Orientation-Modulated Hyperuniformity in Frustrated Vicsek–Kuramoto Systems
Abstract
1. Introduction
2. The Model and Order Metrics
3. Results
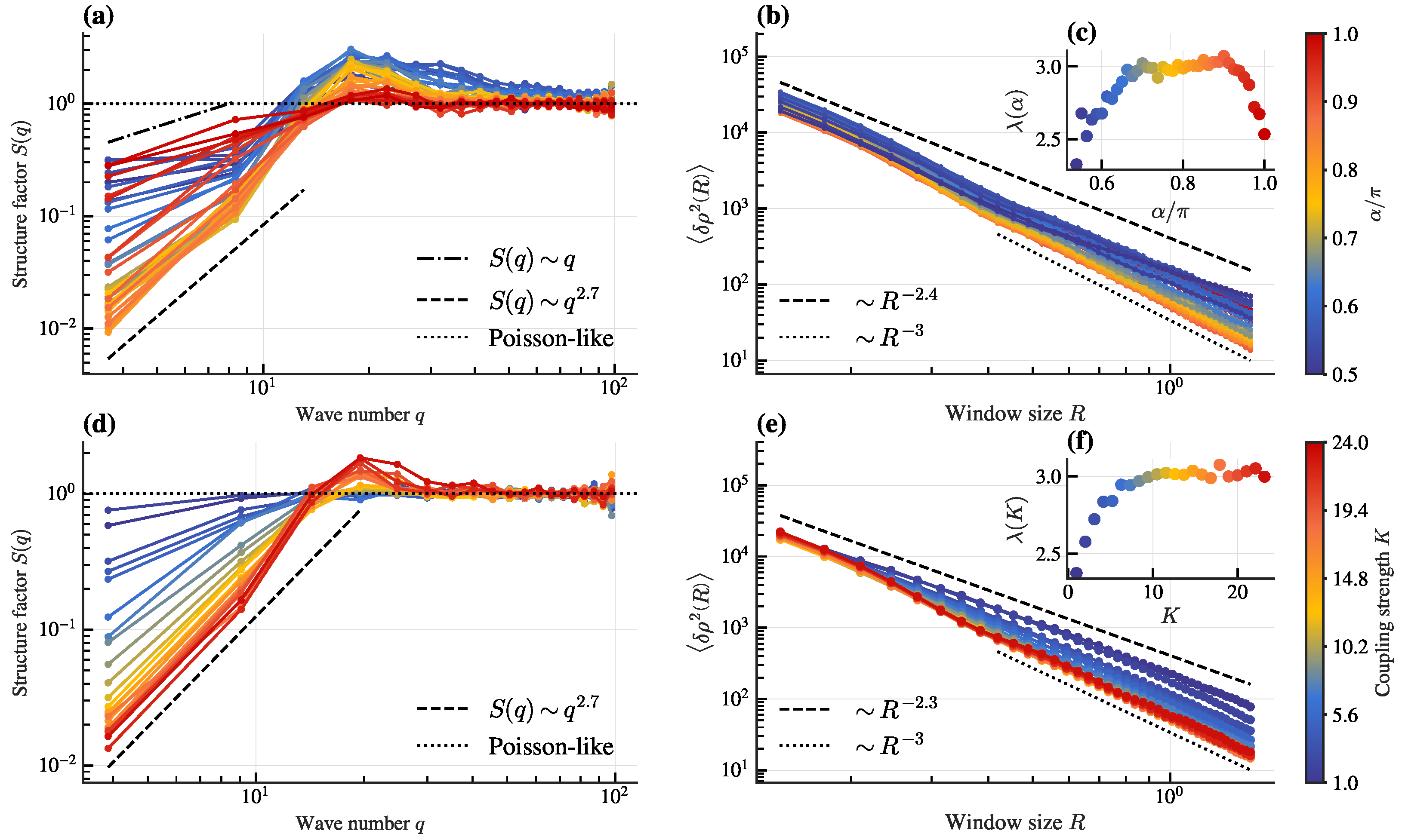
3.1. Phase Diagram and Hyperuniformity
3.2. Orientation-Modulated Hyperuniformity
4. Discussion
Supplementary Materials
Author Contributions
Funding
Data Availability Statement
Conflicts of Interest
References
- Torquato, S.; Stillinger, F.H. Local density fluctuations, hyperuniformity, and order metrics. Phys. Rev. E 2003, 68, 041113. [Google Scholar] [CrossRef]
- Torquato, S. Hyperuniform states of matter. Phys. Rep. 2018, 745, 1–95. [Google Scholar] [CrossRef]
- Maher, C.E.; Torquato, S. Local order metrics for many-particle systems across length scales. Phys. Rev. Res. 2024, 6, 033262. [Google Scholar] [CrossRef]
- Hu, W.; Cui, L.; Delgado-Baquerizo, M.; Solé, R.; Kéfi, S.; Berdugo, M.; Xu, N.; Wang, B.; Liu, Q.X.; Xu, C. Causes and consequences of disordered hyperuniformity in global drylands. Proc. Natl. Acad. Sci. USA 2025, 122, e2504496122. [Google Scholar] [CrossRef] [PubMed]
- Liu, Y.; Chen, D.; Tian, J.; Xu, W.; Jiao, Y. Universal Hyperuniform Organization in Looped Leaf Vein Networks. Phys. Rev. Lett. 2024, 133, 028401. [Google Scholar] [CrossRef]
- Jiao, Y.; Lau, T.; Hatzikirou, H.; Meyer-Hermann, M.; Corbo, J.C.; Torquato, S. Avian photoreceptor patterns represent a disordered hyperuniform solution to a multiscale packing problem. Phys. Rev. E 2014, 89, 022721. [Google Scholar] [CrossRef] [PubMed]
- Donev, A.; Stillinger, F.H.; Torquato, S. Unexpected Density Fluctuations in Jammed Disordered Sphere Packings. Phys. Rev. Lett. 2005, 95, 090604. [Google Scholar] [CrossRef]
- Gabrielli, A.; Joyce, M.; Sylos Labini, F. Glass-like universe: Real-space correlation properties of standard cosmological models. Phys. Rev. D 2002, 65, 083523. [Google Scholar] [CrossRef]
