Next Article in Journal
New Diterpenoid Alkaloids from the Roots of Delphinium tiantaishanense
Previous Article in Journal
Acylated Flavone Glycosides from the Roots of Saussurea lappa and Their Antifungal Activity
 
 
Font Type:
Arial Georgia Verdana
Font Size:
Aa Aa Aa
Line Spacing:
Column Width:
Background:
Article

Synthesis of New 1,3-Disubstituted-2,3-dihydro-1H-naphth[1,2e][1,3]oxazines

Yildiz Technical University, Faculty of Art and Sciences, Department of Chemistry, Davutpasa Yildiz Technical University, Faculty of Art and Sciences, Department of Chemistry, Davutpasa Campus, 34210, Istanbul, Turkey
*
Author to whom correspondence should be addressed.
Molecules 2007, 12(3), 345-352; https://doi.org/10.3390/12030345
Submission received: 15 February 2007 / Revised: 2 March 2007 / Accepted: 3 March 2007 / Published: 7 March 2007

Abstract

:
1,3-Disubstituted-2,3-dihydro-1H-naphth[1,2-e][1,3]oxazines were prepared through the ring-closure reactions of the aminobenzylnaphthols with substituted aryl- and heteroarylaldehydes.

Introduction

The development of simple synthetic routes to widely used organic compounds using readily available reagents is one of the main objectives of organic synthesis. Nitrogen heterocycles are of special interest because they constitute an important class of natural and nonnatural products, many of which exhibite useful biological activities. Investigation of the 1,3-oxazine heterocycles has shown that they possess varied biological properties such as analgesic, anticonvulsant, antitubercular, antibacterial and anticancer activity [1,2,3,4]. Particular attention has been paid to these compounds since the discovery of the non-nucleoside reverse transcriptase inhibitor trifluoromethyl-1,3-oxazine-2-one, which shows high activity against a variety of HIV-1 mutant strains [5]. In addition, naphthoxazine derivatives have exhibited therapeutic potential for the treatment of Parkinson’s disease [6,7]. Furthermore, they can be used as intermediates in the synthesis of N-substituted aminoalcohols or in enantioselective syntheses of chiral amines. The tautomeric character of 1,3-O,N-heterocycles offers a great number of synthetic possibilities [8,9,10]. Previously, naphth-1,3-oxazine derivatives have been prepared using 2-naphthol and various substituted aryl- and heteroarylaldehydes in the presence of dry methanolic ammonia [11,12,13]. Our present aim was to extend the synthetic utility of aminobenzylnaphthol by examining its use in the preparation of new heterocyclic 1,3-oxazine compounds.

