Next Article in Journal
Synthesis and Characterization of a Metal Complex Containing Naringin and Cu, and its Antioxidant, Antimicrobial, Antiinflammatory and Tumor Cell Cytotoxicity
Previous Article in Journal
Chlorine Anion Encapsulation by Molecular Capsules Based on Cucurbit[5]uril and Decamethylcucurbit[5]uril
 
 
Font Type:
Arial Georgia Verdana
Font Size:
Aa Aa Aa
Line Spacing:
Column Width:
Background:
Article

A Novel and Efficient Synthesis of N,N-Dialkylaminoisopropyl- and O-alkylisopropyl-2-(1-alkyl-2-oxopropylidene)phosphonohydrazido Oximes - Potential Marine Fish Toxin Analogues. Part 1

by
Rajesh Kumar
,
Arvind K Gupta
and
Mahabir P Kaushik
*
Process Technology Development Division, Defence R and D Establishment, Jhansi Road, Gwalior 474002 (MP) India
*
Author to whom correspondence should be addressed.
Molecules 2007, 12(7), 1334-1340; https://doi.org/10.3390/12071334
Submission received: 16 April 2007 / Revised: 16 May 2007 / Accepted: 16 July 2007 / Published: 9 July 2007

Abstract

:
A novel and efficient method for the synthesis of N,N-dialkylaminoisopropyl-and O-alkylisopropyl-2-(1-alkyl-2-oxopropylidene)phosphonohydrazido oximes (4) using activated silica as dehydrating agent has been developed. The reaction involves the condensation of substituted diacetyl monoxime and N,N-dialkylaminoisopropyl- phosphono hydrazide or O-alkylisopropylphosphono hydrazides and gave the corresponding analogues of a naturally occurring fish toxin in excellent yields under mild conditions.

Introduction

The toxins associated with ‘blooms’, or explosive growth of certain marine dinoflagellates, have caused massive fish kills off the coasts of the United States, Canada, and Japan, and have been the subject of intense studies in the last fifty years [1,2]. Although most of the 400 species of dinoflagellates are nontoxic, but there are notable exceptions, i.e., the Gonyaulax species, which give rises to anaxitoxins/gonyautoxins [1,2] and Ptychodiscus brevis that produces brevetoxins [3,4]. The dinofiagellate Ptychodiscus brevis has been implicated in production of toxin red tide also along the gulf coast of Florida [5,6]. Marine derived dinoflagellates have also become a rich source of structurally novel and pharmacologically active secondary metabolites [1]. Toxins produced by Ptychodiscus brevis are lipoidal in nature and their structures were established as O,O-dipropyl-(E)-2-(1-methyl-2-oxopropylidene)phosphorohydrazidothiolate-(E)-oxime [7] and O,O-diphenylcyclooctyl phosphoramidate (PB-1) on the basis of X-ray crystallography [8]. These marine toxins have attracted the attention of organic chemists due to their involvement in human intoxication and the socio-economic impact brought about by those incidents [9,10,11]. It is interesting to note that this naturally occurring fish toxin [7] is the only organophosphorus (OP) compound which contains thiophosphoryl moiety like other insecticides [12] and does not possess any good leaving groups. Another unique feature of this compound is the presence of a free oximino function, which is not found in any of the earlier reported toxic OP compounds. The non availability of P=O analogues of naturally occurring fish toxin [7] from the natural sources has prompted us to develop the general synthetic method for the preparation of P=O and its analogues for complete toxicological and pharmacological studies. Moreover, P=O compounds have been reported to be more toxic than P=S derivatives; for example paraoxon is more toxic than parathion [10,12]. To explore its chemical and biological properties, it was decided to develop a convenient method for the synthesis of P=O analogues of naturally occurring fish toxin by doing structural modifications. To the best of our knowledge there is no report in the literature for the synthesis of N,N-dialkylaminoisopropyl- and O-alkylisopropyl-2-(1-alkyl-2-oxopropylidene)phosphonohydrazido oximes 4.

