Next Article in Journal
(-)-Catechin in Cocoa and Chocolate: Occurence and Analysis of an Atypical Flavan-3-ol Enantiomer
Previous Article in Journal
Synthesis of 5-Dialkyl(aryl)aminomethyl-8-hydroxyquinoline Dansylates as Selective Fluorescent Sensors for Fe3+
 
 
Font Type:
Arial Georgia Verdana
Font Size:
Aa Aa Aa
Line Spacing:
Column Width:
Background:
Article

Synthesis of Novel Nitro-substituted Triaryl Pyrazole Derivatives as Potential Estrogen Receptor Ligands

by
Fotini Naoum
1,
Konstantinos M Kasiotis
1,
Prokopios Magiatis
2 and
Serkos A Haroutounian
1,*
1
Chemistry Laboratory, Agricultural University of Athens, Iera odos 75, Athens 11855, Greece
2
Faculty of Pharmacy, Laboratory of Pharmacognosy and Natural Products Chemistry, University of Athens, Panepistimiopolis Zografou, Athens 15771, Greece
*
Author to whom correspondence should be addressed.
Molecules 2007, 12(7), 1259-1273; https://doi.org/10.3390/12071259
Submission received: 11 June 2007 / Revised: 29 June 2007 / Accepted: 29 June 2007 / Published: 2 July 2007

Abstract

:
Novel tetrasubstituted pyrazole derivatives bearing a nitro substituent on their A-phenol ring were synthesized and their binding affinity towards the estrogen receptor (ER) subtypes ERα and ERβ was determined. Among compounds tested, the 2-nitrophenol derivative 5c was found to bind satisfactorily to both estrogen receptor subtypes (RBAα=5.17 and RBAβ=3.27). In general, the introduction of a nitro group into the A ring of these compounds was found to benefit their ERβ binding abilities.

Introduction

The estrogen receptor (ER) displays a considerable capacity for binding with a wide range of steroidal and nonsteroidal ligands. [1] Particularly, the nonsteroidal synthetic estrogens exhibit a tolerance in respect their structural motifs which can encompass, besides the phenolic function, which is a prerequisite for good binding, a large number of core building blocks. The latter may vary in length and size, including a plethora of –fused and nonfused– carbocyclic and heterocyclic ring systems [2,3,4].
An appreciable number of innovative Selective Estrogen Receptor Modulator compounds (SERMs) has been found to display a broad spectrum of agonist and antagonist actions at different target tissues. In addition, the further characterization of a second form of the receptor (ERβ subtype) [5,6,7], has focused the drug development research towards the discovery of ligands capable to activate or inhibit selectively each of the ER subtypes. For the development of novel SERMs a variety of diverse ligands has been considered.
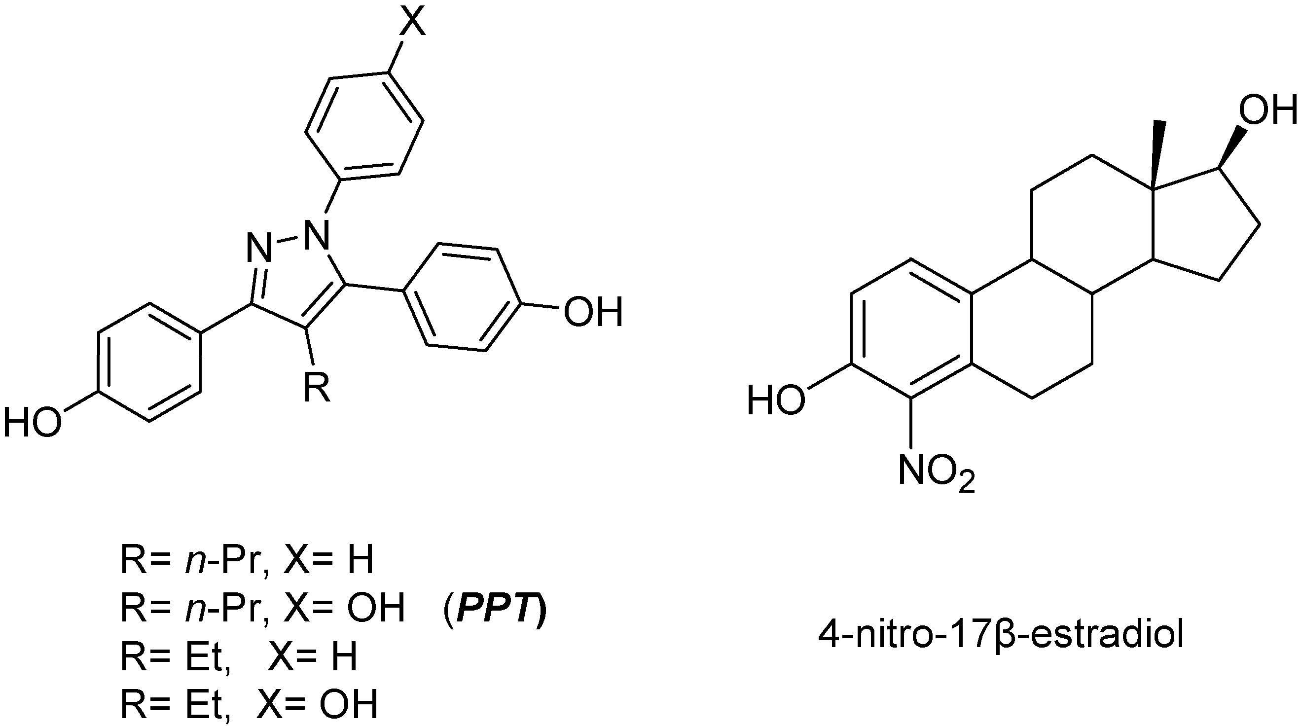
Figure 1. 1,3,5-Triaryl-4-alkyl substituted pyrazole derivatives and 4-nitro-17β-estradiol.
Figure 1. 1,3,5-Triaryl-4-alkyl substituted pyrazole derivatives and 4-nitro-17β-estradiol.
Among them, the tetrasubstituted pyrazole derivatives constitute an intriguing case, since 1,3,5-triaryl-4-alkyl substituted pyrazoles, exemplified by the propylpyrazole triol PPT (Figure 1), have been found to possess particularly high ERα-selective binding affinity and potency [8,9,10]. In this context, various research findings have indicated that the substitution pattern of these pyrazole derivatives greatly affects their binding affinity to the Estrogen Receptors [11].
In connection to our interest in ER binding selectivity pattern studies, we envisioned the synthesis of novel tetrasubstituted pyrazole derivatives bearing an o-nitro substituent on their A-phenol ring and possess the – critical for binding – alkyl group on C–4 of the pyrazole ring. Recent reports have established that similar ring systems constitute valuable substrates for A-ring functionalised steroidal scaffolds [12] with potential application in asymmetric synthesis [13], supramolecular recognition [14], cancer chemotherapy [15], steroid receptor-based imaging [16] and material science [17]. In this regard, the 4-(and/or 2)-nitro-17β-estradiol (Figure 1) have been exploited as compounds with anticancer activity and probes for ligand-receptor interaction studies [18,19,20]. Thus, we were interested in determining the impact of the presence of the electron-rich nitro group, as a peripheral substituent, on the ligand-receptor interaction of the propylpyrazole triol (PPT) analogue, that reduce the possible orientations of the A-phenol ring on the binding pocket of the ER. The design rational of these molecules is to combine in a single molecule the pharmacophore nitroestradiol ring with a tetra substituted pyrazole ring.

