Abstract
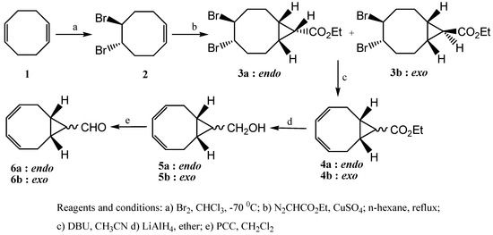
Monobromination of 1,5-cyclooctadiene, followed by cyclopropanation with ethyl diazoacetate, led to the formation of endo and exo ethyl 4,5-dibromobicyclo[6.1.0]nonane-9-carboxylates 3a and 3b. Bis-dehydrobromination of 3a and 3b using 1,8-diazabicyclo[5,4,0]undec-7-ene (DBU) afforded the endo and exo ethyl bicyclo[6.1.0]nona-3,5-diene-9-carboxylates 4a and 4b. Reduction of these compounds to the corresponding alcohols 5a and 5b and subsequent oxidation with pyridinium chlorochromate (PCC) resulted in the formation of the target compounds endo and exo bicyclo[6.1.0]nona-3,5-diene-9-carboxaldehydes 6a and 6b.
Introduction
1,5-Cyclooctadiene (1) has been used as a starting material to construct complex cyclic and polycyclic compounds [1,2]. As a part of our research program toward the synthesis of some polycyclic compounds, a bicyclo[6.1.0] system containing a diene moiety in the eight-membered ring and an aldehyde functional group in the three-membered ring was needed. The diene part was desired for a Diels-Alder reaction with a suitable acetylenic dienophile in order to initially convert the bicyclic skeleton to a tricyclic system. Transformation of the aldehyde part to the relevant carbene via pyrolysis of the corresponding to tosylhydrazone salt was our next goal to investigate the possibility of the subsequent carbene insertion into the double bond present in the molecule and thus assemble a tetracyclic system. We are pleased to report herein our simple and efficient synthetic route to the title compounds, starting from the commercially available diene 1. Details of the reaction conditions and spectroscopic characterization of the products will be discussed.
Results and Discussion
Bromination of olefins followed by bis-elimination of hydrogen bromide has widely been used to prepare symmetrical dienes from olefins [1,3,4,5]. Thus, monobromination of 1,5-cyclooctadiene (1) was carried out in CHCl3 at -70 °C, according to a previously reported procedure [1]. Subsequent cyclopropanation with ethyl diazoacetate in the presence of CuSO4 as catalyst [6] was then performed. Based on similar reported reactions [7], we expected to obtain a mixture of two isomers, and indeed column chromatography separation of the reaction products afforded two isomers in a 40:60 ratio, which were identified as the endo and exo ethyl 4,5-dibromobicyclo[6.1.0]nonane-9-carboxylates 3a and 3b (Scheme 1). The stereochemistry of the three-membered ring was established by comparison of coupling constants of H-9 with H-1 and H-8 in the two isomers (8.7 Hz and 4.3 Hz for 3a and 3b, respectively), which confirmed the cis and trans configurations with respect to the cyclopropane ring. As a result of their twisted and unsymmetrical conformations, shown in Figure 1, the isomers 3a and 3b exhibited complicated 1H-NMR spectra (see Experimental).
Scheme 1.
Synthetic route to bicyclo[6.1.0]nona-3,5-diene-9-carboxaldehyde (6) .
Scheme 1.
Synthetic route to bicyclo[6.1.0]nona-3,5-diene-9-carboxaldehyde (6) .

Bis-elimination of hydrogen bromide from the mixture of 3a and 3b with DBU in acetonitrile resulted in the formation of ethyl bicyclo[6.1.0]nona-3,5-diene-9-carboxylates 4a,b in 75% yield, which gave the corresponding 4a (endo) and 4b (exo) isomers after separation by column chromatography.
Figure 1.
Minimized structures of 3a (left) and 3b (right).
Figure 1.
Minimized structures of 3a (left) and 3b (right).

