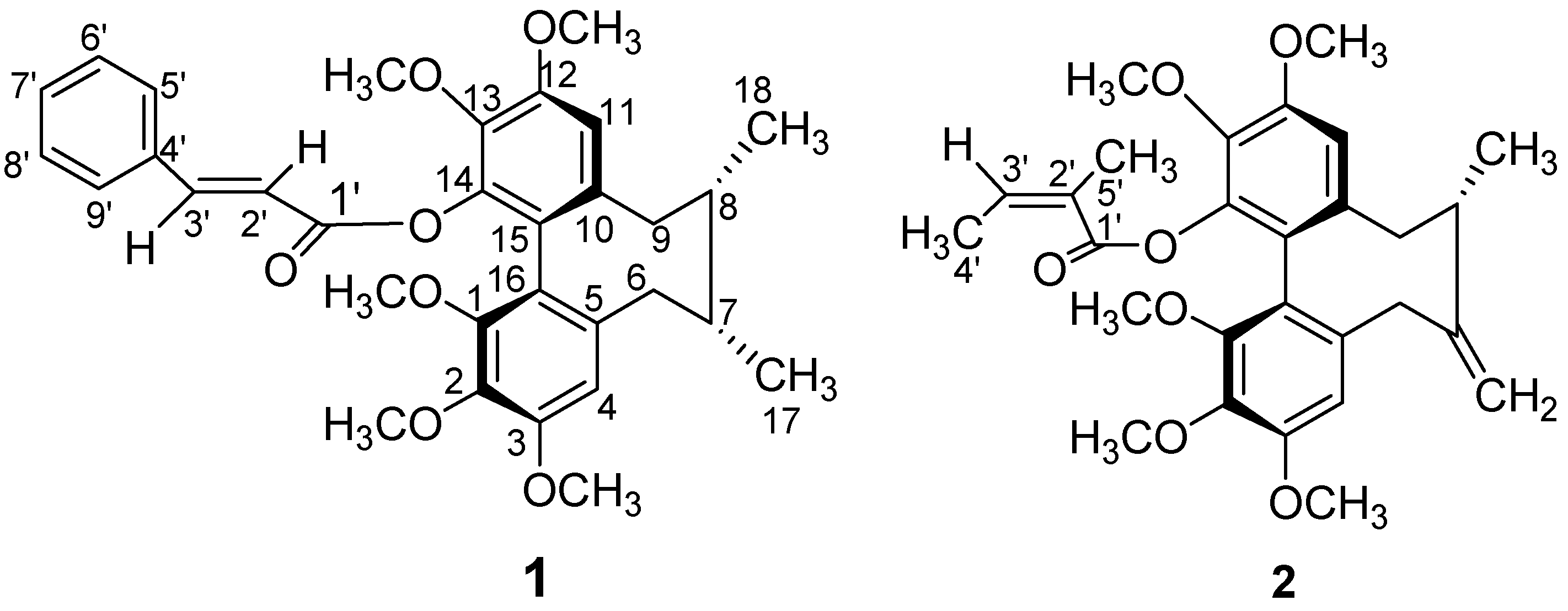
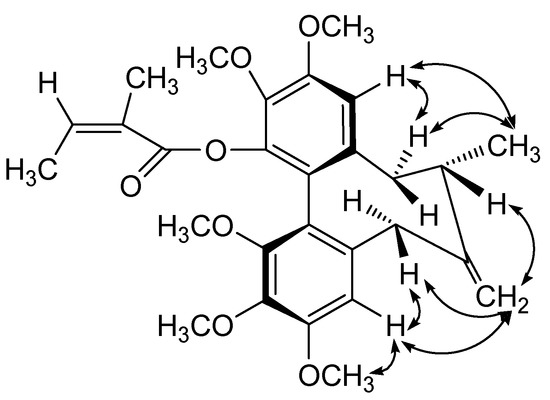
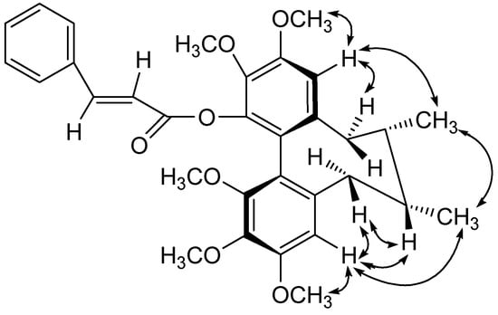
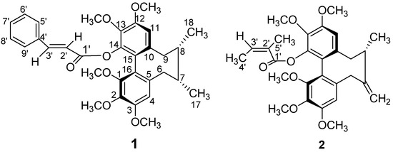
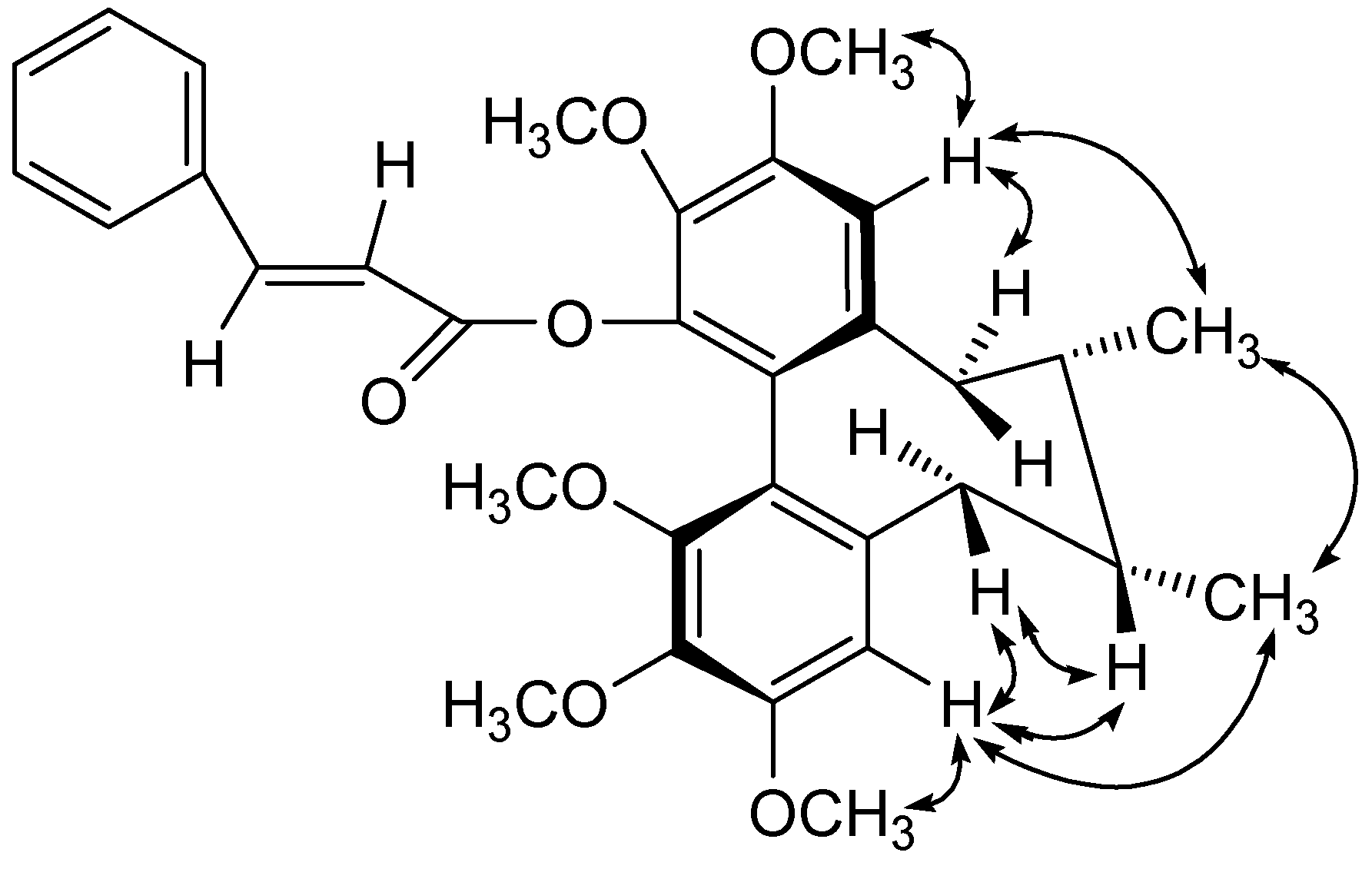
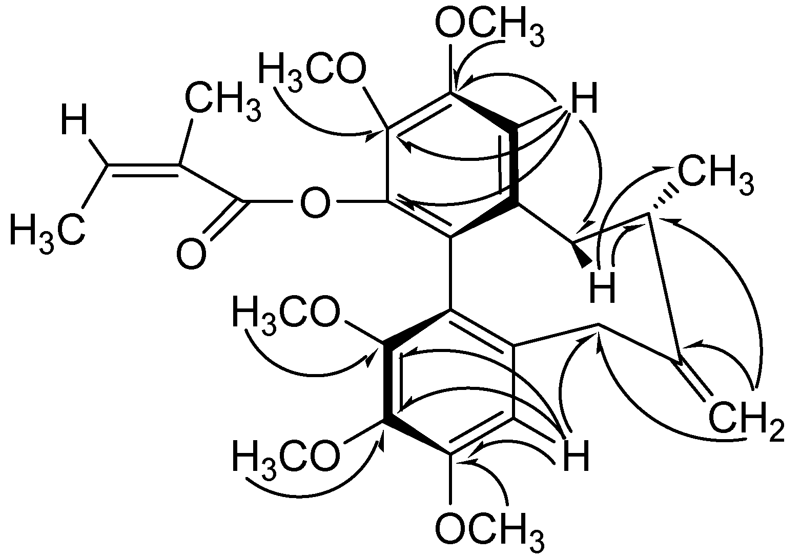
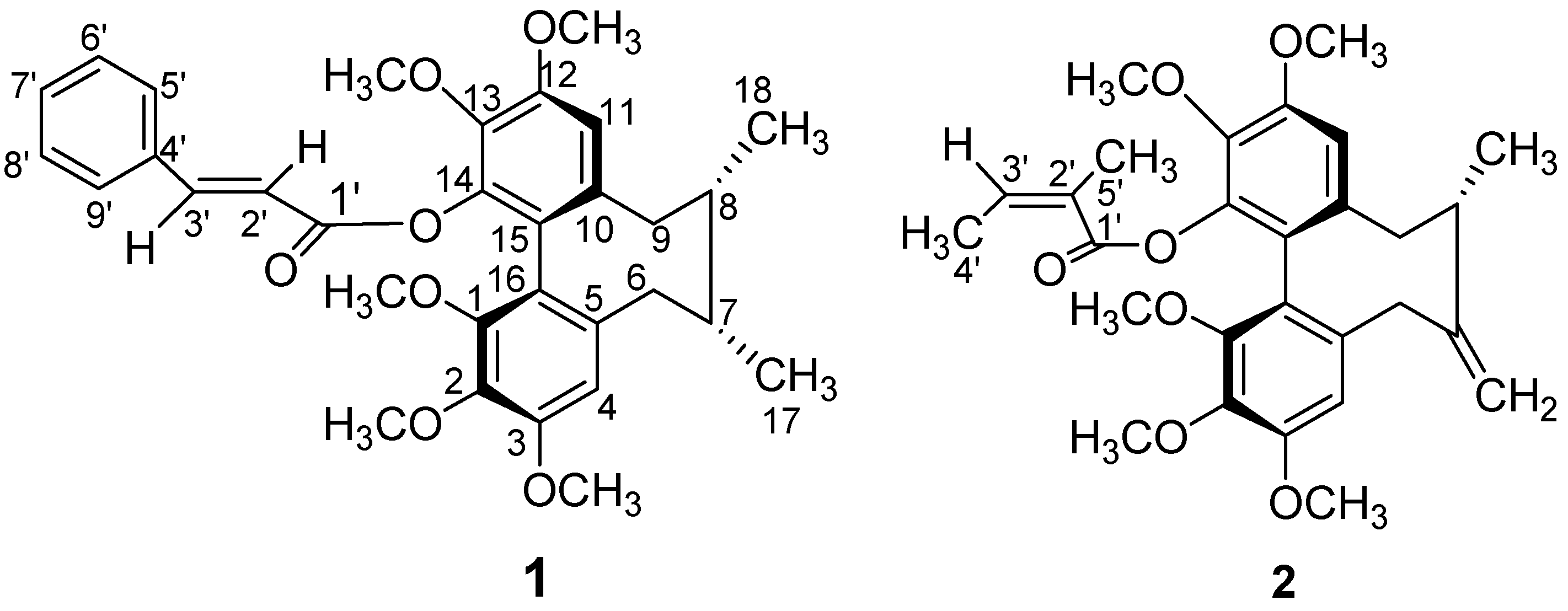
Results and Discussion

| No | 1 | 2 | ||
|---|---|---|---|---|
| δC | δH (Mult., J ) | δC | δH (Mult., J ) | |
| 1 | 151.2 | 151.1 | ||
| 2 | 139.4 | 139.8 | ||
| 3 | 153.0 | 153.2 | ||
