Next Article in Journal
An Improved NMR Study of Liposomes Using 1-Palmitoyl-2-oleoyl-sn-glycero-3-phospatidylcholine as Model
Previous Article in Journal
A Handy and Solventless Direct Route to Primary 3-[3-Aryl)-1,2,4-oxadiazol-5-yl]propionamides Using Microwave Irradiation
 
 
Due to scheduled maintenance work on our servers, there may be short service disruptions on this website between 11:00 and 12:00 CEST on March 28th.
Font Type:
Arial Georgia Verdana
Font Size:
Aa Aa Aa
Line Spacing:
Column Width:
Background:
Article

Synthesis and Antitumor Evaluation of Novel Derivatives of 6-Amino-2-phenylbenzothiazoles

by
Livio Racane
1,
Ranko Stojkovic
2,
Vesna Tralic-Kulenovic
1 and
Grace Karminski-Zamola
3,*
1
Department of Applied Chemistry, Faculty of Textile Technology, University of Zagreb, Prilaz baruna Filipovića 30, 10000 Zagreb, Croatia
2
Division of Molecular Medicine, Ruder Boskovic Institute, Bijenicka cesta 54, 10000 Zagreb, Croatia
3
Division of Molecular Medicine, Ruder Boskovic Institute, Bijenicka cesta 54, 10000 Zagreb, Croatia
*
Author to whom correspondence should be addressed.
Molecules 2006, 11(5), 325-333; https://doi.org/10.3390/11050325
Submission received: 4 April 2006 / Revised: 20 April 2006 / Accepted: 24 April 2006 / Published: 9 May 2006

Abstract

:
Novel derivatives of 6-amino-2-phenylbenzothiazole bearing different substituents (amino, dimethylamino or fluoro) on the phenyl ring were prepared as the corresponding hydrochloride salts. 6-Nitro-2-(substituted-phenyl)benzothiazoles (1-6) were synthesized by condensation reactions of substituted benzaldehydes with 2-amino-5-nitrothiophenol. Nitro derivatives were reduced to the amino derivatives with SnCl2/HCl. Water soluble hydrochloride salts of 6-amino-2-(substituted-phenyl)benzothiazole (13-19) were prepared using concentrated or gaseous HCl. Compounds 13-19 were found to exert cytostatic activities against malignant human cell lines: cervical (HeLa), breast (MCF-7), colon (CaCo-2), laryngeal carcinoma (Hep-2), and normal human fibroblast cell lines (WI-38).

Introduction

The study of benzothiazole derivates is of considerable current interest as a result of their important biological and biophysical properties. 2-Aryl or 2-heteroaryl substituted benzothiazoles are studied as antitumor [1], antimicrobial [2], antifungal [3] agents, as well as imaging agents for β-amyloid [4]. A series of potent and selective antitumor agents derived from 2-(4-aminophenyl)benzothiazole was extensively examined and developed during recent years and the fluorinated analogue, 2-(4-amino-3-methylphenyl)-5-fluorobenzothiazole is a novel agent with potent and selective antitumor properties which in the form of its L-lysylamide prodrug, Phortress, is in early phase clinical studies [5].
In connection with our studies on the synthesis and biological properties of substituted benzothiazoles [6,7,8] we turned our attention to the synthesis and antitumor evaluation of novel 2-(substituted-phenyl)-6-aminobenzothiazole as analogous of 2-(4-aminophenyl)benzothiazole prepared as hydrochloride or dihydrochloride salts.

