Next Article in Journal
Comments on "A Law of Information Growth"
Previous Article in Journal
Entropy Enters Its Fourth Year
 
 
Font Type:
Arial Georgia Verdana
Font Size:
Aa Aa Aa
Line Spacing:
Column Width:
Background:
Article

Algorithmic Complexity in Cosmology and Quantum Gravity

1
Dept. Phys.and Microel. Engineer., Kyrgyz-Russian Slavic University, Bishkek, Kievskaya Str. 44, 720000, Kyrgyz Republic
2
Physics Dept.,CSU Fresno,2345 East San Ramon Ave.M/S 37 Fresno, CA 93740-8031, USA
*
Author to whom correspondence should be addressed.
Entropy 2002, 4(1), 3-31; https://doi.org/10.3390/e4010003
Submission received: 13 August 2001 / Accepted: 21 December 2001 / Published: 30 January 2002

Abstract

:
In this article we use the idea of algorithmic complexity (AC) to study various cosmological scenarios, and as a means of quantizing the gravitational interaction. We look at 5D and 7D cosmological models where the Universe begins as a higher dimensional Planck size spacetime which fluctuates between Euclidean and Lorentzian signatures. These fluctuations are governed by the AC of the two different signatures. At some point a transition to a 4D Lorentzian signature Universe occurs, with the extra dimensions becoming “frozen” or non-dynamical. We also apply the idea of algorithmic complexity to study composite wormholes, the entropy of black holes, and the path integral for quantum gravity. Some of the physical consequences of the idea presented here are: the birth of the Universe with a fluctuating metric signature; the transition from a fluctuating metric signature to Lorentzian one; “frozen” extra dimensions as a consequence of this transition; quantum handles in the spacetime foam as regions with multidimensional gravity.

1 Introduction

The modern cosmological paradigm is that Universe started from the Big Bang, which was the origin not only of all matter and energy, but also gave rise to the physical laws of Nature: Einstein gravity, Yang-Mills equations, quantum mechanics etc. In this article we examine the possibility that the Big Bang was a quantum birth (i.e. a quantum fluctuation) of the Universe from Nothing. With this view one can imagine that there could exist other Universes with different physical laws (e.g. non-Einstein gravity). Thus one would like to assign some probability for a given Universe to fluctuate into existence. Based on path integral ideas one can write the probability for a given Universe to come into existence as
P = A exp(−S)
S is an action which has contributions from the fields that occur in the given Universe, and the factor A is connected with the type of physical laws in the Universe. Such an expression is only valid at or near the Planck scale.
These arguments lead to the following assumption: on the Planck scale the physical laws can describe fluctuating processes. This implies that there is “something” that distinguishes one set of physical laws from another. This “something” influences what kind of Universe with what kind of physical laws will appear. Intuitively we expect that the simpler a physical law (e.g. the field equations) the more probable is the corresponding Universe. This is a free rendering of Einstein’s idea that “Everything should be made as simple as possible, but not simpler.” The problem is how to recognize or formulate this “something”. Our proposal is that this “something” is connected with Kolmogorov’s ideas on algorithmic complexity (AC). In this approach any physical system (e.g. the Universe) can be thought of in terms of an algorithm. The longer and more complex the algorithm, the less likely it is for such a system to appear. In particular Universes with different physical laws (field equations) are described by different algorithms. The length of these algorithms then affects the probability that this Universe with a certain set of physical laws will fluctuate into existence.
The above discussion leads to the idea that the physical laws of a Universe are in some sense dynamical. We will take the dynamical nature of the physical laws for different Universes as nondifferentiable or discrete quantity. The non-differentiable dynamics can have two manifestations:
  • The cosmological appearance of a Universe with certain physical laws.
  • The quantum fluctuations of physical laws at the level of the spacetime foam (e.g. at the Planck scale).
The first case was discussed above – see Eq.(1). As an example of the second case consider a 5D spacetime with a mostly non-dynamical 55 metric component. Thus for most of spacetime we have 4D gravity + electromagnetism, i.e. 5D Kaluza-Klein theory in its initial interpretation. However, there are small regions where the 55 metric component is a dynamical variable and one has full 5D gravity. These fully dynamical regions can be thought of as quantum handles in the spacetime foam [1].
We will now give mathematical details to this hypothesis about the connection between algorithmic complexity and the probability for the existence of a given Universe with certain fields and certain physical laws.

2 Kolmogorov’s algorithmic complexity

The mathematical definition for algorithmic complexity (AC) is
The algorithmic complexity K(x | y) of the object x for a given object y is the minimal length of the “program” P that is written as a sequence of the zeros and ones which allows us to construct x starting from y:
K ( x | y ) = min A ( P , y ) = x l ( P )
l(P) is length of the program P; A(P, y) is the algorithm for calculating an object x, using the program P, when the object y is given.
This definition gives us an exact mathematical meaning to the word “simple” in the spirit of Einstein’s above-mentioned statement. In the next few sections we will demonstrate this idea of the connection between algorithmic complex and cosmology and gravity with some examples.

3 A toy model for the birth of Minkowski space

In this section we sketch a model for the emergence of 4D Minkowski spacetime from a collapsing 7D spacetime as the result of a quantum fluctuation. The probability for this transition to occur is linked with the algorithmic complexity of the equations describing either the 4D Minkowski spacetime or the empty 7D spacetime [3]. Since this transition involves a discrete change in the number of spacetime dimensions it can not be described by classical or quantum field theory. It must be described by some non-differentiable (discrete) mechanics. We start with an empty 7D spacetime with the metric given by
d s 2 = d t 2 a 2 ( t ) d l 1 2 b 2 ( t ) d l 2 2 ,
where d l 1 2 = d x 2 + d y 2 + d z 2 is the metric of the 3D flat space E3; d l 2 2 = d u 2 + d v 2 + d w 2 is the metric of the extra dimensions (ED) which are also a flat E3 space. The 7D Lagrangian is [4]
L = G R 7 D = G ( R 4 D + ( c r o s s   t e r m s ) + R E D )
here RED = 0; G is the determinant of the 7D metric; R7D and R4D are the scalar curvature of the 7D and 4D spaces respectively. The Einstein vacuum field equations have the following form
a ¨ a = a ˙ 2 a 2 + b ˙ 2 b 2 ,
b ¨ b = b ˙ 2 b 2 + a ˙ 2 a 2 ,
3 a ˙ b ˙ a b + a ˙ 2 a 2 + b ˙ 2 b 2 = 0 ,
where (˙) is the derivative with respect to t. This system has the following exact Kazner solution
a = a 0 ( t a 1 ) α ; b = b 0 ( t b 1 ) β ; t < 0 ;
α = 1 5 6 ; β = 1 + 5 6
where a 0 b 0 l P l and a1 = b1 = lPl (lPl is the Planck length). This represents a collapsing 7D spacetime. The scalar curvature is
R 6 = a ¨ a + b ¨ b + 3 a ˙ b ˙ a b + a ˙ 2 a 2 + b ˙ 2 b 2
for these constants a0,1 and b0,1 the Ricci scalar is R ≈ 1/ l P l 2 when |t|≈ tPl.
At times close to the Planck time (|t| ≈ tPl) we will assume that quantum fluctuations between spacetimes of different dimensions is more likely. Thus there should be some likelihood of a spontaneous transition from a 7D to a 4D spacetime, so that three of the extra spatial dimensions of the 7D spacetime become non-dynamical. Mathematically this is written as
L 7 D L 4 D
G ( R 4 D + ( c r o s s   t e r m s ) ) g R 4 D ,
where g is determinant of the 4D metric. The form of the 4D metric is a lower dimensional version of the 7D metric
ds2 = dt2a2(t)dl2
where the element d l 2 = d l 1 2 from Eq. (3). Einstein’s equations for this metrics are:
2 a ¨ a + a ˙ 2 a 2 = 0 ,
a ˙ 2 a 2 = 0 ,
These equations have the following simple solution
a = a 0 = c o n s t .
which is just 4D Minkowski spacetime. The probability for such a fluctuation to occur is determined by the AC of the 4D versus the 7D case. Looking at equations (5) and (10) one can see that the AC of the 7D Universe is larger than for the 4D Universe since the system of equations are more complex (the number of equations describing the 7D case is larger than the number of equations describing the 4D case).
A summary of this idea of the emergence of a lower dimensional Universe from a higher dimensional one goes as follows
  • First, for t < 0 we have an empty 7D Kazner Universe (−∞ < t < 0) evolving according to (5). This solution is collapsing toward a singularity at t = 0.
  • Second, at time |t| ≈ tPl a quantum fluctuation of the dimensionality of spacetime takes place. This results in a quantum splitting off of the ED, i.e. three of the six spatial dimensions from the 7D Universe become non-dynamical resulting in an effective 4D Universe.
  • Third, the linear 4D scales (a0 for 3D space and b0 for the other three EDs) become fixed, classical variables whose values are determined by the values they took just before the splitting off of the EDs. Thus we have a static, 4D, Minkowski Universe with three nondynamical EDs.
The probability P for this transition from a multidimensional Universe to a 4D Universe is determined by the AC of the two Universes. Mathematically we can write
P m u l t i D 4 D = e K 2 e K 1 + e K 2 ,
where K1,2 are respectively the AC of the multidimensional and the 4D Universes described by the algorithms (system of equations) (5) and (10). Since the system (5) is larger (i.e. more complex) than the system (10) we will assume K 1 K 2 (even in simple cases the detailed calculation of AC is a very complicated problem). Thus Eq.(12) can be approximate as follows:
P m u l t i D 4 D 1 e [ K 1 K 2 ] 1 .

