Antifouling Metabolites from the Mangrove Plant Ceriops tagal
Abstract
:Introduction

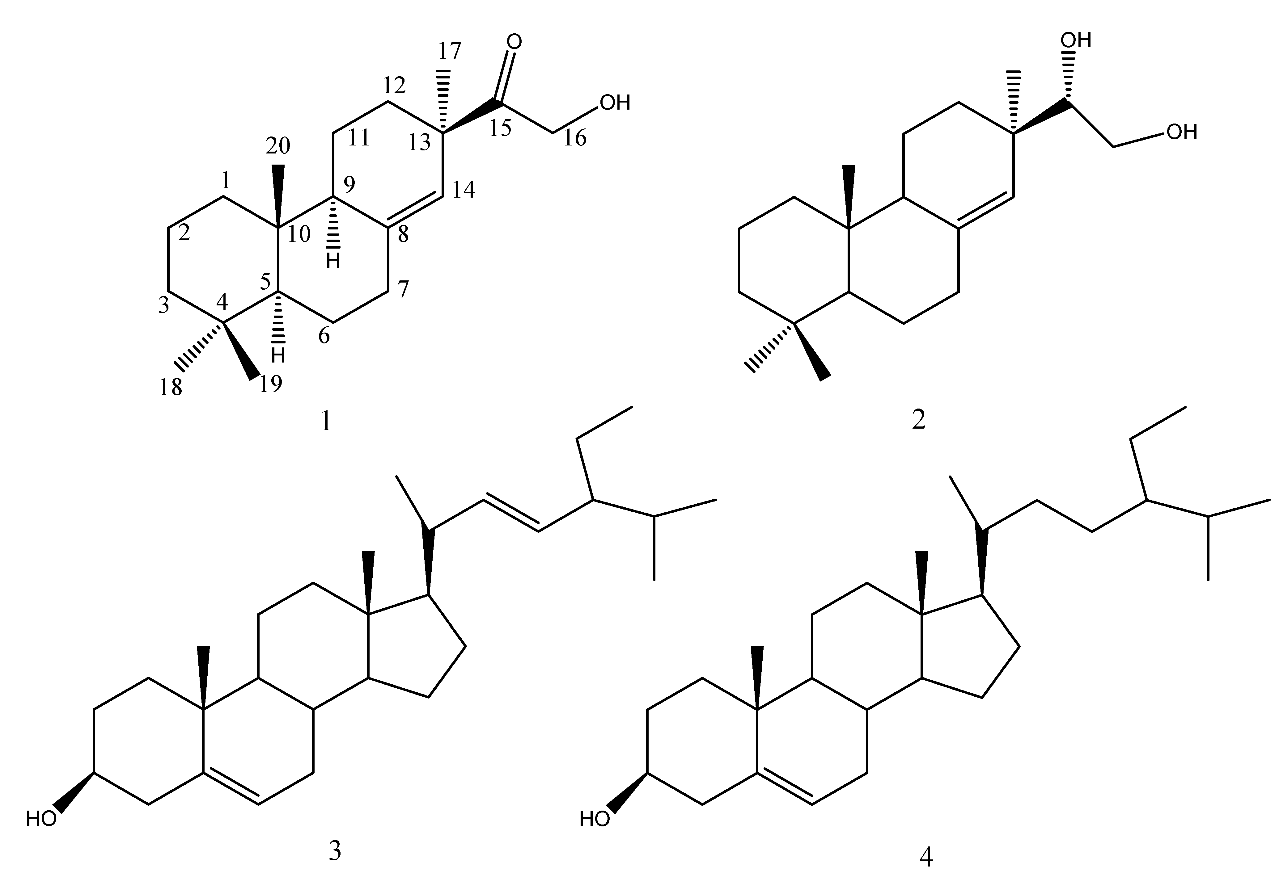
Results and Discussion
| No. | δC | δH (J = Hz) |
|---|---|---|
| 1 | 38.8 t | 1.01 (m), 1.57 (m) |
| 2 | 18.8 t | 1.43 (m) |
| 3 | 42.0 t | 1.20 (m), 1.39 (m) |
| 4 | 33.3 s | |
| 5 | 54.6 d | 1.07 (m) |
| 6 | 22.4 t | 1.36 (dd, 4.5, 13), 1.64 (m) |
| 7 | 35.8 t | 2.11 (ddd, 5, 13.5, 18.5), 2.36 (m) |
| 8 | 143.3 s | |
| 9 | 51.0 d | 1.75 (m) |
| 10 | 38.5 s | |
| 11 | 20.1 t | 1.61 (m) |
| 12 | 32.8 t | 1.13 (m), 2.31 (m) |
| 13 | 46.8 s | |
| 14 | 122.8 d | 5.37 (s) |
| 15 | 214.9 s | |
| 16 | 65.9 t | 4.36 (s) |
| 17 | 22.4 q | 1.12 (s) |
| 18 | 33.6 q | 0.88 (s) |
| 19 | 22.0 q | 0.83 (s) |
| 20 | 14.5 q | 0.64 (s) |



Experimental
General
Extraction and Isolation
Antifouling Assay
Statistical analysis
Acknowledgements
References
- Richmond, M. D.; Seed, R. A review of marine macrofouling communities with special reference to animal fouling. Biofouling 1991, 2, 151–168. [Google Scholar] [CrossRef]
- Ellis, D. V. New dangerous chemicals in the environment: lessons from TBT. Mar. Pollut. Bull. 1991, 22, 8–10. [Google Scholar] [CrossRef]
- Yebra, D. M.; Kiil, S.; Dam-Johansen, K. Antifouling technology-past, present and future steps towards efficient and environmentally friendly antifouling coatings. Prog. Org. Coat. 2004, 50, 75–104. [Google Scholar] [CrossRef]
- Thomas, K. V. The environmental fate and behavior of antifouling paint booster biocides: A review. Biofouling 2001, 17, 73–86. [Google Scholar] [CrossRef]
- Clare, A. S. Marine natural product antifoulants: status and potential. Biofouling 1996, 9, 211–229. [Google Scholar] [CrossRef]
- Rittschof, D. Natural product antifoulants and coatings development; McClintock, J. B., Baker, B. J., Eds.; Marine Chemical Ecology. CRC Press: Boca Raton, 2001; pp. 543–566. [Google Scholar]
- Chambers, L. D.; Stokes, K. R.; Walsh, F. C.; Wood, R. J. K. Modern approaches to marine antifouling coatings. Surf. Coat. Technol. 2006, 201, 3642–3652. [Google Scholar] [CrossRef]
- Wahl, M.; Kröger, K.; Lenz, M. Non-toxic protection against epibiosis. Biofouling 1998, 12, 205–226. [Google Scholar] [CrossRef]
- Wahl, M.; Marine epibiosis, I. Fouling and antifouling: some basic aspects. Mar. Ecol. Prog. Ser. 1989, 58, 175–189. [Google Scholar] [CrossRef]
- Lai, A. R.; Cambie, R. C.; Rutledge, P. S.; Woodgate, P. D. Ent-Pimarane and ent-abietane diterpenes from Euphorbia fidjiana. Phytochemistry 1990, 29, 2239–2246. [Google Scholar] [CrossRef]
