Abstract
Magnetic Resonance Imaging (MRI) methods are currently used in the clinic for the non invasive detection and characterization of a wide variety of pathologies. Increases in the diagnostic efficiency of MRI have been helped by both the design of dedicated MR sequences revealing specific aspects of the pathology and by the development of more sensitive and selective Contrast Agents (CAs), capable of more precisely delineating the borderline regions. In the present review we focus on the synthetic strategies used to obtain MRI CAs containing heterocyclic rings.
Contents
| 1. | Introduction | 1772 |
| 2. | Contrast Agents (CAs) for MRI: Gd-based complexes | 1773 |
| 2.1. CAs derived from acyclic ligands | 1774 | |
| 2.2. CAs derived from macrocyclic ligands | 1784 | |
| 3. | Concluding remarks and future perspectives | 1790 |
1. introduction
Cardiovascular and neurodegenerative diseases, as well as tumors, are often clinically diagnosed using non invasive methods such as PET (Positron Emission Tomography) [1,2], SPECT (Single Photon Emission Tomography) [2], MRI (Magnetic Resonance Imaging) [3], Optical Imaging [4], ultrasound methods [5] or their multimodal combinations [6]. In many cases all of these methods involve the additional use of specific probes (known as Contrast Agents, CAs) to increase image resolution and discrimination between healthy and pathological areas. Therefore, the development of more sensitive, selective and efficient CAs is an important task of strategic interest due to their potential applications in many biomedical imaging procedures. Classically the widespread presence of heterocyclic rings in Nature and their very favorable coordinating properties have prompted the use of a variety of nitrogen-based heterocycles in the manufacture of many CAs. As a more recent example, Fu et al. [7] have described a new family of benzoylpiperidines 1 (Figure 1) as serotonin 5-HT2A ligands for PET or SPECT Imaging of the brain. Notably, in spite of the considerable progress of MRI and PET protocols, X-Ray Imaging still accounts for 75-80% of all diagnostic imaging procedures. In this respect, non-ionic X-Ray CAs based on the attachment of heterocyclic moieties to the 5-position of diatrizoic acid (2) or iohexol (3) have been reported [8]. Most of these new X-Ray contrast agents consist of sterically congested lactams 4, derived from the 2,4,6-triiodoisophthalamide, which exhibit water solubility, stability and osmolality, depending on the heterocycle included. Approaches based on optical methods are fast emerging as alternatives to conventional X-Ray Imaging. Near Infra-Red light (NIR) is increasingly being considered nowadays as a powerful non-invasive biomedical imaging tool. It is specially recommended as a complementary method to X-ray mammography for examinations of young women with dense breast tissues or patients with scars and implants, often employing NIR absorbing dyes. Indocyanine green (ICG, 5) is a clinically approved NIR dye used for testing of hepatic function and fluorescence angiography in ophthalmology and even for detection of breast tumors [9]. NIR dye 6, a modification of ICG, overcomes many of its limitations with regards to spatial resolution and sensitivity [10].
In the following sections we address the various synthetic strategies developed to produce heterocyclic ligands useful for preparing Gadolinium based CAs for MRI [11]. The present work complements these contributions by addressing in more detail the heterocyclic chemistry involved in these processes.
Figure 1.
Some useful probes for PET, SPECT, X-Ray and Optical Imaging.
Figure 1.
Some useful probes for PET, SPECT, X-Ray and Optical Imaging.

2. Contrast Agents (CAs) for MRI: Gd-based complexes
As mentioned above, the diagnostic efficiency by many MRI methods frequently relies on the use of a new type of drugs, referred to as contrast agents (CAs), able to discriminate between normal and pathological tissues due to their different MR properties [11,12,13]. The role of the CAs is to enhance the MRI signal by shortening the relaxation times of water protons in those tissues in which they distribute. Generally, the most investigated paramagnetic CAs are lanthanide complexes, with particular emphasis on the corresponding Gd(III)-chelates. Mn(II) and Fe(III) salts have also been investigated as paramagnetic metals, but they often become weakly chelated and dissociate spontaneously under in vivo conditions [14].
As mentioned, the paramagnetic metal of choice in clinical practice is generally Gd(III), but free Gd(III) is toxic in vitro as well as in vivo, and the use of Gd(III) chelates becomes mandatory in biomedical applications to reduce its toxicity. Gd(III) remains the optimal paramagnetic ion because of its high electronic spin (S=7/2), relatively long electronic relaxation time, high magnetic moment and relatively labile hydration sphere for water exchange. The first generation of Gd(III) chelates was derived from linear or macrocyclic polyaminopolycarboxylates such as diethylenetriaminepentaacetic acid ([dtpaGd(H2O)]2-) or 1,4,7,10-tetraazacyclododecane-1,4,7,10-tetraacetic acid ([dotaGd(H2O)]-), respectively (Figure 2) [11]. Gd-Dtpa, patented as Magnevist® by Schering (Germany), was the first CA approved for clinical use. Gd-Dota (Dotarem®, Guerbet, France), Gd-Dtpa-BMA (Omniscan®, Amersham, Great Britain), Gd-HP-DO3A (Prohance®, Bracco, Italy), Gd-Dtpa-BMEA (Optimark®, Mallinkrodt, USA) and Gd- DO3A-Butriol (Gadovist®, Schering, Germany) followed as other Gd-based CAs commonly used in clinical practice. All of them present similar pharmacokinetic properties and renal elimination rates.
The modification of both linear and macrocyclic parental structures, Gd-Dtpa and Gd-Dota, is currently found to be an essential part of the investigations generating new CAs with improved magnetic properties. In this respect, new Gd-based CAs must exhibit sufficiently high thermodynamic and kinetic stabilities as important determinants for their use in MRI diagnosis. In addition, the CA´s must have improved molecular relaxivity properties, r1 or r2 (s-1 mM-1), defined as the longitudinal or transversal relaxation rates of the water protons in a 1 mM aqueous solution of the Gd(III)-chelate.
Figure 2.
Gd(III) complexes commonly used in clinical practice.
Figure 2.
Gd(III) complexes commonly used in clinical practice.