Results and Discussion

Chemistry

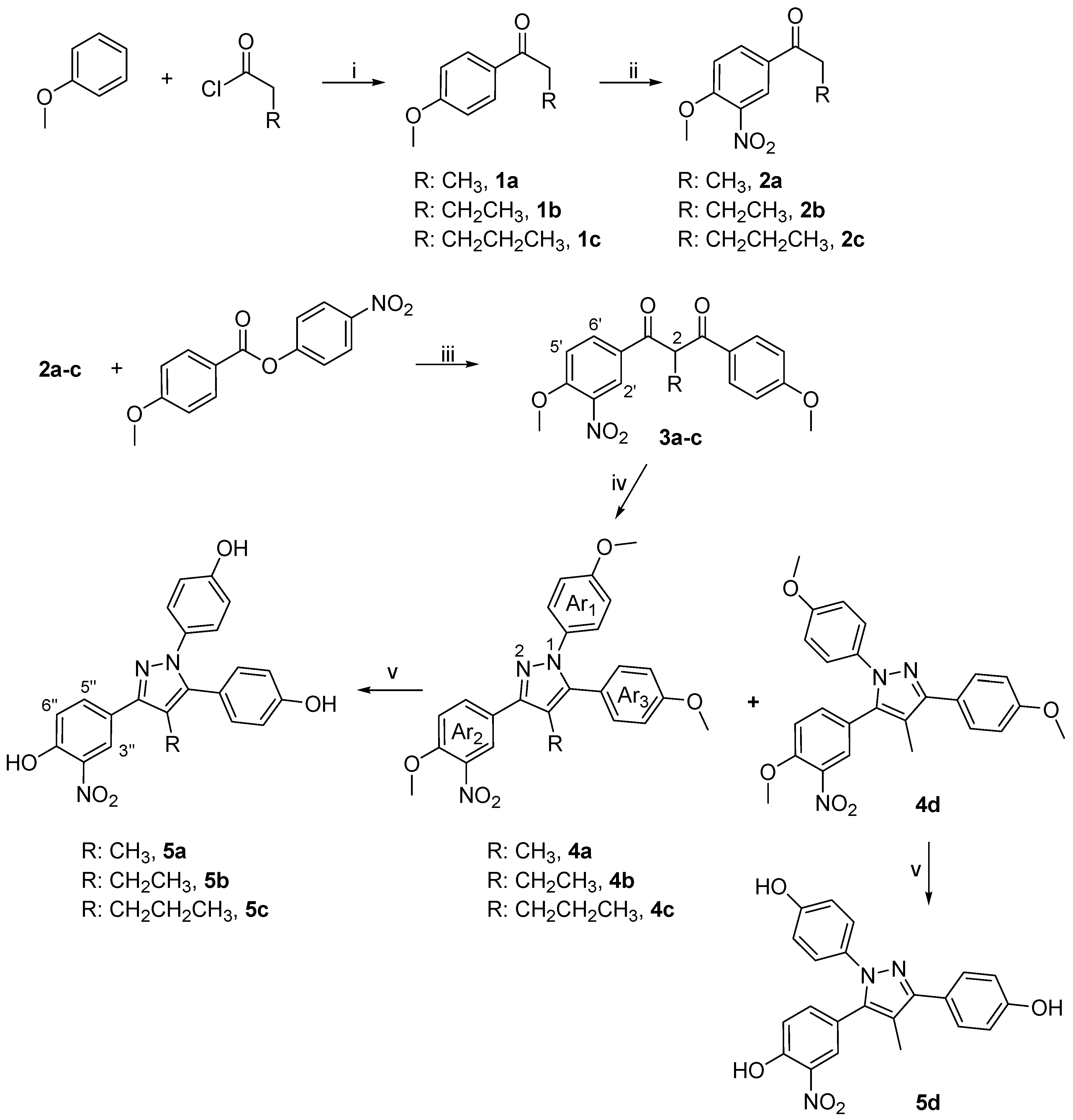
The synthetic route to the target compounds includes the early stage preparation of the appropriate 1,3-diketones that were further used as substrates for the construction of the desired pyrazole substituted skeleta. In this regard, the starting alkylphenones 1a-c were prepared in good yields via the Friedel-Crafts acylation of anisole (Scheme 1).
Scheme 1. Synthesis of 1,3,5-triphenols 5a-d.
Scheme 1. Synthesis of 1,3,5-triphenols 5a-d.
Reagents and conditions: (i) AlCl3, CH2Cl2; (ii) KNO3, H2SO4; (iii) LHMDS, THF; (iv) CH3OArNHNH2·HCl, DMF / THF (3:1), 120oC; (v) BBr3, CH2Cl2, -78oC.
Nitration of compounds 1a-c in sulfuric acid produced the nitrophenyl derivatives 2a-c, which were further alkylated to give β-diketones 3a-c. Double condensation of the latter with 4-methoxyphenylhydrazine hydrochloride provided the triarylpyrazole (4a-c) core ring system in satisfactory yields [21]. In the case of 2-methyl-propane-1,3-dione (3a) however, we also obtained the corresponding minor regioisomer 4d (4a/4d ratio = 4:1), presumably because the attack from the opposite site is also possible in this case. This observation is partly in accordance with previously reported relative literature data [10]. The regioisomers obtained were separated by semi-preparative HPLC and their subsequent BBr3 promoted desmethylation provided the target phenolic pyrazoles 5a-d.
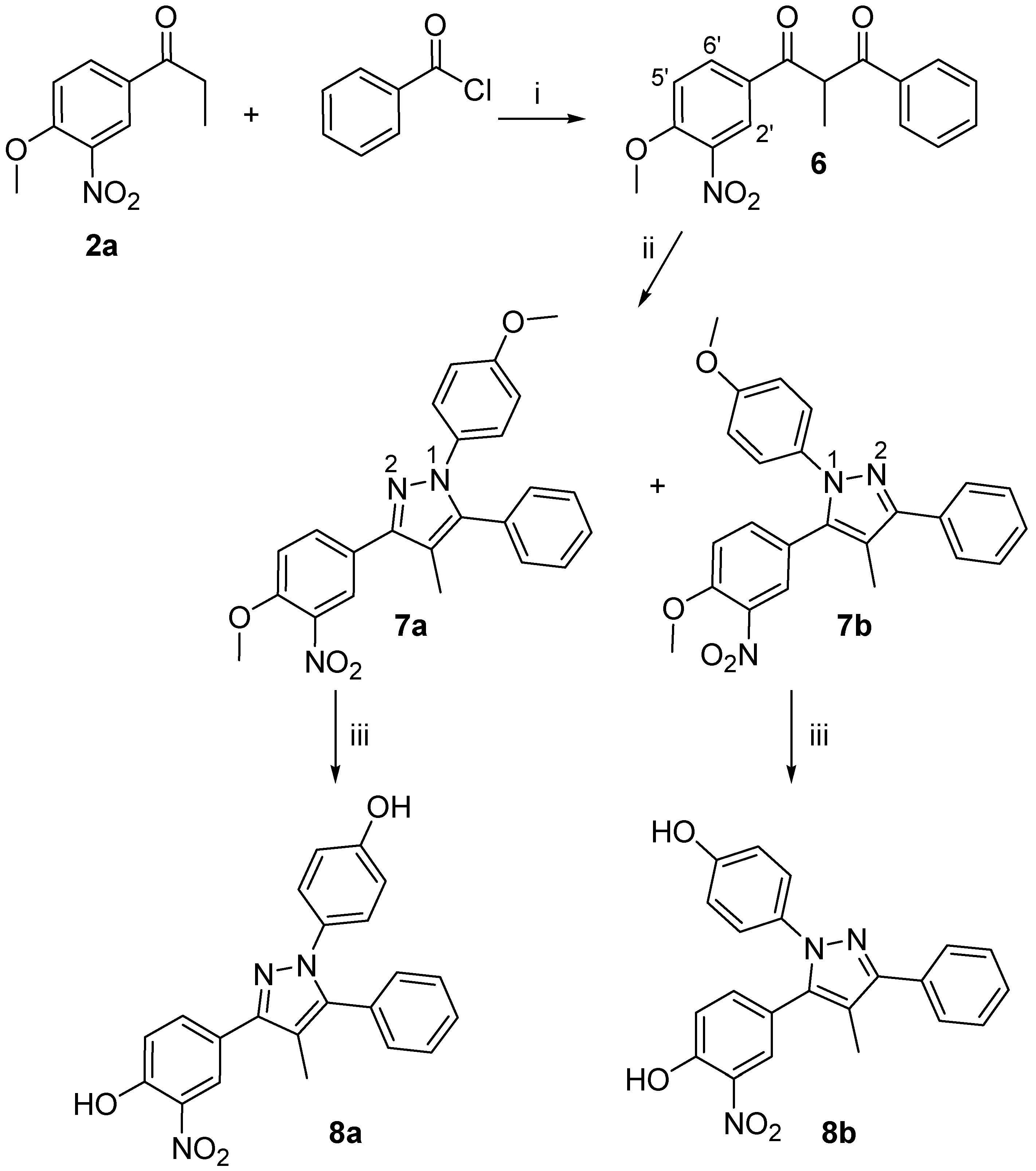
Scheme 2. Synthesis of 3,5-Diphenols 8a and 8b.
Scheme 2. Synthesis of 3,5-Diphenols 8a and 8b.
Reagents and conditions: (i) LHMDS, THF; (ii) CH3OArNHNH2·HCl, DMF / THF (3:1), 120oC; (iii) BBr3, CH2Cl2, -78oC.
The structure of the novel triaryl pyrazoles was determined by 2D–NOE spectroscopy experiments. More specifically, for compound 4d, the observed enhancement of the deshielded aromatic protons of the phenylhydrazine moiety (Ar1, 7.08 ppm, doublet) with the H–6’ (resonates at 8.03 ppm) is indicative of the assigned regiochemistry. These results were further confirmed by gradient inverse detected long range 1H – 15N correlation experiments. Thus, for compound 4d the four bond correlation observed between the aromatic proton H–6’ (8.03 ppm) and the nitrogen atom (N–1) that resonates at 197.4 ppm is an additional confirmation of the assigned structure. Furthermore, for compounds 4a-c the absence of NOE enhancement among the phenylhydrazine aromatic protons and the H–6’ of the nitro-substituted ring is indicative of the assigned regiochemistry. These results were also confirmed by gradient inverse detected long range 1H –15N correlation experiments. In this regard the four bond correlation observed between the aromatic proton H–6’ (8.03 ppm) and the deshielded nitrogen atom (N–2) that resonates at 301.6 ppm confirms the regiochemistry of compound 4a.
The second pathway refers to the use of benzoyl chloride as acylating agent of 1-(4-methoxy-3-nitro-phenyl)-propan-1-one (2a) to provide smoothly (Scheme 2) the diketone 6. The latter by condensation with 4-methoxyphenylhydrazine furnished an equimolar mixture of the regioisomers 7a,b. These derivatives were identified and analyzed after separation by semi-preparative HPLC as reported in the experimental part.
The structure of these isomers was also determined, through 2D–NOE spectroscopy experiments. More specifically, for compound 7b, the observed strong cross peak among the deshielded phenylhydrazine group protons (multiplet at 7.37-7.14 ppm) with the H–6’ (resonates at 8.09 ppm) of the nitro-substituted ring is indicative of the assigned regiochemistry. These results were further verified by gradient inverse detected long range 1H –15N correlation experiments. In this regard, a four bond correlation for compound 7b of the same aromatic proton H–6’ (8.09 ppm) and the shielded nitrogen atom (N–1) that resonates at 199.8 ppm, was observed. According to the assigned structure the other nitrogen atom (N–2) resonates at 295.7 ppm and correlates with the N–attached aromatic protons and the Ar3H. Finally the desired diphenols 8a,b were obtained after ether cleavage with BBr3 in CH2Cl2 at -78 oC.

