Synthesis and Characterization of a Metal Complex Containing Naringin and Cu, and its Antioxidant, Antimicrobial, Antiinflammatory and Tumor Cell Cytotoxicity
Abstract
:Introduction
Results and Discussion
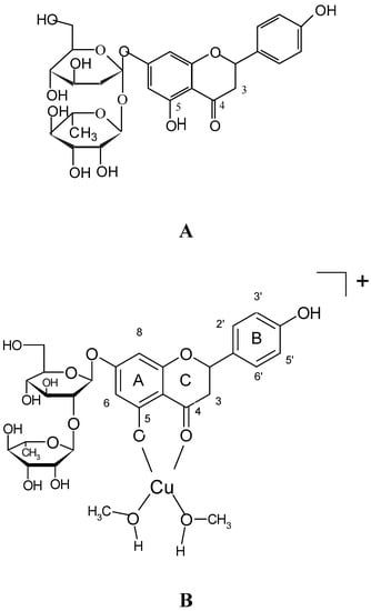
Structural Characterization

| Nominal m/z | Structure |
|---|---|
| 581 | Naringin+H+ |
| 603 | Naringin +Na+ |
| 619 | Naringin +K+ |
| 641 | Naringin -H++ 63Cu 2+ |
| 643 | Naringin -H++ 65Cu 2+ |
| 673 | Naringin -H++ 63Cu 2++ CH3OH |
| 675 | Naringin -H++ 65Cu 2++ CH3OH |
| 705 | Naringin -H++ 63Cu 2++ 2CH3OH |
| 707 | Naringin -H++ 65Cu 2++ 2CH3OH |
| 933 | Doubly charged: 3 Naringin - 2H++ 2 63Cu 2+ |
| 1183 | 2 Naringin + Na+ |
| 1222 | Doubly charged: 4 Naringin - 2H++ 63Cu 2++ Na+ + K+ |

| Group | Naringin (δ, J) | Complex 1 (δ, J) |
|---|---|---|
| OH | 11.88 (s, 4´-OH s,); 9.51 (s, 5-OH) | 12.05 (s, 5-OH) |
| H2’,H6’ | 7.17 (d, J = 8.0 Hz) | 7.02 ( brd, J = 6.6 Hz) |
| H3’,H5’ | 6.64 (d, J = 8.0 Hz) | 6.52 (d, J = 7.0 Hz) |
| H8 | 5.94 (d, JH6/H8 = 7.0 Hz ) | 5.78 (d, JH6/H8 = 5.5 Hz) |
| H6 | 4.97 (d, JH6/H8 = 7.0 Hz) | 4.79 (br s) |
| H2 | 5.13 (dd, JH2-H3A = 4.5 Hz) | 5.13 (m) |
| H3A | 4.70 (dd, JH3A-H3B = 12.0 Hz; JH2-H3A = 4.5 Hz), | 4.70 (brdd, JH3A-H3B = 12.0 Hz; JH2-H3A = 4.5 Hz), |
| H3B | 4.8 (dd, JH3A-H3B = 12.0 Hz; JH2-H3A = 3.0 Hz) | 4.8 (ddbr, JH3A-H3B = 12.0 Hz; JH2-H3A = 3.0 Hz) |
Complex stability at various pH values

Biological Activity
DPPH Radical Scavenging Activity

Antimicrobial Tests
| Compounds | MIC (μg/mL ) | MIC (μg/mL ) | MIC (μg/mL ) | MIC (μg/mL ) |
|---|---|---|---|---|
| S. aureus | E. coli | B. cereus | C. albicans | |
| Naringin | 3000 | > 2000 | > 1800 | 1250 |
| Complex 1 | > 1500 | > 1500 | > 1500 | > 100 |
Anti-Inflammatory test


Tumor cell cytotoxicity
| G0 | S/G2/M | Hypodiploid | |
| Control | 53.90 ± 2.80 | 40.60 ± 3.00 | 5.50 ± 2.90 |
| Naringin 10µM | 56.60 ± 2.80 | 35.28 ± 1.98 | 8.12 ± 1.90 |
| Naringin 50 µM | 58.10 ± 3.25 | 32.18 ± 2.90 | 9.72 ± 2.10 |
| Naringin 100 µM | 60.10 ± 3.50 | 26.70 ± 4.10 | 13.20 ± 2.10 |
| Naringin 200 µM | 63.40 ± 1.90 | 19.70 ± 3.10 | 16.80 ± 3.60 |
| Complex 1 50µM | 54.50 ± 4.70 | 19.05 ± 3.15 | 27.25 ± 1.90 * |
| Complex 1 100 µM | 40.1 + 3.15 | 21.5 ± 2.60 | 38.40 ± 3.20 * |
| 3T3 | B16F10 | K562 | |
| Control | 5.30 ± 3.10 | 1.20 ± 0.90 | 5.50 ± 2.90 |
| Naringin 10µM | 4.90 ± 1.30 | 2.60 ± 1.20 | 8.12 ± 1.90 |
| Naringin 50 µM | 6.20 ± 2.10 | 5.30 ± 2.10 | 9.72 ± 2.10 |
| Naringin 100 µM | 12.5 ± 1.60 | 9.90 ± 3.80 | 13.20 ± 2.10 |
| Naringin 200 µM | 21.05 ± 3.20 * | 17.60 ± 4.20 * | 16.80 ± 3.60 * |
| Complex 1 50 µM | 21.6 ± 5.2 * | 26.5 ± 4.50 * | 27.25 ± 1.90 * |
| Complex 1 100 µM | 36.5 ± 4.5 * | 34.5 ± 3.25 * | 38.40 ± 3.20 * |
Conclusions