The following sections cover the synthetic approaches used to prepare these ligands, emphasizing the synthetic methodologies implemented to obtain heterocyclic chelators resulting progressively in more stable Gd complexes.
2.1. CAs derived from acyclic ligands
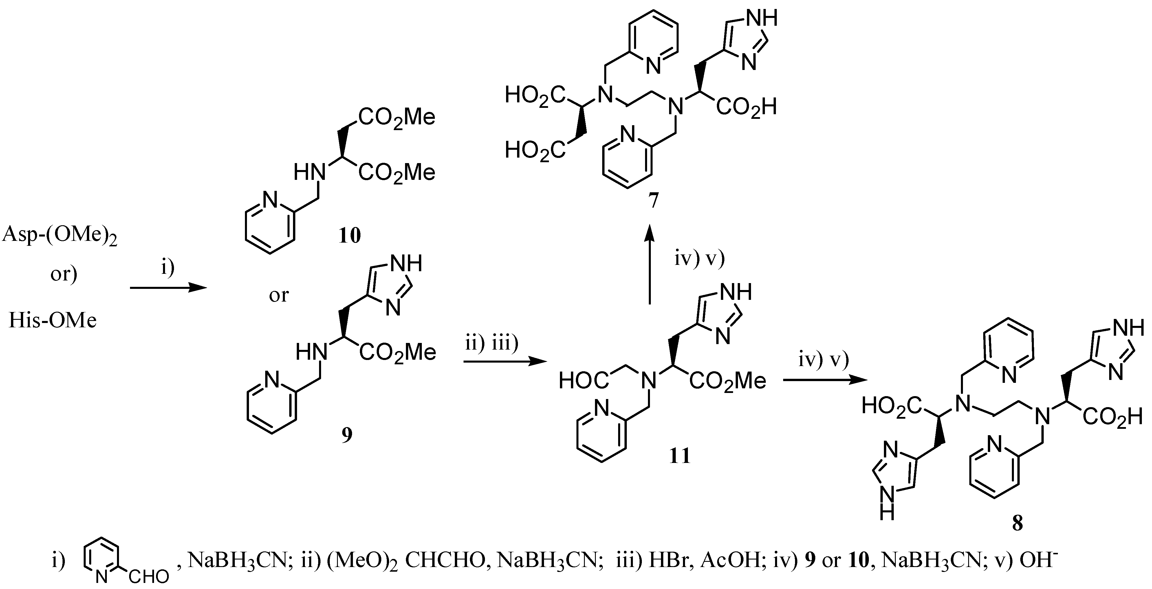
Miyake et al. [15] have reported a new type of optically active acyclic ligands 7 and 8 derived from (S)-aspartic acid and (S)-histidine (Scheme 1). Their Gd(III)-complexes exhibited a high relaxivity (r1 = 9.4 and 9.9 s-1mM-1, respectively, at 300 MHz and 295 K), but their thermodynamic stability was not sufficient to be clinically relevant. Inclusion of pyridine ring was carried out by reductive amination between the corresponding amino acid and pyridine 2-carbaldehyde, affording compounds 9 and 10. Reaction of 9 with 2,2-dimethoxyacetaldehyde in the presence of NaBH3CN, followed by treatment in acidic medium yielded compound 11, which by condensation with 9 or 10 under the mentioned conditions and subsequent basic hydrolysis, afforded the chelating ligands 7 and 8.
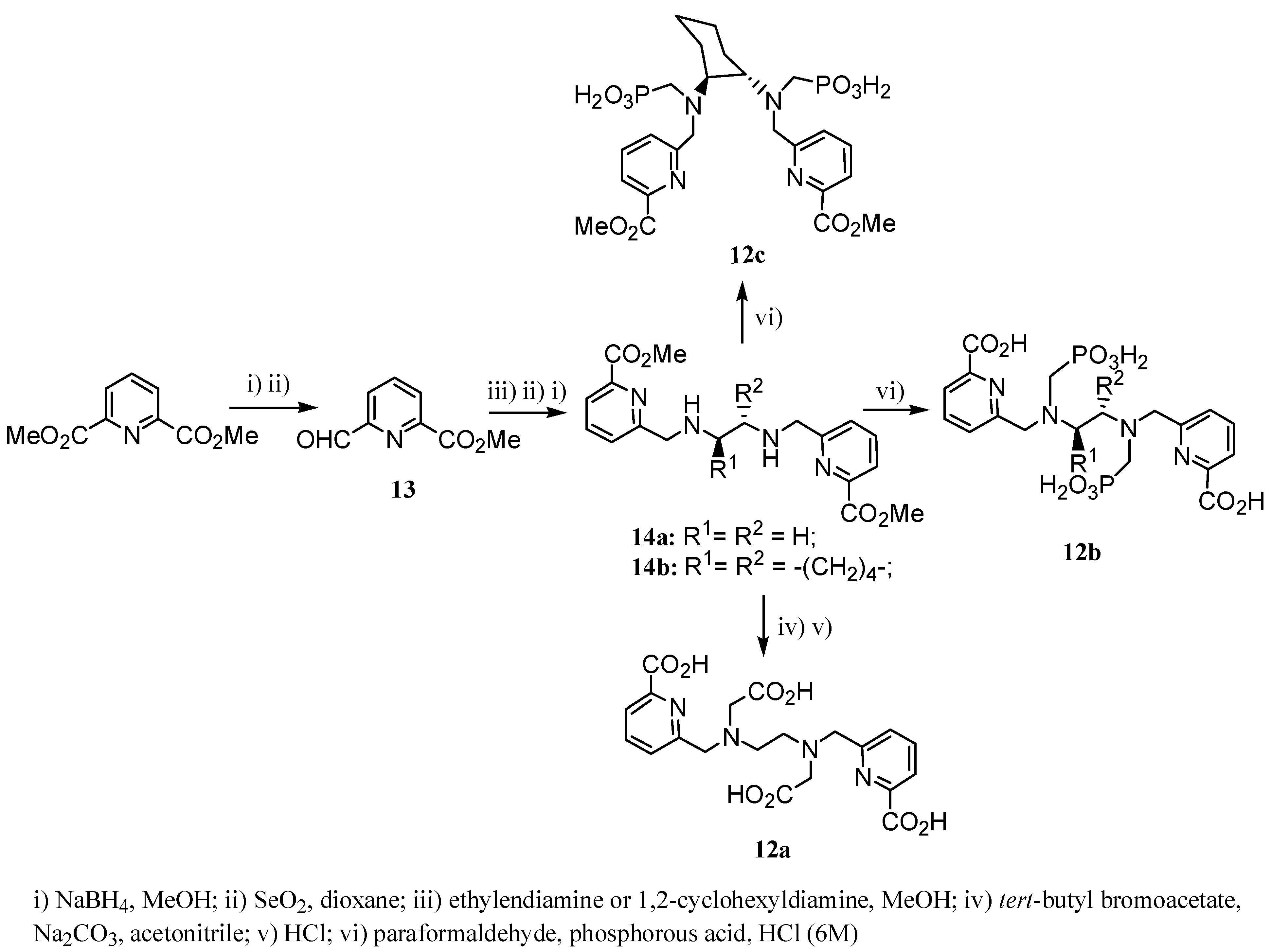
Pyridine derivatives 12a-c, also based on ethylendiamine backbone, were recently reported by Platas-Iglesias et al. (Scheme 2) [16]. Compounds 12a-c were synthesized from 2,6-pyridine-dicarboxylic acid dimethyl ester by reduction of one of the ester groups using NaBH4 in MeOH, followed by oxidation of the corresponding alcohol yielding compound 13. Condensation of 13 with ethylendiamine and subsequent reduction of the imine derivative gave compounds 14a-b. Alkylation of 14a with tert-butyl bromoacetate and deprotection of the ester moieties in acidic medium afforded 12a. Compound 12b was synthesized from precursor 14b by Mannich-type reaction with paraformaldehyde and phosphorous acid in 6 M HCl [17]. Finally, chelate 12c, containing the same structural skeleton with the ethyl bridge substituted by a more rigid cyclohexyl moiety, was prepared using the same synthetic sequence used to prepare 12b (Scheme 2) [18]. Gd-12a induced an r1 value 5.0 s-1mM-1 measured at 20 MHz and 25 ºC.
Scheme 1.
Optically active acyclic ligands derived from (S)-aspartic acid and (S)-histidine.
Scheme 1.
Optically active acyclic ligands derived from (S)-aspartic acid and (S)-histidine.

Scheme 2.
Pyridine derivatives 12a-c based on an ethylendiamine chelate.
Scheme 2.
Pyridine derivatives 12a-c based on an ethylendiamine chelate.

López et al. [19] have reported the synthesis of a novel series of chelating ligands 15 containing nitrogen heterocycles, such as pyrazole and indazole, which form tetradentate complexes with Gd(III). These Gd(III)-complexes were considered as T2 relaxation agents for MRI (r1 4.6-5.9 s-1 mM-1; r2 7.4-13.9 s-1 mM-1 at 360 MHz and 25 ºC). Their synthesis was carried out starting from the corresponding heterocyclic rings by alkylation, using phase transfer conditions, to give compounds 16. Reaction of 16 with methyl iminodiacetate and subsequent acid or basic hydrolysis of the corresponding methyl ester afforded the chelating ligands 15 (Scheme 3).
Scheme 3.
Scheme 3.

In a similar fashion, Mayoral et al. [20] described a novel family of chelating agents 17 containing bi- and bis-pyrazole structure, which form double tetradentate complexes with Gd(III). They exhibited a larger relaxivity in a range of 13.8-37.0 s-1mM-1 (60 MHz and 37 ºC), even compared to dendrimers with numerous metallic centers (Figure 3). Ligands 17a-d were obtained by alkylation of the corresponding bi or bispyrazole, reaction with methyl iminodiacetate and followed by the basic hydrolysis as mentioned above for the preparation of 15 (Scheme 3).
Figure 3.
Chelating ligands for Gd(III) with Bi and bis-pyrazole skeleton.
Figure 3.
Chelating ligands for Gd(III) with Bi and bis-pyrazole skeleton.

Chelators 17e-i were synthesized from the chloromethyl pyrazoles 18 prepared by condensation of the appropriate pyrazole with paraformaldehyde (Scheme 4) [21].
Scheme 4.
Gd(III) Chelators from 4-chloromethylpyrazoles.
Scheme 4.
Gd(III) Chelators from 4-chloromethylpyrazoles.

Compounds 18 were extremely reactive species, reacting with the corresponding nucleophiles to give different products, depending on the starting substrate. When compounds 18 reacted with water, complexones 17e-f were isolated after basic hydrolysis of the corresponding ester, while compounds 17g-i were prepared by reaction of 18 with the nucleophile shown in Scheme 4.
Heptadentate ligand 19 containing three pyridine rings was synthesized in two steps according to Scheme 5. Alkylation of 21 with the pyridylmethyl chloride 20 lead to compound 22, which when treated with NaOH/EtOH afforded the ligand 19. Gd(III)-19 showed an unusual and higher relaxivity with respect to the other heptadentate complexes (13.3 s-1mM-1 measured at 60 MHz and 298 K) [22].
Scheme 5.
Scheme 5.

The Gd(III)-complex of ligand 23 with a pyridine ring as part of the triamine skeleton was reported by Aime et al. [23]. This complex showed a high relaxivity (9.1 s-1mM-1 at 20 MHz and 25 ºC) in comparison with other heptacoordinating complexes, probably due to the presence of the hydroxyl groups that contribute to an increase of the second coordination sphere of the complex. Compound 23 was synthesized in two steps through a double-Mannich reaction, as shown in Scheme 6. Thus, reaction of 3,5-dyhydroxypyridine with paraformaldehyde and ethyl iminodiacetate gave compound 24, whose treatment with 6M ClH afforded 23 in good overall yield (56%).
Scheme 6.
Scheme 6.