Results and Discussion

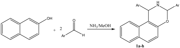
Condensation of 2-naphthol with two equivalents of heteroarylaldehydes or substituted benzaldehydes in the presence of ammonia at room temperature (rt) gave compounds 1a-h. The structures of the aldehyde components, reaction conditions and yields are summarized in Table 1
Table 1. Synthesis of 1,3-oxazines 1a-h.
Table 1. Synthesis of 1,3-oxazines 1a-h.
Molecules 12 00345 i001
CompoundAr (Yield, %)ConditionsCompoundAr (Yield, %)Conditions
Molecules 12 00345 i002 Molecules 12 00345 i003
1a48 h, rt1e48 h, rt
45 52
Molecules 12 00345 i004 Molecules 12 00345 i005
1b24 h, rt1f48 h, rt
71 61
Molecules 12 00345 i006 Molecules 12 00345 i007
1c48 h, rt1g24 h, rt
51 59
Molecules 12 00345 i008 Molecules 12 00345 i009
1c48 h, rt1g24 h, rt
49 56
Then, compounds 1b,c and e were hydrolysed under acidic conditions to give aminobenzyl-naphthols (Betti bases) 2b,c and e, respectively. Results are given in Table 2.
Table 2. Synthesis of aminobenzylnaphthols 2b,c,e.
Table 2. Synthesis of aminobenzylnaphthols 2b,c,e.
Molecules 12 00345 i010
CompoundArYield, %Conditions
Molecules 12 00345 i004
2b736 h, reflux
Molecules 12 00345 i006
2c696 h, reflux
Molecules 12 00345 i003
2e726 h, reflux
Finally, the reactions of the Betti bases 2b,c,e with equivalent amounts of aldehydes/heteroaldehydes afforded the corresponding 1,3-disubstituted-2,3-dihydro-1H-naphth[1,2-e][1,3]oxazines 3a-f (Table 3).
Table 3. Synthesis of 1,3-oxazines 3a-f.
Table 3. Synthesis of 1,3-oxazines 3a-f.
Molecules 12 00345 i011
Compound3a3b3c3d3e3f
Molecules 12 00345 i004 Molecules 12 00345 i004 Molecules 12 00345 i004 Molecules 12 00345 i006 Molecules 12 00345 i006 Molecules 12 00345 i003
Ar
Molecules 12 00345 i006 Molecules 12 00345 i003 Molecules 12 00345 i007 Molecules 12 00345 i007 Molecules 12 00345 i009 Molecules 12 00345 i009
Ar′
Yield, %464351504253
Conditions48 h, rt48 h, rt48 h, rt48 h, rt48 h, rt48 h, rt
The Betti reaction, a Mannich-type aminoalkylation, offers a convenient route for preparing 1‑(aminosubstituted methyl)-2-naphthols 2 under mild (rt) conditions. Access to these Mannich–type phenolic bases make the aminoalkylation reaction of naphthol derivatives a subject of current chemical interest [5,6,7]. Subsequent reaction of the aminobenzylnaphthtols with an equivalent amount of a substituted aldehyde in absolute MeOH at ambient temperature gave 1,3-naphthoxazines 3.
The structures of all the new compounds were confirmed by FTIR, mass spectrometry, NMR and elemental analysis results. Thus, for example, the characteristic C=O bands of the aldehydes disappeared and absorption bands corresponding to NH groups were observed at 3320-3357 cm-1 in the IR spectra of the 1,3-oxazines, while NCH proton singlets at 5.47 and 5.78 ppm and NH proton singlets at 2.8-3.00 were observed in the 1H-NMR spectra.

Conclusions

Substituted aminobenzylnaphthols were synthesized in moderate to good yields by the reactions of 2-naphthols with appropriate aldehydes. Some new 1,3-disubstituted-2,3-dihydro-1H-naphth[1,2-e]-[1,3]oxazines 1 and 3, that are expected to show biological activities, were obtained by the ring-closure reactions of these aminobenzylnaphthols and various aldehydes. In addition, if substituted-1,3-amino-alcohols 2 were to be prepared in enantiopure form, they could be useful in the synthesis of chiral ligands.

Experimental

General

NMR spectra were recorded on Bruker Digital FT-NMR ‘Avance 400’ spectrometer (CDCl3 solvent) with TMS as internal reference. Results are expressed in ppm. IR spectra were recorded on Perkin Elmer FT-IR spectrometer (KBr). GC-EIMS spectra were measured on a Varian SAT2100T mit GC3900 spectrometer using FAB ionization. Melting points were measured on a Gallenkamp melting point apparatus. Silica gel 60 (Merck) was used for column separations. TLC was conducted on standard aluminium sheets precoated with a 0.2 mm layer of silica gel. Elemental analysis were performed using a Flash EA 1112 series apparatus.

General procedure for the synthesis of [1,3]oxazines 1a-h.