Result and Discussion

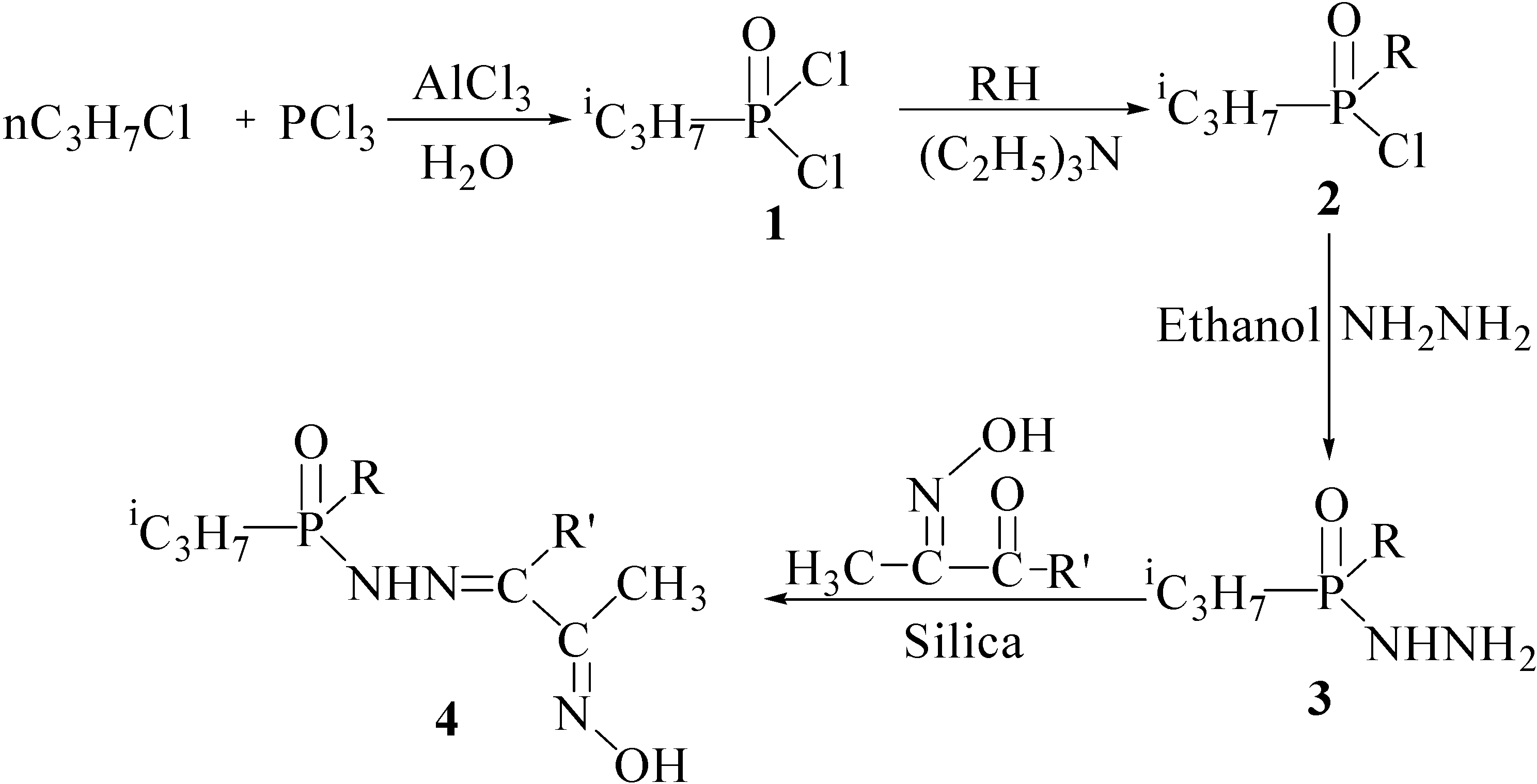
Retrosynthetic analysis of the compounds indicated that they can be synthesized from the corresponding phosphonohydrazides and α-ketooximes. We have followed this procedure to obtain the N,N-dialkylaminoisopropyl- and O-alkyl isopropyl-2-(1-alkyl-2-oxopropylidene) phosphonohydrazido oximes 4 in excellent yields (Scheme 1).
Scheme 1.
Scheme 1.
Molecules 12 01334 g001
In order to synthesize the target compounds, the intermediates 1, 2, 3 were prepared by following literature procedures [13,14,15]. Various N,N-dialkylaminoisopropylphosphono hydrazides and O-alkyl-isopropylphosphono hydrazides were condensed with substituted diacetyl monoxime in the presence of activated silica in benzene at 80- 90 °C, to obtain both N,N-dialkylaminoisopropyl-and O-alkyl isopropyl-2-(1-alkyl-2-oxopropylidene) phosphonohydrazido oximes 4 in excellent yield ( Table 1).
Table 1. Physical data of the newly synthesized compounds 4a.
Table 1. Physical data of the newly synthesized compounds 4a.
EntryRR1Reaction time(h)31P-NMRcm. p. (0C)Yieldb (%)
4aN(C2H5)2CH33.538.9916275
4bN(C3H7)2CH33.838.1618581
4cN(C3H7)2C6H54.037.9718778
4dN(C4H9)2CH33.539.0214284
4eN(C4H9)2C6H54.038.7619392
4fOC3H7CH33.036.1816887
4gOiC3H7CH33.535.7418183
4hOC4H9CH33.036.0813874
4iOiC4H9CH33.535.6914769
a) All the reactions were performed in benzene under refluxed conditions; b) isolated yield; c) 31P-NMR data were recorded at 162 MHz using either CDCl3 or DMSOd-6 as a solvent
The reactions of N,N-dialkylaminoisopropylphosphono hydrazides and O-alkylisopropyl-phosphono hydrazides with substituted diacetyl monoxime shown in Scheme 1 appear simple, but they require a selective coupling of butane-2,3-dione monoxime (diacetyl monoxime) and the corresponding phosphono