An Information-Theoretic Analysis of High-Frequency Load Disaggregation
Abstract
1. Introduction
1.1. Contributions and Limitations
1.2. Structure of This Work
2. Related Work
3. Materials and Methods
3.1. Dataset
3.2. Information-Theoretic Metrics
3.3. Load Disaggregation with Feature Selection
4. Information Structure of Appliance Signals
4.1. Static Information Content
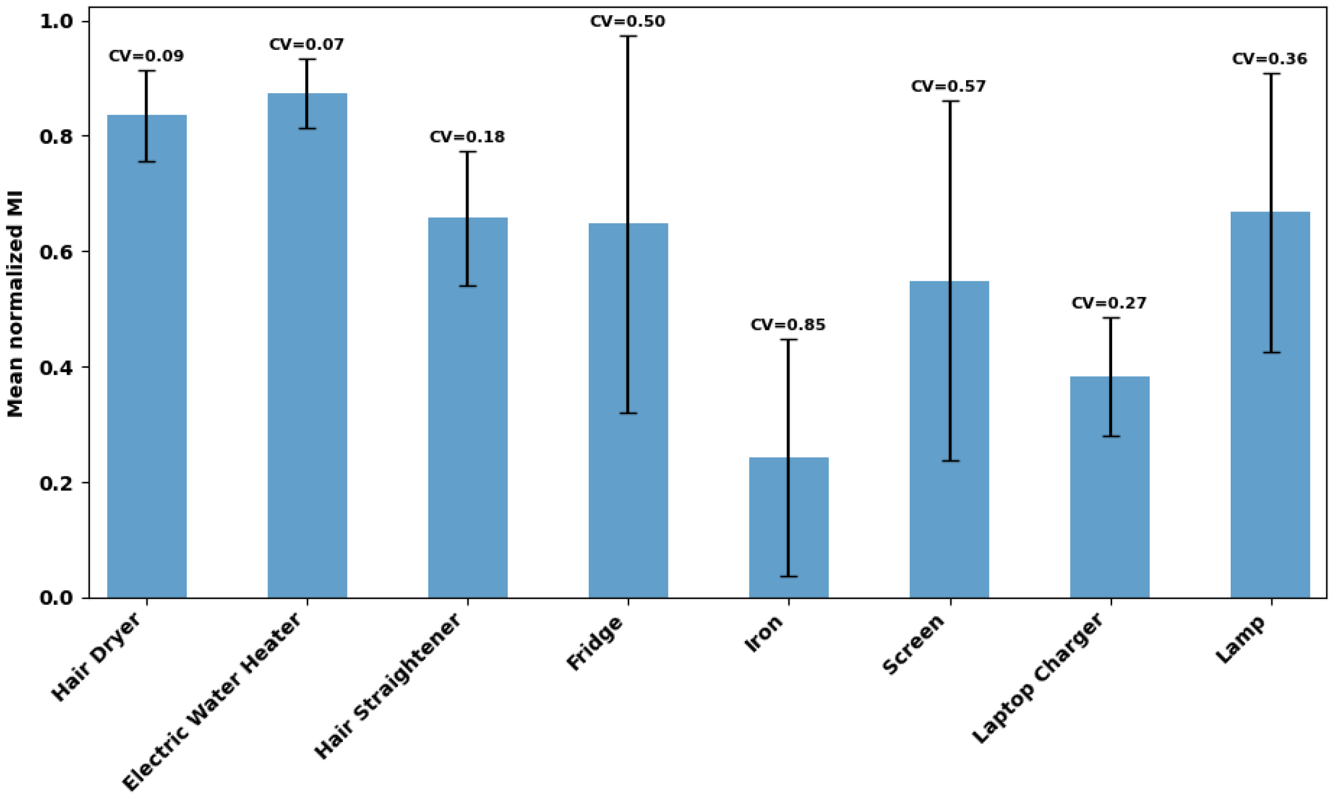
4.2. Variability Across Sessions
4.3. Temporal and Conditional Information
5. Validation Through Disaggregation
6. Conclusions and Future Works
Author Contributions
Funding
Data Availability Statement
Acknowledgments
Conflicts of Interest
Abbreviations
| CV | Coefficient of Variation |
| CVRMSE | Coefficient of Variation of the Root Mean Square Error |
| MI | Mutual Information |
| mRMR | Minimum Redundancy Maximum Relevance |
| NILM | Non-Intrusive Load Monitoring |
| TE | Transfer Entropy |
References
- Rehman, A.U.; Tito, S.R.; Nieuwoudt, P.; Imran, G.; Lie, T.T.; Vallès, B.; Ahmad, W. Applications of Non-Intrusive Load Monitoring Towards Smart and Sustainable Power Grids: A System Perspective. In Proceedings of the 2019 29th Australasian Universities Power Engineering Conference (AUPEC); IEEE: Piscataway, NJ, USA, 2019; pp. 1–6. [Google Scholar]
- Young, T.L.; Gopsill, J.; Valero, M.; Eikevåg, S.; Hicks, B. Comparing four machine learning algorithms for household non-intrusive load monitoring. Energy AI 2024, 17, 100384. [Google Scholar] [CrossRef]
- Zhang, Y.; Qian, W.; Ye, Y.; Li, Y.; Tang, Y.; Long, Y.; Duan, M. A novel non-intrusive load monitoring method based on ResNet-seq2seq networks for energy disaggregation of distributed energy resources integrated with residential houses. Appl. Energy 2023, 349, 121703. [Google Scholar] [CrossRef]
- Yan, Z.; Hao, P.; Nardello, M.; Brunelli, D.; Wen, H. A generalizable load recognition method in NILM based on transferable random forest. IEEE Trans. Instrum. Meas. 2025, 74, 6505312. [Google Scholar] [CrossRef]
- Kaselimi, M.; Protopapadakis, E.; Voulodimos, A.; Doulamis, N.; Doulamis, A. Towards trustworthy energy disaggregation: A review of challenges, methods, and perspectives for non-intrusive load monitoring. Sensors 2022, 22, 5872. [Google Scholar] [CrossRef]
- Meier, A.; Cautley, D. Practical limits to the use of non-intrusive load monitoring in commercial buildings. Energy Build. 2021, 251, 111308. [Google Scholar] [CrossRef]