ER Binding Affinity of Tetrasubstituted Pyrazoles to isolated human ERα and ERβ

The RBA values of the novel nitro triaryl pyrazole derivatives have been summarized in Table 1, reflecting the consequence of the steric interaction between the C(4)-alkyl substituent and the nitro substituent of the A-ring. In this regard, compound 5c (PPT nitro analogue) was the most efficient, since was assayed to bind reasonably well to both ERα and ERβ. As compared to previously reported results concerning PPT [8], its RBAβ binding ability has been increased by 27 fold, while a 9 fold decrease to ERα binding was also observed. Similar results were also obtained for the other triphenol derivatives tested (5b and 5d, 7 and 16 fold respective increse), indicating that the introduction of a nitro group into the A ring of these compounds force the neighboring alkyl group to an orientation that favours the ERβ binding.
Table 1. Estrogen receptors (ERα and ERβ) binding affinities of Novel Triaryl Pyrazoles (5a-d, 8a,b).
Table 1. Estrogen receptors (ERα and ERβ) binding affinities of Novel Triaryl Pyrazoles (5a-d, 8a,b).
CompoundXRRBA ERα aRBA ERβ a
1,3,5-Triphenols
5cOHn-Pr5.17 ± 2.033.27 ± 0.04
5bOHEt0.34 ± 0.020.83 ± 0.18
5dOHMe0.49 ± 0.331.91 ± 0.34
5aOHMendnd
3,5-Diphenols
8aHMe0.74 ± 0.300.36 ± 0.10
8bHMe0.53 ± 0.160.38 ± 0.21
PPTOHn-Pr49 ±120.12 ± 0.04
a The RBA values (mean ± SEM of at least three independent experiments) for ERα (RBAα) and ERβ (RBAβ) were calculated by [(IC50 estradiol / IC50 derivative) X 100], where IC50 values are estradiol and derivative concentrations capable of inhibiting binding of the fluorescent estrogen ES2 (1 nM) to ERα and ERβ by 50%. IC50 values of estradiol for ERα and ERβ were 3.42 ± 0.99 and 2.87 ± 0.64, respectively. The RBAα and RBAβ of estradiol were set equal to 100. nd: non determined

Experimental

General

All anhydrous reactions were carried out under argon atmospheres. Solvents were dried by distillation prior to use. Solvent mixtures employed in chromatography were reported as volume to volume ratios. Starting materials were purchased from Aldrich (analytical reagent grades) and used without further purification. Analytical thin-layer chromatography (TLC) was conducted on Merck glass plates coated with silica gel 60 F254 and spots were visualized with UV light or/and an alcohol solution of anisaldehyde. Flash column chromatography was performed using Merck silica gel 60 (230-400 mesh ASTM).
Melting points were determined on a Büchi melting point apparatus and are uncorrected. 1H and 2D NMR spectra were recorded at 400 MHZ on a Bruker DRX-400 spectrometer in the indicated solvents. The coupling constants are recorded in Hertz (Hz) and the chemical shifts are reported in parts per million (δ, ppm) downfield from tetramethylsilane (TMS), which was used as an internal standard (by asterisk are indicated the overlapped peaks). For the 1H -15N GHMQC spectrum, data were acquired as 3072 x 400 data points with a total of 290 transients accumulated/t1 increment. Pulse widths were 8.55 μs for 1H and 27.7 μs for the 15N at powers of 0 and -3 dB. The F1 spectral window employed was set from 100 to 400 ppm. Pulsed field gradients, gt1-gt3, had durations of 0.8 ms. Gradient pairs were optimized as 70:30:50 for 15N.
Infrared spectra were obtained on a Nicolet Magna 750, series II spectrometer. HPLC separations were performed using a Hewlett Packard 1100 series instrument with a variable wavelength UV detector and coupled to HP Chem.-Station utilizing the manufacturer’s 5.01 software package. A Kromasil column with pore size 100 Å, internal diameter of 5μm, and a C-18 bond phase was used.