Experimental
General
Materials
Synthesis of Complex 1
Antimicrobial Activity
Anti-Inflammatory Tests
Cell culture
Nitrite assay (Griess assay)
Cell viability (MTT assay)
Animals
Acute carrageen-induced inflammatory reaction in the peritoneal cavity of mice
Antioxidant Activity
Tumor cell cytotoxicity
Cell culture
Cell viability (MTT assay)
Cell cycle analysis
Acknowledgments
References and Notes
- Ferguson, P.J.; Kurowska, E.M.; Freeman, D.J. In vivo inhibition of growth of human tumor lines by flavonoid fractions from cranberry extract. Nutr. Cancer 2006, 56, 86–94. [Google Scholar] Sim, G.S.; Lee, B.C.; Cho, H. S. Structure activity relationship of antioxidative property of flavonoids and inhibitory effect on matrix metalloproteinase activity in UVA-irradiated human dermal fibroblast. Arch. Pharmacol. Res. 2007, 30, 290–298. [Google Scholar]
- Havsteen, B. Biochemical Effects of Flavonoids. Z. Lebensm. Unters. F. 1980, 170, 36–41. [Google Scholar] Havsteen, B. Flavonoids, A Class of Natural-Products of High Pharmacological Potency. Biochem. Pharmacol. 1983, 32, 1141–1148. [Google Scholar]
- van Acker, S.A.B.; van Balen, G.P.; van den Berg, D. J.; Bast, A.; van der Vijgh, W.F.F. Influence of iron chelation on the antioxidant activity of flavonoids. Biochem. Pharmacol. 1998, 56, 935–943. [Google Scholar]
- Dekermendjian, K.; Kahnberg, P.; Witt, M.R.; Sterner, O.; Nielsen, M.; Liljefors, T. Structure-activity relationships and molecular modeling analysis of flavonoids binding to the benzodiazepine site of the rat brain GABA (A) receptor complex. J. Med. Chem. 1999, 42, 4343–4350. [Google Scholar]
- Park, Y. C.; Rimbachg, G.; Saliou, C.; Valacchi, G.; Packer, L. Activity of monomeric, dimeric, and trimeric flavonoids on NO production, TNF-alpha secretion, and NF-kappa B-dependent gene expression in RAW 264.7 macrophages. FEBS Lett. 2000, 465, 93–97. [Google Scholar] [CrossRef]
- Del Rio, J.A.; Fuster, M. D.; Sabater, F.; Porras, I.; García-Lidón, A.; Ortuño, A. Selection of citrus varieties highly productive for the neohesperidin dihydrochalcone precursor. Food Chem. 1997, 59, 433–437. [Google Scholar]
- Afanasév, I. B.; Dorozhko, A. I.; Brodskii, A. V.; Kostyuk, V. A. Chelating and Free-Radical Scavenging Mechanisms of Inhibitory-Action of Rutin And Quercetin In Lipid-Peroxidation. Biochem. Pharmacol. 1989, 38, 1763–1769. [Google Scholar]
- Kozlov, A. V.; Ostrachovitch, E. A; Afanasev, I. B. Inhibitory Effects of Chelating Drugs on Lipid-Peroxidation in Rat-Brain Homogenates. Free Rad. Biol. Med. 1994, 16, 10–11. [Google Scholar]
- Negre-Salvayre, A.; Affany, A.; Hariton, C.; Salvayre, R. Additional Antilipoperoxidant Activities of Alpha-Tocopherol and Ascorbic-Acid on Membrane-Like Systems are Potentiated by Rutin. Pharmacology 1991, 42, 262–265. [Google Scholar]