4 Fluctuation of the metric signature

In this section we present a variation of Bousso and Hawking’s idea [5] that the Universe began as an Euclidean space, i.e. spacetime with Euclidean time, and later evolved into a Universe with Lorentzian signature. The variation that we want to consider is that the Universe started out as a multi-dimensional space with its metric fluctuating between Euclidean and Lorentzian signatures [6]. At some point on the boundary of this space a transition to a 4D Universe with a definite signature takes place.
Since the metric signature is not a continuous variable its dynamics can not be described by differential equations. To see this consider the multi-dimensional metric.
d s ( M D ) 2 = η A ¯ B ¯ ( h C A ¯ d x C ) ( h D B ¯ d x D )
η A ¯ B ¯ is the signature of the metric with viel-bein indices A ¯ , B ¯ = 0, 1, 2, 3, 5, 6,···. xA are the coordinates on the total space of the principal bundle with a structural group G , and C, D are the multidimensional (MD) coordinate indices. The metric on the total space of the principal bundle (we will consider gravity on the principal bundle) can be rewritten
d s ( M D ) 2 = η a ¯ b ¯ ( h c a ¯ d x c + h μ a ¯ d x μ ) ( h c b ¯ d x c + h μ b ¯ d x μ ) + η μ ¯ ν ¯ ( h α μ ¯ d x α ) ( h β ν ¯ d x β )
a ¯ , b ¯ are the viel-bein indices for the fibre of the principal bundle, and c, d are the coordinate indices on the fibre; μ ¯ , ν ¯ and α, β play the same role for the 4D base of the principal bundle. For the continuous quantities, h C A ¯ , we have gravitational equations, but η A ¯ B ¯ are discrete (non-differentiable) quantities without dynamical equations. Thus the dynamics of the metric signature, η A ¯ B ¯ , can not be described by differential equations. We will instead apply a quantum-like description for these degrees of freedom. This description will be stochastic along the general lines of ’t Hooft’s proposition that quantum gravity may be a stochastic phenomenon [7]. The gravitational field equations on the principal bundle are deduced in Appendix (A). In the following subsection (4.1) we take Λ1,2 = 0.