General Procedure for the Preparation of Alkylphenones

To an ice–cold solution of AlCl3 (46.8 mmol) in 1,2-dichloroethane (10 mL) an acid chloride (39.0 mmol) was added dropwise over 10 min. The resulting solution was allowed to reach the room temperature and dissolve the AlCl3. Then, the reaction mixture was cooled to 0 oC and a solution of anisole (46.8 mmol) in 1,2-dichloroethane (20 mL) was added dropwise over a period of 30 min. Upon completion, the reaction was allowed to reach the room temperature and stirred for 8-15 h. The mixture was quenched by pouring over ice (100 g) and extracted with EtOAc (3 × 25 mL). The combined organic layers were successively washed with water, NaHCO3 (satd), brine, dried over anhydrous MgSO4 and concentrated under reduced pressure. The residue was purified by flash column chromatography using a 5% EtOAc/hexanes system as eluent.

1-(4-Methoxy-phenyl)-propan-1-one (1a)

Prepared according to the general procedure as outlined above affording, after flash chromatographic purification (5% EtOAc/hexanes), the title compound was obtained as a pale yellow oil (5.61 g, 73%). 1H-NMR (CDCl3) δ, 7.91 (dd, J = 2.0, 7.0 Hz, 2H, ArH), 6.89 (dd, J = 2.0, 7.0 Hz, 2H, ArH), 3.83 (s, 3H, OCH3), 2.91 (q, J = 7.4 Hz, 2H, CH2C=O), 1.18 (t, J = 7.4 Hz, 3H, CH3).

1-(4-Methoxyphenyl)-butan-one (1b)

Anisole (46.8 mmol) was reacted with butyl chloride (39.0 mmol) according to the general procedure. Flash column chromatography (5% EtOAc/hexanes) provided the title compound as a pale yellow oil (5.41 g, 65%). 1H-NMR (CDCl3) δ, 8.37 (dd, J = 2.0, 7.0 Hz, 2H, ArH), 7.34 (dd, J = 2.0, 7.0 Hz, 2H, ArH), 4.28 (s, 3H, OCH3), 3.31 (t, J = 7.3 Hz, 2H, CH2C=O), 2.18 (m, 3H, CH2), 1.41 (t, J = 7.3 Hz, 3H, CH3).

1-(4-Methoxyphenyl)-pentan-1-one (1c)

Prepared from anisole (46.8 mmol) and valeryl chloride (39.0 mmol) following the general procedure, which afforded the title compound as a yellow oil (6.56 g, 73 %). 1H-NMR (CDCl3) δ, 7.91 (dd, J = 2.0, 7.0 Hz, 2H, ArH), 6.90 (dd, J1 = 2.0, 7.0 Hz, 2H, ArH), 3.84 (s, 3H, OCH3), 2.89 (t, J = 6.2 Hz, 2H, CH2C=O), 1.68 (m, 2H, COCH2CH2), 1.37 (m, 2H, COCH2CH2CH2), 0.92 (t, J = 7.4 Hz, 3H, CH3).

General Procedure for Nitration.

To an ice–cold solution of 1a-c (6.7 mmol) in H2SO4 (12.4 mL) was added KNO3 (7.4 mmol) over a period of 30 min. The reaction was run at room temperature for 8-15 h, quenched with H2O (15-25 mL), extracted repeatedly with EtOAc (3 x 25 mL) and the combined organic layers were washed with a satd NaHCO3 solution (25 mL). The organic layer was separated, dried over anhydrous MgSO4 and concentrated under reduced pressure to afford the crude product as a white solid, which was purified by flash chromatography.

1-(4-Methoxy-3-nitro-phenyl)-propan-1-one (2a).

1a (1.1 g, 6.7 mmol) was reacted with KNO3 (0.74 g, 7.4 mmol) according to the general nitration procedure, to give a dark yellow slurry. The latter was purified by flash chromatography (20% EtOAc/hexanes) yielding a yellow solid (0.95 g, 68%), which was recrystallized from Et2O to give pale yellow fine needles. M.p. 88-89 oC; 1H-NMR (CDCl3) δ, 8.41 (d, J = 2.0 Hz, 1H, H-2’), 8.15 (dd, J = 2.0, 9.0 Hz, 1H, H-6’), 7.13 (d, J = 9.0 Hz, 1H, H-5’), 4.01 (s, 3H, OCH3), 2.97 (q, J = 7.4 Hz, 2H, CH2CH3), 1.20 (t, J = 7.4 Hz, 3H, CH2CH3); Elem. Anal.: C 57.41, H 5.30, N 6.70; C 57.59, H 5.42, N 6.52.

1-(4-Methoxy-3-nitro-phenyl)-butan-1-one (2b)

Prepared according to general procedure for nitration from 1b (1.19 g, 6.7 mmol) and purified by flash chromatography (20% EtOAc/hexanes) to afford a white solid (0.91 g, 61%). M.p. 69-70 oC; 1H- NMR (CDCl3) δ, 8.46 (d, J = 2.2 Hz, 1H, H-2’), 8.19 (dd, J = 2.2, 8.8 Hz, H-6’), 7.18 (d, J = 8.8 Hz, H-5’), 4.06 (s, 3H, OCH3), 2.94 (t, J = 7.3 Hz, 2H, CH2C=O), 2.63 (m, 2H, CH2), 1.03 (t, J = 7.4 Hz, 3H, CH3); Elem. Anal.: C 59.19, H 5.87, N 6.27; C 59.39, H 5.72, N 6.41.

1-(4-Methoxy-3-nitro-phenyl)-pentan-1-one (2c)

Prepared according to general procedure for nitration as described above from 1c and purified by flash chromatography (20% EtOAc/hexanes) to afford a white crystalline solid (1.0 g, 63%). M.p. 81-82 oC; 1H-NMR (CDCl3) δ, 8.40 (d, J = 2.5 Hz, 1H, H-2’), 8.14 (dd, J = 2.5, 9.4 Hz, 1H, H-6’), 7.12 (d, J = 9.4 Hz, 1H, H-5’), 4.01 (s, 3H, OCH3), 2.91 (t, J = 7.4 Hz, 2H, CH2CH2CH2CH3), 1.68 (m, 2H, CH2CH2CH2CH3), 1.37 (m, 2H, CH2CH2CH2CH3), 0.92 (t, J = 7.4 Hz, 3H, CH2CH2CH2CH3); Elem. Anal.: C 60.75, H 6.37, N 5.90; C 60.61, H 6.45, N 5.82.

General Procedure for the Preparation of Diketones 3a-c

To an ice–cold solution of 2a-c (0.97 mmol) and 4-nitrophenyl-4-methoxy benzoate (0.97 mmol) [prepared from p-nitrophenol and 4-methoxybenzoic acid using diisopropylcarbodiimide and 4-dimethylaminopyridine] in THF (35 mL), was added a 1.0 M solution of lithium hexamethyldisilamide (3.03 mmol) dropwise over a period of 5 min. The reaction was allowed to reach the room temperature and stirred for additional 1.5 h and quenched with H2O (25 mL). Then, the mixture was repeatedly extracted with Et2O and the combined organic layers were washed with H2O, dried over anhydrous Na2SO4 and concentrated under reduced pressure to afford a crude solid. The unreacted ester was removed by the addition of a solution of 40% EtOAc/ hexanes and the filtration of the insoluble ester. The filtrate was concentrated in vacuo and purified by flash chromatography using various proportions of EtOAc/hexanes as eluent system.

1-(4-Methoxy-3-nitrophenyl)-3-(4-methoxyphenyl)-2-methyl-propane-1,3-dione (3a)

Prepared according to general procedure for preparation of diketones outlined above from 2a (0.6 g, 2.9 mmol) and purified by flash chromatography (20% EtOAc/hexanes) to yield the title product as an orange oil (0.74 g, 74%). 1H-NMR (CDCl3) δ, 8.39 (d, J = 2.2 Hz, 1H, H-2’), 8.09 (dd, J = 2.2, 8.4 Hz, 1H, H-6’), 7.08 (d, J = 8.4 Hz, 1H, H-5’), 7.92 (d , J = 8.9 Hz, 2H, ArH), 6.93 (d, J= 8.9 Hz, 2H, ArH), 5.17 (m, 1H, H-2), 3.97 (s, 3H, OCH3), 3.84 (s, 3H, OCH3), 1.52 (d, J = 7.0 Hz, 3H, CH3); Elem. Anal.: C 62.97, H 4.99, N 4.08; C 62.71, H 4.81, N 4.19.