Results and Discussion

Synthesis

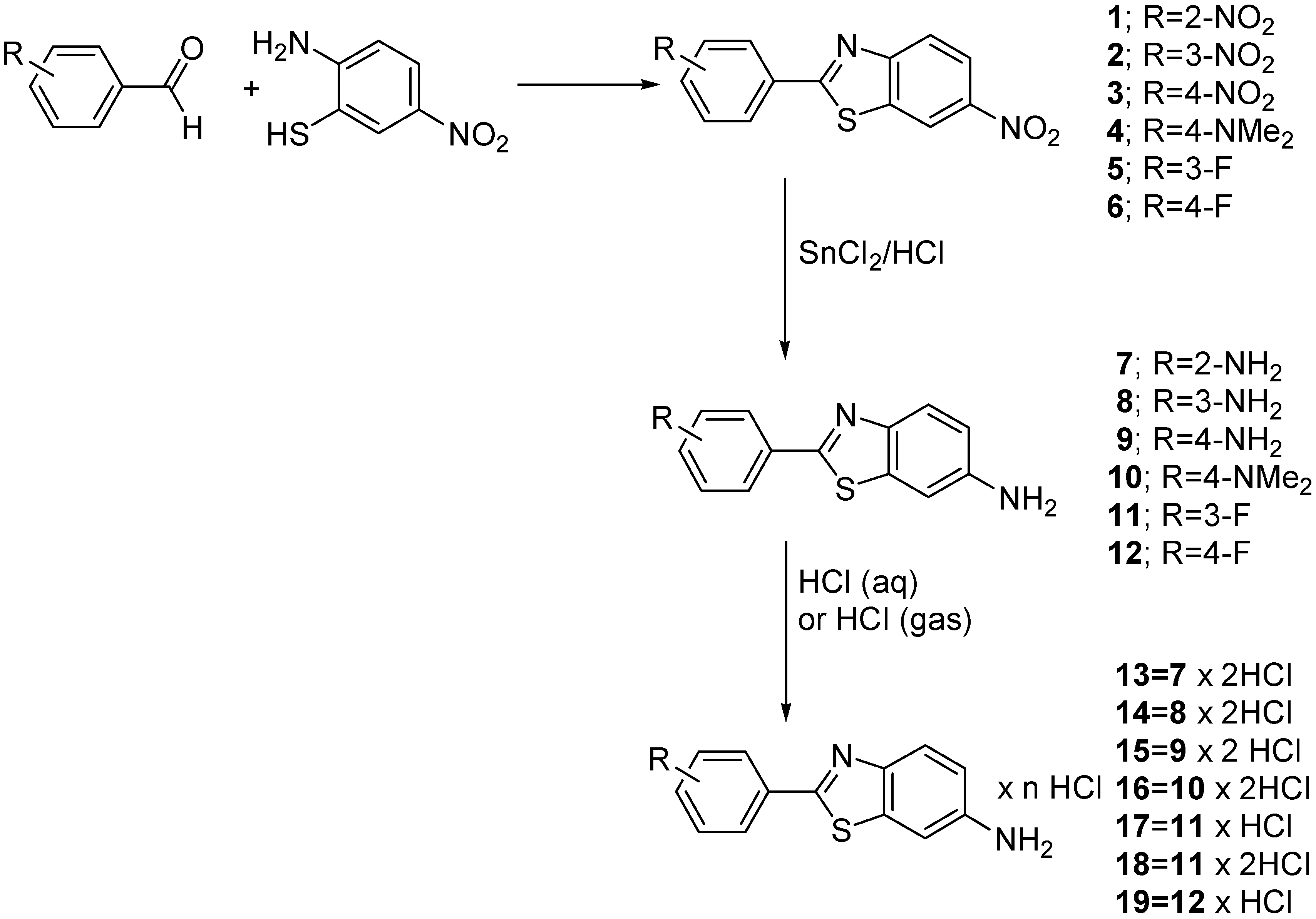
An efficient synthesis of 2-phenylbenzothiazole derivatives was carried out by the reactions outlined in Scheme 1.
Scheme 1.
Scheme 1.
Starting from 2-amino-5-nitrothiophenol (freshly prepared by basic hydrolysis of 6-nitrobenzothiazole) and the corresponding aromatic aldehyde 6-nitro-2-(monosubstituted phenyl)-benzothiazoles 1-6 were obtained in moderate yield (40-70%) by condensation in pyridine (procedure A). The reduction of nitro compounds was accomplished with SnCl2 in methanol-HCl mixtures in a short time at reflux giving the desired 6-amino-2-phenylbenzothiazole derivatives 7-12 in good yields of 70-80% (procedure B). Treating the solutions of amines 10-11 or diamines 7-9, dissolved in a mixture of abs. ethanol and xylene (1:1, v/v) with concd. hydrochloric acid (procedure C) the corresponding amines were protonated and isolated as pure hydrochlorides 13-17, 19 in excellent yields (91-99%) without recrystallization. The same products can be obtained in similar yields by treating the amines with gaseous HCl (procedure D). Only for 6-amino-2-(3-fluorophenyl)-benzothiazole (11) was selective preparation of the monohydrochloride salt 17 (procedure C) and the dihydrochloride salt 18 (procedure D), in which protonation occurs on both the amino and benzothiazole nitrogens possible. The structures of new compounds 1-19 were confirmed by elemental analysis and spectral data (IR, NMR). Due to a very low solubility of nitro compounds 2 and 3, only elemental analysis, and IR spectra were recorded.