As shown in Figure 2, and in contrast to isomers 3a and 3b, compounds 4a and 4b have a symmetry plane which simplifies the corresponding 1H-NMR and 13C-NMR spectra (see Experimental). Conversion of 4a and 4b to 9-(hydroxymethyl)bicyclo[6.1.0]nona-3,5-dienes 5a (endo) and 5b (exo) was carried out by the well known reduction method using lithium aluminum hydride [8]. Due to the difference between the reduction times needed for 4a and 4b (the former required 8 h, while reduction of the latter was completed after 12 hr), 4a and 4b were reacted separately.
Figure 2.
Minimized structures of 4a (left) and 4b (right).
Figure 2.
Minimized structures of 4a (left) and 4b (right).

PCC is well known as a selective and convenient reagent for converting the primary alcohols to the corresponding aldehydes [8,9]. Oxidation of 5a/5b using PCC successfully gave the bicyclo[6,1,0]-nona-3,5-diene-9-carboxaldehydes 6a (endo) and 6b (exo) in 71% and 64% yields, respectively.
Conclusions
In summary, endo and exo ethyl bicyclo[6.1.0]nona-3,5-diene-9-carboxylates 4a and 4b were synthesized via bromination of 1,5-cyclooctadiene, followed by cyclopropanation with ethyl diazoacetate and subsequent dehydrobromination with DBU. Reduction of 4a and 4b with lithium aluminum hydride followed by oxidation with PCC finally afforded the endo and exo bicyclo[6.1.0]nona-3,5-diene-9-carboxaldehydes 6a and 6b.
Experimental
General
All commercially available chemicals and reagents were purchased from the Merck Chemical Company and used without further purification. Melting points were determined on an Electrothermal model 9100 apparatus and are uncorrected. IR spectra were recorded on a Shimadzu 4300 spectrophotometer. The 1H-NMR and 13C-NMR spectra were recorded in CDCl3 using a DRX-500 AVANCE spectrometer at 298 K. Chemical shifts (δ) are reported in ppm and are referenced to the NMR solvent peak. Mass spectra of the products were obtained with a HP (Agilent Technologies) 5937 Mass Selective Detector with Electron Impact (EI) 70eV, and quadrupole analyzer. Column chromatographies were carried out using silica gel 60 (63-200 mesh). All the reactions were carried out under nitrogen atmosphere and reactions progress was monitored by TLC using aluminium sheets precoated with silica gel Merck 60 FB254B. 5,6-Dibromocyclooct-1-ene (2) was prepared using 1,5-cyclooctadiene (1) and bromine, according to the previously reported procedure [1].
Endo ethyl 4,5-dibromobicyclo[6.1.0]nonane-9-carboxylate (3a) and exo ethyl 4,5-dibromobicyclo-[6.1.0]-nonane-9-carboxylate (3b)