2-Ethyl-1-(4-methoxy-3-nitrophenyl)-3-(4-methoxyphenyl)-propane-1,3-dione (3b)

Ketone 2b (0.4 g, 1.8 mmol) reacted with 4-nitrophenyl 4-methoxybenzoate (1.8 mmol) as above to afford after flash chromatographic purification (40% EtOAc/hexanes) compound 3b as a dark yellow oil (0.26g, 68%), while 0.15 g of the ketone 2b remained unreacted. 1H-NMR (CDCl3) δ, 8.46 (d, J = 2.2 Hz, 1H, H-2’), 8.19 (dd, J = 2.2, 8.9 Hz, 1H, H-6’), 7.99 (d, J = 8.9 Hz, 1H, H-5’), 7.74 (d , J = 8.9 Hz, 2H, Ar2H), 6.97 (d, J= 8.9 Hz, 2H, Ar2H), 4.97 (t, J = 6.7 Hz, 1H, H-2), 4.02 (s, 3H, OCH3), 3.89 (s, 3H, OCH3), 2.18 (m, 2H, CH2), 1.05 (t, J = 7.4 Hz, 3H, CH3); Elem. Anal.: C 63.86, H 5.36, N 3.92; C 63.61, H 5.45, N 3.82.

1-(4-Methoxy-3-nitrophenyl)-3-(4-methoxyphenyl)-2-propylpropane-1,3-dione (3c)

Prepared according to general procedure for preparation of 1,3-diketones outlined above from 2c (0.71 g, 3.0 mmol) and purified by flash chromatography (50% EtOAc/hexanes) to provide a red oil (0.44 g, 67%) and 0.29 g of the unreacted ketone 2c. 1H NMR (CDCl3) δ, 8.47 (d, J = 2.2 Hz, 1H, H-2’), 8.20 (dd, J = 2.2, 8.8 Hz, 1H, H-6’), 7.97 (d, J = 8.8 Hz, 2H, Ar2H), 7.14 (d , J = 8.8 Hz, 1H, H-5’), 6.98 (d, J= 8.8 Hz, 2H, Ar2H), 5.05 (t, J = 6.6 Hz, 1H, H-2), 4.03 (s, 3H, OCH3), 3.89 (s, 3H, OCH3), 2.12 (m, 2H, CH2), 1.46 (m, 2H, CH2), 0.99 (t, J = 7.3 Hz, 3H, CH3). Elem. Anal.: C 64.68, H 5.70, N 3.77; C 64.80, H 5.65, N 3.82.

1-(4-Methoxy-3-nitrophenyl)-2-methyl-3-phenylpropane-1,3-dione (6)

To a solution of 2a (1.21 g, 5.8 mmol) in THF (15 mL), a solution of LHMDS (5.8 mmol, 1M in THF) was added dropwise over 15 min. Upon complete addition of LHMDS, the reaction was stirred for additional 15 min. Then, benzoyl chloride (5.8 mmol, in 3 mL THF) was added dropwise and the reaction was run under stirring for 12 h. The reaction mixture was repeatedly extracted with Et2O and the combined organic layers were washed with H2O, dried over MgSO4 and concentrated under reduced pressure to afford a crude solid, which was purified by flash chromatography eluting using 5% EtOAc/hexanes as solvent eluting system (1.34 g, 74%). 1H-NMR (CDCl3) δ, 8.41 (d, J = 2.0 Hz, 1H, H-2’), 8.25 (d, J = 9.4 Hz, 1H, H-5’), 8.11 (dd, J = 2.0, 9.4 Hz, 1H, H-6’), 7.93 (t , J = 9.0 Hz, 2H, ArH), 7.46 (m, J = 7.8 Hz, 1H, ArH), 7.13 (d, J = 9.0 Hz, 2H, ArH), 5.19 (q, J = 7.0 Hz, 1H, CHCH3), 3.99 (s, 3H, OCH3), 1.24 (d, J = 7.0 Hz, 3H, CH3); Elem. Anal.: C 68.17, H 4.83, N 4.47; C 67.35, H 4.71, N 4.35.

General Procedure for Pyrazole Synthesis

To a solution of diketone (1.0 mmol) in DMF (30 mL) and THF (10 mL), 4-methoxy-phenylhydrazine hydrochloride (4-5 equiv) was added. The mixture was brought to reflux and the reaction progress was monitored by TLC analysis (10-20 h). Then the reaction mixture was allowed to cool to room temperature and diluted with H2O (30 mL). The product was repeatedly extracted with EtOAc (3 x 25 mL) and the combined organic layers and sequentially washed with a satd LiCl solution (25 mL), satd NaHSO3 (25 mL), and brine (25 mL). The organic layer was dried over Na2SO4 and concentrated under reduced pressure to afford a crude oil, which was purified by flash chromatography using EtOAc/hexanes as eluting solvent system.

3-(4-Methoxy-3-nitrophenyl)-1,5-bis-(4-methoxyphenyl)-4-methyl-1H-pyrazole (4a) and 5-(4-methoxy-3-nitrophenyl)-1,3-bis-(4-methoxyphenyl)-4-methyl-1H-pyrazole (4d)

Diketone 3a was reacted with 4-methoxyphenylhydrazine hydrochlorides as described above. Flash chromatographic purification (20% EtOAc/hexanes) provided an inseparable mixture of the title compounds (68%). The latter were separated by semipreparative HPLC separation using H2O/CH3CN (15:85) as eluent in a flow rate of 1.6 ml/min, furnishing the two regioisomers in a 4:1 ratio for 4a and 4d respectively (UV detector at 254 nm, tR4a= 12.2 min, tR4d= 15.4 min). 4a: 1H-NMR (CDCl3) δ, 8.32 (d, J = 2.2 Hz, 1H, H-2’), 8.03 (dd, J = 2.2, 8.7 Hz, 1H, H-6’), 7.71 (d, J = 8.7 Hz, 1H, H-5’), 7.26 (d, J = 8.5 Hz, 2H, Ar3H), 7.14 (d, J = 8.9 Hz, 2H, Ar1H), 6.92 (d, J = 8.5 Hz, 2H, Ar3H), 6.82 (d, J = 8.9 Hz, 2H, Ar1H), 4.02 (s, 3H, OCH3), 3.84 (s, 3H, OCH3), 3.80 (s, 3H, OCH3), 2.24 (s, 3H, CH3); 1H-15N NMR (CDCl3) δ, N-1 205.6, N-2 301.6; Elem. Anal.: C 67.41, H 5.20, N 9.43; C 67.25, H 5.41, N 9.32; 4d: 1H-NMR (CDCl3) δ, 8.34 (d, J = 2.1 Hz, 1H, H-2’), 8.03 (dd, J = 2.1, 8.8 Hz, 1H, H-6’), 7.60 (d, J = 8.8 Hz, 1H, H-5’), 7.22 (d, J = 8.5 Hz, 2H, Ar3H), 7.08 (d, J = 8.7 Hz, 2H, Ar1H), 6.92 (d, J = 8.5 Hz, 2H, Ar3H), 6.80 (d, J = 8.7 Hz, 2H, Ar1H), 4.04 (s, 3H, OCH3), 3.85 (s, 3H, OCH3), 3.80 (s, 3H, OCH3), 2.16 (s, 3H, CH3); 1H-15N NMR (CDCl3) δ, N-1 197.4, N-2 294.7; Elem. Anal.: C 67.41, H 5.20, N 9.43; C 67.54, H 5.32, N 9.30.