The aryl- or heteroarylaldehyde (2 mmol; freshly distilled if a liquid) and 25 % methanolic ammonia solution (0.5 mL) were added to a solution of 2-naphthol (1 mmol) in absolute MeOH (0.5 mL). The mixture was left to stand at ambient temperature for 2 days, during which the crystalline products 1a-h separated out. The crude crystals were filtered off, washed with cold MeOH (2 x 2mL) and purified by recrystallization from bp. 40-60°C petroleum ether or by column chromatography (CC), eluting with the indicated solvents.
1,3-Di(3,4-dimethylphenyl)-2,3-dihydro-1H-naphth[1,2-e][1,3]oxazine (1a): Colorless crystals; yield 45 %; mp. 110 oC (recrystallized); 1H-NMR (CDCl3): δ = 2.27 (s, 3H, CH3), 2.29 (s, 3H, CH3), 2.33 (s, 3H, CH3), 2.35 (s, 3H, CH3 ), 5.41 (s, 1H, CH), 6.10 (s,1H, CH), 6.72-7.81 (m,12H, ArH); 13C-NMR (CDCl3): δ = 20.77, 21.56, 55.26, 82.44, 112.33, 125.83, 127.54, 130.28, 154.21; Anal. Calcd. for C28H27NO: C: 85.46; H: 6.92, N: 3.56. Found: C: 85.21, H: 6.93, N: 3.68; MS: m/z 393.
1,3-Di(3,4-dimethoxyphenyl)-2,3-dihydro-1H-naphth[1,2-e][1,3]oxazine (1b): Colorless crystals; yield 71 %; mp. 122.5 oC (CC, 3:1 ethyl acetate/n-hexane) 1H- NMR (CDCl3): δ = 3.70 (s, 3H, OCH3 ), 3.75 (s, 3H, OCH3), 3.77 (s, 3H, OCH3), 3.81 (s, 3H, OCH3), 5.63 (s, 1H, NCH), 6,12 (s, 1H, CH), 6.69-7.92 (m, 12H, ArH); 13C-NMR (CDCl3): δ = 53.91, 55.25, 82.22, 111.52, 112.20, 120.15, 121.85, 126.85, 129.25, 130.12, 152.63; Anal. Calcd. for C28H27NO5: C: 73.51, H: 5.95, N: 3.06. Found: C: 73.53, H: 5.93, N: 3.08; MS: m/z 457.
1,3-Di(3,4,5-trimethoxyphenyl)-2,3-dihydro-1H-naphth[1,2-e][1,3]oxazine (1c): Colorless crystals; yield 51 %; mp. 137.4oC (CC, 1:2 ethyl acetate/n-hexane); 1H-NMR (CDCl3): δ = 3.71(s, 3H, OCH3), 3.74 (s, 3H, OCH3), 3.82 (s, 3H, OCH3), 3.84 (s, 3H, OCH3), 3.88 (s, 3H, OCH3), 3.91 (s, 3H, OCH3), 5.61 (s, 1H, CH), 6,10 (s, 1H, CH), 6.69-7.88 (m, 10H, ArH); 13C-NMR (CDCl3): δ = 54.5, 55.36, 81.20, 112.03, 120.78, 127.38, 128.32, 129.45, 130.11, 148.57, 153.40; Anal. Calcd. for C30H31NO7: C: 69.62, H: 6.04, N: 2.71. Found: C: 69.68, H: 5.99, N: 2.73; MS: m/z 517.