- Wood, D.; Papamarkou, T.; Benatan, M.; Allmendinger, R. Model-agnostic variable importance for predictive uncertainty: An entropy-based approach. Data Min. Knowl. Discov. 2024, 38, 4184–4216. [Google Scholar]
- Dinar, F.; Paris, S.; Busvelle, É. Capturing High-Frequency Harmonic Signatures for NILM: Building a Dataset for Load Disaggregation. Sensors 2025, 25, 4601. [Google Scholar] [CrossRef]
- Massidda, L.; Marrocu, M. A bayesian approach to unsupervised, non-intrusive load disaggregation. Sensors 2022, 22, 4481. [Google Scholar] [CrossRef]
- Kumar, P.; Abhyankar, A.R. A time efficient factorial hidden Markov model-based approach for non-intrusive load monitoring. IEEE Trans. Smart Grid 2023, 14, 3627–3639. [Google Scholar]
- Ding, D.; Li, J.; Zhang, K.; Wang, H.; Wang, K.; Cao, T. Non-intrusive load monitoring method with inception structured CNN. Appl. Intell. 2022, 52, 6227–6244. [Google Scholar] [CrossRef]
- Zhou, X.; Feng, J.; Li, Y. Non-intrusive load decomposition based on CNN–LSTM hybrid deep learning model. Energy Rep. 2021, 7, 5762–5771. [Google Scholar]
- Pöchacker, M.; Egarter, D.; Elmenreich, W. Proficiency of power values for load disaggregation. IEEE Trans. Instrum. Meas. 2015, 65, 46–55. [Google Scholar] [CrossRef]
- Schirmer, P.A.; Mporas, I.; Paraskevas, M. Energy disaggregation using elastic matching algorithms. Entropy 2020, 22, 71. [Google Scholar] [CrossRef]
- Zhang, Y.; Wu, H.; Ma, Q.; Yang, Q.; Wang, Y. A learnable image-based load signature construction approach in NILM for appliances identification. IEEE Trans. Smart Grid 2023, 14, 3841–3849. [Google Scholar] [CrossRef]
- Houidi, S.; Fourer, D.; Auger, F. On the use of concentrated time–frequency representations as input to a deep convolutional neural network: Application to non intrusive load monitoring. Entropy 2020, 22, 911. [Google Scholar] [CrossRef]
- Zhou, Y.; Zhang, S.; Ran, B.; Yang, W.; Wang, Y.; Xiao, X. Event-based two-stage non-intrusive load monitoring method involving multi-dimensional features. CSEE J. Power Energy Syst. 2022, 9, 1119–1128. [Google Scholar]
- Fang, Z.; Zhao, D.; Chen, C.; Li, Y.; Tian, Y. Nonintrusive appliance identification with appliance-specific networks. IEEE Trans. Ind. Appl. 2020, 56, 3443–3452. [Google Scholar] [CrossRef]
- He, J.; Wang, J.; Wang, N.; Guo, S.; Zhu, L.; Niyato, D.; Xiang, T. Preventing non-intrusive load monitoring privacy invasion: A precise adversarial attack scheme for networked smart meters. IEEE Trans. Mob. Comput. 2025, 24, 13696–13709. [Google Scholar] [CrossRef]