4.1 The 5D Fluctuating Universe

In this subsection we consider the scenario where at the origin of the Universe a fluctuation between Euclidean and Lorentzian metrics occurs. This is a modification of an idea initially proposed by Hawking where there may be regions of the Universe with Euclidean or Lorentzian signatures. The boundary between these two regions represents some quantum fluctuation between the different metric signatures. Such transitions between metric signatures could occur in the very Early Universe on the scale of Planck length.
We start with a vacuum 5D Universe with the metric
d s ( 5 ) 2 = σ d t 2 + b ( t ) ( d ξ + cos θ d φ ) 2 + a ( r ) d Ω 2 2 + r 0 2 e 2 ψ ( t ) [ d χ ω ( t ) ( d ξ + cos θ d φ ) ] 2
here σ = ±1 for the Euclidean and Lorentzian signatures respectively. The 3D space metric d l 2 = b ( t ) ( d ξ + cos θ d φ ) 2 + a ( r ) d Ω 2 2 describes the Hopf bundle with an S1 fibre over an S2 base. In the 5-bein formalism we have
d s ( 5 ) 2 = η A ¯ B ¯ e A ¯ e B ¯
here A ¯ , B ¯ are the 5-bein indices and
η A ¯ B ¯ = ( ± 1 , + 1 , + 1 , + 1 , + 1 ) ,
e 0 ¯ = d t ,
e 1 ¯ = b ( d ξ + cos θ d φ ) ,
e 2 ¯ = a d θ ,
e 3 ¯ = a sin θ d φ ,
e 5 ¯ = r 0 e ψ [ d χ ω ( t ) ( d ξ + cos θ d φ ) ]
According to the following theorem [4]
Let G be a structural group of the principal bundle. Then there is a one-to-one correspondence between the G-invariant metrics
d s 2 = φ ( x α ) ( σ a + A μ a d x μ ) 2 + g μ ν ( x α ) d x μ d x ν
on the total space X and the triples ( g μ ν , A μ a , φ ) . Here gµν is the 4D metric on the base; A μ a are the gauge fields of the group G (the off-diagonal components of the multidimensional metric); dl2 = σaσa is the symmetric metric on the fibre a = 5, ··· , dimG is the index on the fibre and µ = 0, 1, 2, 3 is the index on the base.
the metric in Eq. (16) has the following electromagnetic potential
A = ω ( t ) ( d ξ + cos θ d φ ) = ω b e 1 ¯
For this potential the Maxwell tensor is
F = d A = ω ˙ b e 0 ¯ e 1 ¯ ω a e 2 ¯ e 3 ¯
which yields an electrical field like
E 1 ¯ = F 0 ¯ 1 ¯ = ω ˙ b
and a magnetic field like
H 1 ¯ = 1 2 1 j ¯ k ¯ F j ¯ k ¯ = ω a
The 5D, vacuum Einstein equations [6] resulting from Eq. (16) are
G 0 ¯ 0 ¯ 2 b ˙ ψ ˙ b + 4 a ˙ ψ ˙ a + 2 a ˙ b ˙ a b + a ˙ 2 a 2 + σ ( b a 2 4 a ) + r 0 2 e 2 ψ ( σ H 1 ¯ 2 E 1 ¯ 2 ) = 0
G 1 ¯ 1 ¯ 4 ψ ¨ + 4 ψ ˙ 2 + 4 a ¨ a 2 + 4 a ˙ ψ ˙ a + σ ( 3 b a 2 4 a ) a ˙ 2 a 2 + r 0 2 e 2 ψ ( σ H 1 ¯ 2 E 1 ¯ 2 ) = 0
G 2 ¯ 2 ¯ = G 3 ¯ 3 ¯ 4 ψ ¨ + 4 ψ ˙ 2 + 2 b ¨ b + 2 b ˙ ψ ˙ b b ˙ 2 b 2 + 2 a ¨ a + 2 a ˙ ψ ˙ a + a ˙ b ˙ a b a ˙ 2 a 2 σ b a 2 r 0 2 e 2 ψ ( σ H 1 ¯ 2 E 1 ¯ 2 ) = 0
R 5 ¯ 5 ¯ ψ ¨ + ψ ˙ 2 + a ˙ ψ ˙ a + b ˙ ψ ˙ 2 b + r 0 2 2 e 2 ψ ( σ H 1 ¯ 2 + E 1 ¯ 2 ) = 0
R 2 ¯ 5 ¯ ω ¨ + ω ˙ ( a ˙ a 2 b ˙ b + 3 ψ ˙ ) σ b a 2 ω = 0
where G A ¯ B ¯ = R A ¯ B ¯ 1 2 η A ¯ B ¯ R is the Einstein tensor. Our basic assumption is that at the Planck scale there can exist regions where a quantum fluctuation between Euclidean and Lorentzian metric signatures occurs. There are two copies of the classical equations (24): one with σ = +1 and another with σ = −1. It is this quantity σ which we take as having quantum fluctuations between its two discrete values. The basic question under this assumption is how to calculate the relative probability for each pair of equations from (24) (the ones with σ = +1 versus the ones with σ = −1).
We will define the probability for each pair of equations in terms of the algorithmic complexity of each pair. We can diagrammatically represent the fluctuations between the Euclidean and Lorentzian versions of Einstein’s equations in the following way
σ = ± 1 σ = 1 ( G + ) 0 ¯ 0 ¯ ( G ) 0 ¯ 0 ¯ ( G + ) 1 ¯ 1 ¯ ( G ) 1 ¯ 1 ¯ ( G + ) 2 ¯ 2 ¯ ( G ) 2 ¯ 2 ¯ ( G + ) 3 ¯ 3 ¯ ( G ) 3 ¯ 3 ¯ ( R + ) 5 ¯ 5 ¯ ( R ) 5 ¯ 5 ¯
The signs ± indicates if the equation belongs to the Euclidean or Lorentzian mode. Expression (25) sums up the idea that treating σ as a quantum quantity leads to quantum fluctuations between the classical equations: ( R + ) A ¯ B ¯ ( R ) A ¯ B ¯ or ( G + ) A ¯ B ¯ ( G ) A ¯ B ¯ . The probability connected with each pair of equations ( R A ¯ B ¯ ± or G A ¯ B ¯ ± ) is determined by the AC of each equation.
Fluctuation ( R + ) 2 ¯ 5 ¯ ( R ) 2 ¯ 5 ¯ _ . The R 2 ¯ 5 ¯ equation in the Euclidean and Lorentzian modes is respectively
ω ¨ + ω ˙ ( a ˙ a b ˙ 2 b + 3 ψ ˙ ) b a 2 ω = 0 ,
ω ¨ + ω ˙ ( a ˙ a b ˙ 2 b + 3 ψ ˙ ) + b a 2 ω = 0 .
Let us consider the ψ = 0 case (below we will see that this is consistent with the R 5 ¯ 5 ¯ equation). It is easy to see that Eq. (26a) can be deduced from the instanton condition
E 1 ¯ 2 = H 1 ¯ 2 o r ω a = ± ω ˙ b
The second equation (26b) does not have a similar simplification via the instanton condition (27). This is just the well known fact that instantons can exist only in Euclidean space. Based of this simplification from a second order equation (26a) to a first order equation (27) we consider the Euclidean equation (26a) simpler from an algorithmic point of view than the Lorentzian equation (26b). To a first, rough approximation we can take the probability of the Euclidean mode as p 25 + 1 and for the Lorentzian mode as p 25 0 . Strictly the exact definition for each p a b + is
p a b + = e K a b + e K a b + + e K a b
where K a b + is the AC for the R a b + = 0 or G a b + = 0 equation. For K 25 + K 25 we have p 25 + 1 and p 25 0 .