Biological Activity

The effects of the seven water soluble compounds 13-19 were tested on the human malignant cell lines: cervical (HeLa), breast (MCF-7), colon (CaCo-2), laryngeal carcinoma (Hep-2) and normal human fibroblast cell lines (WI-38). Inhibitory effects are shown in Table 1.
Table 1.
Table 1.
Comp. IC50 (M)
No.HeLaCaCo-2HEP-2MCF7WI-38
136×10-44×10-39×10-56×10-44×10-3
143×10-38×10-44×10-57×10-54×10-5
159×10-51×10-42×10-56×10-57×10-3
164×10-38×10-45×10-52×10-47×10-5
178×10-59×10-52×10-54×10-54×10-4
189×10-51×10-43×10-53×10-57×10-5
195×10-53×10-49×10-64×10-58×10-5
All benzothiazoles tested exhibited moderate antitumour activity with IC50 values ranging from 9×10-6 to 4×10-3 M. Most sensitive cell lines were HEP-2 and MCF-7. Our results showed up that activity of the compounds investigated decreasing from ortho- meta- to para- position (p < 0.05) the fluoro substituted benzothiazoles 17, 18 and 19 being more active.

Experimental

General

Melting points were determined on a Kofler hot stage microscope and are uncorrected. IR spectra were recorded on a Nicolet Magna 760 spectrophotometer in KBr discs. 1H- and 13C-NMR spectra were recorded on either a Varian Gemini 300 or a Brucker Avance DPX 300 spectrometer. Chemical shifts (δ) are reported in parts per million (ppm) relative to tetramethylsilane (TMS) as an internal standard, and coupling constants (J) are given in hertz (Hz). Elemental analyses were carried out in the Microanalitical laboratory at the Rugjer Boskovic Institute. All compounds were routinely checked by TLC with Merck silica gel 60F-254 glass plates. 2-Amino-5-nitrothiophenole was prepared according to the procedure described for preparation of 2-amino-5-cyanothiophenole [9] from 6-nitro-benzothiazole.

Synthesis of 6-nitro-2-(substituted-phenyl)benzothiazoles 1-6

Procedure A: To a boiling solution of the appropriate substituted benzaldehyde (0.02 mol) in pyridine (20 mL), a solution of 2-amino-5-nitrothiophenole (0.02 mol) in pyridine (20 mL) was added dropwise, and the stirred reaction mixture was refluxed for 20 h. The mixture was then poured into 300 ml of 2 M hydrochloric acid and after cooling overnight the obtained crystalline product was filtered off and crystallized from appropriate solvent. Using this procedure the following compounds were prepared.
6-Nitro-2-(2-nitrophenyl)benzothiazole (1). Yield: 40.0% after crystallisation from xylene; mp 164-165°C; IR cm-1: 1569, 1517, 1348, 842, 756, 749, 721; 1H-NMR (DMSO-d6) δ: 9.33 (d, 1H, J = 2.0 Hz), 8.40 (dd, 1H, J = 2.0 Hz, J = 8.9 Hz), 8.26 (d, 1H, J = 8.9 Hz), 8.16 (d, 1H, J = 8.3 Hz), 8.06 (d, 1H, J = 8.1 Hz), 7.96-7.87 (m, 2H); Anal. Calcd. for C13H7N3O4S: C, 51.83; H, 2.34; N, 13.95; Found: C, 51.68; H, 2.40; N, 14.03.
6-Nitro-2-(3-nitrophenyl)benzothiazole (2). Yield: 70.9% (from xylene); mp 214-215 °C; IR cm-1: 1601, 1538, 1514, 1340, 829, 752, 739, 720; Anal. Calcd. for C13H7N3O4S: C, 51.83; H, 2.34; N, 13.95; Found: C, 51.99; H, 2.11; N, 13.90.
6-Nitro-2-(4-nitrophenyl)benzothiazole (3) Yield: 67.1% (from xylene); mp 256-257 °C; IR cm-1: 1606, 1517, 1346, 854, 754, 719; Anal. Calcd. for C13H7N3O4S: C, 51.83; H, 2.34; N, 13.95; Found: C, 51.92; H, 2.29; N, 13.88.
6-Nitro-2-(4-N,N-dimethylaminophenyl)benzothiazole (4). Yield: 66.1% (from xylene); mp 262-263 °C; IR cm-1: 1610, 1594, 1474, 1434, 1330, 810, 752; 1H-NMR (DMSO-d6) δ: 9.09 (s, 1H), 8.30 (d, 1H, J = 9.0 Hz), 8.05 (d, 1H, J = 9.0 Hz), 7.96 (d, 2H, J = 8.8 Hz), 6.85 (d, 2H, J = 8.8 Hz), 3.05 (s, 12H); Anal. Calcd for C15H13N3O2S: C, 60.18; H, 4.38; N, 14.04; Found: C, 60.41; H, 4.44; N, 14.30.
6-Nitro-2-(3-fluorophenyl)benzothiazole (5). Yield: 45.7% (from toluene); mp 199-200 °C; IR cm-1: 1588, 1515, 1448, 1343, 809, 785, 753; 1H-NMR (DMSO-d6) δ: 9.24 (d, 1H, J = 2.1 Hz), 8.35 (dd, 1H, J = 8.9 Hz, J = 2.3 Hz), 8.24 (d, 1H, J = 8.9 Hz), 7.99-7.93 (m, 2H), 7.65 (m, 1H), 7.49 (m, 1H); Anal. Calcd. for C13H7FN2O2S: C, 56.93; H, 2.57; N, 10.21; Found: C, 57.20; H, 2.63; N, 10.00.
6-Nitro-2-(4-fluorophenyl)benzothiazole (6). Yield: 58.2% (from xylene); mp 183-185 °C; IR cm-1: 1592, 1510, 1474, 1334, 839, 751; 1H-NMR (DMSO-d6) δ: 9.23 (d, 1H, J = 2.4 Hz), 8.36 (dd, 1H, J = 8.9 Hz, J = 2.4 Hz), 8.25-8.20 (m, 3H), 7.46 (dd, 2H, J = 8.8 Hz, J = 10.8 Hz); 13C-NMR (DMSO-d6) δ: 172.6, 164.6 (d, J = 251 Hz), 157.4, 144.6, 135.4, 130.4 (d, J = 9.3 Hz, 2C), 129.0, 123.3, 122.1, 119.7, 116.8 (d, J = 22.4 Hz, 2C); Anal. Calcd for C13H7FN2O2S: C, 56.93; H, 2.57; N, 10.21; Found: C, 56.74; H, 2.65; N, 10.02.

