Electrochemical Removal of Cesium Ions via Capacitive Deionization Using an Ion-Exchange Layer Coated on a Carbon Electrode
Abstract
:1. Introduction
2. Materials and Methods
2.1. Preparation of a Carbon Electrode
2.2. Electrochemical Property of a Carbon Electrode
2.3. Capacitive Deionization Experiment
3. Results and Discussion
3.1. Charaterization of the Electrodes
3.2. Electrochemical Charaterization of the Electrodes
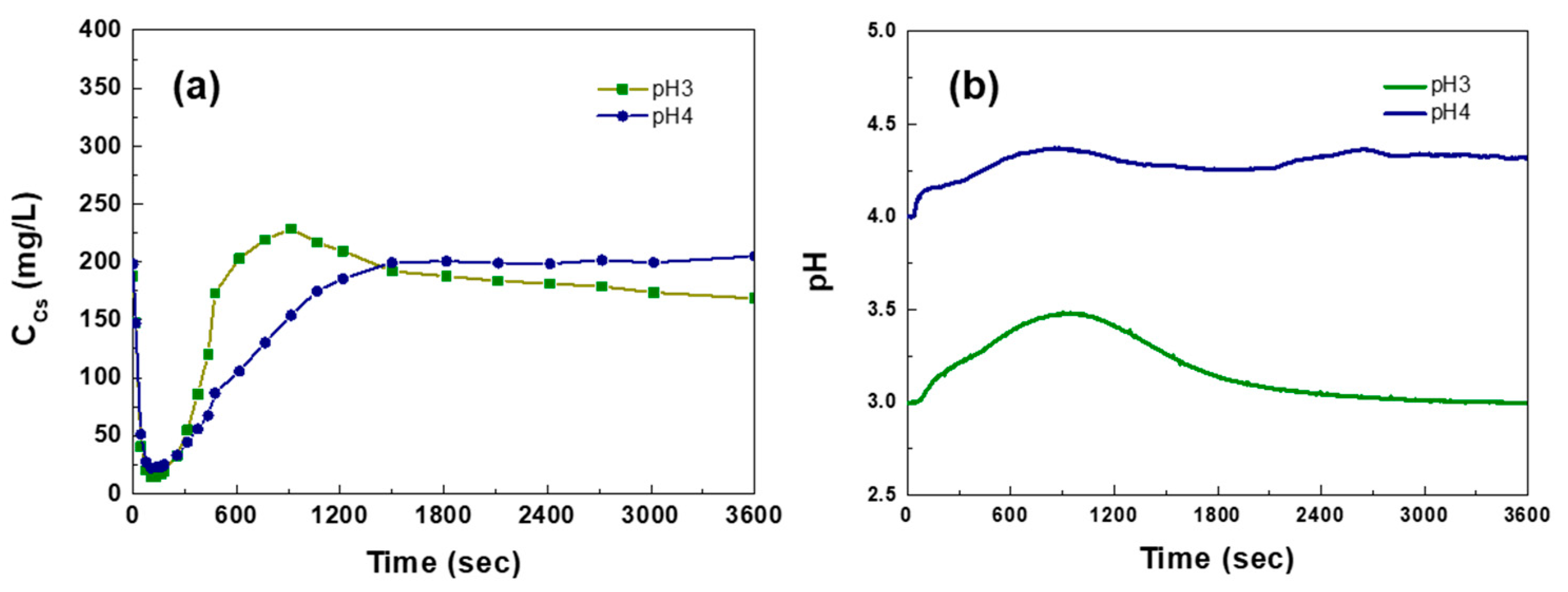
3.3. CDI Performance of the Electrodes
4. Conclusions
Supplementary Materials
Author Contributions
Funding
Institutional Review Board Statement
Informed Consent Statement
Data Availability Statement
Acknowledgments
Conflicts of Interest
References
- Yoshihara, T.; Matsumura, H.; Hashida, S.; Nagaoka, T. Radiocesium contaminations of 20 wood species and corresponding gamma-ray rates around the canopies at 5 months after the Fukushima nuclear power plant accident. J. Envrion. Radioact. 2013, 115, 60–68. [Google Scholar] [CrossRef] [Green Version]
- Castrillejo, M.; Casacuberta, N.; Breier, C.F.; Pike, S.M.; Masque, P.; Buesseler, K.O. Reassessment of 90Sr, 137Cs, and 134Cs in the coast off Japan derived from the Fukushima Dai-Ichi nuclear accident. Environ. Sci. Technol. 2016, 50, 173–180. [Google Scholar] [CrossRef] [PubMed]
- Hoeve, J.E.T.; Jacobson, M.Z. Worldwide health effects of the Fukushima Daiichi nuclear accident. Energy Environ. Sci. 2012, 5, 8743–8757. [Google Scholar] [CrossRef] [Green Version]
- Lee, C.P.; Kuo, Y.M.; Tsai, S.C.; Wei, Y.Y.; Teng, S.P.; Hsu, C.N. Numerical analysis for characterizing the sorption/desorption of cesium in crushed granite. J. Radioanal. Nucl. Chem. 2008, 275, 343. [Google Scholar] [CrossRef]
- Kumamoto, Y.; Aoyama, M.; Hamajima, Y.; Murata, A.; Kawano, T. Impact of Fukushima-derived radiocesium in the western North Pacific Ocean about ten months after the Fukushima Dai-ichi nuclear power plant accident. J. Environ. Radioact. 2015, 140, 114–122. [Google Scholar] [CrossRef] [Green Version]
- Avramenko, V.; Bratskaya, S.; Zheleznov, V.; Sheveleva, I.; Voitenko, O.; Sergienko, V. Colloid stable sorbents for cesium removal: Preparation and application of latex particles functionalized with transition metals ferrocyanides. J. Hazard Mater. 2011, 186, 1343–1350. [Google Scholar] [CrossRef] [PubMed]
- Yang, H.M.; Park, C.W.; Kim, I.K.; Yoon, I.H. Hollow flower-like titanium ferrocyanide structure for the highly efficient removal of radioactive cesium form water. Chem. Eng. J. 2020, 392, 123713. [Google Scholar] [CrossRef]