4-Ethyl-3-(4-methoxy-3-nitrophenyl)-1,5-bis-(4-methoxyphenyl)-1H-pyrazole (4b)

Diketone 3b (0.23 g, 0.6 mmol) was reacted with 4-methoxyphenylhydrazine hydrochloride (0.53 g, 3.0 mmol) according to the general procedure. Upon purification by flash chromatography (40% EtOAc/hexanes) the title compound was obtained as a tan solid (0.21 g, 75%). M.p. 121-122 oC; 1H- NMR (CDCl3) δ, 8.32 (d, J = 2.2 Hz, 1H, H-2’), 8.02 (dd, J = 2.2, 8.7 Hz, 1H, H-6’), 7.68 (d, J = 8.7 Hz, 1H, H-5’), 7.21 (dd, J = 2.0, 8.8 Hz, 2H, Ar3H), 7.17 (dd, J = 2.0, 8.7 Hz, 2H, Ar1H), 6.92 (dd, J = 2.0, 8.8 Hz, 2H, Ar3H), 6.82 (dd, J = 2.0, 8.7 Hz, 2H, Ar1H), 4.03 (s, 3H, OCH3), 3.85 (s, 3H, OCH3), 3.80 (s, 3H, OCH3), 2.67 (q, J = 7.5 Hz, 2H, CH2), 1.09 (t, J = 7.5 Hz, 3H, CH3); 1H-15N-NMR (CDCl3) δ, N-1 201.8, N-2 299.2; Elem. Anal. : C 67.96, H 5.48, N 9.14; C 68.11, H 5.53, N 9.22.

3-(4-Methoxy-3-nitrophenyl)-1,5-bis-(4-methoxyphenyl)-4-propyl-1H-pyrazole (4c)

Diketone 3c (0.2 g, 0.5mmol) was reacted with 4-methoxyphenylhydrazine hydrochloride (0.48 g, 2.5 mmol) for 20 h, according to the general procedure. The resulting dark brown residue was purified by flash column chromatography (40% EtOAc/hexanes) to provide the title product 4c as a pale brown solid (0.1 g, 85%) and 0.1 g of the substrate 3c. M.p. 131-133 oC; 1H-NMR (CDCl3) δ, 8.31 (d, J = 2.0 Hz, 1H, H-2’), 8.01 (dd, J = 2.0, 8.1 Hz, 1H, H-6’), 7.68 (d, J = 8.1 Hz, 1H, H-5’), 7.21 (d, J = 7.1 Hz, 2H, Ar3H), 7.16 (d, J = 8.5 Hz, 2H, Ar1H), 6.93 (d, J = 7.1 Hz, 2H, Ar3H), 6.83 (d, J = 8.5 Hz, 2H, Ar1H), 4.04 (s, 3H, OCH3), 3.85 (s, 3H, OCH3), 3.80 (s, 3H, OCH3), 2.60 (t, J = 7.7 Hz, 2H, CH2), 1.45 (m, 2H, CH2), 0.84 (t, J = 7.2 Hz, 3H, CH3); 1H-15N-NMR (CDCl3) δ, N-1 202.9, N-2 300.1; Elem. Anal.: C 68.48, H 5.75, N 8.87; C 68.61, H 5.59, N 8.75.

3-(4-Methoxy-3-nitro-phenyl)-1-(4-methoxy-phenyl)-4-methyl-5-phenyl-1H-pyrazole (7a) and 5-(4-Methoxy-3-nitro-phenyl)-1-(4-methoxy-phenyl)-4-methyl-3-phenyl-1H-pyrazole (7b)

A stirred solution of compound 6 (0.33 g, 1.05 mmol) in DMF (30mL) and THF (10mL), was reacted with 4-methoxyphenylhydrazine hydrochloride (0.92 g, 5.25 mmol) according to the general procedure for pyrazole synthesis. Upon purification by flash chromatography (10% EtOAc/hexanes), an inseparable mixture of the title compounds was obtained as a dark brown solid (0.16g, 69%), while 0.15 g of the starting compound 6 was recovered. Semipreparative HPLC separation using H2O/CH3CN (20:80) as eluent and flow rate of 1.6 ml/min, provided equal amounts of the two regioisomers (UV detector at 254 nm, tR7a= 11.2 min, tR7b= 13.7 min). 7a: M.p. 127-128 oC; 1H-NMR (CDCl3) δ, 8.42 (d, J = 2.2 Hz, 1H, H-2’), 8.11 (dd, J = 2.2, 8.7 Hz, H-6’), 7.45 (d, J = 8.7 Hz, 1H, H-5’), 7.28-7.07 (m, 4H, ArH), 7.01-6.97 (m, 5H, ArH), 4.35 (s, 3H, OCH3), 3.80 (s, 3H, OCH3), 2.28 (s, 3H, CH3). 1H-15N-NMR (CDCl3) δ, N-1 203.7, N-2 299.6; Elem. Anal.: C 69.39, H 5.10, N 10.11; C 69.51, H 5.02, N 10.30; 7b: M.p. 141-143 oC; 1H-NMR (CDCl3) δ, 8.30 (d, J = 2.2 Hz, 1H, H-2’), 8.09 (dd, J = 2.2, 8.7 Hz, 1Η, H-6’), 7.40 (d, J = 8.7 Hz, 1H, H-5’), 7.37-7.14 (m, 4H, ArH), 7.08-6.89 (m, 5H, ArH), 4.04 (s, 3H, OCH3), 3.80 (s, 3H, OCH3), 2.25 (s, 3H, CH3); 1H-15N-NMR (CDCl3) δ, N-1 199.8, N-2 295.7; Elem. Anal.: C 69.39, H 5.10, N 10.11; C 69.67, H 4.93, N 9.94.

General Demethylation Procedure

To a stirred solution of methyl-protected pyrazole (1 equiv) in CH2Cl2 at –78 oC was added dropwise a 1M BBr3 solution in CH2Cl2 (3-5 equiv). Upon completion of BBr3 addition, the reaction was stirred at –78 oC for 1 h and then allowed to reach room temperature. Stirring was continued for additional 16 h, then the mixture was cooled to 0 oC, and carefully quenched with H2O (15-25 mL) and extracted repeatedly with EtOAc. The combined organic layers were dried over Na2SO4 and evaporated under reduced pressure. Flash chromatographic purification using a 5% MeOH/CH2Cl2 mixture as the eluting solvent system provided the desired demethylation products.

4-[1,5-Bis-(4-hydroxyphenyl)-4-methyl-1H-pyrazol-3-yl]-2-nitrophenol (5a)

A stirred solution of 4a in CH2Cl2 was deprotected using BBr3 according to the general demethylation procedure. Purification by flash chromatography afforded the title compound as a tan solid (87%). M.p. 155-156 oC; 1H-NMR (acetone-D6) δ, 8.87 (s, 3H, OH), 8.52 (d, J = 2.2 Hz, 1H, H-3’’), 8.19 (dd, J = 2.2, 8.7 Hz, 1H, H-5’’), 7.32 (d, J = 8.7 Hz, 1H, H-6’’), 7.16 (d, J = 8.6 Hz, 2H, Ar3H), 7.11 (d, J = 8.6 Hz, 2H, Ar1H), 6.91 (d, J = 8.6 Hz, 2H, Ar3H), 6.81 (d, J = 8.6 Hz, 2H, Ar1H), 2.26 (s, 3H, CH3). ΙR (ZnSe) v = 3303 cm-1, (OH); Elem. Anal.: C 65.50, H 4.25, N 10.42; C 65.31, H 4.11, N 10.58.