Synthesis of 6-amino-2-(substituted-phenyl) benzothiazoles 7-12

Procedure B: A solution of tin(II) chloride dihydrate (9 g, 0.04 mol), concd. HCl (18 mL) and methanol (18 mL) was added to the appropriate 6-nitro-2-(nitrophenyl)benzothiazole 1-3 (0.005 mol), or 0.01 mol of the compounds 4-6. The mixture was stirred and refluxed for 15 min. Methanol was removed by vacuum evaporation and the residue was dissolved in water. After basification to pH > 9 with 20% NaOH the product was extracted with ether and dried (MgSO4). The solvent was removed under reduced pressure and the white solid obtained was crystallised from the appropriate solvent. The following compounds were prepared by thus method:
6-Amino-2-(2-aminophenyl)benzothiazole (7). Yield: 74.5% (after crystallisation from toluene); mp 185-187 °C; IR cm-1: 3438, 3351, 3299, 1611, 1487, 817, 754; 1H-NMR (DMSO-d6) δ: 7.62 (d, 1H, J = 8.6 Hz), 7.47 (d, 1H, J = 7.6 Hz), 7.13 (s, 2H), 7.10 (d, 1H, J = 8.0 Hz), 7.04 (s, 1H), 6.79 (d, 1H, J = 8.3 Hz), 6.72 (m, 1H), 6.58 (m, 1H, J = 7.5 Hz), 5.42 (s, 2H); Anal. Calcd for C13H11N3S: C, 64.70; H, 4.59; N, 17.41; Found: C, 64.83; H, 4.63; N, 17.29.
6-Amino-2-(3-aminophenyl)benzothiazole (8). Yield: 68.2% (from xylene); mp 202-205 °C; IR cm-1: 3406, 3300, 3200, 1621, 1602, 1485, 815, 788; 1H-NMR (DMSO-d6) δ: 7.62 (d, 1H, J = 8.6 Hz), 7.19 (s, 1H), 7.13-7.02 (m, 3H), 6.74 (d, 1H, J = 8.6 Hz), 6.62 (d, 1H, J = 7.6 Hz), 5.44 (s, 2H), 5.35 (s, 2H); 13C-NMR (DMSO-d6) δ: 161.4, 149.2, 147.2, 145.1, 136.0, 134.0, 129.5, 122.9, 115.7, 114.9, 114.0, 111.3, 103.7; Anal. Calcd for C13H11N3S: C, 64.70; H, 4.59; N, 17.41; Found: C, 64.75; H, 4.42; N, 17.38.
6-Amino-2-(4-aminophenyl)benzothiazole (9). Yield: 68.8% (toluene); mp 263-265 °C; IR cm-1: 3456, 3365, 3304, 3193, 1621, 1606, 1488, 822; 1H-NMR (DMSO-d6) δ: 7.74 (d, 2H, J = 8.3 Hz), 7.67 (d, 1H, J = 8.6 Hz), 7.14 (s, 1H), 6.83 (d, 2H, J = 8.3 Hz), 5.84 (s, 2H), 5.43 (s, 2H); 13C-NMR (DMSO-d6) δ: 161.6, 151.0, 146.4, 145.4, 135.3, 127.8 (2C), 122.0, 120.9, 114.4, 113.5 (2C), 104.0; Anal. Calcd for C13H11N3S: C, 64.70; H, 4.59; N, 17.41; Found: C, 64.58; H, 4.50; N, 17.62.
6-Amino-2-(4-N,N-dimethylaminophenyl)benzothiazole (10). Yield: 68.7% (from xylene); mp 230-233°C; IR cm-1: 3459, 3306, 3188, 1610, 1489, 813; 1H-NMR (DMSO-d6) δ: 7.78 (d, 2H, J = 8.9 Hz), 7.60 (d, 1H, J = 8.6 Hz), 7.07 (d, 1H, J = 2.1 Hz), 6.81 (d, 2H, J = 8.9 Hz), 6.75 (dd, 1H, J = 2.1 Hz, J = 8.6 Hz), 5.36 (s, 2H), 3.02 (s, 6H); 13C-NMR (DMSO-d6) δ: 161.4, 151.4, 146.5, 145.4, 135.4, 127.5 (2C), 122.2, 120.9, 114.5, 111.8 (2C), 104.0, 39.7 (2C); Anal. Calcd for C15H15N3S: C, 66.88; H, 5.61; N, 15.60; Found: C, 66.95; H, 5.72; N, 15.52.
6-Amino-2-(3-fluorophenyl)benzothiazole (11). Yield: 74.6% (toluene-petroleum ether, 1:1, v/v); mp 127-128 °C; IR cm-1: 3408, 3312, 3218, 1602, 1442, 852, 827, 793; 1H-NMR (DMSO-d6) δ: 7.76-7.68 (m, 3H), 7.54 (m, 1H), 7.31 (m, 1H), 7.08 (s, 1H), 6.79 (d, 1H, J = 8.6 Hz), 5.57 (s, 2H); 13C-NMR (DMSO-d6) δ: 162.4 (d, J = 244 Hz), 158.7, 147.8, 144.9, 136.5, 135.6 (d, J = 8.2 Hz), 131.3 (d, J = 8.4 Hz), 123.4, 122.6 (d, J = 2.6 Hz), 116.8 (d, J = 21.0 Hz), 115.3, 112.5 (d, J = 23.0 Hz), 103.5. Anal. Calcd for C13H9FN2S: C, 63.92; H, 3.71; N, 11.47; Found: C, 63.73; H, 3.80; N, 11.52.
6-Amino-2-(4-fluorophenyl)benzothiazole (12). Yield: 79.3% (from toluene-petroleum ether, 1:1, v/v); mp 156-157 °C; IR cm-1: 3407, 3314, 3218, 1606, 1487, 839, 827, 801; 1H-NMR (DMSO-d6) δ: 7.97 (dd, 2H, J = 8.6 Hz, J = 5.3 Hz), 7.66 (d, 1H, J = 8.6 Hz), 7.33 (dd, 2H, J = 8.6 Hz, J = 10.3 Hz), 7.07 (s, 1H), 6.77 (d, 1H, J = 8.6 Hz), 5.50 (s, 2H); 13C-NMR (DMSO-d6) δ: 163.2 (d, J = 247 Hz), 159.3, 147.6 145.2, 136.5, 130.2, 128.7 (d, J = 7.7 Hz), 123.3, 116.3 (d, J = 21.8 Hz), 115.3, 103.8; Anal. Calcd for C13H9FN2S: C, 63.92; H, 3.71; N, 11.47; Found: C, 63.78; H, 3.85; N, 11.55.

Synthesis of amine hydrochloride salts 13-19.