- Duhart, A.; Dozol, J.F.; Rouquette, H.; Deratani, A. Selective removal of cesium from model nuclear waste solutions using a solid membrane composed of an unsymmetrical calix[4] arenebiscrown-6 bonded to an immobilized polysiloxane backbone. J. Membr. Sci. 2001, 185, 145–155. [Google Scholar] [CrossRef]
- Delchet, C.; Tokarev, A.; Dumail, X.; Toquer, G.; Barre, Y.; Guari, Y.; Guerin, C.; Larionova, J.; Grandjean, A. Extraction of radioactive cesium using innovative functionalized porous materials. RSC Adv. 2012, 2, 5707–5716. [Google Scholar] [CrossRef]
- Lee, B.; Park, N.; Kang, K.S.; Ryu, H.J.; Hong, S.H. Enhanced capacitive deionization by dispersion of CNTs in activated carbon electrode. ACS Sustain. Chem. Eng. 2018, 6, 1572–1579. [Google Scholar] [CrossRef]
- Porada, S.; Zhao, R.; van der Wal, A.; Presser, V.; Biesheuvel, P.M. Review on the science and technology of water deslination by capacitive deionization. Prog. Mater. Sci. 2013, 58, 1388–1442. [Google Scholar] [CrossRef] [Green Version]
- Kim, D.I.; Dorji, P.; Gwak, G.; Phuntsho, S.; Hong, S.; Shon, H. Reuse of municipal wastewater via membrane capacitive deionization using ion-selective polymer-coated carbon electrodes in pilot-scale. Chem. Eng. J. 2019, 372, 241–250. [Google Scholar] [CrossRef]
- Choi, J.; Lee, H.; Hong, S. Capacitive deionization (CDI) integrated with monovalent cation selective membrane for producing divalent cation-rich solution. Desalination 2016, 400, 38–46. [Google Scholar] [CrossRef]
- Mossad, M.; Zou, L. A study of the capacitive deionization performance under various operational conditions. J. Hazard Mater. 2012, 213, 491–497. [Google Scholar] [CrossRef]
- Pastushok, O.; Zhao, F.; Ramasamy, D.L.; Sillanpää, M. Nitrate removal and recovery by capacitive deionization (CDI). Chem. Eng. J. 2019, 375, 121943. [Google Scholar] [CrossRef]
- Park, K.K.; Lee, J.B.; Park, P.Y.; Yoon, S.W.; Moon, J.S.; Eum, H.M.; Lee, C.W. Development of a carbon sheet electrode for electrosorption desalination. Desalination 2007, 206, 86–91. [Google Scholar] [CrossRef]
- Welgemoed, T.J.; Schutte, C.F. Capacitive Deionization TechnologyTM: An alternative desalination solution. Desalination 2005, 183, 327–340. [Google Scholar] [CrossRef]
- Tang, W.; Kovalsky, P.; He, D.; Waite, T.D. Fluoride and nitrate removal from brackish groundwaters by batch-mode capacitive deionization. Water Res. 2015, 84, 342–349. [Google Scholar] [CrossRef] [PubMed]
- Laxman, K.; Myint, M.T.Z.; Al-Abri, M.; Sathe, P.; Dobretsov, S.; Dutta, J. Desalination and disinfection of inland brackish ground water in a capacitive deionization cell using nanoporous activated carbon cloth electrodes. Desalination 2015, 632, 126–132. [Google Scholar] [CrossRef]