4-[2,5-Bis-(4-hydroxyphenyl)-4-methyl-1H-pyrazol-3-yl]-3-nitrophenol (5d)

A stirred solution of 4d in CH2Cl2 was deprotected using BBr3 according to the general demethylation procedure. Purification by flash chromatography afforded the title compound as a pale yellow solid (88%). M.p. 161-162 oC;1H-NMR (acetone-D6) δ, 8.86 (s, 3H, OH), 8.05 (d, J = 1.9 Hz, 1H, H-3’’), 7.66 (dd, J = 1.9, 8.9 Hz, 1H, H-5’’), 7.23 (d, J = 8.9 Hz, 1H, H-6’’), 7.19 (d, J = 8.8 Hz, 2H, Ar3H), 7.02 (d, J = 8.8 Hz, 2H, Ar1H), 6.95 (d, J = 8.8 Hz, 2H, Ar3H), 6.83 (d, J = 8.8 Hz, 2H, Ar1H), 2.25 (s, 3H, CH3). ΙR (ZnSe) v = 3313 cm-1 (OH); Elem. Anal.: C 65.50, H 4.25, N 10.42; C 65.20, H 4.14, N 10.53.

4-[4-Ethyl-1,5-bis-(4-hydroxyphenyl)-1H-pyrazol-3-yl]-2-nitrophenol (5b)

A stirred solution of 4b in CH2Cl2 was deprotected using BBr3 according to the general demethylation procedure. Purification by flash chromatography afforded the title compound as a tan solid (74%). 1H-NMR (acetone–D6) δ, 10.52 (s, 1H, OH), 8.73 (s, 1H, OH), 8.64 (s, 1H, OH), 8.53 (d, J = 2.2 Hz, 1H, H-3’’), 8.19 (dd, J = 2.2, 8.7 Hz, 1H, H-5’’), 7.33 (d, J = 8.7 Hz, 1H, H-6’’), 7.16 (d, J = 8.6 Hz, 2H, Ar3H), 7.13 (d, J = 8.6 Hz, 2H, Ar1H), 6.92 (d, J = 8.6 Hz, 2H, Ar3H), 6.80 (d, J = 8.6 Hz, 2H, Ar1H), 2.69 (q, J = 7.5, 12.5 Hz, 2H, CH2), 1.11 (t, J = 7.5 Hz, 3H, CH3). ΙR (ZnSe) v = 3283 cm-1, (OH); Elem. Anal. : C 66.18, H 4.59, N 10.07; C 66.33, H 4.74, N 9.88.

4-[1,5-Bis-(4-hydroxyphenyl)-4-propyl-1H-pyrazol-3-yl]-2-nitrophenol (5c)

A stirred solution of 4c in CH2Cl2 was deprotected using BBr3 according to the general demethylation procedure. Purification by flash chromatography afforded the title compound as a tan solid (60%). 1H-NMR (acetone–D6) δ, 10.52 (s, 1H, OH), 8.78 (s, 1H, OH), 8.68 (s, 1H, OH), 8.50 (d, J = 2.2 Hz, 1H, H-3’’), 8.20 (dd, J = 2.1, 8.7 Hz, 1H, H-5’’), 7.38 (d, J = 8.7 Hz, 1H, H-6’’), 7.16 (d, J = 8.3 Hz, 2H, Ar3H), 7.12 (d, J = 7.7 Hz, 2H, Ar1H), 6.89 (d, J = 8.3 Hz, 2H, Ar3H), 6.81 (d, J = 7.7 Hz, 2H, Ar1H), 2.65 (t, J = 7.9 Hz, 2H, CH2), 1.20 (m, 2H, CH2), 0.85 (t, J = 7.9 Hz, 2H, CH3); IR (ZnSe) v = 3283 cm-1 (OH); Elem. Anal. : C 66.81, H 4.91, N 9.74; C 67.02, H 5.10, N 9.88.

4-[1-(4-Hydroxyphenyl)-4-methyl-5-phenyl-1H-pyrazol-3-yl]-2-nitrophenol (8a)

A stirred solution of 7a in CH2Cl2 was deprotected using BBr3 according to the general desmethylation procedure. Purification by flash chromatography afforded the title compound as a tan solid (70%). 1H-NMR (acetone–D6) δ, 9.30 (s, 1H, OH), 8.70 (s, 1H, OH), 8.40 (d, J = 2.2 Hz, 1H, H-3”), 8.07 (dd, J = 2.2, 8.7 Hz, H-5”), 7.35 (d, J = 8.7 Hz, 1H, H-6”), 7.19-7.11 (m, 5H, ArH), 7.08-6.98 (m, 4H, ArH), 4.35 (s, 3H, CH3O), 3.80 (s, 3H, CH3O), 2.28 (s, 3H, CH3); IR (ZnSe) v = 3193 cm-1 (OH); Elem. Anal.: C 68.21, H 4.42, N 10.85; C 68.44, H 4.29, N 10.71.

4-[2-(4-Hydroxyphenyl)-4-methyl-5-phenyl-2H-pyrazol-3-yl]-2-nitrophenol (8b)

A stirred solution of 7b in CH2Cl2 was deprotected using BBr3 according to the general desmethylation procedure. Purification by flash chromatography afforded the title compound as a tan solid (78%). 1H-NMR (acetone–D6) δ, 9.28 (s, 1H, OH), 8.69 (s, 1H, OH), 8.25 (d, J = 2.2 Hz, 1H, H-3”), 8.02 (dd, J = 2.2, 8.7 Hz, 1Η, H-5”), 7.47-7.24 (m, 4H, ArH), 7.26 (d, J = 8.7 Hz, 1H, H-6”), 6.98-6.78 (m, 5H, ArH), 4.04 (s, 3H, CH3O), 3.80 (s, 3H, CH3O), 2.25 (s, 3H, CH3); IR (ZnSe) v = 3199 cm-1 (OH); Elem. Anal.: C 68.21, H 4.42, N 10.85; C 68.39, H 4.49, N 10.71.

Binding to isolated human ERα and ERβ

The relative binding affinity (RBA) values were assessed as previously described [22]. Briefly, the concentrations of 5a-d, 8a,b that inhibited ES2 (a fluorescein-labelled estrogen from Invitrogen) binding to isolated human ERα or ERβ (Invitrogen) by 50% (IC50), as assessed using a Beacon 2000 Fluorescence Polarization Reader (Invitrogen), were used to derive the RBA values of Table 1, as described in the legend to the Table.

Acknowledgments

The RBA assessment of the Estrogen Receptor by the group of Dr. Michael N. Alexis (Institute of Biological Research & Biotechnology of the National Hellenic Research Foundation) is gratefully acknowledged.