Procedure C: The amines 7-12 (0.005 mol) were dissolved in a warm mixture of ethanol and xylene (1:1, v/v) followed by the addition of concd. HCl (1.0 mL). The contents were stirred in a stoppered flask for 4 h. The precipitated pure crystals were collected by filtration, washed with dry ether, and dried in vacuo. The following compounds were prepared by this method:
6-Amino-2-(2-aminophenyl)benzothiazole dihydrochloride (13). Yield: 96.6%; mp 224-227 °C; IR cm-1: 2816, 2662, 2524, 1486, 1463, 980, 767; 1H-NMR (DMSO-d6) δ: 8.11 (s, 1H), 8.07 (d, 1H, J = 8.6 Hz), 7.64 (d, 1H, J = 8.0 Hz), 7.49 (d, 1H, J = 8.6 Hz), 7.24 (dd, 1H, J = 8.0 Hz, J = 7.3 Hz), 6.29 (d, 1H, J = 8.3 Hz), 6.69 (dd, 1H, J = 7.7 Hz, J = 7.3), 4.78 (br s); 13C-NMR (DMSO-d6) δ: 169.6, 152.7, 144.2, 133.7, 132.3, 130.4, 129.2 (2C), 123.2, 122.3, 118.8, 117.1, 115.7; Anal. Calcd for C13H13Cl2N3S: C, 49.69; H, 4.18; N, 13.37; Cl, 22.56; Found: C, 49.55; H, 4.15; N, 13.37; Cl, 22.38.
6-Amino-2-(3-aminophenyl)benzothiazole dihydrochloride (14). Yield: 97.4%; mp 253-255 °C; IR cm-1: 2896, 2605, 1595, 1521, 1456, 818, 786; 1H-NMR (DMSO-d6) δ: 8.05 (d, 1H, J = 8.6 Hz), 7.97 (s, 1H), 7.88 (s, 1H), 7.80 (d, 1H, J = 7.7 Hz), 7.53 (dd, 1H, J = 8.0 Hz, J = 7.7 Hz), 7.40 (d, 1H, J = 8.8 Hz), 7.32 (d, 1H, J = 7.7 Hz); 13C-NMR (DMSO-d6) δ: 167.2, 152.4, 135.5, 134.3, 133.8, 131.0, 130.5, 126.1, 125.8, 124.0, 122.2, 121.1, 116.9; Anal. Calcd for C13H13Cl2N3S: C, 49.69; H, 4.18; N, 13.37; Cl, 22.56; Found: C, 49.70; H, 4.10; N, 13.35; Cl, 22.63.
6-Amino-2-(4-aminophenyl)benzothiazole dihydrochloride (15). Yield: 99.3%; mp 247-248 °C; IR cm-1: 2852, 2554, 1605, 1507, 1485, 974, 822; 1H-NMR (DMSO-d6) δ: 7.95-7.92 (m, 2H), 7.79 (d, 2H, J = 8.7 Hz), 7.36 (d, 1H, J = 8.3 Hz), 6.76 (d, 2H, J = 8.7 Hz), 4.41 (br s); 13C-NMR (DMSO-d6) δ: 168.5, 152.7, 143.5, 135.1 (2C), 129.4 (2C), 128.9, 126.1, 123.2, 122.0, 119.4, 116.9; Anal. Calcd for C13H13Cl2N3S: C, 49.69; H, 4.18; N, 13.37; Cl, 22.56; Found: C, 49.68; H, 4.06; N, 13.37; Cl, 22.64.
6-Amino-2-(4-N,N-dimethylaminophenyl)benzothiazole dihydrochloride (16). Yield: 99.5%; mp 240-242 °C; IR cm-1: 2796, 2568, 2453, 1607, 1519, 841; 1H-NMR (DMSO-d6) δ: 8.06 (s, 1H), 7.99 (d, 1H, J = 8.6 Hz), 7.89 (d, 2H, J = 8.9 Hz), 7.44 (d, 1H, J = 8.6 Hz), 6.85 (d, 2H, J = 8.9 Hz), 3.01 (s, 6H); 13C-NMR (DMSO-d6) δ: 169.8, 152.0, 150.2, 134.5, 128.9 (2C), 127.6, 122.6, 122.4, 121.6, 116.5, 114.7 (2C), 41.2 (2C); Anal. Calcd for C15H17Cl2N3S: C, 52.63; H, 5.01; N, 12.27; Cl, 20.71; Found: C, 52.60; H, 4.97; N, 12.23; Cl, 20.80.