- Florescu, M.; Torquato, S.; Steinhardt, P.J. Designer disordered materials with large, complete photonic band gaps. Proc. Natl. Acad. Sci. USA 2009, 106, 20658–20663. [Google Scholar] [CrossRef]
- Man, W.; Florescu, M.; Williamson, E.P.; He, Y.; Hashemizad, S.R.; Leung, B.Y.C.; Liner, D.R.; Torquato, S.; Chaikin, P.M.; Steinhardt, P.J. Isotropic band gaps and freeform waveguides observed in hyperuniform disordered photonic solids. Proc. Natl. Acad. Sci. USA 2013, 110, 15886–15891. [Google Scholar] [CrossRef]
- Atkinson, S.; Zhang, G.; Hopkins, A.B.; Torquato, S. Critical slowing down and hyperuniformity on approach to jamming. Phys. Rev. E 2016, 94, 012902. [Google Scholar] [CrossRef]
- Zheng, Y.; Liu, L.; Nan, H.; Shen, Z.X.; Zhang, G.; Chen, D.; He, L.; Xu, W.; Chen, M.; Jiao, Y.; et al. Disordered hyperuniformity in two-dimensional amorphous silica. Sci. Adv. 2020, 6, eaba0826. [Google Scholar] [CrossRef]
- Gkantzounis, G.; Amoah, T.; Florescu, M. Hyperuniform disordered phononic structures. Phys. Rev. B 2017, 95, 094120. [Google Scholar] [CrossRef]
- Zhang, G.; Stillinger, F.H.; Torquato, S. Transport, geometrical, and topological properties of stealthy disordered hyperuniform two-phase systems. J. Chem. Phys. 2016, 145, 244109. [Google Scholar] [CrossRef] [PubMed]
- Chen, D.; Zhuang, H.; Chen, M.; Huang, P.Y.; Vlcek, V.; Jiao, Y. Disordered hyperuniform solid state materials. Appl. Phys. Rev. 2023, 10, 021310. [Google Scholar] [CrossRef]
- Marchetti, M.C.; Joanny, J.F.; Ramaswamy, S.; Liverpool, T.B.; Prost, J.; Rao, M.; Simha, R.A. Hydrodynamics of soft active matter. Rev. Mod. Phys. 2013, 85, 1143–1189. [Google Scholar] [CrossRef]
- Bechinger, C.; Di Leonardo, R.; Löwen, H.; Reichhardt, C.; Volpe, G.; Volpe, G. Active particles in complex and crowded environments. Rev. Mod. Phys. 2016, 88, 045006. [Google Scholar] [CrossRef]