The expression for the probability in Eq. (28) can be seen as the discrete variable analog of the Euclidean path integral transition probability. For a continuous variable the Euclidean path integral gives the probability for the variable to evolve from some initial configuration to some final configuration as being proportional to the exponential of minus the action (∝ eS). Eq. (28) is similar, but with the AC replacing the action. The denominator normalizes the probability (it is a sum rather than integral since we are dealing with a discrete variable).
Fluctuation ( R + ) 5 ¯ 5 ¯ ( R ) 5 ¯ 5 ¯ _ . The R 5 ¯ 5 ¯ equation in the Euclidean and Lorentzian modes is respectively
ψ ¨ + ψ ˙ 2 + a ˙ a ψ ˙ + b ˙ b ψ ˙ + r 0 2 2 e 2 ψ ( H 1 ¯ 2 + E 1 ¯ 2 ) = 0 ,
ψ ¨ + ψ ˙ 2 + a ˙ a ψ ˙ + b ˙ b ψ ˙ + r 0 2 2 e 2 ψ ( H 1 ¯ 2 + E 1 ¯ 2 ) = 0 ,
The Lorentzian mode (29b) has a trivial solution
ψ = 0
provided the instanton condition (i.e. H 1 ¯ 2 = E 1 ¯ 2 ) holds. Thus for this equation we take the Lorentzian mode as having a smaller AC, and in the contrast with the previous subsection, the Lorentzian mode has the greater probability. Again to a first, rough approximation the probability of the Euclidean mode is p 55 + 0 and consequently for the Lorentzian mode p 55 1 .
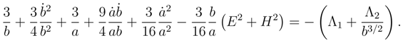
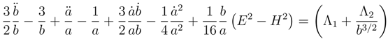
Fluctuation ( G + ) 1 ¯ 1 ¯ ( G ) 1 ¯ 1 ¯  and  G 2 ¯ 2 ¯ + G 2 ¯ 2 ¯ _ Taking into account (30) we can write these equations as
4 a ¨ a + σ ( 3 b a 2 4 a ) a ˙ 2 a 2 + r 0 2 ( σ H 1 ¯ 2 E 1 ¯ 2 ) = 0 ,
2 b ¨ b b ˙ 2 b 2 + 2 a ¨ a + a ˙ b ˙ a b a ˙ 2 a 2 σ b a 2 r 0 2 ( σ H 1 ¯ 2 E 1 ¯ 2 ) = 0 .
For the Euclidean mode (σ = +1) with the instanton condition (27)) one can have b = a (an isotropic Universe) which reduces the two equations of (31) to only one equation
4 a ¨ a a ˙ 2 a 2 1 a = 0 .
For the Lorentzian mode ( σ = 1 ) b a (an anisotropic Universe) there are still two equations
4 a ¨ a ( 3 b a 2 4 a ) a ˙ 2 a 2 r 0 2 ( H 1 ¯ 2 + E 1 ¯ 2 ) = 0 ,
2 b ¨ b b ˙ 2 b 2 + 2 a ¨ a + a ˙ b ˙ a b a ˙ 2 a 2 + b a 2 + r 0 2 ( H 1 ¯ 2 + E 1 ¯ 2 ) = 0 ,
Thus under the instanton condition (27) and ψ = 0 we find that the Euclidean mode (32) effectively reduces to one, second order equation which corresponds to an isotropic Universe; the Lorentzian mode (33) still has two, second order equations which describe an anisotropic Universe. Thus we assign the Euclidean mode the smaller AC and as for the previous equations make the rough approximation p 11 + 1 for the Euclidean mode, p 11 0 for the Lorentzian mode.
Fluctuation ( G + ) 0 ¯ 0 ¯ ( G ) 0 ¯ 0 ¯ _ The equation G 0 ¯ 0 ¯ + = 0 has the following form
Assuming all the previous conditions (the instanton condition, ψ = 0, and b = a) the Euclidean mode equations become
a ˙ 2 a 2 1 a = 0
while the Lorentzian mode equations become
3 a ˙ 2 a 2 + 3 1 a r 0 2 ( H 1 ¯ 2 + E 1 ¯ 2 ) = 0 .
The instanton condition again implies that the Euclidean mode has a smaller AC. Thus to a first, rough approximation we take p 00 + 1 and p 00 0 .
Mixed system of the equations Under the approximation where the probability associated with each of the equations in (24) is p ≈ 0 or 1 the mixed system of equations which describe a Universe fluctuating between Euclidean and Lorentzian modes
a ˙ 2 a 2 1 a = 0 ,
ω ˙ = ± ω a ,
4 a ¨ a a ˙ 2 a 2 1 a = 0 .
here b = a, ψ = 0 and the instanton condition are all assumed to hold. This system of mixed Euclidean and Lorentzian equations has the following simple solution
a = t 2 4 ,
ω = t 2 .
The mixed origin of the Universe The following model for the quantum birth of Universe has been advanced by Hawking : one begins with an Euclidean space of the Planck size (R4, S4 or some other smooth non-singular Euclidean space); then a Lorentzian Universe emerges from a boundary of this initial Euclidean piece. In this scenario the Euclidean and Lorentzian spaces are connected by a hypersurface with a mixed signature.
In this section we present a variation of this picture for the quantum mechanical origin of the Universe. We assume that the Universe begins as a quantum fluctuating system between Euclidean and Lorentzian modes. Then at some point in time there is a quantum transition to the Lorentzian mode.
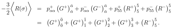
To support these statements mathematically we begin by calculating the average of the Ricci scalar
R ( σ ) = p + R ( σ = + 1 ) + p R ( σ = 1 )
where p+ and p are the probabilities for the scalar curvature with σ = +1 and σ = −1 respectively. Using
2 3 R ( σ ) = G α ¯ α ¯ + R 5 ¯ 5 ¯
and averaging gives
Thus for the mixed system of equations we find
R ( σ ) = 0 .
In this toy model the Universe originates from an empty, multidimensional, non-singular (in the sense that R ( σ ) = 0 ), spacetime of Planck scale size (τ < ˜ τPl). In our model the spacetime is M4 × S1, with M4 being a space with fluctuating metric signature: Euclidean ↔ Lorentzian. At some point a quantum transition to the Lorentzian mode occurs, and at the same or later time the 55 component of the metric becomes a non-dynamical quantity. Thus the fluctuation of the metric signature of the original Planck scaled, 5D Universe leads to a 4D Lorentzian Universe and a “frozen” or non-dynamical 5th dimension.