1,3-Di(3-hydroxyphenyl)-2,3-dihydro-1H-naphth[1,2-e][1,3]oxazine (1d): Pale yellow crystals; yield 49 %; mp. 101.2oC (CC, 1:5 ethyl acetate/chloroform); 1H-NMR (CDCl3): δ = 5.58 (s, 1H, CH), 5.98 (s, 1H, CH), 6.73-7.82 (m, 14H, ArH); 13C-NMR (CDCl3): δ= 56.20, 81.60, 112.84, 114.92, 117.36, 128.65, 130.38, 143.87, 157.10, 160.44; Anal. Calcd. for C24H19NO3: C: 78.03, H: 5.18, N: 3.79. Found: C: 77.99, H: 5.21, N: 3.66; MS: m/z 369.
1,3-Di(3-phenoxyphenyl)-2,3-dihydro-1H-naphth[1,2-e][1,3]oxazine (1e): Reddish crystals; yield 52 %; mp. 106.1oC (CC, 3:1 ethyl acetate/n-hexane); 1H-NMR (CDCl3): δ = 5.51 (s, 1H, CH), 6.12 (s, 1H, CH), 6.92-7.91 (m, 24H, ArH); 13C-NMR (CDCl3): δ = 54.80, 81.50, 117.31, 121.23, 126.80, 129.50, 130.21, 144.90, 152.61, 162.10; Anal. Calcd. for C36H27NO3: C: 82.90, H: 5.22, N: 2.69. Found: C: 82.87, H: 5.23, N: 2.71; MS: m/z 521.
1,3-Di(5-bromo-2-hydroxyphenyl)-2,3-dihydro-1H-naphth[1,2-e][1,3]oxazine (1f): Pale yellow crystals; yield 61 %; mp. 197.8oC (CC, 3:1 ethyl acetate/n-hexane); 1H-NMR (CDCl3): δ = 5.21 (s, 1H, CH), 5.72 (s, 1H, CH), 6.75-7.67 (m, 12H, ArH); 13C-NMR (CDCl3): δ = 56.44, 81.73, 112.56, 114.76, 117.46, 127.75, 130.10, 143.87, 158.24, 159.81; Anal. Calcd. for C24H17Br2NO3 C: 57.67, H: 3.25, N: 2.65. Found: C: 57.61, H: 3.23, N: 2.63; MS: m/z 527.
1,3-Di(2-pyridinyl)-2,3-dihydro-1H-naphth[1,2-e][1,3]oxazine (1g): Pale yellow crystals; yield 59 %; mp. 159.4 oC (CC, 3:1 ethyl acetate/n-hexane); 1H-NMR (CDCl3): δ = 5.24 (s, 1H, CH), 5.86 (s, 1H, CH), 7.12-7.89 (m, 10H, ArH), 8.50-8.89 (m, 4H, pyridine); 13C-NMR (CDCl3): δ = 56.23, 81.69, 124.33, 133.67, 139.76, 148.27, 150.52, 154.3; Anal. Calcd. for C22H17N3O: C: 77.86, H: 5.05, N: 12.38. Found: C: 77.89, H: 5.05, N: 12.40; MS: m/z 339.
1,3-Di(2-thienyl)-2,3-dihydro-1H-naphth[1,2-e][1,3]oxazine (1h): Colorless crystals; yield 56 %; mp. 171 oC (recrystallized); 1H-NMR (CDCl3): δ = 5.45 (s, 1H, CH), 5.68 (s, 1H, CH), 6.72-7.91 (m, 12H, ArH); 13C-NMR (CDCl3): δ = 53.12, 78.80, 111.56, 120.45, 127.65, 128.53, 129.46, 146.34, 151.57; Anal. Calcd. for C20H15NOS2: C: 68.74, H: 4.33, N: 4.01. Found: C: 68.77, H: 4.31, N: 3.91; MS: m/z 349.