6-Amino-2-(3-fluorophenyl)benzothiazole monohydrochloride (17). Yield: 96.1%; mp 206-207 °C; IR cm-1: 2806, 2589, 1585, 1514, 1265, 848, 787; 1H-NMR (DMSO-d6) δ: 8.06 (d, 1H, J = 8.6 Hz), 7.99 (s, 1H), 7.89-7.83 (m, 2H), 7.60 (dd, 1H, J = 7.3 Hz, J = 7.0 Hz), 7.44-7.38 (m, 2H), 3.95 (br s, 3H); 13C-NMR (DMSO-d6) δ: 166.1, 162.4 (d, J = 245 Hz), 151.5, 135.5, 134.7 (d, J = 8.2 Hz), 132.0, 131.6 (d, J = 8.3 Hz), 123.8, 123.4 (d, J = 2.6 Hz), 121.4, 118.2 (d, J = 21.0 Hz), 115.4, 113.4 (d, J = 22.4 Hz); Anal. Calcd for C13H10ClFN2S: C, 55.62; H, 3.60; N, 9.98; Cl, 12.63; Found: C, 55.43; H, 3.56; N, 9.79; Cl, 12.81.
6-Amino-2-(4-fluorophenyl)benzothiazole monohydrochloride (19). Yield: 91.3%; mp 245-247 °C; IR cm-1: 3058, 2854, 2586, 1602, 1488, 1237, 839, 816; 1H-NMR (DMSO-d6) δ: 8.13 (dd, 2H, J = 5.6 Hz, J = 8.3 Hz), 8.06 (d, 1H, J = 8.6 Hz), 7.97 (s, 1H), 7.45-7.37 (m, 3H), 3.63 (br s); 13C-NMR (DMSO-d6) δ: 166.7, 163.9 (d, J = 245 Hz), 151.8, 135.5, 131.0, 129.5 (d, J = 8.9 Hz, 2C), 129.1, 123.6, 121.1, 116.5 (d, J = 22.2 Hz, 2C), 115.3; Anal. Calcd for C13H10ClFN2S: C, 55.62; H, 3.60; N, 9.98; Cl, 12.63; Found: C, 55.45; H, 3.56; N, 9.87; Cl, 12.78.
Procedure D: The amines 7-12 (0.005 mol) were dissolved in a warm mixture of ethanol and xylene (1:1, v/v). A stream of dry hydrogen chloride was passed through the solution for 1 h while cooling to room temperature. The contents were then stirred in a stoppered flask for 2 h. The precipitated pure crystals were collected by filtration, washed with dry ether, and dried in vacuo. The following compound was prepared by this method:
6-Amino-2-(3-fluorophenyl)benzothiazole dihydrochloride (18). Yield: 97.2%; mp 209-210 °C; IR cm-1: 3045, 2798, 2590, 2541, 1588, 1486, 861, 795; 1H-NMR (DMSO-d6) δ: 8.17-8.14 (m, 2H), 7.94-7.88 (m, 2H), 7.64 (dd, 1H, J = 7.6 Hz, J = 6.3 Hz), 7.53 (d, 1H, J = 8.6 Hz), 7.46 (m, 1H), 4.45 (br s); 13C-NMR (DMSO-d6) δ: 167.2, 162.4 (d, J = 244 Hz), 152.4, 135.3, 134.6 (d, J = 8.2 Hz), 131.6 (d, J = 8.4 Hz), 129.7, 123.8, 123.6, 122.3, 118.4 (d, J = 20.9 Hz), 117.2, 113.5 (d, J = 21.4 Hz); Anal. Calcd for C13H11Cl2FN2S: C, 49.22; H, 3.50; N, 8.83; Cl, 22.35; Found: C, 49.45; H, 3.50; N, 8.98; Cl, 22.30.