| 4 | 107.5 | 6.48 (s) | 107.2 | 6.60 (s) |
| 5 | 140.1 | 137.7 | ||
| 6 | 35.5 | 6α: 2.33 (dd,13.4/9.6) | 36.9 | 2.98 (d,12.6) |
| 6β: 2.06 (d,12.8) | 2.98 (d,12.6) | |||
| 7 | 40.5 | 1.80 (m) | 154.0 | |
| 8 | 33.8 | 1.94 (m) | 38.7 | 2.70 (m) |
| 9 | 39.2 | 9α: 2.64 (dd,13.7/7.4) | 37.8 | 9α: 2.58 (m) |
| 9β: 2.56 (dd, 13.7/1.9) | 9β: 2.58 (m) | |||
| 10 | 133.9 | 133.1 | ||
| 11 | 113.1 | 6.72 (s) | 112.8 | 6.73 (s) |
| 12 | 151.5 | 151.8 | ||
| 13 | 139.6 | 139.9 | ||
| 14 | 142.3 | 142.4 | ||
| 15 | 123.6 | 124.1 | ||
| 16 | 120.9 | 121.2 | ||
| 17 | 21.6 | 1.00 (d, 7.1) | 111.0 | 4.72 (d,1.5) 4.83 (d,1.5) |
| 18 | 12.9 | 0.80 (d,7.1) | 20.5 | 1.04 (d,7.2) |
| 1-OMe | 60.7 | 3.61 (s) | 60.5 | 3.56 (s) |
| 2-OMe | 60.9 | 3.75 (s) | 60.8 | 3.81 (s) |
| 3-OMe | 55.9 | 3.82 (s) | 55.9 | 3.86 (s) |
| 12-OMe | 56.1 | 3.92 (s) | 56.1 | 3.92 (s) |
| 13-OMe | 60.9 | 3.86 (s) | 60.9 | 3.85 (s) |
| Cin: 1' | 164.4 | |||
| 2' | 117.3 | 6.37 (d,16.0) | ||
| 3' | 145.6 | 7.62 (d,16.0) | ||
| 4' | 134.3 | |||
| 5'/9' | 128.1 | 7.44 (m) | ||
| 6'/8' | 128.8 | 7.34 (m) | ||
| 7' | 130.3 | 7.34 (m) | ||
| Ang: 1' | 165.7 | |||
| 2' | 127.8 | |||
| 3' | 137.0 | 5.88 (m) | ||
| 4' | 15.3 | 1.78 (d,6.1) | ||
| 5' | 20.3 | 1.77 (s) | ||




Experimental
General
Plant Material
Extraction and Isolation
=+40.2°(c=0.53, MeOH); IR (KBr): 3417, 2927, 1729, 1596, 1493, 1456, 765, 705; 1H-NMR and 13C-NMR: see Table 1; ESI-MS m/z: 555.4 ([M+Na]+); HR-ESI-MS: 555.2330 ([M+Na]+, C32H36O7Na; calc 555.2353).