- Hao, P.; Yan, Z.; Wen, H. Privacy-preserving NILM: A self-alignment source-aware domain adaptation approach. IEEE Trans. Instrum. Meas. 2025, 74, 2507612. [Google Scholar] [CrossRef]
- Dai, S.; Meng, F.; Wang, Q.; Chen, X. DP2-NILM: A distributed and privacy-preserving framework for non-intrusive load monitoring. Renew. Sustain. Energy Rev. 2024, 191, 114091. [Google Scholar] [CrossRef]
- Mariño, C.; Masquil, E.; Marchesoni, F.; Fernandez, A.; Massaferro, P. NILM: Multivariate DNN performance analysis with high frequency features. In Proceedings of the 2021 IEEE PES Innovative Smart Grid Technologies Conference-Latin America (ISGT Latin America); IEEE: Piscataway, NJ, USA, 2021; pp. 1–5. [Google Scholar]
- Bao, S.; Zhang, L.; Han, X.; Li, W.; Sun, D.; Ren, Y.; Liu, N.; Yang, M.; Zhang, B. Feature selection method for nonintrusive load monitoring with balanced redundancy and relevancy. IEEE Trans. Ind. Appl. 2021, 58, 163–172. [Google Scholar] [CrossRef]
- Liu, B.; Zhang, J.; Luan, W.; Zhao, B.; Liu, Z.; Yu, Y. Adaptive multitimescale event detection in nonintrusive load monitoring based on minimum description length principle. IEEE Trans. Instrum. Meas. 2023, 73, 2502514. [Google Scholar] [CrossRef]
- Liu, Y.; You, W.; Yang, M. Non-Intrusive Load Identification Based on Multivariate Features and Information Entropy-Weighted Ensemble. Energies 2025, 18, 2369. [Google Scholar] [CrossRef]
- Kim, N.; Jung, H.; Choi, M.; Bak, J.; Lee, S.W. Charging Into Your Privacy: Indirect Privacy Leakage Attack Using a Laptop Charger. IEEE Trans. Dependable Secur. Comput. 2025, 23, 1148–1159. [Google Scholar] [CrossRef]
- Kang, H.; Kim, H. Household appliance classification using lower odd-numbered harmonics and the bagging decision tree. IEEE Access 2020, 8, 55937–55952. [Google Scholar] [CrossRef]








| Reference | Year | High-Frequency | Information-Theoretic | Energy Disaggregation |
|---|---|---|---|---|
| [13] | 2015 | ✗ | ✓ | ✗ |
| [14] | 2020 | ✗ | ✗ | ✓ |
| [16] | 2020 | ✓ | ✗ | ∘ |
| [22] | 2021 | ✓ | ✗ | ✓ |
| [23] | 2021 | ✗ | ✓ | ∘ |
| [24] | 2023 | ✗ | ✓ | ✗ |
| [25] | 2025 | ✓ | ✓ | ∘ |
| Our work | 2026 | ✓ | ✓ | ✓ |
| Appliance | (bits) | (bits) | Median (bits) | Min (bits) | Max (bits) | (bits) | (bits) | |
|---|---|---|---|---|---|---|---|---|
| Hair Dryer | 0.631 | 0.376 | 0.596 | 0.535 | 0.183 | 1.683 | 0.430 | 0.831 |
| Electric Water Heater | 0.439 | 0.271 | 0.616 | 0.366 | 0.000 | 0.864 | 0.295 | 0.583 |
| Hair Straightener | 0.570 | 0.476 | 0.835 | 0.567 | 0.000 | 1.577 | 0.316 | 0.824 |