Cell culture

Five different human cell lines were used for cytotoxicity screening: colon adenocarcinoma (CaCo-2), cervical adenocarcinoma (HeLa), laryngeal carcinoma (Hep-2), mammary adenocarcinoma (MCF7), lung fibroblast (WI-38). Cells were seeded in tissue culture flasks (Sarstedt, Numbrecht, Germany) in Dulbecco's Modified Eagle medium (DMEM) (Gibco, Paisley, Scotland) supplemented with 10% foetal bovine serum (FBS; Gibco), 2 mM glutamine, 100 U/mL penicillin, and 100 µg/mL streptomycin in a humidified atmosphere with 5% CO2 at 37 °C. The cultures were passaged at preconfluent densities with the use of 0.025% trypsin (Institute of Immunology, Zagreb, Croatia).

Cytotoxicity assays

For the experiments the cells were seeded onto 96-well microtiter plates at a density of 2 x 103 cells per well and allowed to adhere for 24 h before the benzothiazoles were added over a concentration range of 1-100 µM. Stock solutions of benzothiazoles were dissolved in DMSO (Sigma, Deisenhofen, Germany) at the concentration of 0.1 M and were diluted with medium without bovine calf serum. The DMSO concentration was adjusted to be the same in test and control plates (1%). All drug solutions were freshly prepared on the day of testing. After incubation with benzothiazoles for 72 h, cell growth was established according to the results of MTT assay [10] - Sigma, Deisenhofen, Germany. Each experiment was made in quadruplicate and repeated three times. The absorbency was measured on a microplate reader at 570 nm. (Labsystems, Finland) The percentage of growth (PG) of the cell lines was calculated according to the following expression:
[(Ti - Tz) / (C - Tz)] x 100 for concentrations for which Ti > / = Tz %
where mean Tz = the average of optical density measurements before exposure of cells to the test compound, mean Ti = the average of optical density measurements after the desired period of time, and mean C = the average of optical density measurements after the desired period of time with no exposure of cells to the test compound. The results are expressed as IC50, which is the concentration necessary for 50% inhibition. The IC50 values for each compound are calculated from dose response curves using linear regression analysis by fitting the test concentrations that give PG values above and below the reference value (i.e. 50%). Each result is a mean of IC50 ± SD value from three separate experiments.

Acknowledgements

Support of this study by the Ministry of Science and Technology, Republic of Croatia (Projects No 0125005 and 0098145) is gratefully acknowledged.