To a stirred refluxing solution of 5,6-dibromocyclooct-1-ene (2, 13.4g, 50 mmol) and anhydrous CuSO4 (2 g) in n-hexane (150 mL) was added a solution of ethyl diazoacetate (6.27 g, 55 mmol) in n-hexane (20 mL) during 30 min. The reaction mixture was then refluxed for one additional hour and filtered while hot in order to remove the CuSO4. The solvent was removed under reduced pressure and the brownish-yellow residue was then recrystallized from methanol to give white crystals (15 g, 85%), consisting of a pair of endo and exo isomers. The two isomers were separated by column chromatography on silica gel 60 using a 90:10 mixture of petroleum ether/ether as eluent to give 3a and 3b. Compound 3a: m.p. 132-133 °C; IR (KBr): 2970, 1724 (C=O), 1469, 1147, 1082, 790 cm-1; 1H-NMR δ: 1.31 (t, 3H, J = 7.1 Hz, CH3), 1.50-1.65 (m, 2H, H-1 and H-8), 1.79 (m, 1H), 1.83 (t, 1H, J = 8.7 Hz, H-9), 1.90 (m, 1H), 2.20 - 2.41(m, 4H), 2.75 (m, 2H), 4.16 (q, 2H, J = 7.1 Hz, OCH2), 4.82 (m, 1H, CHBr), 4.88 (m, 1H, CHBr); 13C-NMR δ: 14.75, 18.64, 19.70, 22.81, 23.04, 25.66, 35.21, 35.30, 54.72, 56.09, 60.24, 172.14 ppm; MS (EI): m/z 354 (M+); Compound 3b: m.p. 123-124 °C; IR (KBr): 2999, 1718 (C=O), 1467, 1174, 981, 783 cm-1; 1H-NMR δ: 1.24 (t, 1H, J = 4.3 Hz, H-9), 1.30 (t, 3H, J = 7.1 Hz, CH3), 1.42 – 1.55 (m, 2H); 1.69, 1.75 (2m, 2H, H-1, H-8), 2.15 (m. 3H), 2.34 (m, 1H), 2.68 (m, 1H), 2.77 (m, 1H), 4.15 (q, 2H, J = 7.1 Hz, OCH2), 4.82 (m, 1H, CHBr), 4.86 (m, 1H, CHBr); 13C-NMR δ: 14.69, 23.45, 24.23, 25.93, 28.18, 28.27, 34.76, 35.21, 52.75, 56.12, 60.64, 173.91 ppm; MS (EI): m/z 354 (M+).
Endo ethyl bicyclo[6.1.0]nona-3,5-diene-9-carboxylates (4a) and exo ethyl bicyclo-[6.1.0]nona-3,5-diene-9-carboxylate (4b)
Ethyl 4,5-dibromobicyclo[6.1.0]nonane-9-carboxylates 3a,b (3.54 g, 10 mmol) were dissolved in acetonitrile (70 mL) and DBU (4.63 g, 30 mmol) was then added in one portion. The solution was refluxed for 24 h and the solvent was then removed under reduced pressure. Water (50 mL) was added to the brown oily residue and the mixture was extracted with diethyl ether (2 × 50 mL). The combined organic extracts was washed with HCl (3M, 2 × 25 mL), then with sodium bicarbonate solution (5 %, 25 mL) and finally with distilled water (25 mL). The solution was dried over anhydrous sodium sulfate and the solvent was removed under reduced pressure. A colorless oily liquid was obtained (1.44 g, 75% yield). The two diene isomers were separated by column chromatography on silica gel 60 using a 90:10 mixture of petroleum ether/ether as eluent to give compounds 4a and 4b as colorless oily liquids. 4a: IR (neat): 2937, 1720, 1398, 1355, 1157 cm-1; 1H-NMR δ: 1.23 ( t, 3H, J = 7.1 Hz, CH3), 1.58 (t, 1H, J = 6.4 Hz, H-9), 1.61 (m, 2H, H-1, H-8), 2.17 (m, 2H, H-2, H-7), 3.03 (m, 2H, H-2, H-7), 4.08 (q, 2H, J = 7.1 Hz, OCH2), 5.61 (m, 2H, H-3, H-6), 5.67 (d, 2H, J = 11.6 Hz, H-4, H-5); 13C-NMR δ: 14.72, 20.31, 23.05, 24.58, 60.31, 126.32, 130.93, 172.48 ppm; MS (EI): m/z 192 (M+); 4b: IR (neat): 2979, 2856, 1722, 1446, 1369, 1163, 995 cm-1; 1H-NMR δ: 1.19 (t, 3H, J = 7.2 Hz, CH3), 1.25 (t, 1H, J = 4.6 Hz, H-9), 1.56 (m, 2H, H-1, H-8), 2.19 (m, 2H, H-2, H-7), 2.50 (m, 2H, H-2, H-7), 4.03 (q, 2H, J = 7.2 Hz, OCH2), 5.60 (m, 2H, H-3, H-6), 5.88 (d, 2H, J = 10.1 Hz, H-4, H-5); 13C-NMR δ: 14.62, 24.63, 25.40, 27.10, 60.60, 129.77, 130.01, 174.45 ppm; MS (EI): m/z 192 (M+).
