Next Article in Journal
Basic Concepts, Identities and Inequalities - the Toolkit of Information Theory
Previous Article in Journal
Energy, Entropy and Exergy Concepts and Their Roles in Thermal Engineering
 
 
Font Type:
Arial Georgia Verdana
Font Size:
Aa Aa Aa
Line Spacing:
Column Width:
Background:
Article

The Role of Hellinger Processes in Mathematical Finance

1
Mathematical Sciences Dept.; University of Alberta; Edmonton, Canada
2
Dept. of Mathematics and Statistics; McMaster University; Hamilton, Canada
*
Author to whom correspondence should be addressed.
Entropy 2001, 3(3), 150-161; https://doi.org/10.3390/e3030150
Submission received: 7 September 2001 / Accepted: 15 September 2001 / Published: 30 September 2001

Abstract

:
This paper illustrates the natural role that Hellinger processes can play in solving problems from finance. We propose an extension of the concept of Hellinger process applicable to entropy distance and f-divergence distances, where f is a convex logarithmic function or a convex power function with general order q, 0 ≠ q < 1. These concepts lead to a new approach to Merton’s optimal portfolio problem and its dual in general Lévy markets.

1 Introduction

Merton’s problem of finding the optimal investment strategy in a continuous–time securities market was proposed by Merton in 1969 ([18]). Using the technology of dynamic programming, he derived in [18] and [19] a non-linear PDE (Hamilton–Jacobi–Bellman equation) and produced explicit solutions for the cases of power, logarithmic and exponential utility function. Later on, the rich theory of martingales found its way into the problem, via the works of Harrison and Pliska [9], Karatzas et al [15] and Cox and Huang [2]. In these works, the duality methodology of convex analysis combined with martingale technology to provide a powerful method to deal with this problem, e.g. [10], [15], [3], [16],[20]. The main feature of the application of martingale technology to portfolio optimization is the derivation of the equivalent “dual problem”, a minimization problem over the set of martingale measures. This latter is similar to the problem of choosing the appropriate martingale measure that one faces in the problem of pricing derivative securities in incomplete markets. In fact, the intimate relation between these two problems was established by Davis [4] by giving the investor an extremal objective in the form of a utility maximization problem. Indeed, Davis was the first to plug the derivative pricing problem for incomplete markets into a utility maximization framework to get a unique risk neutral measure (the “pricing measure”).
In recent years, there has been increased activity in extending this framework to include more general models of securities. Papers which address processes of independent increments [8] and general semimartingales [16],[20] have all added to the framework.
In information theory (that part of probability theory which addresses the notion of distance between probability measures) there has been an upsurge of interest in the last decade in the concept of Hellinger processes and integrals. These processes arise from a dynamical approach to the Kakutani-Hellinger distance between two probability measures, see [12] and [17]. The application of Hellinger processes in mathematical finance started with the work of [14]. Very recently, [8] proposed the Hellinger martingale measure as an alternative to the minimal and optimal variance martingale measures for the case of processes with independent increments. In that paper, the pricing measure derived from a specific power–law utility (with exponent p = −1) is shown to be identical to the equivalent martingale measure which is nearest to the physical measure (“real–world measure”) in the sense of the (q = 1/2) Hellinger distance. Thus, the paper shows a link between information theory and portfolio theory for a single example of utility function.
In the present paper, we strengthen the link between information theory and portfolio theory by demonstrating that Grandits’ example can be extended to more general utility functions. Working in an exponential Lévy process market model, we show that for the most general power law utility, for the logarithmic utility, and for exponential utility, one can in each case define a process which possesses a number of properties similar to the Hellinger processes. Then the pricing measure in each case is shown to be identical to the equivalent martingale measure which minimizes the corresponding generalized Hellinger process. In the case of exponential utility, the corresponding pricing measure is the minimal entropy martingale measure which was introduced by Frittelli in [5],[6] (see also [1] for related works).
The organization of the paper is as follows. Section 2 introduces the exponential Lévy market model and provides some preliminary analysis. In Section 3, we review Merton’s problem and its dual formulation and give an economic interpretation for the solution to this problem. Section 4 reviews the definition of Hellinger processes and presents their defining properties. Our main contribution is in section 5, where we define examples of generalized Hellinger processes corresponding to the three types of utility functions mentioned above, and demonstrate their relation to Merton’s problem and their desirable information theoretic properties.