4.2 The 7D Fluctuating Universe

In this subsection we study a 7D cosmological solution with a fluctuating metric signature as in the last subsection. We take the gauge group of the EDs as G = SU(2), with the 7D metric taking the form
Most of the calculational details for this 7D metric are given in Appendix (A).
The total space of the principal bundle is denoted as E; the structural group is denoted as G . The factor-space H = E / G is the base of the principal bundle, and is described by the 4D metric
which is the last term in Eq. (43). We now insert a 4D cosmological constant term into the MD action
R is the Ricci scalar and is the MD metric on the total space; is the 4D metric on the base of the principal bundle; is the metric on G ; G, g and γ are the appropriate metric determinates; Λ1,2 are the MD and 4D Λ-constants; N = d i m ( G ) . The MD action of Eq. (45) has several points in common with the 4D EYM action considered in Ref. [17] (non-zero cosmological constants and effective SU(2) “Yang-Mills” gauge fields). Eq. (45) also has a connection to the action for the Non-gravitating Vacuum Energy Theory [18]. In Ref. [18] Guendelman considers an action which has degrees of freedom which are independent of the metric, with the resulting action having two measures of integration (involving metric and nonmetric degrees of freedom). Eq. 45 incorporates two distinct degrees of freedom : the continuous variables, h B A ¯ , and the discrete variables, η A ¯ B ¯ . In Ref. [18] both the metric and non-metric degrees of freedom were continuous.
The independent, continuous degrees of freedom are: the vier-bein h ν μ ¯ ( x α ) , the gauge potential h μ a ¯ ( x α ) = A μ a ¯ ( x α ) and the scalar field b(xα). e b a ¯ is defined as
ω a ¯ = e b a ¯ d x b
xb are the coordinates on the group G ; ω a ¯ are the 1-forms satisfying
d ω a ¯ = f b ¯ c ¯ a ¯ ω b ¯ ω c ¯
f b ¯ c ¯ a ¯ are the structural constants of SU(2). Varying the action in Eq. (45) with respect to h ν μ ¯ , h ν a ¯ and b leads to (see the Appendix for details)
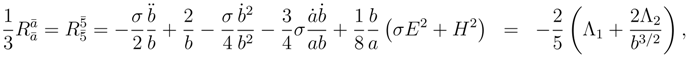
R μ ¯ ν ¯ 1 2 η μ ¯ ν ¯ R = η μ ¯ ν ¯ ( Λ 1 + Λ 2 b 3 / 2 ) ,
R a ¯ μ ¯ = 0 ,
R a ¯ a ¯ = 6 5 ( Λ 1 + Λ 2 b 3 / 2 ) .
Eq. (48a) are the Einstein vacuum equations with Λ-terms; Eq. (48b) are the “Yang-Mills” equations; Eq. (48c)is reminiscent of Brans-Dicke theory since the metric on each fibre is symmetric and has only one degree of freedom - the scalar factor b(xµ).
We now investigate Eqs. (48a)-(48c) using the ansatz
σ = ±1 describes the possible quantum fluctuation of the metric signature between Euclidean and Lorentzian modes, A μ a ¯ are SU(2) gauge potentials, d Ω 3 2 = d χ 2 + sin 2 χ ( d θ 2 + sin 2 θ d ϕ 2 ) is the metric on the unit S3 sphere and x0 = t, x1 = χ, x2 = θ, x3 = φ, x5 = α, x6 = β, x7 = γ. (α, β, γ are the Euler angles for the SU(2) group)
ω 1 = 1 2 ( sin α d β sin β cos α d γ ) ,
ω 2 = 1 2 ( cos α d β + sin β sin α d γ ) ,
ω 3 = 1 2 ( d α + cos β d γ ) .
The off-diagonal components of the MD metric take the instanton-like form [19] [20]
A χ a = 1 4 { sin θ cos φ ; sin θ sin φ ; cos θ } ( f ( t ) 1 ) ,
A θ a = 1 4 { sin φ ; cos φ ; 0 } ( f ( t ) 1 ) ,
A φ a = 1 4 { 0 ; 0 ; 1 } ( f ( t ) 1 ) .
Substituting into Eqs. (48a)-(48c) gives
G A ¯ B ¯ = R A ¯ B ¯ ( 1 / 2 ) η A ¯ B ¯ R ; i = 1, 2, 3 are space indices; the “electromagnetic” fields are
F μ ν a is the field strength tensor for the non-Abelian gauge group. The wormhole instanton of Ref. [17] had a vanishing “electric” field. In contrast the solution studied here has both non-vanishing “electric” and “magnetic” fields.
As in the 5D case we assume a quantum fluctuation between Euclidean and Lorentzian modes which can be described by a diagram similar to Eq. (25))
σ = ± 1 σ = 1 ( R + ) 5 ¯ 5 ¯ ( R ) 5 ¯ 5 ¯ ( G + ) 0 ¯ 0 ¯ ( G ) 0 ¯ 0 ¯ ( G + ) 1 ¯ 1 ¯ ( G ) 1 ¯ 1 ¯ ( G + ) 2 ¯ 7 ¯ ( G ) 2 ¯ 7 ¯
As in the 5D case we will estimate the probability for each pair of equations in (54).
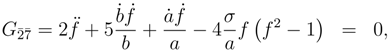
Fluctuation ( G + ) 2 ¯ 7 ¯ ( G ) 2 ¯ 7 ¯ _ This equation in the Euclidean mode is
2 f ¨ + 5 b ˙ f ˙ b + a ˙ f ˙ a 4 a f ( f 2 1 ) = 0
which has the instanton solution
f ˙ = 1 f 2 a ,
where
b = b0 = const
Eq. (56) implies the instanton condition
E i a E a i = H i a H a i .
In the Lorentzian mode
2 f ¨ + 5 b ˙ f ˙ b + a ˙ f ˙ a + 4 a f ( f 2 1 ) = 0
and the instanton solution (58) is not a solution of (59), since the non-singular, instanton solution exists only in the Euclidean case. Thus in terms of the AC criteria the Euclidean equation (55) is simpler than Lorentzian equation (59), since it is equivalent to the first order differential equation (56).
To a first, rough approximation we set the probability of the G 2 ¯ 7 ¯ = 0 equation for the Euclidean mode to p 27 + 1 and the Lorentzian mode to p 27 0 . The exact definition for each p A B + probability is given in Eq. (28). K 27 + K 27 If we have p 27 + 1 and p 27 0 .
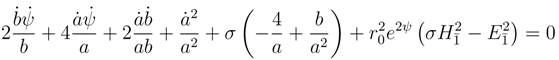
Fluctuation ( R + ) 5 ¯ 5 ¯ ( R ) 5 ¯ 5 ¯ _ This equation in the Euclidean and Lorentzian modes is respectively
The Lorentzian mode equation is simpler because the two last terms annihilate as a consequence of the instanton condition (58). To a first rough approximation we set the probability of the R 5 ¯ 5 ¯ equation for the Euclidean mode to p 55 + 0 and the Lorentzian mode to p 55 1 .
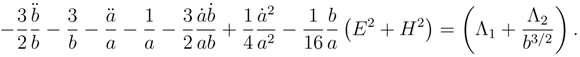
Fluctuation ( G + ) 0 ¯ 0 ¯ ( G ) 0 ¯ 0 ¯ _ This equation in the Euclidean mode and Lorentzian mode is respectively
In this case because of the instanton condition (58) the Euclidean equation is simpler and therefore in the first rough approximation we can set the probability of the G 0 ¯ 0 ¯ = 0 equation for the Euclidean mode to p 00 + 1 and the Lorentzian mode to p 00 0 .
Fluctuation ( G + ) 1 ¯ 1 ¯ ( G ) 1 ¯ 1 ¯ _ This equation in the Euclidean mode and Lorentzian mode is respectively
As in the previous paragraph, as a consequence of the instanton condition (58), the Euclidean mode is simpler. Therefore in the first rough approximation we set p 11 + 1 and p 11 0 .
Mixed system of equations The mixed system of equations for the 7D spacetime with fluc-tuating metric signature is
The solution for this system is
a = t 2 ,
f = t 2 t 0 2 t 2 + t 0 2 ,
b = b 0 = c o n s t ,
Λ 1 = 1 b 0 ,
Λ 2 = 2 b 0 .
The existence of this solution is somewhat surprising ! Normally in any dimension the Bianchi identities are satisfied. Therefore some gravitational field equations are not independent of the others. Ordinarily the superfluous equations are associated with initial conditions (i.e. Eq. (63c) above). In our case the mixed system above comes from a model with a varying metric signature. As a consequence the Bianchi identities are not correct and this system should be unsolvable. Evidently the solution is a condition for the solvability of the mixed system which uniquely defines the Λ-constants. If the solution in Eqs. (64) is unique then it must be absolutely stable.
The physical meaning of this solution is:
  • Eq. (64a) implies a flat 4D Einstein spacetime that is not effected by matter.
  • Eq. (64b) implies a Polyakov - ’t Hooft instanton gauge field configuration which is not effected by gravity.
  • Eq. (64c) implies a frozen ED.
  • Eqs. (64d)-(64e) imply that the dynamical equations uniquely determine the Λ1,2-constants.
It is interesting to note that the effective cosmological constant terms on the right hand side of Eqs. (48a) (48c) (i.e. Λ1 and Λ2/b3/2) are inversely proportional to the size of the ED, b0. Thus in order to have a small cosmological constant term one needs to have a large ED. This could be seen as supporting the large extra dimensions scenarios [14].

4.3 Physical applications of the solutions

4.3.1 Regular Universe

We can interpret the 5D and 7D solutions as a 4D Universe with fluctuating metric signature, filled with a U(1) and SU(2) instanton gauge field and frozen ED. Surprisingly this Universe has only one manifestation of gravity: the frozen ED that result from the fluctuating metric signature. These model Universes are simple examples of possible effects connected with the dynamics of non-differentiable variables.

4.3.2 Non-singular birth of the Universe

Various researchers (e.g. see Ref. [5]) have speculated about the quantum birth of the Universe from “Nothing”. In light of this we can interpret a small piece (with linear size of the Planck length ≈ lPl) of our model 5D/7D Universe as a quantum birth of the regular 4D Universe. In contrast to other scenarios this origin has a metric signature trembling between Euclidean and Lorentzian modes. Further we postulate that on a boundary of this spacetime there occurs
  • a quantum transition to only one Lorentzian mode with a fixed metric signature.
  • a splitting off the ED so that the metric on the fibres ( h b a ¯ ) becomes a non-dynamical variable. After this splitting off the linear size of the gauge group remains constant yielding ordinary 4D Einstein-Yang-Mills gravity.
These assumptions about a quantum transition from fluctuating metric signature (±1, +1, ··· , +1) to Lorentzian signature (−1, +1, ··· , +1) and a splitting off of the ED should not be seen as something extraordinary and new, but rather as an extension of our postulate about the quantum birth of the regular 4D Universe, discussed above, with certain laws (gravitational equations + non-differentiable dynamic). The present case can be seen a quantum-stochastic change or evolution of these laws (here this involves only the quantum transition of η00 and the splitting off of the ED).
The probability for the quantum birth is
PNeS
where S is the Euclidean, dimensionless action, which should be S ≈ 1 in Planck units. The factor N is of more interest, since it contains information about the topological structure of the boundary of the origin.
The probability for the quantum-stochastic transition to Lorentzian mode and splitting off of the ED should be determined by the AC of the final and initial states. Such a quantum-stochastic transition can occur only if the final state with Lorentzian mode and splitting off of the ED is simpler than the initial state with the fluctuating metric signature and dynamic ED.