Endo 9-(hydroxymethyl)bicyclo[6.1.0]nona-3,5-dienes (5a) and exo 9-(hydroxymethyl)bicyclo[6.1.0]-nona-3,5-diene (5b).
Lithium aluminum hydride (270 mg, 7 mmol) and anhydrous diethyl ether (20 mL) were placed in a three-necked round-bottomed flask fitted with a reflux condenser and an addition funnel. Ethyl bicyclo[6.1.0]nona-3,5-diene-9-carboxylate 4a (or 4b) (960 mg, 5 mmol) dissolved in dry ether (5 mL) was added dropwise with magnetic stirring. The addition rate was controlled to maintain gentle reflux. After the addition was complete, the suspension was refluxed for an additional 8 h (in the case of 4a, 12 h for 4b). Ammonium chloride solution (10%, 5 mL) was then added slowly to the reaction mixture precooled to 0 °C in an ice bath. The reaction mixture was stirred for another 10 minutes and then filtered. The precipitate was washed with ether (10 mL). The combined ether filtrates were washed with water (10 mL), dried over anhydrous sodium sulfate and the solvent was then removed under reduced pressure to give 5a (or 5b) as colorless oily liquids. 5a: 640 mg (85%); IR (neat): 3400, 2923, 1440, 1400, 1022, 792, 761, 667 cm-1; 1H-NMR δ: 1.10- 1.18 (m, 3H, H-1, H-8, H-9), 2.36 (m, 4H, 2H-2, 2H-7), 2.91 (s, 1H, OH), 3.74 (d, 2H, J = 7.6, CH2OH), 5.67 (m, 2H, H-3, H-6), 5.74 (d, 2H, J = 11.3, H-4, H-5); 13C-NMR δ: 19.14, 21.18, 24.06, 60.00, 127.20, 131.56 ppm; MS (EI): m/z 150 (M+); 5b: 600 mg (80%); IR (neat): 3379, 3006, 2858, 1442, 1404, 1033, 790 cm-1; 1H-NMR δ: 0.70 (tt, 1H, J = 7.0 Hz, J = 4.8 Hz, H-9), 0.81 (m, 2H, H-1, H-8), 1.60 (s, 1H, OH), 2.15 (m, 2H, H-2, H-7), 2.45 (m, 2H, H-2, H-7), 3.40 (d, 2H, J = 7.0 Hz, CH2OH), 5.60 (d, 2H, H-3, H-6), 5.80 (d, 2H, J = 10.4 Hz, H-4, H-5); 13C-NMR δ: 20.24, 25.95, 28.14, 67.24, 128.85, 131.21 ppm; MS (EI): m/z 150 (M+).
Endo bicyclo[6.1.0]nona-3,5-diene-9-carboxaldehydes (6a) and exo bicyclo[6.1.0]nona-3,5-diene-9-carboxaldehyde (6b)
To a stirring solution of PCC (430 mg, 2 mmol) in dichloromethane (10 mL) was added a solution of 5a (or 5b) (300 mg, 2 mmol) in dichloromethane (2 mL). The mixture was stirred for 22 h at room temperature and was then refluxed for another 30 min. The reaction mixture was then filtered and the brown polymeric residue was washed with dichloromethane (2 × 10 mL). The combined dichloromethane solutions were evaporated under reduced pressure. To the residue was then added ether (30 mL) and the mixture was stirred for 10 min. The solution was filtered and the precipitate was washed with ether (5 mL). The combined ether solution was then washed with portions of 5% sodium bicarbonate solution (5 mL) until the ethereal solution became colorless. The solution was then dried over anhydrous sodium sulfate and the ether was removed under reduced pressure to give 6a (or (6b) as pale yellow liquids. 6a: 210 mg (71%); IR (neat): 3014, 2854, 1693, 1458, 1404, 1145, 993 cm-1; 1H-NMR δ: 1.77 (m, 3H, H-1, H-8, H-9), 2.32 (m, 2H, H-2, H-7), 2.88 (m, 2H, H-2, H-7), 5.60 (m, 2H, H-3, H-6), 5.76 (d, 2H, J = 10.7 Hz, H-4, H-5), 9.59 (d, 1H, J = 4.3 Hz, CHO); 13C-NMR δ: 23.66, 28.07, 30.86, 127.93, 130.69, 202.47 ppm; MS (EI): m/z 148 (M+); 6b: 190 mg (64%); IR (neat): 2954, 2850, 1740, 1470, 1193, 719 cm-1; 1H-NMR (CDCl3) δ: 1.54 (m, 1H, H-9), 1.71 (m, 2H, H-1, H-8), 2.22 (m, 2H, H-2, H-7), 2.50 (m, 2H, H-2, H-7), 5.59 (m, 2H, H-3, H-6), 5.88 (d, 2H, J = 10.1, H-4, H-5), 9.03 (d, 1H, J = 5.2 Hz); 13C-NMR δ: 25.88, 26.95, 30.08, 129.81, 130.15, 201.56 ppm; MS (EI): m/z 148 (M+).