General procedure for the synthesis of 1‑(aminosubstituted methyl)-2-naphthols 2b,c and e.

1b, c or e (1 mmol) were suspended in 20 % HCl (20 mL) and the mixture was stirred and refluxed for 6 h, whereby the crystalline hydrochloride of 2b,c,e separated out and was filtered off and washed with EtOAc. The hydrochloride was suspended in H2O and the mixture was treated with conc. NH4OH (3 mL) and extracted with EtOAc (3 x 5mL). After drying (Na2SO4) and evaporation of the EtOAc phase, crude crystalline compounds 2b,c,e were obtained, which were further purified by column chromatography, eluting with the indicated solvents.
1-[Amino-(3,4-dimethoxyphenyl)methyl]-2-naphthol (2b): Colorless crystals; yield 73 %; mp. 126 oC (3:1 ethyl acetate/n-hexane); 1H-NMR (CDCl3): δ = 3.72 (s, 3H, OCH3), 3.73 (s, 3H, OCH3), 5.97 (s,1H, CH), 6.97-7.64 (m, 9H, ArH); 13C-NMR(CDCl3): δ = 54.20, 55.25, 113.23, 114.43, 122.38, 124.18, 126.56, 127.10, 129.34, 134.46, 152.10, 153.13; Anal. Calcd. for C19H19NO3: C:73.76, H: 6.19, N: 4.53. Found: C: 73.74, H: 6.20, N: 4.54; MS: m/z 309.
1-[Amino-(3,4,5-trimethoxyphenyl)methyl]-2-naphthol (2c): Colorless crystals; yield 69 %; mp. 119 oC (3:1 ethyl acetate/n-hexane); 1H-NMR (CDCl3): δ = 3.72 (s, 3H, OCH3), 3.73 (s, 3H, OCH3), 3.75 (s, 3H, OCH3), 5.97 (s, 1H, CH), 6.97-7.64 (m, 8H, ArH); 13C-NMR (CDCl3): δ= 54.34, 55.88, 59.24, 107.23, 115.43, 124.38, 126.58, 127.10, 129.74, 137.46, 152.10, 156.13; Anal. Calcd. for C20H21NO4:C: 70.78, H: 6.23, N: 4.13. Found: C: 70.79, H: 6.23, N: 4.14; MS: m/z 339.
1-[Amino-(3-phenoxyphenyl)methyl]-2-naphthol (2e): Colorless crystals; yield 72 %; mp. 114 oC (4:1 ethyl acetate/n-hexane); 1H-NMR (CDCl3): δ = 5.99 (s, 1H, CH), 6.85-7.64 (m, 15H, ArH); 13C- NMR (CDCl3): δ = 54.34, 55.88, 115.43, 116.43, 122.38, 123.58, 127.10, 129.74, 131.46, 145.33, 152.10, 155.13; Anal. Calcd. for C20H21NO4: C:80.91, H: 5.61, N: 4.10, Found: C: 80.92, H: 5.63, N: 4.11; MS: m/z 341.