5 Algorithmic complexity applied to non-cosmological systems

In the following three subsections we give examples of the application of algorithmic complexity to various non-cosmological systems. First, we study a composite wormhole which consists of a 5D throat region connecting two Reissner-Nordström blackholes. Second, we estimate the entropy of the simplest vacuum solution to 4D gravity: the Schwarzschild black hole. Finally, we look at the path integral in gravity in terms of AC.

5.1 A composite 5D wormhole as the sum of Holographic principle and the AC idea

In this section we construct a composite wormhole by connecting two 4D Reissner-Nordström solutions via a 5D wormhole-like throat. There are two holographic surfaces located between the two Reissner-Nordström and 5D solution. For the Reissner-Nordström solution the surface is an event horizons, and for the 5D solution the surface is a T−horizon (the properties of T−horizons is discussed below). The main idea of this subsection is that such a composite object is simpler in terms of AC than either component separately. This follows from the fact that the Reissner-Nordström solution has a very complicated time dependent metric under the event horizon whereas the 5D throat does not. In contrast, outside the event horizon the 4D Reissner-Nordström solutions is simpler than the 5D throat.
We begin by considering the 5D wormhole-like metric
χ is the extra, 5th coordinate. The metric is symmetric around r = 0. The 5D vacuum Einstein equations are
These equations have the following solution [8] [9]
a = r 0 2 + r 2 ,
Δ = q 2 r 0 r 2 r 0 2 r 2 + r 0 2 ,
ω = 4 r 0 2 r 1 q r r 2 r 0 2
where r0 > 0 and q are constants.
The composite wormhole that we consider [10] consists of two 4D Reissner-Nordström black holes which are connected by the wormhole-like solution of (68). One interpretation for this composite wormhole is as a model of a quantum handle in the spacetime foam. The 5D and 4D physical quantities must be “sewn” together by the following conditions:
1 Δ 0 r 1 2 ω 0 2 Δ 0 = G t t ( ± r 0 ) = g t t ( r + ) = 0 ,
a 0 = G θ θ ( ± r 0 ) = g θ θ ( r + ) = r + 2 ,
G and g are 5D and 4D metric tensors respectively, and r+ is the event horizon for the Reissner - Nordström solution. The quantities with the (0) subscript are evaluated at r = ±r0. Note that Gttr0) = 0 and ds2 = 0 on the surfaces r = ±r0. Hypersurface such as r = ±r0 have been called T−horizons by Bronnikov [11].
Gχt can be connected to the 4D electric field by examining the 5D (Rχt = 0) and 4D Maxwell equations
[ a 2 ( ω Δ 2 ) ] = 0 ,
[ r 2 ( E r ) ] = 0 ,
Er is the 4D electric field. These two equations are essentially Gauss’s law; they indicate that some quantity multiplied by an area is conserved. In 4D this quantity is the 4D Maxwell electric field. We can naturally join this 4D, Reissner - Nordström electric field, E R N = e / r + 2 , with the Kaluza - Klein, “electrical” field, E K K = ω Δ 2 , on the event and T−horizons
ω 0 Δ 0 2 = q a 0 = E K K = E R N = e r + 2 .
It is interesting to note that the event and T−horizons can be viewed as holographic surfaces which can be used to define the whole spacetime [12] [13]. To show this we consider the 4D and 5D metrics in turn. The metric for the Reissner-Nordström spacetime is
d s 2 = δ ( r ) d t 2 d t 2 δ ( r ) r 2 ( d θ 2 + sin 2 θ d φ 2 ) ,
and the electromagnetic potential is
A μ = { ω ( r ) , 0 , 0 , 0 } .
The Einstein - Maxwell equations are
δ r + 1 δ r 2 = κ 2 ω 2 ,
δ 2 δ r = κ 2 ω 2 ,
ω = q r 2 .
Eq. (75) is a consequence of (74) and (76). For the Reissner - Nordström blackhole the event horizon is defined by the condition δ(rg) = 0, where rg is the radius of the event horizon. Hence in this case we see that on the event horizon
δ g = 1 r g κ 2 r g ω g 2 ,
here (g) means that the corresponding value is evaluated on the event horizon. Thus the Einstein equation, Eq. (74), is a first-order differential equation in the spacetime outside the horizon (rrg). Condition (77) tells us that the derivative of the metric on the event horizon is expressed through the value of the metric on the event horizon. This shows that the Holographic principle applies in this case since the spacetime can be determined from information on some surface (the event horizon).
Now we consider the 5D WH-like metric (66) with field equations (67). On the T−horizon ∆(±r0) = 0, and therefore from Eq. (74) we have
Δ 0 = ± q a 0 = ± q 2 r 0 2 .
The signs (±) correspond, respectively, to (r = ∓r0) where the T−horizons are located. This also indicates that the Holographic principle applies to the T−horizons.
¿From an algorithmic point of view we can now argue that such a composite structure is more likely to occur than either the 4D Reissner-Nordström or 5D wormhole solution separately. The AC of the interior, throat region of the composite system is calculated with one algorithm (the 5D Einstein vacuum equations) while the AC of the exterior region is calculated with another algorithm (the 4D Einstein-Maxwell equations). Because the AC of the interior region can be calculated from the Holographic principle using the T-horizon, its AC is simpler than if it had been calculated from the 4D Einstein-Maxwell equations algorithm especially since the metric under the event horizon is time dependent. The AC of the exterior region can be calculated from the Holographic principle using the event horizon, with the 4D Einstein-Maxwell equations as the algorithm. Thus the exterior regions AC is simpler if it is calculated using the 4D Einstein-Maxwell equations rather than the 5D vacuum Einstein equations. Applying the Holographic principle and ideas of AC we have found that the composite wormhole has a lower AC than either solution separately. Such a composite wormhole is only expected to be important at the Planck scale.