Acknowledgments
The authors would like to acknowledge the Research Council of the University of Tehran for financial support of this research.
References
- Johnson, C.R.; Harikrishnan, L.S.; Golebiowski, A. Enantioselective synthesis of 7-cycloocten-1,3,5,6-tetraol derivatives by enzymatic asymmetrization. Tetrahedron Lett. 1994, 35, 7735–7738. [Google Scholar]
- Alvarez, E.; Diaz, M.T.; Perez, R.; Ravelo, J.L.; Regueiro, A.; Vera, J.A.; Zurita, D.; Martin, J.D. Simple designs for the construction of complex trans-fused polyether toxin frameworks. J. Org. Chem. 1994, 59, 2848–2876. [Google Scholar] [CrossRef]
- Paquette, L.A.; Dressel, J.; Pansegrau, P.D. 9,10-Dimethylenetricyclo [5.3.0.02,8] deca-3,5-diene. Tetrahedron Lett. 1987, 28, 4965–4968. [Google Scholar] [CrossRef]
- Wang, X.C.; Wong, N.C.; Mak, C.W. Synthesis of cycloocta [2,1-b:3,4-b’] diquinoline and cycloocta [2,1-b:3,4-b’] di [1.8] naphthyridine, and x-ray crystal structure of cycloocta [2,1-b:3,4-b’]-diquinoline and its 2:1 complex with copper (I) perchlorate. Tetrahedron Lett. 1987, 28, 5833–5836. [Google Scholar] [CrossRef]
- Dressel, J.; Chasey, L.; Paquette, L.A. Through-bond interaction via cyclobutane relay orbitals as a means of extending conjugation. J. Am. Chem. Soc. 1988, 110, 5479–5489. [Google Scholar] [CrossRef]
- House, H.O.; Blankley, C.J. Perhydroindan derivatives. VIII. Bridgehead alkylation via cyclo-propane intermediates. J. Org. Chem. 1968, 33, 47–52. [Google Scholar] [CrossRef]
- Nystrom, R.F.; Brown, W.G. Reduction of organic compounds by lithium aluminum hydride. I. Aldehydes, ketones, esters, acid chlorides and acid anhydrides. J. Am. Chem. Soc. 1947, 69, 1197–1199. [Google Scholar] [CrossRef]
- Corey, E. J.; Suggs, J.W. Pyridinium Chlorochromate. An efficient reagent for oxidation of primary and secondary alcohols to carbonyl compounds. Tetrahedron Lett. 1975, 31, 2647–2650. [Google Scholar] [CrossRef]
- Carey, F.A.; Sundberg, R.J. Advanced Organic Chemistry, Part B; Kluwer Academic/Plenum Publisher: New York, 2000; pp. 747–750. [Google Scholar]
- Sample Availability: Samples of compounds 3a and 3b are available from the authors.
© 2007 by MDPI (http://www.mdpi.org). Reproduction is permitted for noncommercial purposes.