- Zhou, J.; Wang, L.; Wang, J.; Tang, N. Antioxidative and anti-tumour activities of solid quercetin metal(II) complexes Trans. Metal Chem. 2001, 26, 57–63. [Google Scholar] [CrossRef]
- So, F.V.; Guthrie, N.; Chambers, A. F.; Moussa, M.; Carrol, K. K. Inhibition of human breast cancer cell proliferation and delay of mammary tumorigenesis by flavonoids and citrus juices. Nutr. Cancer 1996, 26, 167–181. [Google Scholar]
- Afanasév, I. B.; Ostrakhovitchm, E. A; Mikhal Chik, E. V.; Ibraginova, G. A; Korkina, L. G. Enhancement of antioxidant and anti-inflammatory activities of bioflavonoid rutin by complexation with transition metals. Biochem. Pharmacol. 2001, 61, 677–684. [Google Scholar] Hynes, M. J.; O’Coinceanainn, M. The Kinetics and mechanisms of reactions of iron (III) with caffeic acid, chlorogenic acid, sinapic acid, ferulic acid and naringin. J. Inorg. Biochem. 2004, 98, 1457–1464. [Google Scholar]
- Escandar, G. M.; Sala, L. F. Complexing Behavior of Rutin and Quercetin Can. J. Chem. 1991, 69, 1994–2001. [Google Scholar]
- Yogeeswaran, G.; Viswanathan, P.; Sriram, V. Sensitive spectrophotometric assay for 3-hydroxy-substituted flavonoids, based on their binding with molybdenum, antimony, or bismuth. J. Agr. Food Chem. 2000, 48, 2802–2806. [Google Scholar] [CrossRef]
- Budzisz, E.; Keppler, K.; Giester, G.; Wozniczka, M.; Kufelnicki, A.; Nawrot, B. Synthesis, crystal structure and biological characterization of a novel palladium(II) complex with a coumarin-derived ligand. Eur. J. Inorg. Chem. 2004, 22, 4412–4419. [Google Scholar] [CrossRef]
- De Giovani, W. F.; De Souza, R. F. V. Synthesis, spectral and electrochemical properties of Al(III) and Zn(II) complexes with flavonoids. Spectrochim. Acta Part A 2005, 61, 1985–1990. [Google Scholar]
- Yu, J.; Wang, L.; Walzen, R. L.; Miller, E. G.; Pike, B. G. Antioxidant activity of citrus limonoids, flavonoids, and coumarins. J. Agr. Food Chem. 2005, 53, 2009–2014. [Google Scholar] [CrossRef]
- Nige, P.S.; Jayaprakasha, G.K. Antibacterial activity of grape frut (Citrus Paradisi) peel extracts Eur. Food Res. Technol. 2001, 213, 484–487. [Google Scholar] [CrossRef]
- Zimmermann, M. Ethical Guidelines for Investigations of Experimental Pain in Conscious Animals. Pain 1983, 16, 109–110. [Google Scholar]
- Yen, G.C.; Duh, P. D. Scavenging Effect of Methanolic Extracts of Peanut Hulls on Free-Radical and Active-Oxygen Species J. Agr. Food Chem. 1994, 42, 629–632. [Google Scholar] [CrossRef]
- Carvalho, J.C.T.; Sertie, J.A.A.; Barbosa, M.V.J.; Patrycio, K.C.M.; Caputo, L.R.G.; Sarti, S.J.; Ferreira, L.R.; Bastos, J.K. Anti-inflammatory activity of the crude extract from the fruits of Pterodon emarginatus Vog. J. Ethnopharmacol. 1999, 64, 127–133. [Google Scholar] [CrossRef] [PubMed]