- Wimalasiri, Y.; Mossad, M.; Zou, L. Thermodynamics and kinetics of adsorption of ammonium ions by graphene laminate electrodes in capacitive deionization. Desalination 2015, 357, 178–188. [Google Scholar] [CrossRef]
- Oda, H.; Nakagawa, Y. Removal of ionic substances from dilute solution using activated carbon electrodes. Carbon 2003, 41, 1037–1047. [Google Scholar] [CrossRef]
- Liu, X.J.; Wang, J.L. Electro-adsorption characteristics and mechanism of Sr2+ ions by capacitive deionization and CFD analysis study. Prog. Nucl. Energy 2021, 133, 103628. [Google Scholar] [CrossRef]
- Liu, X.J.; Wang, J.L. Electro-assisted adsorption of Cs(I) and Co(II) from aqueous solution by capacitive deionization with activated carbon cloth/graphene oxide composite electrode. Sci. Total Environ. 2020, 749, 141524. [Google Scholar] [CrossRef] [PubMed]
- Huyskens, C.; Helsen, J.; Groot, W.J.; de Haan, A.B. Membrane capacitive deionization for biomass hydrolysate desalination. Sep. Purif. Technol. 2013, 118, 33–39. [Google Scholar] [CrossRef]
- Shen, Y.Y.; Wu, S.W.; Hou, C.H. Exploring the electrosorption selectivity and recovery of indium ions with capacitive deionization in acidic solution. J. Colloid Interf. Sci. 2021, 586, 819–829. [Google Scholar] [CrossRef]
- Tang, W.; He, D.; Zhang, C.; Waite, T.D. Optimization of sulfate removal from brackish water by membrane capacitive deionization (MCDI). Water Res. 2017, 121, 302–310. [Google Scholar] [CrossRef] [PubMed]
- Liang, P.; Yuan, L.; Yang, X.; Zhou, S.; Huang, X. Coupling ion-exchangers with inexpensive activated carbon fiber electrodes to enhance the performance of capacitive deionization cells for domestic wastewater desalination. Water Res. 2013, 47, 2523–2530. [Google Scholar] [CrossRef]
- Jiang, J.; Kim, D.I.; Dorji, P.; Phuntsho, S.; Hong, S.; Shon, H.K. Phosphorus removal mechanisms from domestic wastewater by membrane capacitive deionization and system optimization for enhanced phosphate removal. Process Saf. Environ. 2019, 126, 44–52. [Google Scholar] [CrossRef]
- Zhang, D.; Yan, T.; Shi, L.; Peng, Z.; Wen, X.; Zhang, J. Enhanced capacitive deionization performance of graphene/carbon nanotube composites. J. Mater. Chem. 2012, 22, 14696. [Google Scholar] [CrossRef]
- Zhao, R.; Biesheuvel, P.M.; Miedema, H.; Bruning, H.; van der Wal, A. Charge Efficiency: A Functional Tool to Probe the Double-Layer Structure Inside of Porous Electrodes and Application in the Modeling of Capacitive Deionization. J. Phys. Chem. Lett. 2010, 1, 205–210. [Google Scholar] [CrossRef]
- He, D.; Wong, C.E.; Tang, W.; Kovalsky, P.; Waite, T.D. Faradaic reactions in water desalination by batch-mode capacitive deionization. Environ. Sci. Technol. Lett. 2016, 3, 222–226. [Google Scholar] [CrossRef]