| Fridge | 0.585 | 0.999 | 1.707 | 0.008 | 0.000 | 2.581 | 0.053 | 1.117 |
| Iron | 0.139 | 0.130 | 0.935 | 0.145 | 0.000 | 0.525 | 0.070 | 0.208 |
| Screen | 0.221 | 0.240 | 1.084 | 0.157 | 0.003 | 0.971 | 0.093 | 0.349 |
| Laptop Charger | 3.377 | 0.510 | 0.151 | 3.243 | 2.449 | 4.363 | 3.105 | 3.649 |
| Lamp | 0.296 | 0.400 | 1.353 | 0.114 | 0.000 | 1.134 | 0.083 | 0.509 |
| Rank | Feat. | Rank | Feat. | Rank | Feat. | Rank | Feat. |
|---|---|---|---|---|---|---|---|
| 1 | 11 | 21 | 31 | ||||
| 2 | 12 | 22 | 32 | ||||
| 3 | 13 | 23 | 33 | ||||
| 4 | 14 | 24 | 34 | ||||
| 5 | 15 | 25 | 35 | ||||
| 6 | 16 | 26 | 36 | ||||
| 7 | 17 | 27 | 37 | ||||
| 8 | 18 | 28 | |||||
| 9 | 19 | 29 | |||||
| 10 | 20 | 30 |
| Number of Features Used | Mean Training Time (s) | Peak Training Memory (MB) |
|---|---|---|
| 1 | 7.65 | 15.32 |
| 5 | 69.89 | 12.59 |
| 10 | 150.33 | 15.29 |
| 20 | 325.04 | 20.69 |
| 30 | 532.94 | 26.09 |
| 37 | 546.34 | 63.52 |
Disclaimer/Publisher’s Note: The statements, opinions and data contained in all publications are solely those of the individual author(s) and contributor(s) and not of MDPI and/or the editor(s). MDPI and/or the editor(s) disclaim responsibility for any injury to people or property resulting from any ideas, methods, instructions or products referred to in the content. |
© 2026 by the authors. Licensee MDPI, Basel, Switzerland. This article is an open access article distributed under the terms and conditions of the Creative Commons Attribution (CC BY) license.
Share and Cite
Rodrigues, G.A.P.; Serrano, A.L.M.; Filho, G.P.R.; Gonçalves, V.P.; Meneguette, R.I. An Information-Theoretic Analysis of High-Frequency Load Disaggregation. Entropy 2026, 28, 334. https://doi.org/10.3390/e28030334
Rodrigues GAP, Serrano ALM, Filho GPR, Gonçalves VP, Meneguette RI. An Information-Theoretic Analysis of High-Frequency Load Disaggregation. Entropy. 2026; 28(3):334. https://doi.org/10.3390/e28030334
Chicago/Turabian StyleRodrigues, Gabriel Arquelau Pimenta, André Luiz Marques Serrano, Geraldo Pereira Rocha Filho, Vinícius Pereira Gonçalves, and Rodolfo Ipolito Meneguette. 2026. "An Information-Theoretic Analysis of High-Frequency Load Disaggregation" Entropy 28, no. 3: 334. https://doi.org/10.3390/e28030334
APA StyleRodrigues, G. A. P., Serrano, A. L. M., Filho, G. P. R., Gonçalves, V. P., & Meneguette, R. I. (2026). An Information-Theoretic Analysis of High-Frequency Load Disaggregation. Entropy, 28(3), 334. https://doi.org/10.3390/e28030334