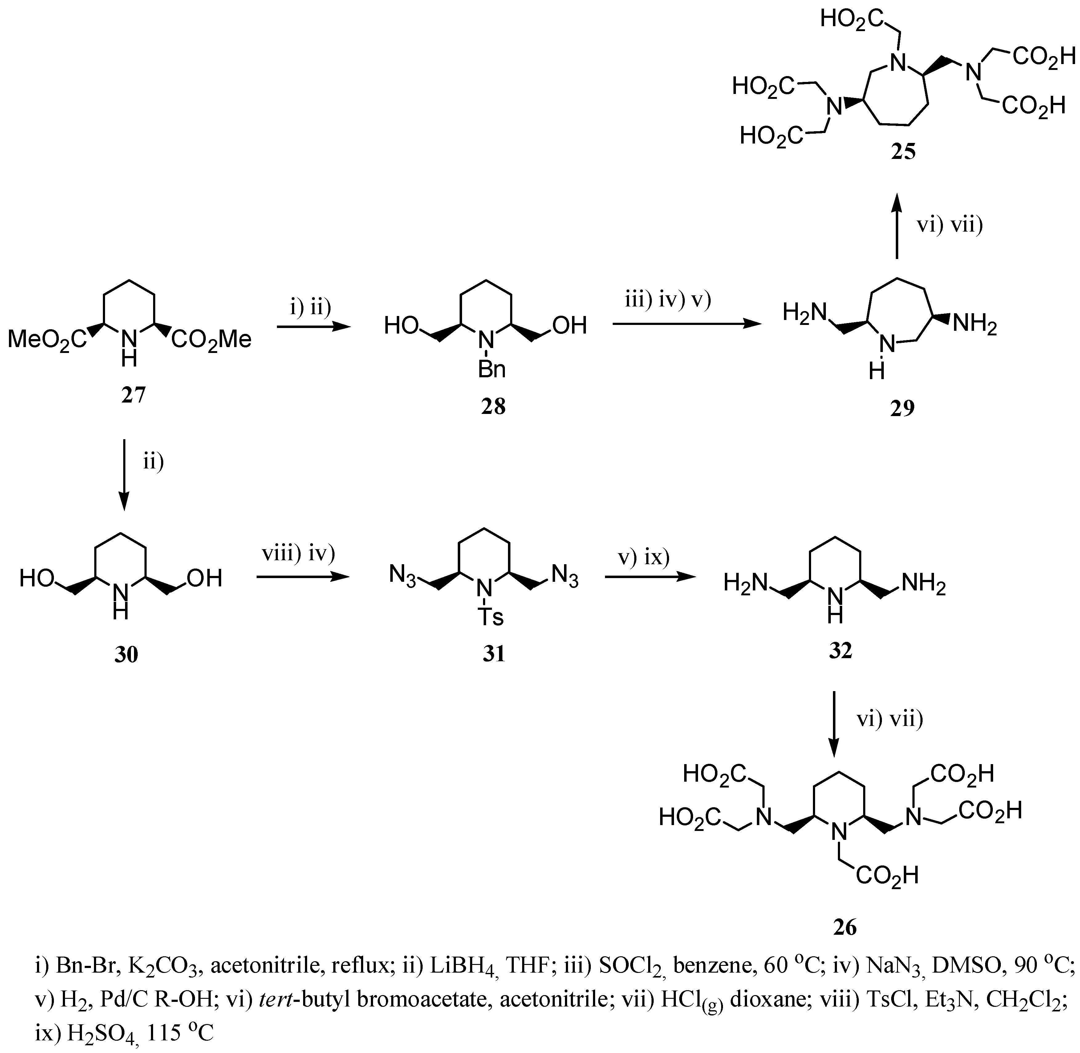
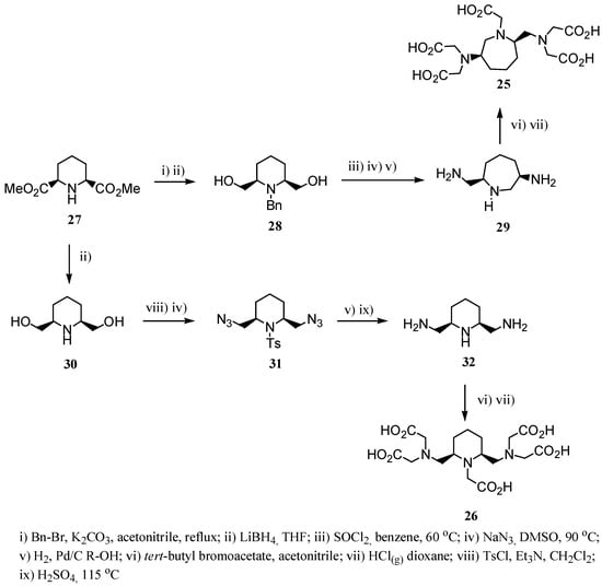
High stability constants and high relaxivity values are the essential requirements of a Gd-complex to be a potential CA for MRI. Consequently, design of octadentate chelating ligands is pursued in most investigations of new CAs with high stability constants. Dtpa analogues derived from piperidine and azepane 25 and 26 have been reported as potential CAs for MRI [24]. The synthetic routes used to prepare them firstly involved the functionalised heterocycles synthesis and subsequent alkylation (Scheme 7). The synthesis of 25 and 26 started from the piperidine 27, which after benzylation of amine group and subsequent ester reduction afforded the compound 28.
Scheme 7.
Dtpa analogues derived from piperidine and azepane.
Scheme 7.
Dtpa analogues derived from piperidine and azepane.

Treatment of 28 with thionyl chloride followed by reaction with sodium azide induces the ring expansion giving the corresponding azide, which was reduced to give the diamine 29. On the other hand, reduction of 27 using LiBH4 lead to compound 30, which by reaction with p-toluensulfonyl chloride followed by treatment with sodium azide gave compound 31. Reduction of the azide groups in compound 31 and subsequent treatment with concentrated H2SO4 afforded diamine 32. Finally, alkylation of 29 and 32 using tert-butyl bromoacetate and subsequent treatment with an acidic medium lead to 25 and 26, respectively.
In the same way, Cheng T.-H. et al. [25] reported the Gd(III)-complex of N’-2-pyridylmethyl derivative 33 showing similar relaxivity values (4.2 s-1mM-1 at 20 MHz and 310 K) and stability constants to Gd(III)-dtpa. This ligand was synthesized from diethylenetriamine with protection of the terminal amine groups according to the route shown in Scheme 8. Alkylation of the central nitrogen of the amine backbone gave compound 34, which was sequentially treated with acid, alkylated with tert-butyl bromoacetate and finally hydrolysed in acidic medium yielding ligand 33.
Scheme 8.
Scheme 8.

Recently, we reported an experimental and theoretical study of lanthanide complexes of the modified dtpa derivative 35 that includes a 3,5-dimethylpyrazolylethyl arm, corroborating the effective azole coordination with the metal center [26]. This compound was synthesized starting from N,N’-Boc-diethylenetriamine using a similar synthetic approach as for 33, which gave 35 in 83% overall chemical yield (Scheme 9). The corresponding Gd-complex of 35 exhibited an r1 value of 5.1 s-1mM-1 measured at 60 MHz and 310 K.
Scheme 9.
Scheme 9.

Relaxivity properties of Gd-based CAs can be increased restricting the motion of the complexes by linking to macromolecules through covalent or non-covalent bonds [11,12b]. This approach was used by Ruloff et al. [27] to prepare the complex [Fe{Gd 36(H2O)2}3] from ligand 36, obtained by a similar synthetic pathway as mentioned for compound 35 (Scheme 9 and Figure 4). The r1 for this complex was 22.9 s-1mM-1 (60 MHz, 298 K).
Figure 4.
Figure 4.

On the other hand, a heterometallic self-assembled metallostar was prepared from ligand 37 synthesized using the same route mentioned above (Scheme 10) [28]. The multinuclear complex [Fe{Gd237(H2O)4}3]4- is a rigid supramolecular structure containing two water molecules per Gd(III) ion in the inner-sphere. Its high relaxivity (27 s-1mM-1 at 20 MHz and 25 ºC) is comparable to a Gd(III)-Dota-loaded generation 10 dendrimer.
Scheme 10.
Scheme 10.

Parac-Vogt et al. [29] reported a stable dinuclear Gd(III)-complex of compound 38 exhibiting a r1 value of 13.6 s-1mM-1 (20 MHz, 25 ºC). Compound 38 was prepared from the bis-indole derivative 39, which was attached to two units of dtpa using TBTU/TEA in DMSO, according to Scheme 11.
Scheme 11.
Dtpa bis-indole derivative.
Scheme 11.
Dtpa bis-indole derivative.

Gd-complexes have been also produced to recognize molecules such as sialic acids, a generic term for the N- or O-substituted derivatives of neuraminic acid, a nine-carbon monosaccharide containing a carboxyl group at the anomeric carbon. Glycoproteins or glycolipids containing sialic acids as terminal residues are often present in the cell surface or intracellular membranes.
Frullano et al. [30] synthesized a Gd-complex of 40 able to recognize and reversibly bind to sialic acid residues (Scheme 12), often proposed as diagnostic indicators in several diseases. Ligand 40 was synthesized from tri(ethylamine)amine (TREN) with two amine groups protected as tert-butoxy-carbonyl (Boc) moieties and subsequent treatment with 2-methyl-2-thioimidazoline hydroiodide in refluxing ethanol. Removal of the Boc protecting groups in acidic medium afforded compound 41, which reacted with 2-formylphenylboronic acid giving the corresponding imine. Reduction of the latter and subsequent separation leaded to the monoamine 42. Finally, 40 was prepared by condensation between compound 42 and the dtpa-bis-anhydride (Scheme 12).
Scheme 12.
Gd(III)-40 recognizing and reversibly binding to the sialic acid residues.
Scheme 12.
Gd(III)-40 recognizing and reversibly binding to the sialic acid residues.

One of the first CAs that included pyrimidine rings in its structure was the Mn(II) complex of N,N´-dipyridoxylethylenediamine-N,N´-diacetate 5,5´-bis(phosphonate) (DPDP, 43), considered the active component of Teslascan®, a contrast medium for hepatic MRI [31]. This complex was synthesized in 1989 from pyridine 44 by condensation with ethylenediamine and subsequent reduction of the corresponding imine affording compound 45. Alkylation of amine groups in 45 with bromoacetic acid in basic medium gave 43 (Scheme 13) [32].
Scheme 13.
Synthesis of DPDP as chelating ligand for Mn(II).
Scheme 13.
Synthesis of DPDP as chelating ligand for Mn(II).