hydrazides to afford the desired compounds. A variety of reagents are capable to converting a C=O into a C=N bond. The traditional synthesis involves the condensation of a carbonyl group with NH2-Y (Y=OH, NH, NHCONH2, etc) through an addition-elimination reaction. Initially, the more basic nitrogen of the hydrazides adds to the carbonyl moiety to furnish a tetrahedral intermediate, which transforms the C=O into a C=N compound after elimination of water, but removal of water is a reversible process, thus it needs to be removed by azeotropic distillation or by use of various dehydrating agents. However, the transformation of the C=O is particularly challenging in the synthesis of N,N-dialkylaminoisopropyl- and O-alkylisopropyl-2-(1-alkyl-2-oxopropylidene)- phosphonohydrazido oximes, due to the presence of reactive free oxime (N=OH) and hydrazimino (-NH-N=) functionalities, which can undergo Beckmann rearrangements and/or cyclization reactions. This is probably the reason why no attempts to synthesize 4 have been made previously. Initially the reaction of diethylaminoisopropylphosphono hydrazide with butane-2,3-dione monoxime was performed as a model reaction in the presence of various dehydrating reagents and by varying the reaction temperature. The efficiency of various dehydrating reagents such as Al2O3 (neutral, acidic, basic), SiO2, ZnCl2, H3PO4, H3PO3, KF-SiO2, POCl3, PTSA, BiCl3, DCC, MgSO4, V2O5-SiO2 were studied in different mole ratios (10-120 mole %). Amongst all these, anhydrous SiO2 gave the best result. The effect of solvents on the synthesis of the target molecules was also studied by carrying out the reaction in various solvents like THF, dioxane, hexane, ethanol, diethyl ether, benzene, DCM, chloroform, CCl4 and it was observed that benzene afforded the best results.