- Jainchill, J.L.; Aaronson, S.A.; Todaro, G.J. Murine Sarcoma And Leukemia Viruses - Assay Using Clonal Lines of Contact-Inhibited Mouse Cells. J. Virol. 1969, 4, 549–553. [Google Scholar] [PubMed]
- Van de Loosdrecht, A.A.; Nennie, E.; Ossenkoppele, G.J.; Beelen, R.H.; Langenhuijsen, M.M. Cell-Mediated Cytotoxicity Against U-937 Cells by Human Monocytes and Macrophages in a Modified Colorimetric Mtt Assay - A Methodological Study. J. Immunol. Meth. 1991, 141, 15–22. [Google Scholar]
- Vindelov, L.L.; Christensen, I.J. A Review of Techniques And Results Obtained in One Laboratory by an Integrated System of Methods Designed for Routine Clinical Flow Cytometric DNA Analysis. Cytometry 1990, 11, 753–770. [Google Scholar] [CrossRef] [PubMed]
- Mosmann, T. Rapid Colorimetric Assay For Cellular Growth And Survival - Application To Proliferation And Cyto-Toxicity Assays. J. Immunol. Meth. 1983, 65, 55–63. [Google Scholar]
- Sample Availability: Samples of the complex 1 are available from the author Regina M. S. Pereira.
© 2007 by MDPI (http://www.mdpi.org). Reproduction is permitted for noncommercial purposes.
Share and Cite
Pereira, R.M.; Andrades, N.E.; Paulino, N.; Sawaya, A.C.; Eberlin, M.N.; Marcucci, M.C.; Favero, G.M.; Novak, E.M.; Bydlowski, S.P. Synthesis and Characterization of a Metal Complex Containing Naringin and Cu, and its Antioxidant, Antimicrobial, Antiinflammatory and Tumor Cell Cytotoxicity. Molecules 2007, 12, 1352-1366. https://doi.org/10.3390/12071352
Pereira RM, Andrades NE, Paulino N, Sawaya AC, Eberlin MN, Marcucci MC, Favero GM, Novak EM, Bydlowski SP. Synthesis and Characterization of a Metal Complex Containing Naringin and Cu, and its Antioxidant, Antimicrobial, Antiinflammatory and Tumor Cell Cytotoxicity. Molecules. 2007; 12(7):1352-1366. https://doi.org/10.3390/12071352
Chicago/Turabian StylePereira, Regina MS, Norma ED Andrades, Niraldo Paulino, Alexandra CHF Sawaya, Marcos N Eberlin, Maria C Marcucci, Giovani Marino Favero, Estela Maria Novak, and Sérgio Paulo Bydlowski. 2007. "Synthesis and Characterization of a Metal Complex Containing Naringin and Cu, and its Antioxidant, Antimicrobial, Antiinflammatory and Tumor Cell Cytotoxicity" Molecules 12, no. 7: 1352-1366. https://doi.org/10.3390/12071352
APA StylePereira, R. M., Andrades, N. E., Paulino, N., Sawaya, A. C., Eberlin, M. N., Marcucci, M. C., Favero, G. M., Novak, E. M., & Bydlowski, S. P. (2007). Synthesis and Characterization of a Metal Complex Containing Naringin and Cu, and its Antioxidant, Antimicrobial, Antiinflammatory and Tumor Cell Cytotoxicity. Molecules, 12(7), 1352-1366. https://doi.org/10.3390/12071352