=+17.9°(c=0.11, MeOH); IR (KBr): 2933, 1734, 1597, 1491, 735; 1H-NMR and 13C-NMR: see Table 1; ESI-MS m/z: 505.3 ([M+Na]+); HR-ESI-MS: 505.2181 ([M+Na]+, C28H34O7Na, calc 505.2197).Acknowledgements
References
- Dictionary of Chinese Traditional Medicines (Zhong Yao Da Ci Dian); Shanghai Science and Technology Publishing House: Shanghai, P.R. China, 1977.
- Chen, D. F.; Zhang, S. X; Chen, K.; Zhou, B. N.; Wang, P.; Cosentino, L.M.; Lee, K. H. Two New Lignans, Interiotherins A and B, as Anti-HIV Principles from Kadsura interior. J. Nat. Prod. 1996, 59, 1066–1068. [Google Scholar]
- Chen, D. F.; Zhang, S. X; Kozuka, M.; Sun, Q. Z.; Feng, J.; Wang, Q.; Mukainaka, T.; Nobukuni, Y.; Tokuda, H.; Nishino, H.; Wang, H. K.; Morris-Natschke, S. L.; Lee, K. H. Interiotherins C and D, two new lignans from Kadsura interior and antitumour-promoting effects of related neolignans on Epstein-Barr virus activation. J. Nat. Prod. 2002, 65, 1242–1245. [Google Scholar]
- Chen, D. F.; Zhang, S. X.; Xie, L.; Xie, J. X.; Chen, K.; Kashiwada, Y. B.; Zhou, N.; Wang, P.; Cosentino, L. M.; Lee, K. H. Structure-Activity Corelations of Gomisin G-Related Anti-HIV Lignans from Kadsura interior and of Related Synthetic Analogues. Bioorg. Med. Chem. 1997, 5, 1715–1723. [Google Scholar] [CrossRef] [PubMed]
- Zhang, X. M; Chen, D. F.; He, X. J.; Yang, S.; Zheng, P.; Jiang, M. H. The Blocking Effects of Heteroclitin D and Gomisin J on L-type Calcium Channels in Ventricular Cells of Guinea Pig. Acta Pharmacol. Sin. 2000, 21, 373–376. [Google Scholar]
- Peng, H. L.; Chen, D. F.; Lan, H. X.; Zhang, X. M.; Gu, Z.; Jiang, M. H. Anti-Lipid Peroxidation of Gomisin J on Liver Mitochodria and Cultured Myocardial Cells. Acta Pharmacol. Sin. 1996, 17, 538–541. [Google Scholar]
- Chen, M.; Liao, Z. X.; Chen, D. F. Four New Dibenzocyclooctene Lignans from Kadsura renchangiana. Helv. Chim Acta 2004, 87, 1368–1376. [Google Scholar] [CrossRef]
- Chen, M.; Jia, Z. W.; Chen, D. F. Heteroclitin H, a New Lignans from Kadsura heteroclita. J. Asian Nat. Prod. Res. 2006, 8, 643–648. [Google Scholar] [CrossRef] [PubMed]
- Chen, M.; Kilgore, N; Lee, K H; Chen, D. F. Rubrisandrins A and B, Lignans and Related Anti-HIV Compounds from Schisandra rubriflora. J. Nat. Prod. 2006, 69, 1697–1701. [Google Scholar]
- Jia, Z. W.; Liao, Z. X.; Chen, D. F. Two new dibenzocyclooctene lignans from the water extract of Kadsura spp. Helv. Chim. Acta 2005, 88, 2288–2293. [Google Scholar] [CrossRef]
- Ghera, E.; Ben-David, Y.; Becker, D. Desoxyschizandrin, stereochemistry and total synthesis. Tetrahedron Lett. 1977, 18, 463–467. [Google Scholar]