Conclusions

In summary, we have developed a more convenient and selective method for the synthesis of N,N-dialkylaminoisopropyl- and O-alkylisopropyl-2-(1-alkyl-2-oxopropylidene)phosphonohydrazido oximes 4. It was found that SiO2 promoted the reaction in high yields. The simplicity of the reaction conditions with short reaction times and without requiring the use of column chromatography to obtain the pure products in high yields should make this method attractive for organic chemists.

Acknowledgments

The authors thank Ms. Mamta Sharma and Avik Mazumder for NMR analysis.

Experimental

General

1H-, 31P- and 13C-NMR spectra were recorded in CDCl3/DMSO-d6 solutions on a Bruker AVANCE 400 NMR spectrometer operating at 400 MHz. LCMS analysis (EI, 70V) were performed on a Hewlett-Packard HP 5971 instrument.

General procedure for the preparation ofN,N-diethylaminoisopropyl-2-(1-methyl-2-oxopropylidene)-phosphonohydrazido oxime (4a)

A mixture of butane-2,3-dione monoxime (1 g, 0.01 mol) and activated silica gel (2 g) was placed in a two-necked round bottom flask containing benzene (20 mL). N,N-diethylaminoisopropyl-phosphono hydrazide (1.93 g, 0.01 mol) diluted in benzene (20 mL) was slowly added at room temperature with efficient stirring and the mixture was refluxed for 3 h. The reaction progress was monitored by 31P-NMR till the signal of phosphono hydrazide starting material disappeared. The reaction mixture was filtered through a Buchner funnel and washed with benzene (2x10 mL). The filtrate and washes were combined and the solvent was removed by distillation. Finally, the crude desired product was triturated with dry ether gave a white crystalline powder which was crystallized from ethanol-ether (7:3); m. p. = 162, yield 75%; 1H-NMR δ: 1.03 (t, J = 12.07 Hz, 6H, CH3), 1.10 (dd, J = 8.45 Hz, 6H, CH3), 1.25 (dd, J = 8.45 Hz, 6H, CH3), 1.86 (s, 3H, CH3), 2.05 (s, 3H, CH3), 2.45 (m, 1H, JP-H = 27.56, CH), 3.18 (m, J = 12.23 Hz, 4H, CH2), 6.45 (d, JP-H = 28.58, 1H, NH), 8.01 (s, 1H, OH); 13C-NMR δ: 9.58 (CH3), 15.55 (CH3), 16.45 (CH3), 23.16 (CH3), 24.34 (CH3), 38.45 (CH), 145.39 (C=N-NH), 156.09 (C=N-OH); MS (m/z): 277 (M+H+), 299 (M+Na+); Calcd. for C11H25N4O2P (%): C 47.81, H 9.12, N 20.28; Found (%): C 47.83, H 9.11, N 20.25.