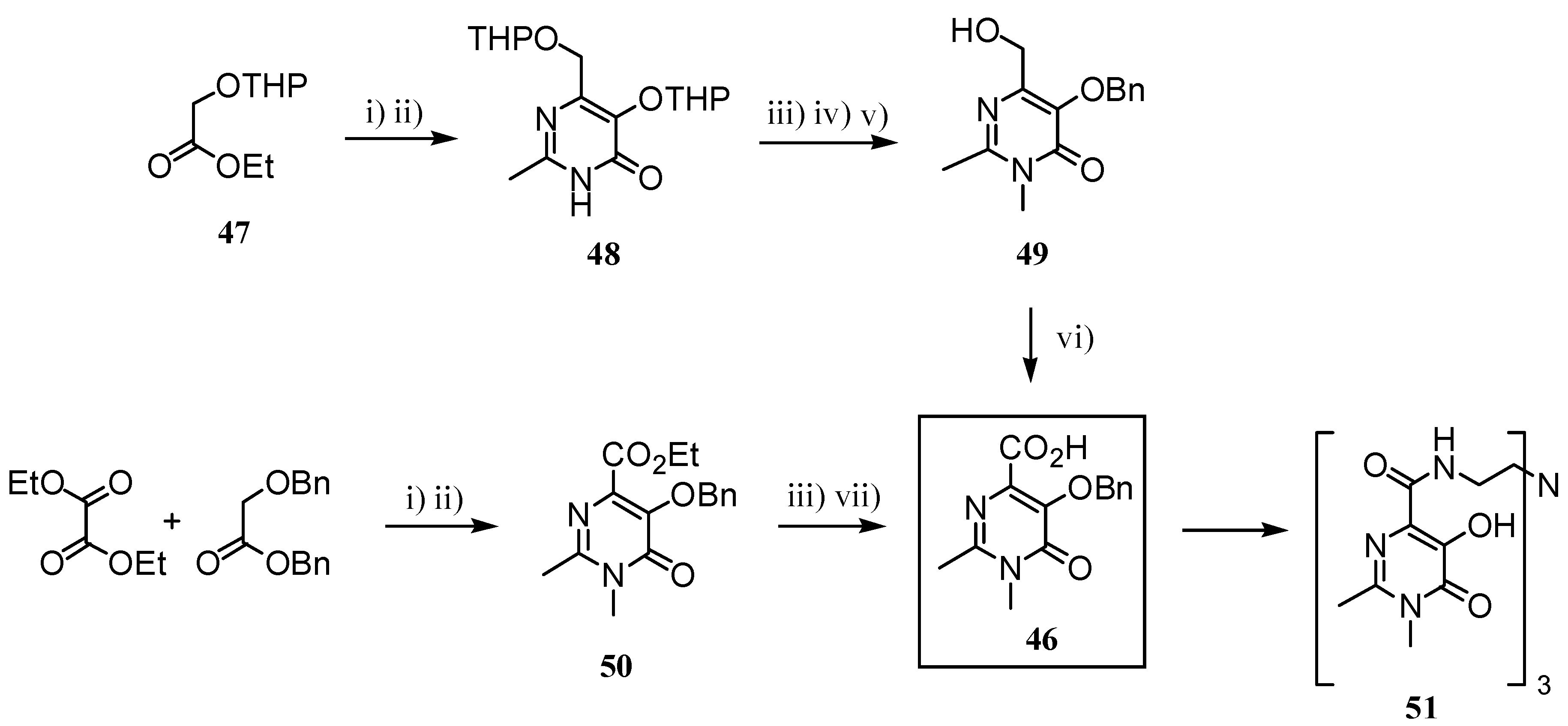
Recently, 4-benzyloxy-5-pyrimidinone carboxylic acid 46 was reported as a building block to prepare several ligands through coupling with the corresponding amine. Two synthetic routes leading to 46 were reported (Scheme 14) [33]. One of them starts with self-condensation of 47 and subsequent in situ reaction with acetamidine, giving compound 48. Nitrogen methylation followed by hydroxyl group deprotection in an acidic medium and benzylation of the freed hydroxyl moiety at the 5-position yielded compound 49. Finally, oxidation of 49, using phase transfer conditions, afforded the acid 46. The second approach was a shorter one starting from diethyl oxalate and benzyl benzyloxyacetate. Condensation of both, in the same conditions mentioned above, leaded to ester 50, which by nitrogen methylation and basic hydrolysis of the ester group yielded the desired acid 46. Coupling of 46 with amines may produce a large series of hydroxypyrimidinones. Particularly, the Gd-complex of 51 exhibited a relaxivity value of 9.0 s-1mM-1 measured at 20 MHz and 25 ºC.
Scheme 14.
Two synthetic strategies to prepare 51.
Scheme 14.
Two synthetic strategies to prepare 51.

In 2003, a new tripodal hydroxypyridonate Gd-complex of 52 was prepared (Scheme 15) and its stability constant and relaxometric studies were described [34]. Ligand 52 was obtained from thiazolide 53 by coupling with glycine to give compound 54.
Scheme 15.
Scheme 15.

Activation of 54 using N-hydroxy-succinimide (NHS), followed by amidation with TREN and subsequent benzyloxy group deprotection afforded compound 52. The corresponding Gd(III)-complex showed improved relaxivity (6.6 s-1 mM-1 at 20 MHz and 298 K), compared to the CAs normally used in clinical diagnosis. However, its stability constant decreased slightly with respect to the analogous 51 without the glycine unit. Bis-hydroxypyridonate chelates were investigated, the MR imaging investigations and biodistribution being reported [35].
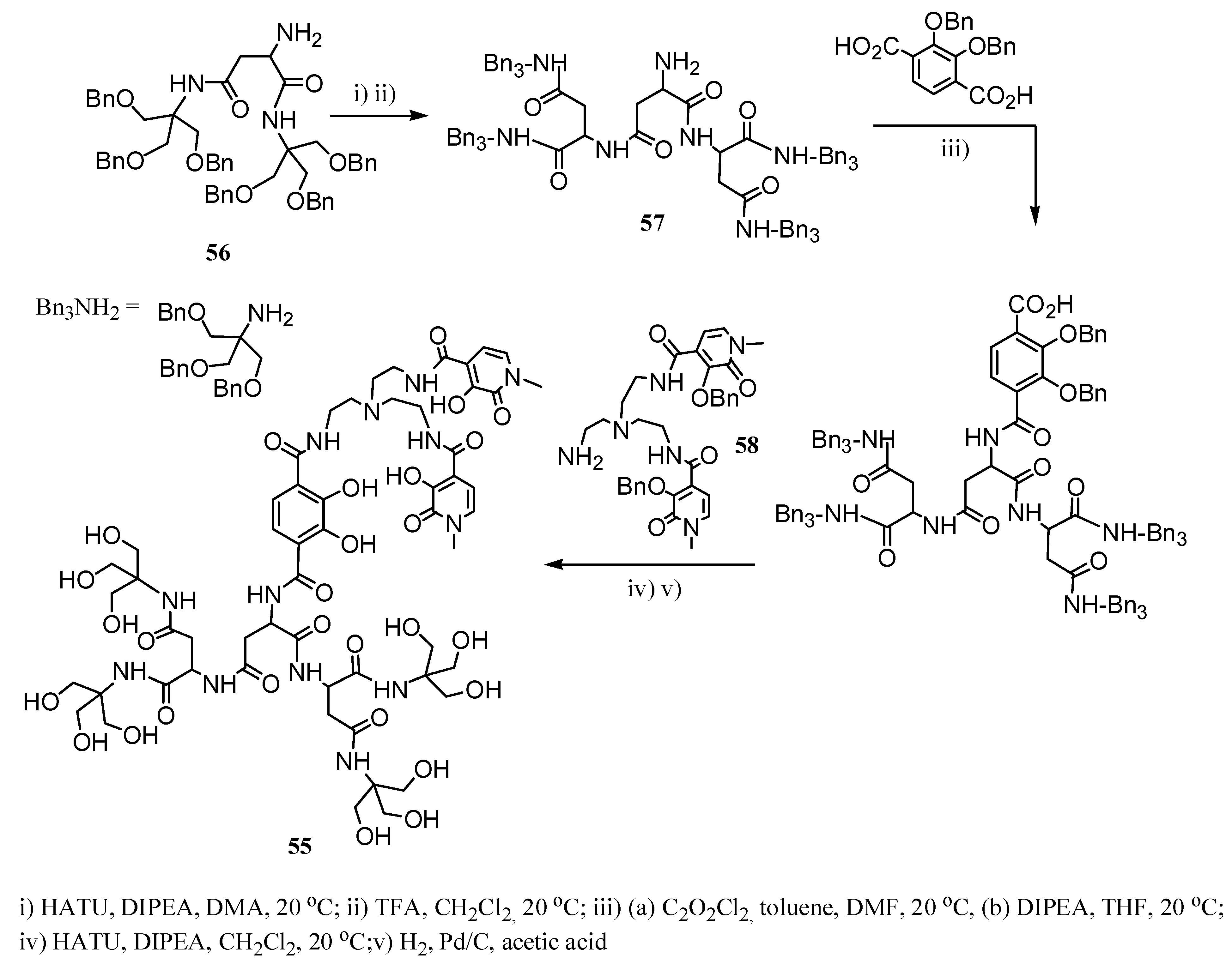
More recently, Pierre et al. [36] described a new dendrimeric Gd(III) chelator 55, including 12 hydroxyl groups to ensure the overall solubility in water, and exibiting a r1 values of 1.6 and 1.8 times greater than its corresponding monomer at 20 and 90 MHz, respectively (14.3 and 18.0 s-1 mM-1 25 ºC, respectively ). Ligand 55 derived from hydroxypyridonate was synthesized according to Scheme 16.
Scheme 16.
Dendrimeric chelating ligand derived from hydroxypyridonate.
Scheme 16.
Dendrimeric chelating ligand derived from hydroxypyridonate.