5.2 The AC of the Schwarzschild black hole.

Bekenstein [15] and Hawking [16] have shown that an entropy can be associated with a black hole. The entropy is connected the area of the black hole’s event horizon. Usually the concept of entropy arises in statistical systems where one has a great number of particles. However, in the case of the entropy of a black hole one associates an entropy with a single object (i.e. the black hole). In some sense AC is a concept similar to entropy. In this section we will estimate the AC for a Schwarzschild black hole.
For some gravitational field configuration the AC is determined, according to the definition (2), by the smallest algorithm which yields this configuration (i.e. which yields the metric). Thus the Einstein equations are the algorithm for calculating the gravitational field configuration. In order to calculate the metric for the whole spacetime one must have, in addition to Einstein’s field equations, some initial and/or boundary conditions.
In order to estimate the AC for the Schwarzschild black hole we write the metric in the following form:
d s 2 = d t 2 e λ ( t , R ) d R 2 r 2 ( t , R ) ( d θ 2 + sin 2 θ d ϕ 2 ) ,
for which the Einstein’s equations are:
e λ r 2 + 2 r r ¨ + r ˙ 2 + 1 = 0 ,
e λ r ( 2 r r λ ) + r ˙ λ ˙ t + λ ¨ + λ ˙ 2 2 + 2 r ¨ r = 0 ,
e λ r 2 ( 2 r r + r 2 r r λ ) + 1 r 2 ( r a ˙ λ ˙ + a ˙ 2 + 1 ) = 0 ,
2 r λ ˙ r = 0 ,
where (‘) and (˙) are respectively derivatives of t and r. We take the t = 0 section as a Cauchy hypersurface. The initial data on this hypersurface then defines the metric on the whole Schwarzschild spacetime. However, because of the Holography principle the amount of initial data needed is smaller than one would naively expect. ¿From Eq.(80c) one sees that for t = 0 the first time derivative of all components of the metric tensor are zero. Therefore the initial data must satisfy:
2 r r + r 2 r r λ e λ = 0 .
In order to solve Eq. (81) on the surface t = 0 we take boundary conditions of the following form:
r ( R = 0 , t = 0 ) = 0 , r ( R = 0 , t = 0 ) = r g ,
where rg is radius at the event horizon. Thus the metric on the whole Schwarzschild spacetime is defined by the value of the Gθθ component of metric at the origin. The AC for the Schwarzschild metrics can be written as the sum of two quantities. The first quantity is connected with some Lorentz-invariant number which is related to the event horizon (the surface t = 0, R = 0). The second quantity is connected with the Einstein equations. We take the first quantity to be related to the area of the event horizon (4 π r g 2 ). We will divide this by 4 π l P l 2 in order to obtain a dimensionless number. The second quantity is taken as the length of the program for calculating the metric. Thus the AC of the Schwarzschild black hole is given by the following expression :
K L [ ( r g l P l ) 2 ] + L E i n s t e i n ,
L[(rg/lPl)2] is the program length for the definition of the dimensionless number r g 2 / l P l 2 which is determined from some universal machine. LEinstein is the program length of the solution of Einstein’s differential equations using some universal machine, for example, the Turing machine. Finding an exact expression for the length, L, for determining the number (rg/lPl)2 is a difficult problem. As a rough approximation we assume that each Planck sized cell, l P l 3 can contain one bit so that L[(rg/lpl)2] ≈ (rg/lpl)2. With this approximation we can compare the first term of Eq. (83) with the Bekenstein-Hawking equation
S = 4 π r g 2 .
Thus there appears to be some relation between these two quantities.

5.3 Algorithmic complexity and the path integral

In this section we will propose an alternative method of calculating the path integral in quantum gravity. The basic idea is to replace the action (I[g]) in the path integral by the AC (K[g]). It is important to note that K[g] is a positive functional of g. Under this replacement of the action by the AC the path integral becomes
where gµν is some arbitrary metric; K[g] is the AC for the metric g; Z[J] is a generating functional for quantum gravity.
The most complicated gravitational fields (in terms of AC) are those metrics which satisfy or are the result of no field equations. Such configurations are essentially random fields with no algorithm connecting the values of the metric at neighboring points in the spacetime. Thus according to Kolmogorov’s definition of AC such random metrics would have a large AC. Metrics which are the solutions to some gravity equations (Einstein’s equations, R2 - theory, Euclidean theory, etc.) have a smaller AC in comparison with random metrics. In this sense one can take gravitational instantons as the simplest gravitational objects: they are symmetrical spaces, with the corresponding metrics possessing the same symmetry group. One way of understanding why instantons have a small AC is that they can be determined via their topological charges rather than by the field equations. This greatly reduces the AC of such configurations.
Thus, as a first approximation the path integral in quantum gravity can be defined as the sum over the gravitational instantons. The next order of approximation would include the contributions from metrics which are solutions of Einstein’s equations, R2 - theories, multidimensional theories etc. The larger the AC of a given configuration the larger the order of approximation at which it contributes to the path integral. An interesting point is that for quantum gravity based on the integral (85) the Universe can contain different regions where different gravitational equations hold. An example of this is the composite wormhole discussed above.

6 Conclusions

In this paper we have considered the possibility that Nature can have changing the physical laws. We have postulated that the dynamics of this changing may be connected with the AC of a particular set of laws. This leads to the proposition that an object with a smaller AC has a greater probability to fluctuate into existence.
Some physical consequences that can results from this hypothesized fluctuation of physical laws at the Planck scale are: the birth of the Universe with a fluctuating metric signature; the transition from a fluctuating metric signature to Lorentzian one; “frozen” extra dimensions as a consequence of this transition; quantum handles in the spacetime foam as regions with multidimensional gravity and so on.

7 Acknowledgment

This work is supported by ISTC grant KR-677 and I am very grateful for the Alexander von Humboldt Foundation for the support of this work.

A Gravitational equations

We start from the Lagrangian adopted for the vacuum gravitational theory on the principal bundle with the structural group G (dim( G ) = N). G is the gauge group associated with the EDs
where R is the Ricci scalar for the total space; G and g are the determinant of the metric on the total space and base of the principal bundle respectively, Λ1, Λ 2 are the MD and 4D λ-constants. This Lagrangian is correct if the coordinate transformations conserve the topological structure of the total space (i.e. does not mix the fibres)
y a = y a ( y b ) + f a ( x a ) ,
x μ = x μ ( x a ) .
The metric on the total space can be written as
d s ( M D ) 2 = b ( ω a ¯ + h μ a ¯ d x μ ) ( ω a ¯ + h a ¯ μ d x μ ) + ( h α μ ¯ d x α ) ( h μ ¯ β d x β )
ω a ¯ = e b a ¯ d y b h b a ¯ = e b a ¯
where xµ and yb are the coordinates along the base and fibres respectively; (Greek indices)= 0, 1, 2, 3 and (Latin indices)= 5, 6, ··· , N; A ¯ = a ¯ , μ ¯ is the viel-bein index; η A ¯ B ¯ = {±1, ±1, ··· , ±1} is the signature of the MD metric; ω a ¯ are the 1-forms satisfying to the structural equations
d ω a ¯ = f b ¯ c ¯ a ¯ ω b ¯ ω c ¯
where f b ¯ c ¯ a ¯ are the structural constants for the gauge group G .
The independent degrees of freedom for gravity on the principal bundle with the structural group G is vier-bein h ν μ ¯ ( x α ) , gauge potential h ν a ¯ ( x α ) and scalar field b(xα) [4]. All functions depend only on the point xµ on the base of the principal bundle as a consequence of the symmetry of the fibres.
Varying the action (86) with respect to h ν μ ¯ ( x α ) leads to
( R ν ¯ μ 1 2 h ν ¯ μ R Λ 1 h ν ¯ μ ) | γ | d N y Λ 2 h ν ¯ μ = 0
where |γ| = det h b a ¯ = bN det e b a ¯ is the volume element on the fibre and G = | g | | γ | is a consequence of the following structure of the MD metric
h = h B A ¯ = ( h b a ¯ h μ a ¯ 0 h μ ν ¯ ) ,
h 1 = h A ¯ B = ( h a ¯ b h a ¯ b h ν a ¯ h ν ¯ ν 0 h ν ¯ μ ) ,
h a ¯ b = ( h b a ¯ ) 1 h ν ¯ μ = ( h μ ν ¯ ) 1 .
An integration over the EDs can be easily performed since no functions depend on ya
( ) | γ | d N y = ( ) | γ | d N y = ( ) b N / 2 V G
where V G = det ( e b a ¯ ) d N y is the volume of the gauge group G . In this case Eq. (90) becomes
R ν ¯ μ 1 2 h ν ¯ μ R = ( Λ 1 + Λ 2 b N / 2 ) h ν ¯ μ
where Λ 2 = V G Λ 2 .
Varying with respect to h μ a ¯ ( x α ) leads to
R a ¯ μ = 0
as h μ a ¯ does not consists in det ( h B A ¯ ) = det ( h b a ¯ ) det ( h ν μ ¯ ) .
Varying with respect to b(xα) leads to
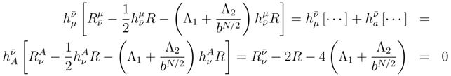
δ S δ b = a ¯ , b δ h b a ¯ δ b δ S δ h b a ¯ = h A a ¯ ( R a ¯ A 1 2 h a ¯ A Λ 1 h a ¯ A )
here we used Eq. (93) and h a ¯ μ =. This equation we write in the form
R a ¯ a ¯ N 2 R = N Λ 1
¿From Eq. (93) we have
Adding Eqs. (97a) and (96) we find
R = R A ¯ A ¯ = 2 N + 2 [ ( N + 4 ) Λ 1 + 4 Λ 2 b N / 2 ]
Finally we have
R a ¯ a ¯ = 2 N N + 2 [ Λ 1 + Λ 2 b N / 2 ] ,
R a ¯ μ = 0
R ν ¯ μ 1 2 h ν ¯ μ R = ( Λ 1 + Λ 2 b N / 2 ) h ν ¯ μ
This equation system can be rewritten as
R a ¯ a ¯ = 2 N N + 2 [ Λ 1 + Λ 2 b N / 2 ] ,
R μ ¯ a ¯ = 0
R μ ¯ ν ¯ 1 2 η μ ¯ ν ¯ R = ( Λ 1 + Λ 2 b N / 2 ) η μ ¯ ν ¯
here we have used h b ν ¯ = 0 .