N,N-Dipropylaminoisopropyl-2-(1-methyl-2-oxopropylidene)phosphonohydrazido oxime (4b). 1H- NMR δ: 0.75 (t , J = 9.70 Hz,6H ,CH3), 1.10 (dd, J = 8.29 Hz, 6H, CH3), 1.25 (dd, J = 8.29 Hz, 6H, CH3), 1.55 (m, J = 10.35 Hz, 4H, CH2), 1.80 (s, 3H, CH3), 2.05 (s, 3H, CH3), 2.40 (m, JP-H = 27.86 Hz, 1H, CH), 2.95 (m, J = 11.85 Hz, 4H, CH2), 6.35 (d, JP-H = 25.68, 1H , NH), 7.85 (s, 1H, OH); 13C- NMR δ: 9.36 (CH3), 15.30 (CH3), 16.45 (CH3), 19.97 (CH2), 20.86 (CH3), 24.68 (CH3), 31.45 (CH), 42.20 (CH2), 147.87 (C=N-NH), 156.93 (C=N-OH); MS (m/z): 305 (M+H+), 328 (M+Na+); Calcd. for C13H29N4O2P (%): C 51.30, H 9.60, N 18.41; Found (%): C 51.27, H 9.58, N 18.39.
N,N-Dipropylaminoisopropyl-2-(1-phenyl-2-oxopropylidene)phosphonohydrazido oxime (4c). 1H- NMR δ: 0.85 (t, J = 10.23 Hz, 6H, CH3), 1.10 (dd, J = 8.56 Hz,6H, CH3), 1.15 (dd, J = 8.56 Hz, 6H, CH3), 1.45 (m, J = 9.36 Hz, 4H,CH2), 2.10 (s, 3H, CH3), 2.35 (s, 3H, CH3), 2.30 (m, JP-H = 31.52 Hz, 1H, CH), 2.95 (m, J = 10.54 Hz, 4H, CH2), 6.50 (d, JP-H = 27.59 Hz, 1H, NH), 7.1-7.5 (m, J = 7.93 Hz, 5H, C6H5), 7.85 (s, 1H, OH); 13C-NMR δ: 9.58 (CH3), 15.45 (CH3), 16.13 (CH3), 21.97 (CH2), 23.72 (CH3), 31.45 (CH), 46.63 (CH2), 128-130 (Ar-C), 147.64 (C=N-NH), 157.14 (C=N-OH); MS (m/z): 389 (M+H+), 328 (M+ Na+); Calcd. for C18H31N4O2P (%): C 59.00, H 8.53, N 15.29; Found (%) : C 58.98, H 8.50, N 15.26.
N,N-Dibutylaminoisopropyl-2-(1-methyl-2-oxopropylidene)phosphonohydrazido oxime (4d). 1H-NMR δ: 0.83( t, J = 12.77 Hz, 6H, CH3), 1.05 (dd, J = 8.51 Hz, 6H, CH3), 1.10 (dd, J = 8.51 Hz, 6H, CH3), 1.25 (m, J = 10.32 Hz, 4H, CH2), 1.45 (m, J = 10.32 Hz, 4H,CH2), 1.78 (s, 3H, CH3), 2.10 (s ,3H, CH3), 2.40 (m, JP-H = 25.59 Hz,1H, CH),3.05 (m, J = 9.56 Hz, 4H ,CH2), 6.42 (d, JP-H = 20.65 Hz, 1H ,NH), 7.50 (s,1H, OH); 13C- NMR δ: 9.58 (CH3), 15.48 (CH3), 16.05 (CH3),20.36 (CH2), 23.32 (CH3), 24.50 (CH3), 31.03 (CH), 44.72 (CH2), 145.36 (C=N-NH), 155.92 (C=N-OH); MS (m/z): 333 (M+H+) , 355 (M+ Na+) ; Calcd. For C15H33N4O2P (%): C 54.20, H 10.01, N 16.85; Found (%): C 54.18, H 9.98, N 16.85.
N,N-Dibutylaminoisopropyl-2-(1-phenyl-2-oxopropylidene)phosphonohydrazido oxime (4e). 1H-NMR δ: 0.75 (t, J = 11.78 Hz, 6H, CH3), 1.05 (dd, J = 9.37 Hz, 6H, CH3), 1.20 (dd, J = 9.37 Hz, 6H, CH3), 1.45 (m, J = 10.52 Hz, 4H, CH2), 2.05 (s, 3H, CH3), 2.35 (m, JP-H = 26.93 Hz, 1H, CH), 3.05 (m, J = 10.85 Hz, 4H, CH2), 6.15 (d, JP-H = 27.38 Hz, 1H, NH), 7.2-7.5 (m, J = 8.75 Hz, 5H, C6H5), 7.86 (s, 1H, OH); 13C-NMR δ: 9.58 (CH3), 15.70 (CH3), 16.05 (CH3), 20.36 (CH2), 23.62 (CH3), 31.32 (CH), 44.74 (CH2), 128-130 (Ar-C), 145.36 (C=N-NH), 155.60 (C=N-OH); MS (m/z): 395 (M+H+); Calcd. for C20H35N4O2P (%): C 60.89, H 8.94, N 14.20; Found (%): C 60.90, H 8.93 N 14.17.