Reaction of tris-benzyloxyethanolamine and N-tert-butoxycarbonylaminoaspartic acid in the presence of the coupling reagent, HATU (N-[(dimethylamino)-1H-1,2,3-triazolo-[4,5-b]pyridin-1-ylmethylene]-N-methylmethanaminium hexafluorophosphate N-oxide), and subsequent deprotection of the amino group in an acidic medium led to compound 56. Coupling of 56 with an additional aspartic acid unit and subsequent deprotection of the amino group afforded 57. Amidation reaction between 2,3-benzyloxyterephtalic chloride and 57, followed by coupling with compound 58, and hydrogenolysis of benzyl moieties yielded ligand 55. This chelating ligand coordinated one Gd(III) ion showing two water molecules in the inner-sphere.
2.2 CAs derived from macrocyclic ligands
The development of novel generations of macrocyclic CAs for MRI, such as Dota derivatives, is an important area of research because of the higher thermodynamic and kinetic stability of these lanthanide complexes in comparison with the linear CAs [37]. Three important key intermediates are used to prepare macrocyclic ligands based on the cyclen skeleton: monoalkylated cyclen 59 [38], 1,7-disubstituted-1,4,7,10-tetraazacyclododecanes 60 [39] and the 1,4,7-tris(tert-butoxycarbonylmethyl)-1,4,7,10-tetraazacyclododecane hydrobromide salt 61 [40] (Figure 5).
Figure 5.
Cyclen derivatives used to synthesize the most useful macrocyclic CAs.
Figure 5.
Cyclen derivatives used to synthesize the most useful macrocyclic CAs.

Ligand 62 containing a tetrazolylmethyl arm was prepared from compound 61 according to Scheme 17 [41]. Compound 61 was alkylated with freshly distilled chloroethylnitrile under heterogeneous conditions followed by treatment with TMS-N3, in the presence of Bu2-SnO, yielding the corresponding tetrazole derivative, which by acid hydrolysis afforded 62 (r1 of Gd-62 was 4.8 s-1 mM-1 measured at 60 MHz and 37 ºC).
Scheme 17.
Scheme 17.

The pH environment of a complex can modify some of the determinant factors that contribute to the relaxivity of CAs, such as the number of water molecules (q) in the inner-sphere of the complex, or even the second coordinating sphere. Pyridylmethyltetraamides 63 derived from Dota were studied as pH dependent CAs [42]. Gd-63b showed a r1 values of 5.6 and 4.1 s-1 mM-1 at pH of 8.5 and 3.3, respectively (20 MHz). Compounds 63 were prepared by alkylation of cyclen with the corresponding chloroacetamide 64 (Scheme 18). Ligands 64a-b were obtained by reaction of chloroacetyl chloride and the corresponding amine. Compound 64b was synthesized from 2-hydroxypicolinic acid by esterification with methanol, transformation of the ester in its amide by reaction with ammonia and subsequent reduction with borane giving amine 65. The protection of the hydroxy group as benzyloxy moiety in 65 was carried out in three steps: i) protection of the amine as tert-butylcarbamate, ii) benzoylation of hydroxyl group and, iii) deprotection of amine group in acidic medium affording compound 66.
Scheme 18.
Pyridylmethyltetraamides as pH responsive CAs.
Scheme 18.
Pyridylmethyltetraamides as pH responsive CAs.

Another example of a CA displaying pH dependent relaxivity is the Gd(III)-complex of ATP-conjugated DO3A 67, reported by Ratnakar and Alexander (6.5 s-1 mM-1 measured at 24 MHz, 308 K and pH of 8.5) [43]. Compound 67 was prepared from cyclen by trialkylation using bromoacetic acid and subsequent reaction with 1,3-bromopropane in basic medium leading to compound 68. Treatment of 68 with ATP disodium salt in water afforded 67 (Scheme 19).
Scheme 19.
ATP-conjugated DO3A 67 which its Gd(III)-complex showing pH dependence relaxivity.
Scheme 19.
ATP-conjugated DO3A 67 which its Gd(III)-complex showing pH dependence relaxivity.

Several contributions have reported novel series of tetraazamacrocycles containing one pyridine ring as part of the macrocycle. Their lanthanide complexes generally showed high stability and improved relaxivity. These heptadentate ligands form stable complexes with lanthanide ions, allowing the coordination of two water molecules in the inner-sphere and consequently providing higher relaxivity than Dota chelates. In general these complexes are characterized by a relatively fast water exchange rate as compared to the octacoordinated ligands. Scheme 20 shows the synthetic approach to prepare 69 [44]. Ligand 69a was synthesized by reaction of 1,4,7-tritosyl-1,4,7-triazaheptane with bis(2,6-chloromethyl)pyridine, followed by deprotection of the amine groups in an acidic medium yielding compound 70a. Alkylation of 70a with chloroacetic acid in the presence of sodium carbonate, and subsequent treatment in acidic medium yielded 69a (Gd-69 showed a r1 of 6.9 s-1 mM-1 at 20 MHz and 25 ºC). Compounds 69b-c were synthesized from the corresponding triprotected amine via the macrocycles 70b-c. The latter reacted with methyl chloroacetate as alkylating agent yielding the corresponding esters, which were hydrolyzed using KOH in methanol. Complexes Gd-69b and Gd-69c exhibited a r1 values of 5.9 and 6.3 s-1 mM-1, respectively (20 MHz and 25 ºC).
Scheme 20.
Scheme 20.

Analogous systems 71 with substitutents on a pyridine ring were prepared using a similar synthetic approach to that employed to obtain 69, starting from the corresponding bis(2,6-chloromethyl)pyridine derivative (Figure 6) [45].
Figure 6.
Figure 6.

Their corresponding Gd(III)-complexes depicted improved relaxivity with respect to 69 (r1 = 8.25 s-1 mM-1 measured at 20 MHz and 25 ºC, for Gd-71a). Studies on the binding of the Gd(III)-71a to biomacromolecules such as the human serum albumin (HSA), were described and even the formation of the inclusion compounds using β-cyclodextrins and poly-β-cyclodextrins were reported. These non covalent adducts showed higher relaxivity due to the reduced motion of the corresponding Gd(III)-complexes, becoming well tolerated in animal tests. Gd(III)-71b was considered as micelar CAs, its relaxivity depending on concentration (maximum value of r1 was 29.2 s-1 mM-1 at 20 MHz, 25 ºC and 1.5 mM).
The relaxivity of pyridine-based complexes can be improved through the introduction of polar moieties supported over the heterocyclic ring, a circumstance probably improving the effects of the second coordination sphere. An example of that is the Gd(III)-complex of macrocycle 72, containing two free hydroxyl groups, with r1 of 8.5 s-1 mM-1 at 20 MHz and 25 ºC [23]. Ligand 72 was prepared by double Mannich reaction between 3,5-dihydroxypyridine, paraformaldehyde and amine 73 followed by treatment with neat TFA-anisole (Scheme 21).
Scheme 21.
Scheme 21.

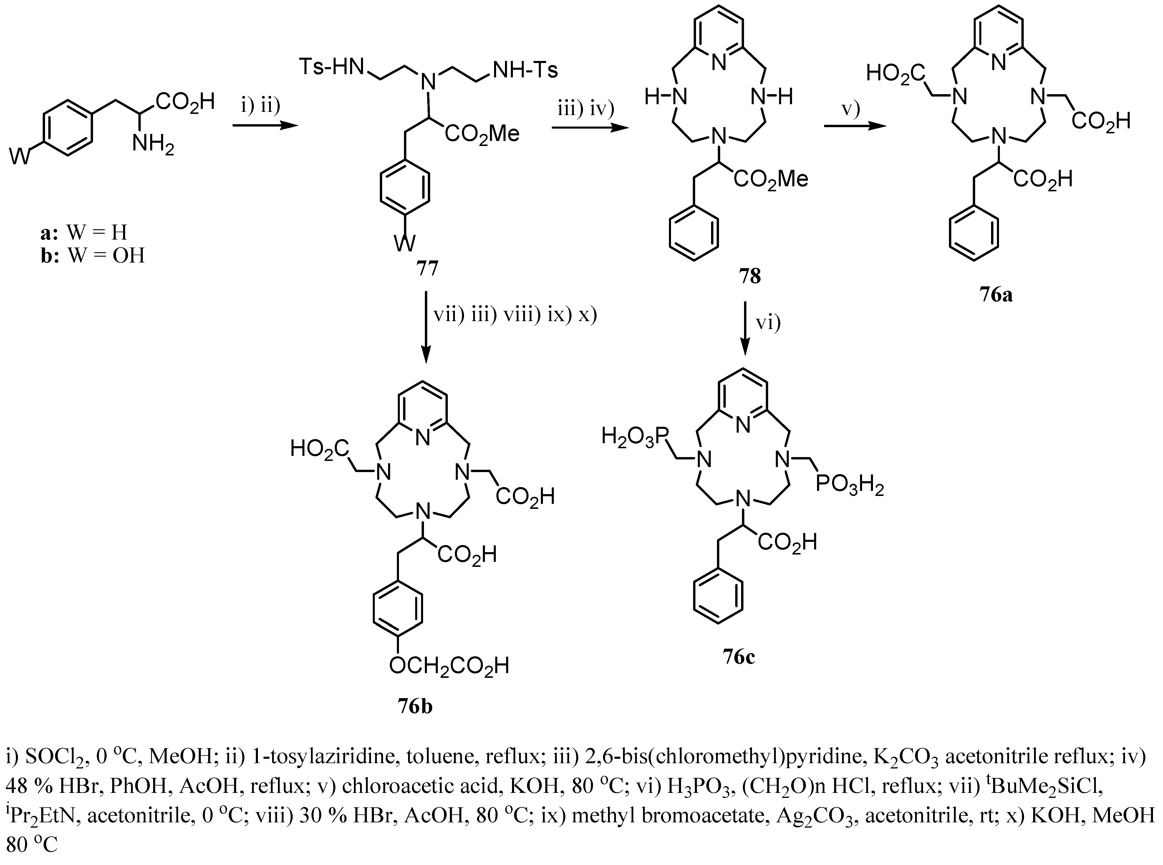
On the other hand, inclusion of the methylenephosphonic arm on triamine backbone of these macrocycles induced higher relaxivity of the corresponding Gd(III)-complexes. Thus, the complex of 74 showed two water molecules in its inner-sphere and another water molecule bound to the phosphate group providing an important contribution to the higher relaxivity (r1 = 8.3 s-1 mM-1 at 20 MHz and 25 ºC) [46]. Compound 74 was prepared from N-tosylaziridine and diethyl aminomethylphophonate leading to the amine 75 (Scheme 22). Cyclization of 75 with bis(2,6-chloromethyl)pyridine in basic medium, deprotection of amine groups and subsequent alkylation of them afforded compound 74 in high overall chemical yield.
Scheme 22.
Scheme 22.