2 The market model

We start with a filtered probability space ( Ω ,   F ,   ( F t ) 0 t T ,   P ) , a one–dimensional Brownian motion W and a one–dimensional Poisson random measure N (dt, dy) with Lévy measure ν(dy). The filtration is supposed to satisfy the usual conditions by which we mean right continuity and completeness i.e. F t = s > t F s and N F 0 where N is the set of F -measurable and P–negligible events. We consider a financial market consisting of a risk-free asset (bank account) B given by
B t = e r t ,
where r > 0 is a constant interest rate and a stock S (risky asset). An ideal market is assumed in which transaction costs and liquidity effects are neglected and there are no limits on short-selling or borrowing.
The stock process S is assumed to be governed by the following stochastic differential equation
Entropy 03 00150 i001
Here σ > 0, b are constants and N ˜ is the compensated Poisson random measure given by N ˜ ( d t , d y ) = N ( d t , d y ) d t   ν ( d y ) . We have denoted the indicator functions I{y≤1}, I{y>1} by I, I>. We make two assumptions on the Lévy measure:
1 ∧ |y| is ν–integrable;
supp(ν) = [−1, ∞).
Note the first condition is a strengthening of the general condition that 1 ∧ |y|2 be integrable; the second condition is natural for a non–negative financial asset.
The discounted stock price B t 1 S t can be written as the Doléans–Dade exponential B−1S = S0𝜀(L) of the following Lévy process (stationary process with independent increments)
Entropy 03 00150 i002
Here 𝜀(L) is the unique solution to the SDE dK = K_dL, K0 = 1. As shown in [13], B−1S can equivalently be expressed as the ordinary exponential S0 exp(X) of a Lévy process with Lévy measure ν′ with supp(ν′) = (−∞, ∞).
We denote by M a , M e , l o c and M e the spaces of all absolutely continuous local martingale measures, locally equivalent martingale measures and equivalent martingale measures respectively. The following proposition gives a representation of the density for the most general Q M a as the exponential of some (local) martingale with respect to the Brownian motion and the Poisson random measure.
Proposition 2.1 
Let Q be a probability measure absolutely continuous with respect to P with conditional density Z t = E ( d Q / d P | F t ) . Then
1.
Z can be written 𝜀(M) for a (local) martingale of the form
Entropy 03 00150 i003
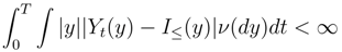
for a predictable W-integrable process β and non-negative P × B ( Entropy 03 00150 i009)-measurable function Y (ω, t, y) (we will omit ω in the notation of β, Y and simply denote them by βt, Yt(y); recall P F × B ( R + ) is the predictable σ–algebra) which satisfies
Entropy 03 00150 i004
almost surely for any T < ∞.
2.
The following two conditions are equivalent:
(a) 
Q M a
(b) 
For any T < ∞, β and Y satisfy
Entropy 03 00150 i005
Entropy 03 00150 i006
Proof. 
  • For details about this representation, we refer the reader to chapter III, section 4 of [12].
  • B−1S is a Q-local martingale iff ZB−1S = S0𝜀(L+ M + [L, M]) is a P -local martingale iff L + M + [L, M] is a P -local martingale and the result follows by direct calculation. ☐
In this paper we will focus on two restricted families M a , det M a , Mark M a of exponential martingales Z where “deterministic” martingales are defined by (2.6) with β = β(t), Y = Y (t, y) deterministic functions and “markovian” martingales are defined by (2.6) with β = β(t, Zt), Y = Y (t, y, Zt) deterministic functions.
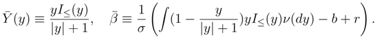
The set M a is not reduced to a singleton unless ν is zero. Indeed, (2.9) admits an infinite number of solutions: one martingale measure can be described by
Y ^ I       β ^ r b σ ;
a second is given by
Entropy 03 00150 i007
For each α ∊ [0, 1], the couple ( β ,   Y ) = α ( β ^ ,   Y ^ ) + ( 1 α ) ( β ¯ ,   Y ¯ ) is also a solution. By the fundamental theorem of arbitrage pricing [9] this implies that the market is incomplete and there exist payoffs (contingent claims) which cannot be perfectly replicated. One of the most important problems one faces in incomplete markets is which martingale measure to choose as pricing measure. Schweizer and Föllmer propose the minimal martingale measure [7], others propose the variance–optimal martingale measure [21]. In general, however, the correct approach is via utility theory, a typical problem of which is the Merton problem.