O-propylisopropyl-2-(1-methyl-2-oxopropylidene)phosphonohydrazido oxime (4f). 1H-NMR δ: 0.85 (t, J = 9.33 Hz, 3H, CH3), 0.95 (dd, J = 7.37 Hz, 3H, CH3), 1.20 (dd, J = 7.23 Hz, 3H, CH3), 1.65 (m, J = 8.95 Hz, 2H, CH2), 2.20 (m, JP-H = 29.56, 1H, CH), 1.95 (s, 3H, CH3), 2.10 (s, 3H, CH3), 3.90 and 4.05 (m, J = 9.36 Hz, 2H, CH2), 6.55 (d, JP-H = 26.67 Hz ,1H ,NH), 7.58 (s, 1H, OH); 13C-NMR δ: 9.63 (CH3), 15.87 (CH3), 16.05 (CH3), 19.20 (CH2), 23.74 (CH3), 24.46 (CH3), 26.53 (CH), 65.49 (CH2), 145.86 (C=N-NH), 157.44 (C=N-OH); MS (m/z): 264 (M+H+); Calcd. for C10H22N3O3P (%): C 45.63, H 8.36, N 15.96; Found (%): C 45.65, H 8.38, N 14.95.
O-isopropylisopropyl-2-(1-methyl-2-oxopropylidene) phosphonohydrazid ooxime (4g). 1H-NMR δ: 0.95 (dd, J = 8.89 Hz, 3H, CH3), 1.10 (dd, J = 8.89 Hz, 3H, CH3), 1.15 (d, J = 10.67 Hz, 3H, CH3), 1.20 (d, J = 8.02 Hz, 3H, CH3), 1.85 (s, 3H, CH3), 1.95 (s, 3H, CH3), 2.10 (m, JP-H = 29.56, 1H, CH), 3.95 and 4.05 (m, J = 8.33 Hz,1H, CH), 8.50 (d, JP-H = 27.69 Hz, 1H, NH), 11.35 (s, 1H, OH); 13C-NMR δ: 9.63 (CH3), 15.87 (CH3), 16.05 (CH3), 23.74 (CH3), 24.46 (CH3), 26.53 (CH), 69.49 (CH), 146.36 (C=N-NH), 156.44 (C=N-OH); MS (m/z): 264 (M+H+); Calcd. for C10H22N3O3P (%): C 45.63, H 8.36, N 15.96; Found (%):C 45.65, H 8.39, N 14.95.
O-butylisopropyl-2-(1-methyl-2-oxopropylidene) phosphonohydrazido oxime (4h). 1H-NMR δ: 0 .85 (t, J= 6.83Hz, 3H, CH3), 0.95 (dd, J= 7.42 Hz, 3H, CH3), 1.20 (dd, J= 7.04 Hz, 3H, CH3), 1.40 (m, J= 7.23 Hz, 2H, CH2), 1.75 (m, J= 7.23 Hz, 2H, CH2), 1.95 (s, 3H, CH3), 2.05 (s, 3H, CH3), 2.10 (m, JP-H = 31.69 Hz, 1H, CH), 3.90 and 4.05 (m, J= 7.43 Hz, 2H, CH2), 6.55 (d, JP-H = 20.35 Hz, 1H, NH), 7.58 (s, 1H, OH); 13C-NMR δ: 9.63 (CH3), 15.87 (CH3), 16.05 (CH3), 17.80 (CH2), 19.20 (CH2), 23.74 (CH3), 24.46 (CH3), 26.53 (CH), 69.49 (CH2), 145.86 (C=N-NH), 157.44 (C=N-OH); MS (m/z): 278 (M+H+); Calcd. for C11H24N3O3P (%): C 47.65, H 8.66, N 15.16; Found (%): C 45.68 H 8.64, N 15.15.
O-isobutylisopropyl-2-(1-methyl-2-oxopropylidene)phosphonohydrazido oxime (4i). 1H-NMR δ: 0.85 (d, J = 10.03 Hz, 3H, CH3), 0.95 (dd, J = 8.33 Hz, 3H, CH3), 1.10 (dd, J = 8.33 Hz, 3H, CH3), 1.15 (d, J = 10.03 Hz, 3H, CH3), 1.50 (s, 3H, CH3), 1.95 (s, 3H, CH3), 2.10 (m, JP-H = 29.50 Hz, 1H, CH), 3.60 (m, J = 9.63 Hz, 1H, CH), 3.90 and 4.05 (m, J = 9.63 Hz, 2H, CH2), 6.55 (d, JP-H = 31.58 Hz, 1H, NH), 7.58 (s, 1H, OH); 13C-NMR δ: 9.63 (CH3), 15.87 (CH3), 16.05 (CH3), 23.74 (CH3), 24.46 (CH3), 26.53 (CH), 46.30 (CH), 69.40 (CH2), 145.86 (C=N-NH), 157.44 (C=N-OH); MS (m/z): 278(M+H+); Calcd. for C11H24N3O3P (%): C 47.65, H 8.66, N 15.16; Found (%): C 45.63 H 8.67, N 15.13.