A similar synthetic route (Scheme 23) was used to obtain the macrocycles 76 starting from the corresponding amino acids [47]. Relaxivity of their Gd(III)-76a-c was 8.3, 10.5, and 8.1 s-1mM-1 at 20 MHz and 25 ºC, respectively, and in the range of the major of the heptadentate complexes. However, the inclusion of two phosphonate groups in 76c caused a decrease of the number of water molecules in the inner-sphere (q = 1) remaining two of those in second coordinating sphere (q2nd = 2). Esterification of the corresponding amino acid followed by reaction with two units of the N-tosylaziridine yielded compounds 77, which gave the corresponding macrocycles under the conditions mentioned above; deprotection of amine groups in 77a using acidic medium leaded to compound 78. While alkylation of the free amine groups in compound 78 using chloroacetic acid gave 76a, treatment of 78 with phosphoric acid and paraformaldehyde yielded 76c. Ligand 76b was synthesized from 77b in five steps as follow: i) protection of hydroxyl group, ii) formation of macrocycle, iii) deprotection of amine groups, iv) alkylation of those and hydroxyl using methyl chloroacetate and, v) basic hydrolysis.
Scheme 23.
Scheme 23.

Zheng et al. [48] have developed new lipophilic macromolecular chelators of lanthanide ions 79 for in vivo applications. Some types of cells can be labeled with these complexes in order to visualize cell migration in different biological systems. Compounds 79 were prepared by reaction of bis(2,6-bromomethyl)pyridine and the corresponding amines and subsequent reaction with (CF3CO)2O to give compound 80, this last additional step being necessary to purify the corresponding amines (Scheme 24). Finally, treatment of 80 in basic medium and reaction of those with DTPA-bisanhydride afforded compounds 79.
Scheme 24.
Lipophilic macromolecular chelators of lanthanide ions 79.
Scheme 24.
Lipophilic macromolecular chelators of lanthanide ions 79.

Multinuclear complexes based on 5,6-dihydro-1,10-phenanthrolin-5-yl-DO3A 81 were reported as complexes with higher molecular weights and consequently reduced motion of the complex and increased relaxivity [49] (Figure 7). Complex Gd(III)-81 spontaneously forms highly stable tris-complexes with Fe(II) and Ni(II) characterized because of their relaxivity is not dependent on the temperature in a 5-30 ºC range. Relaxivity values reported for Gd-81 and Fe[Gd-81]3 were 3.7 and 36.6 s-1 mM-1 at 20 MHz and 37 ºC, respectively.
Figure 7.
Multinuclear complex based on 5,6-dihydro-1,10-phenanthrolin-5-yl-DO3A.
Figure 7.
Multinuclear complex based on 5,6-dihydro-1,10-phenanthrolin-5-yl-DO3A.

Ligand 81 was prepared from phenanthroline by epoxidation, subsequent reaction with cyclen derivative 82, followed by refluxing in HCl in MeOH affording compound 83. Finally, alkylation of 83 yielded the desired compound 81 (Scheme 25).
Scheme 25.
Scheme 25.