References

  1. Dzhunushaliev, V. Wormhole with Quantum throat. gr-qc/0005008. Grav. Cosmol. 2001, 7, 79–82. [Google Scholar]
  2. Kolmogorov, A.N. Information theory and algorithm theory: Logical foundation of the information theory. Combinatorial foundation of the information theory and the probability calculus; Nauka: Moscow, 1987; pp. 232–250. [Google Scholar]
  3. Dzhunushaliev, V. Kolmogorov’s Algorithmic Complexity and its Probability Interpretation in Quantum Gravity. Class. Quant. Grav. 1998, 15, 603–612. [Google Scholar] [CrossRef]
  4. Salam, A.; Strathdee, J. On Kaluza-Klein Theory. Ann. Phys. 1982, 141, 316–352. [Google Scholar] [CrossRef] Percacci, R. Kaluza-Klein Theories On Bundles With Homogeneous Fibers. 1. J. Math. Phys. 1983, 24, 807. [Google Scholar]
  5. Bousso, R.; Hawking, S. Primordial Black Holes: Pair Creation, Lorentzian Condition, and Evaporation. Int. J. Theor. Phys. 1999, 38, 1227–1252. [Google Scholar] [CrossRef]
  6. Dzhunushaliev, V. Nondifferentiable dynamic : Two examples. Gen. Relat. Grav. 2001, 33, 95–110. [Google Scholar] [CrossRef]
  7. Hooft, G. ’t. Quantum Gravity As A Dissipative Deterministic System. Class. Quant. Grav. 1999, 16, 3263–3279. [Google Scholar] [CrossRef]
  8. Chodos, A.; Detweiler, S. Spherically Symmetric Solutions In Five-Dimensional General Relativity. Gen. Relat. Grav. 1982, 14, 879. [Google Scholar] [CrossRef] Clément, G. Axisymmetric Regular Multiwormhole Solutions In Five-Dimensional General Relativity. Gen. Relat. Grav. 1984, 16, 477. [Google Scholar] [CrossRef]
  9. Dzhunushaliev, V.; Singleton, D. Wormholes and Flux Tubes in 5D Kaluza-Klein Theory. Phys. Rev. D 1999, 59, 064018. [Google Scholar] [CrossRef]
  10. Dzhunushaliev, V. Multidimensional geometrical model of the renormalized electrical charge with splitting off the extra coordinates. Mod. Phys. Lett. A 1998, 13, 2179–2185. [Google Scholar] [CrossRef]
  11. Bronnikov, K. Extra Dimensions And Possible Space-Time Signature Changes. Int.J.Mod.Phys. 1995, D4, 491–516. [Google Scholar] [CrossRef] On Spherically Symmetric Solutions In DDimensional Dilaton Gravity. Grav. Cosmol. 1995, 1, 67–78.
  12. Dzhunushaliev, V. Matching Condition on the Event Horizon and Holography Principle. Int. J. Mod. Phys. 2000, D9, 551–560. [Google Scholar] [CrossRef]
  13. Sachs, Ivo; Solodukhin, Sergey N. Horizon Holography. Phys.Rev. 2001, D64, 124023. [Google Scholar] [CrossRef]
  14. Arkani-Hamed, N.; Dimopoulos, S.; Kaloper, N.; Sundrum, R. A Small Cosmological Constant From A Large Extra Dimension. Phys. Lett. 2000, B480, 193–199. [Google Scholar] [CrossRef]
  15. Bekenstein, J.D. Black Holes And Entropy. Phys.Rev. 1973, D7, 2333–2346. [Google Scholar] [CrossRef] Bekenstein, J.D. Generalized Second Law Of Thermodynamics In Black Hole Physics. Phys.Rev. 1974, D9, 3292–3300. [Google Scholar]
  16. Hawking, S.W. Black Hole Explosions. Nature 1974, 248, 30–31. [Google Scholar] [CrossRef]
  17. Hosoya, A.; Ogura, W. Wormhole Instanton Solution In The Einstein Yang-Mills System. Phys. Lett. 1989, B225, 117. [Google Scholar] [CrossRef]
  18. Guendelman, E.I. Scale Invariance, New Inflation And Decaying Lambda Terms. Mod. Phys. Lett. 1999, A14, 1043–1052, “The Volume Element of Space-Time and Scale Invariance”, hep-th/0011049 (Contribution to IARD 2000 Conference). [Google Scholar] [CrossRef]
  19. Belavin, A.A.; Polyakov, A.M.; Schwartz, A.S.; Tyukin, Y.S. Pseudoparticle Solutions Of The Yang-Mills Equations. Phys. Lett. 1975, B59, 85–87. [Google Scholar] [CrossRef]
  20. Donets, E.E.; Gal’tsov, D.V. Continuous Family Of Einstein Yang-Mills Wormholes. Phys. Lett. 1992, B294, 44–48. [Google Scholar] [CrossRef]

Share and Cite

MDPI and ACS Style

Dzhunushaliev, V.; Singleton, D. Algorithmic Complexity in Cosmology and Quantum Gravity. Entropy 2002, 4, 3-31. https://doi.org/10.3390/e4010003

AMA Style

Dzhunushaliev V, Singleton D. Algorithmic Complexity in Cosmology and Quantum Gravity. Entropy. 2002; 4(1):3-31. https://doi.org/10.3390/e4010003

Chicago/Turabian Style

Dzhunushaliev, V., and D. Singleton. 2002. "Algorithmic Complexity in Cosmology and Quantum Gravity" Entropy 4, no. 1: 3-31. https://doi.org/10.3390/e4010003

APA Style

Dzhunushaliev, V., & Singleton, D. (2002). Algorithmic Complexity in Cosmology and Quantum Gravity. Entropy, 4(1), 3-31. https://doi.org/10.3390/e4010003

Article Metrics

Back to TopTop