References

  1. Alam, M.; Oshima, Y.; Shimizu, Y. About Gonyautoxins-1, -11, -111 and-1V. Tetrahedron Lett. 1982, 23, 321–322. [Google Scholar]
  2. Shimizu, Y. Marine Natural Products; Scheuer, P.J., Ed.; Academic Press: New York, 1978; Vol. 1, Chapter 1. [Google Scholar]
  3. Lin, Y.Y.; Risk, M.; Ray, S.M.; Von Engen, D.; Clardy, J.; Golik, J.; James, J.C.; Nakanishi, K. Isolation and Structure of Brevetoxin B from the “Red Tide” Dinoflagellate Ptychodiscus brevis (Gymnodinium breve). J. Am. Chem. Soc. 1981, 103, 6773–6775. [Google Scholar]
  4. James, J.C.; Golik, J.; Nakanishi, K. The Structure of Brevetoxin C. Tetrahedron Lett. 1982, 23, 2535–2538. [Google Scholar] [CrossRef]
  5. Martin, D.F.; Chatterjee, A.B. Some chemical and physical properties of two toxins from the red tide organism, Gymnodinium breve. U.S. Fish Wild. Serv. Fish. Bull. 1970, 68, 433–443. [Google Scholar]
  6. Sasner, J.J.; Ikawa, M.; Thurberg, F.; Alam, M. Physiological and chemical studies on Gymnodinium breve davis toxin. Toxicon 1972, 10, 163–172. [Google Scholar] [CrossRef]
  7. Alam, M.; Sanduja, R.; Hossain, M.B.; Helm, D.V. Gymnodinium breve Toxin. 1. Isolation and X-ray Structure of O,O-Dipropyl(E)-2-(1-methyl-2-oxoprolidene) phosphorohydrazidothiolate-(E)-Oxime from the Red Tide Dinoflagellate Gymnodinium breve. J. Am. Chem. Soc. 1982, 104, 5232–5234. [Google Scholar]
  8. Dinovi, M.; Trainor, D.A.; Nakanishi, K. The structure of PB-1, an unusual toxin isolated from the red tide Dinoflagellate Ptychodiscus brevis. Tetrahedron Lett. 1983, 24, 855–858. [Google Scholar] [CrossRef]
  9. Kaushik, M.P.; Parashar, B.D.; Swamy, R.V. Synthesis of Gymnodinium breve Toxin. Ind. J. Chem. 1988, 27B, 1150–1151. [Google Scholar]
  10. Husain, K.; Kaushik, M.P.; Gupta, A.K. Acute toxicity of synthetic Gymnodinium breve Toxin metabolite and its analogues in mice. Ecotox. Environ. Safety 1996, 35, 77–80. [Google Scholar]
  11. Koley, J.; Basak, A.K.; Das, M.; Sinha, S.; Dubey, S.N.; Majumder, P.K.; Gupta, A.K.; Das Gupta, S.; Koley, B.N. Effect of synthetic toxin of Ptychodiscus brevis on cardio-vascular and renal function. Ind. J. Physiol. Allied Sci. 1997, 51, 119–125. [Google Scholar] Majumder, P.K.; Gupta, A.K.; Kaushik, M.P.; Deo Kumar; Dubey, S.N. Cardio-vascular effects of organophosphates toxin isolated from Ptychodiscus brevis. Biomed. Environ. Sci. 1997, 10, 85–92. [Google Scholar] Majumder, P.K.; Gupta, A.K.; Deo Kumar; Kaushik, M.P.; Dubey, S.N. Mechanism of cardiotoxicity induced by a marine toxin isolated from Ptychodiscus brevis. Ind. J. Expt. Bio. 1997, 35, 650–654. [Google Scholar] Majumder, P.K.; Gupta, A.K.; Deo Kumar; Dubey, S.N. Calcium mudulatory properties of o,o-diphenyl cyclooctyl phosphoramidates from Ptychodiscus brevis in rat atria and smooth muscle. Ind. J. Physiol. Pharmacol. 1997, 41, 257–262. [Google Scholar]
  12. Eto, M. Organophosphorus Pesticides: Organic and Biological Chemistry; CRC Press: Boca Raton, FL, 1974; Chapter 5. [Google Scholar]
  13. Sathe, M.; Gupta, A.K.; Kaushik, M.P. An efficient method for the esterification of phosphonic and phosphoric acids using silica chloride. Tetrahedron Lett. 2006, 47, 3107–3109. [Google Scholar] [CrossRef]
  14. Kinnear, A.M.; Parren, E.A. Formation of organo-phosphorus compounds by the reaction of alkyl chloride with phosphorus trichloride in the presence of aluminum trichloride. J. Chem. Soc. 1952, 3437–3445. [Google Scholar] [CrossRef]
  15. Audrieth, L.F.; Gher, R.; Smith, W.C. Nitrogen compounds of the phosphoric and phosphonic acids. 1. Hydrazides of phenylphosphoric and diphenylphosphoric acids. J. Org. Chem. 1955, 20, 1288–1290. [Google Scholar]
  • Sample Availability: Contact authors.