References

  1. O’Brien, S.E.; Browne, H.L.; Bradshaw, T.D.; Westwell, A.D.; Stevens, M.F.G.; Laughton, C.A. Antitumor benzothiazoles. Frontier molecular orbital analysis predicts bioactivation of 2-(4-aminophenyl)benzothiazoles to reactive intermediates by cytochrome P4501A1. Org. Biomol. Chem. 2003, 1, 493–497. [Google Scholar]
  2. Yildiz-Oren, I.; Yalcin, I.; Aki-Sener, E.; Ucarturk, N. Synthesis and structure-activity relationships of new antimicrobial active multisubstituted benzazole derivatives. Eur. J. Med. Chem. 2004, 39, 291–298. [Google Scholar] [CrossRef]
  3. Ra, C.S.; Jung, B.Y.; Park, G. The fungicidal benzothiazole metoxyacrylates: Synthesis, conformation analysis and fungicidal activity. Heterocycles 2004, 62, 793–802. [Google Scholar]
  4. Khurana, R.; Coleman, C.; Ionescu-Zanetti, C.; Carter, S.A.; Krishna, V.; Grover, R.K.; Roy, R.; Singh, S. Mechanism of thioflavin T binding to amyloid fibrils. J. Struct. Biol. 2005, 151, 229–238. [Google Scholar] [CrossRef]
  5. Leong, C.O.; Suggitt, M.; Swaine, D.J.; Bibby, M.C.; Stevens, M.F.G.; Bradshaw, T.D. In vitro, in vivo, and in silico analyses of the antitumor activity of 2-(4-amino-3-methylphenyl)-5-fluorobenzothiazoles. Mol. Cancer Therapeutics 2004, 3, 1565–1575. [Google Scholar]
  6. Racanè, L.; Tralić-Kulenović, V.; Boykin, D.W.; Karminski-Zamola, G. Synthesis of new cyano-substituted bis-benzothiazolyl arylfurans and arylthiophenes. Molecules 2003, 8, 342–348. [Google Scholar] [CrossRef]
  7. Racanè, L.; Tralić-Kulenović, V.; Fišer-Jakić, L.; Boykin, D.W.; Karminski-Zamola, G. Synthesis of bis-substituted amidinobenzothiazoles as potential anti-HIV agents. Heterocycles 2001, 55, 2085–2098. [Google Scholar]
  8. Ćaleta, I.; Grdiša, M.; Mrvoš-Sermek, D.; Cetina, M.; Tralić-Kulenović, V.; Pavelić, K.; Karminski-Zamola, G. Synthesis, crystal structure and antiproliferative evaluation of some new substituted benzothiazoles and styrylbenzothiazoles. Il Farmaco 2004, 59, 297–305. [Google Scholar]
  9. Tralić-Kulenović, V.; Karminski-Zamola, G.; Racanè, L.; Fišer-Jakić, L. Synthesis of symmetric and unsymmetric bis-cyanosubstituted heterocycles. Heterocyclic Comm. 1998, 4, 423–428. [Google Scholar]
  10. Horiuchi, N.; Nakagawa, K.; Sasaki, Y.; Minato, K.; Fujiwara, Y.; Nezu, K.; Ohe, Y.; Saijo, N. In vitro antitumour activity of mitomycin C derivative (RM-49) and new anticancer antibiotics (FK973) against lung cancer cell lines determined by tetrazolium dye (MTT) assay. Cancer Chemother. Pharmacol. 1988, 22, 246–250. [Google Scholar]
  • Sample availability: Available from the author.

Share and Cite

MDPI and ACS Style

Racane, L.; Stojkovic, R.; Tralic-Kulenovic, V.; Karminski-Zamola, G. Synthesis and Antitumor Evaluation of Novel Derivatives of 6-Amino-2-phenylbenzothiazoles. Molecules 2006, 11, 325-333. https://doi.org/10.3390/11050325

AMA Style

Racane L, Stojkovic R, Tralic-Kulenovic V, Karminski-Zamola G. Synthesis and Antitumor Evaluation of Novel Derivatives of 6-Amino-2-phenylbenzothiazoles. Molecules. 2006; 11(5):325-333. https://doi.org/10.3390/11050325

Chicago/Turabian Style

Racane, Livio, Ranko Stojkovic, Vesna Tralic-Kulenovic, and Grace Karminski-Zamola. 2006. "Synthesis and Antitumor Evaluation of Novel Derivatives of 6-Amino-2-phenylbenzothiazoles" Molecules 11, no. 5: 325-333. https://doi.org/10.3390/11050325

APA Style

Racane, L., Stojkovic, R., Tralic-Kulenovic, V., & Karminski-Zamola, G. (2006). Synthesis and Antitumor Evaluation of Novel Derivatives of 6-Amino-2-phenylbenzothiazoles. Molecules, 11(5), 325-333. https://doi.org/10.3390/11050325

Article Metrics

Back to TopTop