References and Notes

  1. Veeneman, G. H. Non-Steroidal Subtype Selective Estrogens. Curr. Med. Chem. 2005, 12, 1077–1136. [Google Scholar] Ghosh, U.; Ganessunker, D.; Sattigeri, V. J.; Carlson, K. E.; Mortensen, D. J.; Katzenellenbogen, B. S.; Katzenellenbogen, J. A. Estrogenic diazenes: heterocyclic non-steroidal estrogens of unusual structure with selectivity for estrogen receptor subtypes. Bioorg. Med. Chem. 2003, 11, 629–657. [Google Scholar] Gao, H.; Katzenellenbogen, J. A.; Garg, R.; Hansch, C. Comparative QSAR Analysis of Estrogen Receptor Ligands. Chem. Rev. 1999, 99, 723–744. [Google Scholar]
  2. Compton, D. R.; Sheng, S. B.; Carlson, K. E.; Rebacz, N. A.; Lee, I. Y.; Katzenellenbogen, B. S.; Katzenellenbogen, J. A. Pyrazolo[1,5-a]pyrimidines: Estrogen Receptor Ligands Possessing Estrogen Receptor β Antagonist Activity. J. Med. Chem. 2004, 47, 5872–5893. [Google Scholar]
  3. Compton, D. R.; Carlson, K. E.; Katzenellenbogen, J. A. Pyrazolo[1,5-a]pyrimidines as estrogen receptor ligands: defining the orientation of a novel heterocyclic core. Bioorg. Med. Chem. Lett. 2004, 14, 5681–5684. [Google Scholar] [CrossRef] [PubMed]
  4. Magarian, R. A.; Overaacre, L. B.; Singh, S.; Meyer, K. L. Medicinal Chemistry of Nonsteroidal Antiestrogens: A Review. Curr. Med. Chem. 1994, 1, 61–104. [Google Scholar]
  5. Hartman, J.; Lindberg, K.; Morani, A.; Inzunza, J.; Ström, A.; Gustafsson, J.-Å. Estrogen Receptor β Inhibits Angiogenesis and Growth of T47D Breast Cancer Xenografts. Cancer Res. 2006, 66, 11207–11213. [Google Scholar] Gustafsson, J.-Å. ER beta scientific visions translate to clinical uses. Climacteric 2006, 9, 156–160. [Google Scholar]
  6. Hillisch, A.; Peters, O.; Kosemund, D.; Müller, G.; Walter, A.; Schneider, B.; Reddersen, G.; Elger, W.; Fritzmeier, K.-H. Dissecting Physiological Roles of Estrogen Receptor α and β with Potent Selective Ligands from Structure-Based Design. Mol. Endocrinol. 2004, 18, 1599–1609. [Google Scholar] [CrossRef] [PubMed]
  7. Pettersson, K.; Gustafsson, J.-Å. Role of Estrogen Receptor Beta in Estrogen Action. Ann. Rev. Physiol. 2001, 63, 165–192. [Google Scholar] Nilsson, S.; Kuiper, G. G. J. M.; Gustafsson, J.-Å. ERβ: a novel estrogen receptor offers the potential for new drug development. Trends Endocrinol. Metab. 1998, 9, 387–395. [Google Scholar] Kuiper, G. G. J. M.; Enmark, E.; Pelto-Huikko, M.; Nilsson, S.; Gustafsson, J.-Å. Cloning of a novel estrogen receptor expressed in rat prostate and ovary. Proc. Natl. Acad. Sci. U.S.A 1996, 93, 5925–5930. [Google Scholar]
  8. Stauffer, S. R.; Coletta, C. J.; Tedesco, R.; Nishigushi, G.; Carlson, K. E.; Sun, J.; Katzenellenbogen, B. S.; Katzenellenbogen, J. A. Pyrazole Ligands: Structure-Affinity/Activity Relationships and Estrogen Receptor-α-Selective Agonists. J. Med. Chem. 2000, 43, 4934–4947. [Google Scholar]
  9. Fink, B. E.; Mortensen, D. S.; Stauffer, S. R.; Aron, Z. D.; Katzenellenbogen, J. A. Novel structural templates for estrogen-receptor ligands and prospects for combinatorial synthesis of estrogens. Chem. Biol. 1999, 6, 205–219. [Google Scholar] [CrossRef] [PubMed]
  10. Stauffer, S. R.; Huang, Y. R.; Aron, Z. D.; Coletta, C. J.; Sun, J.; Katzenellenbogen, B. S.; Katzenellenbogen, J. A. Triarylpyrazoles with basic side chains development of pyrazole-based estrogen receptor antagonists. Bioorg. Med. Chem. 2001, 9, 151–161. [Google Scholar]
  11. Lin, X.; Huebner, V. Non-steroidal ligands for steroid hormone receptors. Curr. Opin. Drug Disc. 2000, 3, 383–398. [Google Scholar]
  12. Pezzella, A.; Manini, P.; Napolitano, A.; Crescenzi, O.; Barone, V.; d’Ischia, M. Steroids. Oxidative chemistry of 2-nitro and 4-nitroestradiol: Dichotomous behavior of radical intermediates and novel potential routes for oxyfunctionalization and B-ring fission of steroidal scaffolds. Steroids 2005, 70, 543–550. [Google Scholar]
  13. Dubs, M.; Dieks, H.; Günther, W.; Kötteritzsch, M.; Poppitz, W.; Schönecker, B. O-Silylated steroidal cis-aminoalcohols as chiral auxiliaries: highly diastereoselective Pd-catalyzed cyclopropanation of α,β-unsaturated aldimines. Tetrahedron Lett. 2002, 43, 2499–2503. [Google Scholar] [CrossRef]
  14. Davis, A. P.; Joos, J. B. Steroids as organising elements in anion receptors. Coord. Chem. Rev. 2003, 240, 143–156. [Google Scholar] [CrossRef]
  15. Mueck, A. O.; Seeger, H. Hormone Therapy after Endometrial Cancer. Horm. Res. 2004, 62, 40–48. [Google Scholar] [CrossRef] [PubMed]
  16. Beauregard, J.-M.; Turcotte, E.; Bénard, F. Steroid receptor imaging in breast cancer. PET Clin. North Amer. 2006, 1, 51–70. [Google Scholar]
  17. Brandenburger, F.; Matthes, B.; Seifert, K.; Strohriegl, P. Cholesteric polymeric networks with steroids as chiral components. Liq. Crystal. 2001, 28, 1035–1039. [Google Scholar] [CrossRef]
  18. Santaniello, E.; Ravasi, M.; Ferraboschi, P. A-Ring nitration of estrone. J. Org. Chem. 1983, 48, 739–740. [Google Scholar] [CrossRef]
  19. Toader, V.; Xu, X.; Nicolescu, A.; Yu, L.; Bolton, J.; Thatcher, G. R. Nitrosation, Nitration, and Autoxidation of the Selective Estrogen Receptor Modulator Raloxifene by Nitric Oxide, Peroxynitrite, and Reactive Nitrogen/Oxygen Species. Chem. Res. Toxicol. 2003, 16, 1264–1276. [Google Scholar] [CrossRef] [PubMed]
  20. Palomino, E.; Heeg, M. J.; Pilat, M. J.; Hafner, M.; Polin, L.; Brooks, S. C. Crystal structure, receptor binding, and gene regulation of 2- and 4-nitroestradiols. Steroids 1996, 61, 670–676. [Google Scholar] [CrossRef] [PubMed]
  21. Alberola, A.; Andres, C.; Gonzalez Ortega, A.; Pedrosa, R. Regiospecific synthesis of 1-arylpyrazoles. J. Heterocycl. Chem. 1984, 21, 1575–1576. [Google Scholar] [CrossRef]
  22. Fokialakis, N.; Lambrinidis, G.; Mitsiou, D. J.; Aligiannis, N.; Mitakou, S.; Skaltsounis, A. L.; Pratsinis, H.; Mikros, E.; Alexis, M. N. A New Class of Phytoestrogens: Evaluation of the Estrogenic Activity of Deoxybenzoins. Chem. Biol. 2004, 11, 397–406. [Google Scholar] [CrossRef] [PubMed]
  • Sample Availability: Available from the authors.

Share and Cite

MDPI and ACS Style

Naoum, F.; Kasiotis, K.M.; Magiatis, P.; Haroutounian, S.A. Synthesis of Novel Nitro-substituted Triaryl Pyrazole Derivatives as Potential Estrogen Receptor Ligands. Molecules 2007, 12, 1259-1273. https://doi.org/10.3390/12071259

AMA Style

Naoum F, Kasiotis KM, Magiatis P, Haroutounian SA. Synthesis of Novel Nitro-substituted Triaryl Pyrazole Derivatives as Potential Estrogen Receptor Ligands. Molecules. 2007; 12(7):1259-1273. https://doi.org/10.3390/12071259

Chicago/Turabian Style

Naoum, Fotini, Konstantinos M Kasiotis, Prokopios Magiatis, and Serkos A Haroutounian. 2007. "Synthesis of Novel Nitro-substituted Triaryl Pyrazole Derivatives as Potential Estrogen Receptor Ligands" Molecules 12, no. 7: 1259-1273. https://doi.org/10.3390/12071259

APA Style

Naoum, F., Kasiotis, K. M., Magiatis, P., & Haroutounian, S. A. (2007). Synthesis of Novel Nitro-substituted Triaryl Pyrazole Derivatives as Potential Estrogen Receptor Ligands. Molecules, 12(7), 1259-1273. https://doi.org/10.3390/12071259

Article Metrics

Back to TopTop