Share and Cite

MDPI and ACS Style

Kumar, R.; Gupta, A.K.; Kaushik, M.P. A Novel and Efficient Synthesis of N,N-Dialkylaminoisopropyl- and O-alkylisopropyl-2-(1-alkyl-2-oxopropylidene)phosphonohydrazido Oximes - Potential Marine Fish Toxin Analogues. Part 1. Molecules 2007, 12, 1334-1340. https://doi.org/10.3390/12071334

AMA Style

Kumar R, Gupta AK, Kaushik MP. A Novel and Efficient Synthesis of N,N-Dialkylaminoisopropyl- and O-alkylisopropyl-2-(1-alkyl-2-oxopropylidene)phosphonohydrazido Oximes - Potential Marine Fish Toxin Analogues. Part 1. Molecules. 2007; 12(7):1334-1340. https://doi.org/10.3390/12071334

Chicago/Turabian Style

Kumar, Rajesh, Arvind K Gupta, and Mahabir P Kaushik. 2007. "A Novel and Efficient Synthesis of N,N-Dialkylaminoisopropyl- and O-alkylisopropyl-2-(1-alkyl-2-oxopropylidene)phosphonohydrazido Oximes - Potential Marine Fish Toxin Analogues. Part 1" Molecules 12, no. 7: 1334-1340. https://doi.org/10.3390/12071334

APA Style

Kumar, R., Gupta, A. K., & Kaushik, M. P. (2007). A Novel and Efficient Synthesis of N,N-Dialkylaminoisopropyl- and O-alkylisopropyl-2-(1-alkyl-2-oxopropylidene)phosphonohydrazido Oximes - Potential Marine Fish Toxin Analogues. Part 1. Molecules, 12(7), 1334-1340. https://doi.org/10.3390/12071334

Article Metrics

Back to TopTop