- Kim, T.; Yu, J.; Kim, C.; Yoon, J. Hydrogen peroxide generation in flow-mode capacitive deionization. J. Electroanal. Chem. 2016, 776, 101–104. [Google Scholar] [CrossRef]
- Shapira, B.; Avraham, E.; Aurbach, D. Side reactions in capacitive deionization (CDI) processes: The role of oxygen reduction. Electrochim. Acta 2016, 220, 285–295. [Google Scholar] [CrossRef]
- Boo, H.; Park, S.; Ku, B.; Kim, Y.; Park, J.H.; Kim, H.C.; Chung, T.D. Ionic strength controlled virtual area of mesoporous platinum electrode. J. Am. Chem. Soc. 2004, 126, 4524–4525. [Google Scholar] [CrossRef] [PubMed]
- Kim, N.; Lee, E.; Su, X.; Kim, C. Parametric investigation of the desalination performance in multichannel membrane capacitive deionization (MC-MCDI). Desalination 2021, 503, 114950. [Google Scholar] [CrossRef]
- Skwarek, E.; Bolbukh, Y.; Tertykh, V.; Janusz, W. Electrokinetic properties of the pristine and oxidized MWCNT depending on the electrolyte type and concentration. Nanoscale Res. Lett. 2016, 11, 1–17. [Google Scholar] [CrossRef] [Green Version]









| Type | Sample | |||
|---|---|---|---|---|
| Powder | Activated carbon | 1250.27 | 0.55 | 1.77 |
Publisher’s Note: MDPI stays neutral with regard to jurisdictional claims in published maps and institutional affiliations. |
© 2021 by the authors. Licensee MDPI, Basel, Switzerland. This article is an open access article distributed under the terms and conditions of the Creative Commons Attribution (CC BY) license (https://creativecommons.org/licenses/by/4.0/).
Share and Cite
Lee, S.-H.; Choi, M.; Moon, J.-K.; Lee, S.; Choi, J.; Kim, S. Electrochemical Removal of Cesium Ions via Capacitive Deionization Using an Ion-Exchange Layer Coated on a Carbon Electrode. Appl. Sci. 2021, 11, 10042. https://doi.org/10.3390/app112110042
Lee S-H, Choi M, Moon J-K, Lee S, Choi J, Kim S. Electrochemical Removal of Cesium Ions via Capacitive Deionization Using an Ion-Exchange Layer Coated on a Carbon Electrode. Applied Sciences. 2021; 11(21):10042. https://doi.org/10.3390/app112110042
Chicago/Turabian StyleLee, Sang-Hun, Mansoo Choi, Jei-Kwon Moon, Songbok Lee, Jihoon Choi, and Seonbyeong Kim. 2021. "Electrochemical Removal of Cesium Ions via Capacitive Deionization Using an Ion-Exchange Layer Coated on a Carbon Electrode" Applied Sciences 11, no. 21: 10042. https://doi.org/10.3390/app112110042
APA StyleLee, S.-H., Choi, M., Moon, J.-K., Lee, S., Choi, J., & Kim, S. (2021). Electrochemical Removal of Cesium Ions via Capacitive Deionization Using an Ion-Exchange Layer Coated on a Carbon Electrode. Applied Sciences, 11(21), 10042. https://doi.org/10.3390/app112110042