3 The Merton problem

Consider an investor who wants to invest in their wealth in this market in an optimal way over the period [0, T]. Letting πt, 1 − πt be the fraction of wealth invested at time t in the stock and bank respectively and making the usual self–financing requirement (meaning no money is withdrawn from or added to the portfolio), then the wealth process X t π , x which follows from an initial endowment x = X0 is given by
Entropy 03 00150 i008
The investor’s tolerance of risk is quantified by a utility function U (x) which measures their pleasure experienced when the wealth is x.
Definition 3.1 
A utility function U is a strictly increasing, strictly concave and twice continuously differentiable real valued function defined on Entropy 03 00150 i009+ such that
U′ (0) = ∞,   U′ (∞) = 0
Remark. 
With the domain taken to be Entropy 03 00150 i010+ = [0, ∞) we have placed an extra restriction that the portfolio value may never become negative. In one example discussed in §5 we will consider a utility function supported on Entropy 03 00150 i010.
The Merton problem for a given utility function U and initial wealth x is now to determine the strategy π* to be implemented over the investment horizon [0, T] which maximizes the expected utility of the terminal wealth X T π * . Thus the Merton problem is to produce (if possible) the maximizer π* amongst admissible strategies A (0, x) for the problem
u ( x ) = sup π A ( 0 , x ) E ( U ( X T π , x ) ) .
We have used the definition
Definition 3.2 
A predictable process π is an “admissible trading strategy” over the period [t, T] if Xπ,x is positive P –as. We denote the set of such processes by A (t, x).
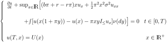
To study (3.11) it is useful to consider a dynamical version of the problem defined by
Entropy 03 00150 i011
Then in the markovian setting as we have here, we are lead to study the HJB equation for u(t, x):
Entropy 03 00150 i012
As is now well known, the so–called “primal” problem (3.11) can also be addressed by focusing on the Legendre transform V of U defined by
Entropy 03 00150 i013
which is a strictly decreasing, strictly convex and twice differentiable function. Now one studies the “dual problem”
Entropy 03 00150 i014
When a minimal Z can be found for the dual problem, we can interpret it as the equivalent martingale measure (pricing measure) which captures the risk preferences coded into the utility function U. Furthermore, as shown in [16], the functions u(x) and v(y) can themselves be obtained from each other by using Legendre transform:
Entropy 03 00150 i015
In this paper, we will treat the cases of exponential, power and logarithmic utility. The extension to general semimartingales for these utility functions will require a careful treatment using stochastic calculus. The extension to general utility function is also possible and will be the focus of our future work.

4 Hellinger processes and the dual problem

In this section, we review Hellinger processes and examine the role they can play in optimal problems in mathematical finance.
Theorem 4.1 
For 0 < q < 1 and L a local martingale such that 1 +L > 0 P -almost surely, the following assertions hold.
1.
The process 𝜀(L)q is a supermartingale;
2.
There exists a predictable increasing process h(q) such that h 0 ( q ) = 0 and
Entropy 03 00150 i016
is a martingale.
Proof. 
The proof of this theorem is given in Theorem III.1.18 of [12]. Note that statement (1) is a consequence of the concavity of the function f(y) = yq /q and Jensen’s inequality. ☐
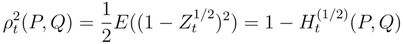
When Theorem 4.1 is applied to a martingale Z of the form (2.6) for a pair QP, the resulting process h(q)(P,Q) is called a q–Hellinger process. The expectation H t ( q ) ( P , Q ) = E ( ( Z t ) q ) is called the q–Hellinger integral. The particular case q = 1/2 is related to the Kakutani–Hellinger distance ρt between P and Q at time t:
Entropy 03 00150 i017
For q ≠ 1/2, H(q)(P,Q) is not symmetric in P,Q; nonetheless it can be thought of as measuring the degree of separation between measures.
In the markovian case Z M a , Mark it can be shown that h = h(t, Zt) for a bivariate deterministic function and in the completely deterministic case Z M a , det h=h(t) is a deterministic increasing function of t alone. When Z M a , det note that the Hellinger integral is given by
Entropy 03 00150 i018
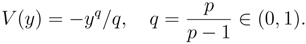
Now we consider the Merton problem for the power utility function U (x) = xp/p with p < 0. Its Legendre transform is given by
Entropy 03 00150 i019
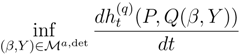
For this utility, the dual Merton problem (3.15) can be rewritten in terms of the q–Hellinger integral:
Entropy 03 00150 i020
General theory implies that the optimizer for (4.20) in our Lévy market will be deterministic and thus can be found by solving
Entropy 03 00150 i021
Theorem 4.2 
In the Lévy market model described above with q ∈ (0, 1), the pair (β,Y) solves (4.21) if and only if it solves
Entropy 03 00150 i022
for all t ∈ [0, T].
Proof. 
From (4.18), it follows that Ht = exp(−ht). Then we derive
Entropy 03 00150 i023
Remark. 
The problem of (4.22) is solved independently for each value of t and determines (β,Y) at that time. Thus we see that the optimal martingale measure is that which minimizes the relative rate of decrease of the Hellinger integral at every instant of time. Put another way, we see that the Hellinger process measures the rate that Q moves away from P, and the optimal martingale measure is that Q for which this rate is minimized at each instant of time.
A direct calculation using the generalized Ito formula [11] leads to an explicit formula for the Hellinger process
Entropy 03 00150 i024