General procedure for the synthesis of 1,3-naphthoxazines 3a-f.

To a solution of the appropriate aminonaphthol 2b,c or e (1 mmol) in absolute MeOH (20 mL), an equivalent amount of aryl- or heteroarylaldehyde was added, and the mixture was left to stand at ambient temperature for 48h. The crystalline products were filtered off and then purified by column chromatography, eluting with the indicated solvents.
1-(3,4-Dimethoxyphenyl)-3-(3,4,5-trimethoxhyphenyl)-2,3-dihydro-1H-naphth[1,2-e][1,3]oxazine (3a): Pale yellow crystals; yield 46 %; mp. 133 oC (3:1 ethyl acetate/n-hexane); 1H-NMR (CDCl3): δ = 3.73 (s, 3H, OCH3), 3.75 (s, 3H, OCH3), 3.82 (s, 3H, OCH3), 3.89 (s, 3H, OCH3), 3.921 (s, 3H, OCH3), 5.47 (s, 1H, CH), 5.61 (s, 1H, CH), 7.2-8.8 (m, 11H, ArH); 13C-NMR (CDCl3): δ = 54.20, 56.25, 81.70, 112.23, 121.38, 123.18, 126.86, 129.10, 130.14, 156.78, 160.03; Anal. Calcd. for C29H29NO6: C: 71.44, H: 5.99, N: 2.87. Found: C: 71.39, H: 5.97, N: 2.86; MS: m/z 487.
1-(3,4-Dimethoxyphenyl)-3-(3-phenoxyphenyl)-2,3-dihydro-1H-naphth[1,2-e][1,3]oxazine (3b): Pale yellow crystals; yield 43 %; mp. 127 oC (3:1 ethyl acetate/n-hexane); 1H-NMR (CDCl3): δ = 3.86 (s, 3H, OCH3), 3.89 (s, 3H, OCH3), 5.52 (s, 1H, CH), 5.71 (s, 1H, CH), 7.24-8.82 (m, 18H, ArH); 13C-NMR (CDCl3): δ = 55.20, 55.68, 81.45, 112.12, 120.20, 121.56 123.65, 126.80, 129.54, 152.67, 162.12; Anal. Calcd. for C32H27NO4: C: 78.50, H: 5.55, N: 2.86. Found: C: 78.47, H: 5.57, N: 2.87; MS: m/z 489.
1-(3,4-Dimethoxyphenyl)-3-(2-pyridinyl)-2,3-dihydro-1H-naphth[1,2-e][1,3]oxazine (3c): Pale yellow crystals; yield 51 %; mp. 143 oC (4:1 ethyl acetate/n-hexane); 1H-NMR (CDCl3): δ = 3.69 (s, 3H, OCH3), 3.72 (s, 3H, OCH3), 5.50 (s, 1H, CH), 6.40 (s, 1H, CH), 7.2-8.8 (m, 13H, ArH); 13C- NMR (CDCl3): δ = 55.21, 55.43, 79.80, 112.66, 123.34, 126.93, 128.80, 129.72, 130.23, 148.27, 153.88; Anal. Calcd. for C25H23N 2O3: C:75.36, H: 5.56, N:7.03. Found: C: 75.22, H: 5.57, N: 7.04; MS: m/z 398.
1-(3,4,5-Trimethoxyphenyl)-3-(2-pridinyl)-2,3-dihydro-1H-naphth[1,2-e][1,3]oxazine (3d): Pale yellow crystals; yield 50 %; mp. 112 oC (4:1 ethyl acetate/n-hexane); 1H-NMR (CDCl3): δ = 3.75 (s, 3H, OCH3), 3.86 (s, 3H, OCH3), 3.89 (s, 3H, OCH3), 5.52 (s, 1H, CH), 5.87 (s, 1H, CH), 7.22-8.81 (m, 12H, ArH); 13C-NMR (CDCl3): δ = 53.25, 54.01, 81.23, 112.34, 121.45, 126.67, 127.34, 130.78, 157.20; Anal. Calcd. for C26H24N2O4: C: 72.88, H: 5.64, N: 6.53. Found: C: 72.90, H: 5.62, N: 6.56; MS: m/z 428.
1-(3,4,5-Trimethoxyphenyl)-3-(2-thienyl)-2,3-dihydro-1H-naphth[1,2-e][1,3]oxazine (3e): Pale yellow crystals; yield 42 %; mp. 148 oC (5:1 ethyl acetate/n-hexane); 1H-NMR (CDCl3): δ = 3.74 (s, 3H, OCH3), 3.86 (s, 3H, OCH3), 3.89 (s, 3H, OCH3), 5.52 (s, 1H, CH), 5.81 (s, 1H, CH), 7.25-8.88 (m, 11H, ArH); 13C-NMR (CDCl3): δ = 56.4, 80.79, 111.80, 120.32, 123.65, 126.34, 128.23, 133.67, 147.23, 152.78; Anal. Calcd. for C25H22NO4 S: C: 69.42, H: 5.13, N: 3.23, S: 7.41 Found: C: 69.41, H: 5.17, N: 3.19, S: 7.33; MS: m/z 432.
1-(3-Phenoxyphenyl)-3-(2-thienyl)-2,3-dihydro-1H-naphth[1,2-e][1,3]oxazine (3f): Pale yellow crystals; yield 53 %; mp. 153oC (4:1 ethyl acetate/n-hexane); 1H-NMR (CDCl3): δ = 5.53 (s, 1H, CH), 6.11 (s, 1H, CH), 7.27-8.89 (m, 18H, ArH); 13C-NMR (CDCl3): δ= 54.40, 81.10, 112.45, 120.89, 123.47, 126.67, 128.48, 133.85, 145.98, 154.65; Anal. Calcd. for C28H21NO2 S: C: 77.22, H: 4.97, N: 3.22, S: 7.34. Found: C: 77.36, H: 4.81, N: 3.19, S: 7.33; MS: m/z 435.