- Ma, G. X.; Wang, T. S.; Yin, L.; Pan, Y. Two pimarane diterpenoids from Ephemerantha ionchophylla and their evaluation as modulators of the multidrug resistance phenotype. J. Nat. Prod. 1998, 61, 112–115. [Google Scholar] [CrossRef]
- Luo, X. D.; Wu, S. H.; Ma, Y. B.; Wu, D. G. Ent-pimarane derivatives from Dysoxylum hainanense. Phytochemistry 2001, 57, 131–134. [Google Scholar] [CrossRef]
- Xiang, Y.; Zhang, H.; Fan, C. Q.; Yue, J. M. Novel diterpenoids and diterpenoid glycosides from Siegesbeckia orientalis. J. Nat. Prod. 2004, 67, 1517–1521. [Google Scholar] [CrossRef]
- Han, L.; Huang, X. S.; Sattler, L.; Dahse, H. M.; Fu, H. Z.; Grabley, S.; Lin, W. H. Three new pimaren diterpenoids from mangrove plant, Bruguiera gymnorrhiza. Pharmazie 2005, 60, 705–707. [Google Scholar]
- Zhao, Q. S.; Tian, J.; Yue, J. M.; Chen, S. N.; Lin, Z. W.; Sun, H. D. Diterpenoids from Isodon flavidus. Phytochemistry 1998, 48, 1025–1029. [Google Scholar] [CrossRef]
- Wright, J. L. C.; Mcinnes, A. G.; Shimizu, S.; Smith, D. G.; Watter, J. A. Identification of C-24 alkyl epimers of marine sterols by 13C nuclear magnetic resonance spectroscopy. Can. J. Chem. 1978, 56, 1898–1903. [Google Scholar] [CrossRef]
- Hamilton, M. A.; Russo, R. C.; Thurston, R. V. Trimmed Spearman–Karber method for estimating median lethal concentrations in toxicity bioassays. Environ. Sci. Technol. 1977, 11, 714–719. [Google Scholar] [CrossRef]
- Hamilton, M. A.; Russo, R. C.; Thurston, R. V. Correction to: Hamilton, M. A.; Russo, R. C. and Thurston, R. V. Trimmed Spearman–Karber method for estimating median lethal concentrations in toxicity bioassays. Environ. Sci. Technol. 1978, 12, 417. [Google Scholar] [CrossRef]
- Sample Availability: Samples of the compounds are available from authors.
© 2008 by MDPI (http://www.mdpi.org). Reproduction is permitted for noncommercial purposes.
Share and Cite
Chen, J.D.; Feng, D.Q.; Yang, Z.W.; Wang, Z.C.; Qiu, Y.; Lin, Y.M. Antifouling Metabolites from the Mangrove Plant Ceriops tagal. Molecules 2008, 13, 212-219. https://doi.org/10.3390/molecules13020212
Chen JD, Feng DQ, Yang ZW, Wang ZC, Qiu Y, Lin YM. Antifouling Metabolites from the Mangrove Plant Ceriops tagal. Molecules. 2008; 13(2):212-219. https://doi.org/10.3390/molecules13020212
Chicago/Turabian StyleChen, Jun De, Dan Qin Feng, Zhi Wei Yang, Zhan Chang Wang, Yan Qiu, and Yi Ming Lin. 2008. "Antifouling Metabolites from the Mangrove Plant Ceriops tagal" Molecules 13, no. 2: 212-219. https://doi.org/10.3390/molecules13020212
APA StyleChen, J. D., Feng, D. Q., Yang, Z. W., Wang, Z. C., Qiu, Y., & Lin, Y. M. (2008). Antifouling Metabolites from the Mangrove Plant Ceriops tagal. Molecules, 13(2), 212-219. https://doi.org/10.3390/molecules13020212