3. Concluding Remarks and Future Perspectives
We have described above the main synthetic strategies used to produce heterocyclic CAs, a family of ligands depicting very appropriate stability and relaxivity properties for MRI. Basically, most of them are produced through two general organic reactions, namely amine alkylations or amidation. In general heterocycles provide good electron donor ligands suitable for improving the chelating capacity of the earlier complexones. The present review provides an adequate frame to analyze the importance of the heterocyclic ring in determining the coordination chemistry, the relaxivity and the stability properties of the resulting complexes.
On these grounds, the use of heterocyclic CA´s is expected to increase in the future. The possibilities to obtain physiologically responsive agents, reflecting tissue properties beyond anatomy has already started [50]. Further improvements are expected from the combination of novel synthetic approaches and updated MR imaging techniques, as Magnetization Transfer [51]. The combination of both, synthetic and MRI approaches will certainly exceed the capabilities of their independent use. As a complementary field, the development of heterocyclic contrast agents useful for in vivo spectroscopy and spectroscopic imaging of pH and pO2 in healthy and pathological tissues, constitutes an area of growing interest [52,53,54,55]. The combination of spectroscopic and imaging approaches in multiparametric studies will further enhance the diagnostic potential of these new methods [56]. Finally, the development of multimodal heterocyclic probes, active in different imaging modalities (MRI, MRS, PET), is currently envisioned as one of the most attractive goals for the immediate future.
Acknowledgements
This work was supported in part by: CTQ2006-06505/BQU to PB, SAF 2004-02145, NAN2004-09125-C07-03, FIS C03/10, FIS C03/08, FIS G03/155 to SC, European Community MEDITRANS 2006; Integrated EU Project FP6-2004-NMP-NI-4/IP 026668-2 and S-BIO/0179/2006 from the Community of Madrid to PB and SC.
References and Notes
- Mather, S. J. Design of radiolabelled ligands for the imaging and treatment of cancer. Mol. Biosyst. 2007, 3, 30–35. [Google Scholar] [CrossRef]
- Russell, R. R.; Zaret, B. L. Nuclear cardiology: Present and future. Curr Probl. Cardiol. 2006, 31, 557–629. [Google Scholar] [CrossRef]
- Zhang, H.; Maki, J. H.; Prince, M. R. 3D Contrast-enhanced MR angiography. J. Magn. Reson. Imaging 2007, 25, 13–25. [Google Scholar] [CrossRef]
- Deguchi, J-o.; Aikawa, M.; Aikawa, M.; Tung, C.-H.; Aikawa, E.; Kim, D.-E.; Ntziachristos, V.; Weissleder, R.; Libby, P. Inflammation in atherosclerosis. Visualizing matrix metalloproteinase action in macrophages in vivo. Circulation 2006, 114, 55–62. [Google Scholar] [CrossRef]
- Kaufmann, B. A.; Wei, K.; Lindner, J. R. Contrast echocardiography. Curr. Probl. Cardiol. 2007, 32, 51–96. [Google Scholar] [CrossRef]
- Jacquier, A.; Higgins, C. B.; Saeed, M. MR imaging in assessing cardiovascular interventions and myocardial injury. Contrast Media Mol. Imaging 2007, 2, 1–15. [Google Scholar] [CrossRef]
- Fu, X.; Tang, P-Z.; Kula, N. S.; Baldessarini, R.; Tanagnan, G.; Innis, R. B.; Baldwin, R. M. Synthesis, receptor potency, and selective of halogenated diphenylpiperidines as serotonin 5-HT2A ligands for PET or SPECT brain imaging. J. Med. Chem. 2002, 45, 2319–2324. [Google Scholar] [CrossRef]
- Marinelli, E. R.; Diamantidis, A. G.; Emswiler, J.; Fan, H.; Neubeck, R.; Pillai, K. M. R.; Wagler, T. R.; Chen, C.-K.; Natalie, K.; Soundararajan, N.; Ranganathan, R. S. Heterocyclic non-ionic X-ray contrast agents V: a facile conversion of 2-tetrahydrofuroamidas into α-hydroxy-δ-valerolactams and a general synthesis of lactams conjugated to 2,4,6-triiodoisophthalamides. Tetrahedron 1996, 52, 11177–11214. [Google Scholar] [CrossRef]
- Ntziachristos, V.; Yodh, A. G.; Schnall, M.; Chance, B. Concurrent MRI and diffuse optical tomography of breast following indocyanine green enhancement. Proc. Natl. Acad. Sci. USA 2000, 97, 2767–2772. [Google Scholar] [CrossRef]
- Licha, K.; Riefke, B.; Ntziachristos, V.; Becker, A.; Chance, B.; Semmler, W. Hydrophilic cyanine dyes as contrast agents for near-infrared tumor imaging: synthesis, photophysical properties and spectroscopic in vivo characterization. Photochem. Photobiol. 2000, 73, 392–398. [Google Scholar]
- Merbach, A. E.; Tóth, E. The Chemistry of Contrast Agents in Medical Magnetic Resonance Imaging; John Wiley & Sons, Ltd.: Chichester, UK, 2001. [Google Scholar] Gries, H. Contrast Agents I. Top. Curr. Chem. 2002, 221, 1–235. [Google Scholar]
- Peters, J. A.; Huskens, J.; Raber, D. J. Lanthanide induced shifts and relaxation rate enhancements. Prog. Nucl. Magn. Reson. Spectrosc. 1996, 28, 283–350. [Google Scholar] [CrossRef] Caravan, P. Strategies for increasing the sensitivity of gadolinium base MRI contrast agent. Chem. Soc. Rev. 2006, 35, 512–523. [Google Scholar]
- Caravan, P.; Ellison, J. J.; McMurry, T. J.; Lauffer, R. B. Gadolinium(III) chelates as MRI contrast agents: structure, dynamics, and applications. Chem. Rev. 1999, 99, 2293–2352. [Google Scholar] [CrossRef] Lauffer, R. B. Paramagnetic metal complexes as water proton relaxation agents for NMR imaging: theory and design. Chem. Rev. 1987, 87, 901–927. [Google Scholar]
- Grant, D.; Refsum, H.; Rummeny, E.; Marchal, G. Mangafodipir trisodium, MnDPDP (Teslascan) - A new organ-specific contrast agent for MR imaging. Acta Radiol. 1997, 38, 623–625. [Google Scholar] [CrossRef] Roch, A.; Muller, R. N.; Gillis, P. Theory of proton relaxation induced by super-paramagnetic particles. J. Chem. Phys. 1999, 110, 5403–5411. [Google Scholar] Colet, J. M.; Pierart, C.; Seghi, F.; Gabric, I.; Muller, R. N. Intravascular and intracellular hepatic relaxivities of super-paramagnetic particles: An isolated and perfused organ pharmacokinetics study. J. Magn. Reson. 1998, 134, 199–205. [Google Scholar]
- Miyake, H.; Watanabe, M.; Takemura, M.; Hasegawa, T.; Kojima, Y.; Inoue, M. B.; Inoue, M.; Fernando, Q. Novel optically-active bis(amino acid) ligands and their complexation with gadolinium. J. Chem. Soc., Dalton Trans. 2002, 1119–1125. [Google Scholar]
- Platas-Iglesias, C.; Mato-Iglesias, M.; Djanashvili, K.; Muller, R. N.; Vander Elst, L.; Peters, J. A.; de Blas, A.; Rodríguez-Blas, T. Lanthanide chelates containing pyridine units with potential applications as contrast agents in magnetic resonance imaging. Chem. Eur. J. 2004, 10, 3579–3590. [Google Scholar] [CrossRef]
- Mato-Iglesias, M.; Platas-Iglesias, C.; Djanashvili, K.; Peters, J. A.; Tóth, E.; Balogh, E.; Muller, R. N.; Vander Elst, L.; de Blas, A.; Rodríguez-Blas, T. The highest water exchange rate ever measured for a Gd(III) chelate. J. Chem. Soc., Chem. Commun. 2005, 4729–4731. [Google Scholar]
- Mato-Iglesias, M.; Balogh, E.; Platas-Iglesias, C.; Tóth, E.; de Blas, A.; Rodríguez-Blas, T. Pyridine and phosphonate containing ligands for stable lanthanide complexation. An experimental and theoretical study to assess the solution structure. J. Chem. Soc., Dalton Trans. 2006, 5404–5415. [Google Scholar] Balogh, E.; Mato-Iglesias, M.; Platas-Iglesias, C.; Tóth, E.; Djanashvili, K.; Peters, J. A.; de Blas, A.; Rodríguez-Blas, T. Inorg. Chem. 2006, 45, 8719–8728.
- López, P.; Seipelt, C. G.; Merkling, P.; Sturz, L.; Álvarez, J.; Dölle, A.; Zeidler, M. D.; Cerdán, S.; Ballesteros, P. N-2-(Azol-1(2)-yl)ethyliminodiacetic acids: a novel series of Gd(III) chelators as T2 relaxation agents for magnetic resonance imaging. Bioorg. Med. Chem. 1999, 7, 517–527. [Google Scholar] [CrossRef]
- Mayoral, E. P.; García-Amo, M.; López, P.; Soriano, E.; Cerdán, S.; Ballesteros, P. A novel series of complexones with bis- or bi structure as mixed ligands of paramagnetic contrast agents for MRI. Bioorg. Med. Chem. 2003, 11, 5555–5567. [Google Scholar] [CrossRef]
- Pérez-Mayoral, E.; García-Amo, M.; López-Larrubia, P.; Cerdán, S.; Ballesteros, P. Synthesis of new family of ligands with bispyrazole structure. Reactivity of bispyrazolylmethyl ethers. Heterocycles 2005, 65, 1691–1704. [Google Scholar] [CrossRef]
- Bretonnière, Y.; Mazzanti, M.; Pécaut, J.; Dunand, F. A.; Merbach, A. E. A new heptadentate tripodal ligand leading to a gadolinium complex with improved relaxation efficiency. J. Chem Soc., Chem. Commun. 2001, 621–622. [Google Scholar] Bretonnière, Y.; Mazzanti, M.; Pécaut, J.; Dunand, F. A.; Merbach, A. E. Solid-state and solution properties of the lanthanide complexes of a new heptadentate tripodal ligand: a route to gadolinium complexes with an improved relaxation. Inorg. Chem. 2001, 40, 6737–6745. [Google Scholar]
- Aime, S.; Cavallotti, C.; Gianolio, E.; Giovenzana, G. B.; Palmisano, G.; Sisti, M. Mannich reaction as a new route to pyridine-based polyaminocarboxylic ligands. Org. Lett. 2004, 6, 1201–1204. [Google Scholar] [CrossRef]
- Chong, H.-S.; Garmestani, K.; Bryant, H.; Brechbiel, M. W. Synthesis of DTPA analogues derived from piperidine and azepane: potential contrast enhancement agents for magnetic resonance imaging. J. Org. Chem. 2001, 66, 7745–7750. [Google Scholar] [CrossRef]
- Cheng, T.-H.; Wang, Y.-M.; Lee, W.-T.; Liu, G.-C. Synthesis of two N’-2-pyridylmethyl and N’-2-hydroxypropyl derivatives of diethylentriaminepentaacetic acid and the stabilities of their complexes with Ln3+, Ca2+, Cu2+ and Zn2+. Polyhedron 2000, 19, 2027–2037. [Google Scholar] [CrossRef]
- Pérez-Mayoral, E.; Soriano, E.; Cerdán, S.; Ballesteros, P. Experimental and theoretical study of lanthanide complexes based on linear and macrocyclic polyaminopolycarboxylic acids containing pyrazolylethyl arms. Molecules 2006, 11, 345–356. [Google Scholar] [CrossRef]
- Ruloff, R.; van Koten, G.; Merbach, A. E. Novel heteroditopic chelated for self-assembled gadolinium(III) complex with high relaxivity. J. Chem. Soc., Chem. Commun. 2004, 842–843. [Google Scholar] [CrossRef]