Acknowledgments

The authors would like to express their gratitude to Yıldız Technical University for its financial support (BAP project 26-01-02-02).

References

  1. Adib, M.; Sheibani, E.; Mostofi, M.; Ghanbary, K.; Bijanzadeh, H. R. Efficient Highly Diastereoselective Synthesis of 1,8a-Dihydro-7H-imidazo[2,1-b][1,3]oxazines. Tetrahedron 2006, 62, 3435–3438. [Google Scholar] [CrossRef]
  2. Kurz, T. Synthesis of Novel Pyrido[2,3-e][1,3]oxazines. Tetrahedron 2005, 61, 3091–3096. [Google Scholar] [CrossRef]
  3. Zhang, P.; Terefenko, E.A.; Fensome, A.; Wrobel, J.; Winneker, R.; Zhang, Z. Novel 6-Aryl-1,4-dihydrobenzo[d][1,3]oxazine-2-thiones as Potent, Selective, and Orally Active Nonsteroidal Progesterone Receptor Agonists. Bioorg. Med. Chem. Lett. 2003, 13, 1313–1316. [Google Scholar] [CrossRef] [PubMed]
  4. Poel, H.V.; Guilaumet, G.; Viaud-Massuard, M. Synthesis of 6,7,8,9-Tetrahydropyrido[2,3-b]-indolizine and 3,4-Dihydro-1H-pyrido[2’,3’:4,5]pyrrolo[2,1-b][1,3]oxazine Derivatives as New Melatonin Receptor Ligands. Tetrahedron Lett. 2002, 43, 1205–1208. [Google Scholar]
  5. Zanatta, N.; Squizani, A. M. C.; Fantinel, L.; Nachtigall, F.M.; Borchhardt, D. M.; Bonacorso, H. G.; Martins, M. A. P. Synthesis of N-Substituted 6-Trifluoromethyl-1,3-oxazinanes. J. Braz. Chem. Soc. 2005, 16, 1255–1261. [Google Scholar]
  6. Joyce, J. N.; Presgraves, S.; Renish, L.; Borwege, S.; Osredkar, D. H.; Replogle, M.; PazSoldan, M.; Millan, M. J. Neuroprotective Effects of the Novel D3/D2 Receptor Agonist and Antiparkinson Agent, S32504, in vitro Against 1-Methyl-4-phenylpyridinium (MPP+) and in vivo Against 1-Methyl-4-phenyl-1,2,3,6-tetrahydropyridine(MPTP): a comparison to ropinirole. Exp. Neurol. 2003, 184, 393–407. [Google Scholar] [CrossRef] [PubMed]
  7. Kerdesky, F.A.J. A Novel and Efficient Method fort the Conversion of a trans-Hexahydro-naphthoxazine to a cis- isomer Using Boron Tribromide. Tetrahedron Lett. 2005, 46, 1711–1712. [Google Scholar] [CrossRef]
  8. Cimarelli, C.; Mazzanti, A.; Palmieri, G.; Volpini, E. Solvent-Free Asymmetric Aminoalkylation of Electron-Rich Aromatic Compounds: Stereoselective Synthesis of Aminoalkylnaphthols by Crystallization-Induced Asymmetric Transformation. J. Org. Chem. 2001, 66, 4759–4765. [Google Scholar]
  9. Cimarelli, C.; Palmieri, G.; Volpini, E. Ready N-alkylation of Enantiopure Aminophenols: Synthesis of Tertiary Aminophenols. Tetrahedron 2001, 57, 6089–6096. [Google Scholar] [CrossRef]
  10. Dong, Y.; Sun, J.; Wang, X.; Xu, X.; Cao, L.; Hu, Y. Highly Regioselective N-Alkylation of Nonracemic Betti Base: a Novel One-Pot Synthesis of Chiral N-Methyl-N-Alkyl Betti Bases. Tetrahedron Asymmetr. 2004, 15, 1667–1672. [Google Scholar]
  11. Smith, H.E.; Cooper, N.E. Ring-Chain Tautomerism of Derivatives of 1-(α-Aminobenzyl)-2-naphthol with Aromatic Aldehydes. J. Org. Chem. 1970, 35, 2212–2215. [Google Scholar]
  12. Szatmari, I.; Martinek, T.A.; Lazar, L.; Fülop, F. Substituent Effect in The Ring-Chain Tautomerism of 1,3-Diaryl-2,3-dihydro-1H-naphth[1,2-e][1,3]oxazines. Tetrahedron 2003, 59, 2877–2884. [Google Scholar] [CrossRef]
  13. Szatmari, I.; Martinek, T.A.; Lazar, L.; Fülop, F. Synthesis of 2,4-Diaryl-3,4-dihydro-2H-naphth[2,1-e][1,3]oxazines and Study of the Effects of the Substituents on Their Ring-Chain Tautomerm. Eur. J. Org. Chem. 2004, 2231–2238. [Google Scholar]
  • Sample Availability: Samples of the compounds are available from authors.

Share and Cite

MDPI and ACS Style

Turgut, Z.; Pelit, E.; Köycü, A. Synthesis of New 1,3-Disubstituted-2,3-dihydro-1H-naphth[1,2e][1,3]oxazines. Molecules 2007, 12, 345-352. https://doi.org/10.3390/12030345

AMA Style

Turgut Z, Pelit E, Köycü A. Synthesis of New 1,3-Disubstituted-2,3-dihydro-1H-naphth[1,2e][1,3]oxazines. Molecules. 2007; 12(3):345-352. https://doi.org/10.3390/12030345

Chicago/Turabian Style

Turgut, Zuhal, Emel Pelit, and Adem Köycü. 2007. "Synthesis of New 1,3-Disubstituted-2,3-dihydro-1H-naphth[1,2e][1,3]oxazines" Molecules 12, no. 3: 345-352. https://doi.org/10.3390/12030345

APA Style

Turgut, Z., Pelit, E., & Köycü, A. (2007). Synthesis of New 1,3-Disubstituted-2,3-dihydro-1H-naphth[1,2e][1,3]oxazines. Molecules, 12(3), 345-352. https://doi.org/10.3390/12030345

Article Metrics

Back to TopTop