- Ikeya, Y.; Taguchi, H.; Yosioka, I.; Kobayashi, H. The constituents of Schisandra chinensis Bail. ⅠIsolation and structure determination of five new lignans, Gomisin A, B, C, F and G, and the absolute structure of Schizardrin. Chem. Pharm. Bull. 1979, 27, 1383–1394. [Google Scholar]
- Sun, Q. Z.; Chen, D. F.; Ding, P. L.; Ma, C.M.; Kakuda, H.; Nakamura, N.; Hattori, M. Three new lignans, longipedunins A-C, from Kadsura longipedunculata and their inhibitory activity against HIV-1 protease. Chem. Pharm. Bull. 2006, 54, 129–132. [Google Scholar] [CrossRef] [PubMed]
- Li, H. R.; Feng, Y. L.; Yang, Z. G.; Wang, J.; Daikonya, A.; Kitanaka, S.; Xu, L. Z.; Yang, S. L. New lignans from Kadsura coccinea and their nitric oxide inhibitory activities. Chem. Pharm. Bull. 2006, 54, 1022–1025. [Google Scholar]
- Liu, J.S.; Li, L. Schisandtherins L-O and acetylschisantherin L from Kadsra coccinea. Phytochemistry 1993, 32, 1293–1296. [Google Scholar] [CrossRef]
- Xu, L. J.; Huang, F.; Chen, S. B.; Chen, S. L.; Xiao, P. G. A new triterpene and dibenzocyclooctene from Schisandra propinqua (WALL.)Baill. Chem. Pharm. Bull. 2006, 54, 542–545. [Google Scholar]
- Choi, Y.W.; Takamatsu, S.; Khan, S. I.; Srinivas, P. V.; Ferreira, D.; Zhao, J.; Khan, I. A. Schisandrene, a Dibenzocyclooctene Lignan from Schisandra chinensis: Structure-Antioxidant Activity Relationships of Dibenzocyclooctene Lignans. J. Nat. Prod. 2006, 69, 356–359. [Google Scholar] [CrossRef] [PubMed]
- Sample Availability: Samples of compounds 1 and 2 are available from the authors.
© 2008 by MDPI (http://www.mdpi.org). Reproduction is permitted for noncommercial purposes.
Share and Cite
Chen, M.; Xu, X.; Liao, Z.; Dong, L.; Li, L.; Huang, C. Neglschisandrins A-B: Two New Dibenzocyclooctene Lignans from Schisandra neglecta. Molecules 2008, 13, 548-555. https://doi.org/10.3390/molecules13030548
Chen M, Xu X, Liao Z, Dong L, Li L, Huang C. Neglschisandrins A-B: Two New Dibenzocyclooctene Lignans from Schisandra neglecta. Molecules. 2008; 13(3):548-555. https://doi.org/10.3390/molecules13030548
Chicago/Turabian StyleChen, Min, Xiumei Xu, Zhihua Liao, Li Dong, Lei Li, and Chengzhi Huang. 2008. "Neglschisandrins A-B: Two New Dibenzocyclooctene Lignans from Schisandra neglecta" Molecules 13, no. 3: 548-555. https://doi.org/10.3390/molecules13030548
APA StyleChen, M., Xu, X., Liao, Z., Dong, L., Li, L., & Huang, C. (2008). Neglschisandrins A-B: Two New Dibenzocyclooctene Lignans from Schisandra neglecta. Molecules, 13(3), 548-555. https://doi.org/10.3390/molecules13030548