- Livramento, J. B.; Tóth, E.; Sour, A.; Borel, A.; Merbach, A. E.; Ruloff, R. High relaxiviy confined to a smart molecular space: a metallostar-based, potential MRI contrast agent. Angew. Chem. Int. Ed. 2005, 44, 1480–1484. [Google Scholar] [CrossRef]
- Parac-Vogt, T. N.; Kimpe, K.; Laurent, S.; Vander Els, L.; Burtea, C.; Chen, F.; Muller, R. N.; Ni, Y.; Verbruggen, A.; Binnemans, K. Synthesis, characterization, and pharmacokinetic evaluation of a potential MRI contrast agents containing two paramagnetic centers with albumin binding affinity. Chem. Eur. J. 2005, 11, 3077–3086. [Google Scholar] [CrossRef]
- Frullano, L.; Rohovec, J.; Aime, S.; Maschmeyer, T.; Prata, M. I.; Predroso de Lima, J. J.; Geraldes, C. F. C. G.; Peters, J. A. Towards targeted MRI: new MRI contrast agents for sialic acid detection. Chem. Eur. J. 2004, 10, 5205–5217. [Google Scholar] [CrossRef]
- Federle, M. P.; Chezmar, J. L.; Rubin, D. L.; Weinreb, J. C.; Freeny, P. C.; Semelka, R. C.; Brown, J. J.; Borrello, J. A.; Lee, J. K. T.; Mattrey, R.; Dachman, A. H.; Saini, S.; Harmon, B.; Fenstermacher, M.; Pelsang, R. E.; Harms, S. E.; Mitchell, D. G.; Halford, H. H.; Anderson, M. W.; Johnson, C. D.; Francis, I. R.; Bova, J. G.; Kenney, P. J-; Klippenstein, D. L.; Foster, G. S.; Turner, D. A.; Stillman, A. E.; Nelson, R. C.; Young, S. W.; Patt, R. H.; Rifkin, M.; Seltzer, S. E.; Gay, S. B.; Robinson, R. O.; Sherwin, P. F.; Ballerini, R. Safety and efficacy of Mangafodipir trisodium (MnDPDP) injection for hepatic MRI in adults: results of the U.S. multicenter phase III clinical trials (safety). J. Mag. Reson. Imaging 2000, 12, 186–197. [Google Scholar] [CrossRef]
- Rocklage, S. M.; Cacheris, W. P.; Quay, S. C.; Hahn, E. Manganese(II) N,N´-dipyridoxylethylenediamine-N,N´-diacetate 5,5´-bis(phosphonate). Synthesis and characterization of paramagnetic chelate for magnetic resonance imaging enhancement. Inorg. Chem. 1989, 28, 477–485. [Google Scholar] [CrossRef] Schmidt, P. P.; Toft, K.; Skotland, T. Stability and transmetallation of the magnetic resonance contrast agent MnDPDP measured by EPR. J. Biol. Inorg. Chem. 2002, 7, 241–248. [Google Scholar] Halavaara, J.; Abo-Ramadan, U.; Makkola, A.; Aronen, H.; Häkkinen, A.-M. MnDPDP-enhanced magnetization transfer MR imaging: implications for effective liver imaging. Mag. Reson. Imaging 2003, 21, 47–50. [Google Scholar]
- Sunderland, C. J.; Botta, M.; Aime, S.; Raymond, K. N. 6-Carboxamido-5,4-hydroxypyrimidinones: a new class of heterocyclic ligands and their evaluation as gadolinium chelating agents. Inorg. Chem. 2001, 40, 6746–6756. [Google Scholar] [CrossRef]
- O´Sullivan, B.; Doble, D. M. J.; Thompson, M. K.; Siering, C.; Xu, J.; Otta, M.; Aime, S.; Raymond, K. N. The effect of ligand scaffold size on the stability of tripodal hydroxypyridonate gadolinium complexes. Inorg. Chem. 2003, 42, 2577–2583. [Google Scholar] [CrossRef]
- Thompson, M. K.; Misselwitz, B.; Tso, L. S.; Doble, D. M. J.; Schmitt-Willich, H.; Raymond, K. N. In vivo evaluation of gadolinium hydroxypyridonate chelates: initial experience as contrast media in magnetic resonance imaging. J. Med. Chem. 2005, 48, 3874–3877. [Google Scholar] [CrossRef]
- Pierre, V. C.; Botta, M.; Raymond, K. N. Dendrimeric gadolinium chelate with fast water exchange and high relaxivity at high magnetic field strength. J. Am. Chem. Soc. 2005, 127, 504–505. [Google Scholar] [CrossRef]
- Ballesteros, P.; Soriano, E.; Pérez-Mayoral, E.; García-Amo, M.; Cerdán, S. Flexible tetra-azamacrocycles as metal ligands. Their relevance in magnetic resonance imaging. In Strutural analysis of cyclic systems; Iriepa, I., Ed.; Research Singpost: Trivandrum, India, 2005; pp. 69–86. [Google Scholar]
- Li, C.; Wong, W.-T. A convenient method for the preparation of mono N-alkylated cyclams and cyclens in high yields. Tetrahedron Lett. 2002, 43, 3217–3220. [Google Scholar] [CrossRef]
- Kovacs, Z.; Sherry, A. D. A general synthesis of 1,7-disubstituted 1,4,7,10-tetraazacyclo-dodecanes. J. Chem. Soc., Chem. Commun. 1995, 185–186. [Google Scholar] [CrossRef]
- Dadabhoy, A.; Faulkner, S.; Sammes, P. G. Long wavelength for europium(III) luminescence based on acridone derivatives. J. Chem. Soc., Perkin Trans. 2 2002, 348–357. [Google Scholar] [CrossRef]
- Aime, S.; Cravotto, G.; Geninatti Crich, S.; Giovenzana, G. B.; Ferrari, M.; Palmisano, G.; Sisti, M. Synthesis of the Gd(III) complex with tetrazole-armed macrocyclic ligand as a potential MRI contrast agent. Tetrahedron Lett. 2002, 43, 783–786. [Google Scholar] [CrossRef]
- Woods, M.; Sherry, A. D. Synthesis and luminescence studies of aryl substituted tetraamide complexes of europium(III): a new approach to pH responsive luminescent europium probes. Inorg. Chem. 2003, 42, 4401–4408. [Google Scholar] [CrossRef] Woods, M.; Zhang, S.; Ebron, V. H.; Sherry, A. D. pH-sensitive modulation of the second hydration sphere in lanthanide(III) tetraamide-DOTA complexes: a novel approach to smart MR contrast media. Chem. Eur. J. 2003, 9, 4634–4640. [Google Scholar]
- Ratnakar, S. J.; Alexander, V. Synthesis and relaxivity studies of a gadolinium(III) complex of ATP-conjugated DO3A as a contrast enhancing agent for MRI. Eur. J. Inorg. Chem. 2005, 3918–3927. [Google Scholar] [CrossRef]
- Aime, S.; Botta, M.; Geninatti Crich, S.; Giovenzana, G. B.; Jommi, G.; Pagliarin, R.; Sisti, M. MRI Contrast agents: macrocyclic lanthanide(III) complexes with improved relaxation efficiency. J. Chem. Soc., Chem. Commun. 1995, 1885–1886. [Google Scholar] Aime, S.; Botta, M.; Geninatti Crich, S.; Giovenzana, G. B.; Jommi, G.; Pagliarin, R.; Sisti, M. Synthesis and NMR studies of three pyridine-containing triaza macrocyclic triacetate ligands and their complexes with lanthanide ions. Inorg. Chem. 1997, 36, 2992–3000. [Google Scholar] Siaugue, J.-M.; Segat-Dioury, F.; Favre-Réguillon, A.; Madic, C.; Foos, J.; Guy, A. An efficient synthesis of pyridine containing triaza-macrocyclic triacetate ligand and luminescence properties of its europium(III) complex. Tetrahedron Lett. 2000, 41, 7443–7446. [Google Scholar]
- Aime, S.; Botta, M.; Frullano, L.; Geninatti Crich, S.; Giovenzana, G. B.; Pagliarin, R.; Palmisano, G.; Sisti, M. Contrast agents for magnetic resonance imaging: a novel route to enhanced relaxivities based on the interaction of a Gd(II) chelate with poly-β-cyclodextrins. Chem. Eur. J. 1999, 5, 1253–1260. [Google Scholar] [CrossRef] Hovland, R.; Glogard, C.; Aasen, A. J.; Klaveness, J. Preparation and in vitro evaluation of a novel amphiphilic GdPCTA-[12] derivative; a micelar MRI contrast agent. Org. Biomol. Chem. 2003, 1, 644–647. [Google Scholar]
- Aime, S.; Botta, M.; Frullano, L.; Geninatti Crich, S.; Giovenzana, G.; Pagliarin, R.; Palmisano, G.; Sirtori, F. R.; Sisti, M. GdPCP2A(H2O)2]-: a paramagnetic contrast agent designed for improved applications in magnetic resonance imaging. J. Med. Chem. 2000, 43, 4017–4024. [Google Scholar] [CrossRef]
- Aime, S.; Gianolio, E.; Corpillo, D.; Cavallotti, C.; Palmisano, G.; Sisti, M.; Giovenzana, G. B.; Pagliarin, R. Designing novel contrast agents for magnetic resonance imaging. Synthesis and relaxometric characterization of three gadolinium(III) complexes based on functionalized pyridine-containing macrocyclic ligands. Helv. Chim. Acta 2003, 86, 615–632. [Google Scholar] [CrossRef]
- Zheng, Q.; Dai, H.; Merritt, M. E.; Malloy, C.; Pan, C. Y.; Li, W.-H. A new class of macrocyclic lanthanide complexes for cell labeling and magnetic resonance applications. J. Am. Chem. Soc. 2005, 127, 16178–16188. [Google Scholar] [CrossRef]
- Comblin, V.; Gilsoul, D.; Hermann, M.; Humblet, V.; Jacques, V.; Mesbahi, M.; Sauvage, C.; Desreux, J. F. Designing new MRI contrast agents: a coordination chemistry challenge. Coord. Chem. Rev. 1999, 185–186, 451–470. [Google Scholar] [CrossRef] Paris, J.; Gameiro, C.; Humblet, V.; Mohapatra, P. K.; Jacques, V.; Desreux, J. F. Auto-assembling of ditopic macrocyclic lanthanide chelates with transition-metal ions. Rigid multimetallic high relaxivity contrast agents for magnetic resonance imaging. Inorg. Chem. 2006, 45, 5092–5102. [Google Scholar]
- Aime, S.; Geninatti Crich, S.; Gianolio, E.; Giovenzana, G. B.; Tei, L.; Terreno, E. High sensitivity lanthanide(III) based probes for MR-medical imaging. Coord. Chem. Rev. 2006, 250, 1562–1579. [Google Scholar] [CrossRef] Lowe, M. P. Activated MR contrast agents. Curr. Pharm. Biotech. 2004, 5, 519–528. [Google Scholar]
- Woods, M.; Woessner, D. E.; Sherry, A. D. Paramagnetic lanthanide complexes as PARACEST agents for medical imaging. Chem. Soc. Rev. 2006, 35, 500–511. [Google Scholar] [CrossRef]
- García-Martín, M. L.; Herigault, G.; Remy, C.; Flarion, R.; Ballesteros, P.; Coles, J.; Cerdán, S.; Ziegler, A. Mapping extracellular pH in rat brain gliomas in vivo by 1H Magnetic Resonance Spectroscopy: comparison with maps of other metabolites. Cancer Res. 2001, 61, 6524–6531. [Google Scholar]
- Pacheco-Torres, J.; Pérez-Mayoral, E.; Soriano, E.; López-Larrubia, P.; Ouari, O.; González-Cortés, A.; Cerdán, S.; Ballesteros, P. A convenient and efficient synthesis of the first nitroimidazolylsuccinic esters and their diacids. Synthesis 2006, 22, 3859–3864. [Google Scholar]
- Soler-Padrós, J.; Pérez-Mayoral, E.; Domínguez, L.; López-Larrubia, P.; Soriano, E.; Marco-Contelles, J. L.; Cerdán, S.; Ballesteros, P. A novel generation of pH indicators for proton magnetic resonance spectroscopic imaging. J. Med. Chem. 2007, (in press). [Google Scholar]
- Provent, P.; Benito, M.; Hiba, B.; Farion, R.; López-Larrubia, P.; Ballesteros, P.; Rémy, C.; Segebarth, C.; Cerdán, S.; Coles, J. A.; García-Martín, M. L. Serial in vivo spectroscopic NMR imaging of lactate and extracellular pH in rat gliomas shows redistribution of protons away from sites of glycolysis. Cancer Res. 2007, (in press). [Google Scholar]
- Bhujwala, Z.; Artemov, D.; Ballesteros, P.; Cerdán, S.; Gillies, R.; Solaiyappan, M. Combined vascular and extracellular pH imaging of solid tumors. NMR Biomed. 2002, 15, 114–119. [Google Scholar] [CrossRef]
- Sample Availability: Contact the authors.
© 2007 by MDPI (http://www.mdpi.org). Reproduction is permitted for noncommercial purposes.