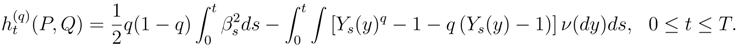
5 Generalized Hellinger processes

We now show that much of the previous section remains true for more general concave functions of the density process Zt defined by the pair QP. We consider the three important special cases of utility functions and their Legendre transforms:
Entropy 03 00150 i025
Entropy 03 00150 i026
Entropy 03 00150 i027
Remark: 
The third is called the “‘entropy” case : Note that in this case the domain of U is Entropy 03 00150 i010, and V is no longer a decreasing function.
We shall now define generalized Hellinger processes which correspond to these three utility functions. They are predictable increasing processes which can be written as the integral of a positive deterministic function when Z M a , det . Furthermore, exactly as in the previous section they lead to the solution of the deterministic dual problem (3.15) defined by the given utility function.
  • Case of q < 0: Now we notice that Zq is a positive sub–martingale which can be decomposed uniquely into
    Entropy 03 00150 i028
    where h(q) is an increasing predictable process we will call the q–Hellinger process of order q < 0. The explicit formula for h(q) is
    Entropy 03 00150 i029
  • Logarithmic case: Here there is a unique increasing predictable process we will call the log–Hellinger process, or hL, such that
    Entropy 03 00150 i030
    It is given by
    Entropy 03 00150 i031
  • Entropy case: The entropy-Hellinger process hE is defined by the decomposition
    Entropy 03 00150 i032
    and is given explicitly by
    Entropy 03 00150 i033
With these new definitions, we see a clear relation with the Merton problem for the corresponding utility.
Theorem 5.1 
In each of the three problems described above, the pair (β,Y) solves (3.15) if and only if it solves
Entropy 03 00150 i034
for all t ∈ [0, T].
Proof. 
We need only reproduce the proof of Theorem 4.2 ☐

6 Conclusion

We have derived a number of examples of generalized Hellinger processes ht which have the interpretation that they measure an infinitesimal rate of separation of two measures Q and P. When applied to the financial problem of Merton, we see that the optimal pricing measure for a given utility function is that martingale measure Q for which the rate of separation given by the corresponding ht is minimized.

References

  1. Bellini, M.; Frittelli, M. On the existence of minimal martingale measures. to appear in Mathematical Finance. 2001. [Google Scholar]
  2. Cox, J. C.; Huang, C. F. Optimal consumption and portfolio policies when asset prices follow a diffusion process. J. Econom. Theory 1989, 49(1), 33–83. [Google Scholar] [CrossRef]
  3. Cvitanić, J.; Karatzas, I. Convex duality in constrained portfolio optimization. Ann. Appl. Probab. 1992, 2(4), 767–818. [Google Scholar]
  4. Davis, M. H. A. Option pricing in incomplete markets. In Mathematics of derivative securities (Cambridge, 1995); Cambridge Univ. Press, 1997; pp. 216–226. [Google Scholar]
  5. Frittelli, M. Dominated families of martingale, supermartingale and quasimartingale laws. Stochastic Process. Appl. 1996, 63(2), 265–277. [Google Scholar] [CrossRef]
  6. Frittelli, M. The minimal entropy martingale measure and the valuation problem in incomplete markets. Math. Finance 2000, 10, 39–52. [Google Scholar] [CrossRef]
  7. Föllmer, H.; Schweizer, M. Hedging of contingent claims under incomplete information. In Applied stochastic analysis (London, 1989); Gordon and Breach: New York, 1991; pp. 389–414. [Google Scholar]
  8. Grandits, P. On martingale measures for stochastic processes with independent increments. Teor. Veroyatnost. i Primenen. 1999, 44(1), 87–100. [Google Scholar] [CrossRef]
  9. Harrison, J. M.; Pliska, S. R. A stochastic calculus model of continuous trading: complete markets. Stochastic Process. Appl. 1983, 15(3), 313–316. [Google Scholar] [CrossRef]
  10. He, H.; Pearson, N. D. Consumption and portfolio policies with incomplete markets and short-sale constraints: the infinite-dimensional case. J. Econom. Theory 1991, 54(2), 259–304. [Google Scholar] [CrossRef]
  11. Ikeda, N.; Watanabe, S. Stochastic differential equations and diffusion processes; North-Holland Publishing Co.: Amsterdam, 1981. [Google Scholar]
  12. Jacod, J.; Shiryaev, A. N. Limit theorems for stochastic processes; Springer-Verlag: Berlin, 1987. [Google Scholar]
  13. Kallsen, J. Optimal portfolios for exponential Lévy processes. Math. Methods Oper. Res. 2000, 51(3), 357–374. [Google Scholar] [CrossRef]
  14. Kabanov, Yu. M.; Kramkov, D. O. Asymptotic arbitrage in large financial markets. Finance Stoch. 1998, 2(2), 143–172. [Google Scholar] [CrossRef]
  15. Karatzas, I.; Lehoczky, J. P.; Shreve, S. E.; Xu, G.–L. Martingale and duality methods for utility maximization in an incomplete market. SIAM J. Control Optim. 1991, 29(3), 702–730. [Google Scholar] [CrossRef]
  16. Kramkov, D.; Schachermayer, W. The asymptotic elasticity of utility functions and optimal investment in incomplete markets. Ann. Appl. Probab. 1999, 9(3), 904–950. [Google Scholar] [CrossRef]
  17. Liese, F.; Vajda, I. Convex statistical distances; B. G. Teubner Verlagsgesellschaft: Leipzig, 1987; With German, French and Russian summaries. [Google Scholar]
  18. Merton, R. C. Lifetime portfolio selection under uncertainty: the continuous–time model. Rev. Econom. Statist. 1969, 51, 247–257. [Google Scholar] [CrossRef]
  19. Merton, R. C. Optimum consumption and portfolio rules in a continuous-time model. J. Econom. Theory 1971, 3(4), 373–413. [Google Scholar] [CrossRef]
  20. Schachermayer, W. Optimal investment in incomplete markets when wealth may become negative. to appear in Annals of Applied Probability. 2000. [Google Scholar]
  21. Schweizer, M. On the minimal martingale measure and the Föllmer–Schweizer decomposition. Stochastic Anal. Appl. 1995, 13, 573–599. [Google Scholar] [CrossRef]

Share and Cite

MDPI and ACS Style

Choulli, T.; Hurd, T.R. The Role of Hellinger Processes in Mathematical Finance. Entropy 2001, 3, 150-161. https://doi.org/10.3390/e3030150

AMA Style

Choulli T, Hurd TR. The Role of Hellinger Processes in Mathematical Finance. Entropy. 2001; 3(3):150-161. https://doi.org/10.3390/e3030150

Chicago/Turabian Style

Choulli, T., and T. R. Hurd. 2001. "The Role of Hellinger Processes in Mathematical Finance" Entropy 3, no. 3: 150-161. https://doi.org/10.3390/e3030150

APA Style

Choulli, T., & Hurd, T. R. (2001). The Role of Hellinger Processes in Mathematical Finance. Entropy, 3(3), 150-161. https://doi.org/10.3390/e3030150

Article Metrics

Back to TopTop