- Zhang, B.; Snezhko, A. Hyperuniform Active Chiral Fluids with Tunable Internal Structure. Phys. Rev. Lett. 2022, 128, 218002. [Google Scholar] [CrossRef]
- Tjhung, E.; Berthier, L. Hyperuniform Density Fluctuations and Diverging Dynamic Correlations in Periodically Driven Colloidal Suspensions. Phys. Rev. Lett. 2015, 114, 148301. [Google Scholar] [CrossRef]
- Wilken, S.; Guerra, R.E.; Pine, D.J.; Chaikin, P.M. Hyperuniform Structures Formed by Shearing Colloidal Suspensions. Phys. Rev. Lett. 2020, 125, 148001. [Google Scholar] [CrossRef]
- Mitra, S.; Parmar, A.D.S.; Leishangthem, P.; Sastry, S.; Foffi, G. Hyperuniformity in cyclically driven glasses. J. Stat. Mech. Theory Exp. 2021, 2021, 033203. [Google Scholar] [CrossRef]
- Oppenheimer, N.; Stein, D.B.; Zion, M.Y.B.; Shelley, M.J. Hyperuniformity and phase enrichment in vortex and rotor assemblies. Nat. Commun. 2022, 13, 804. [Google Scholar] [CrossRef]
- Huang, M.; Hu, W.; Yang, S.; Liu, Q.X.; Zhang, H.P. Circular swimming motility and disordered hyperuniform state in an algae system. Proc. Natl. Acad. Sci. USA 2021, 118, e2100493118. [Google Scholar] [CrossRef]
- Lei, Q.L.; Ciamarra, M.P.; Ni, R. Nonequilibrium strongly hyperuniform fluids of circle active particles with large local density fluctuations. Sci. Adv. 2019, 5, eaau7423. [Google Scholar] [CrossRef]
- Zhou, Y.; Yin, Q.; Nayak, S.; Bag, P.; Ghosh, P.K.; Li, Y.; Marchesoni, F. Visual quorum sensing in chiral suspensions: Hyperuniformity and edge currents. PNAS Nexus 2025, 4, pgaf373. [Google Scholar] [CrossRef]
- de Graaf Sousa, N.; Andersen, S.G.; Ardaševa, A.; Doostmohammadi, A. Self-propulsive active nematics. Philos. Trans. R. Soc. A Math. Phys. Eng. Sci. 2025, 383, 20240272. [Google Scholar] [CrossRef] [PubMed]
- Lei, Q.L.; Ni, R. Hydrodynamics of random-organizing hyperuniform fluids. Proc. Natl. Acad. Sci. USA 2019, 116, 22983–22989. [Google Scholar] [CrossRef]
- Lei, Q.L.; Hu, H.; Ni, R. Barrier-controlled nonequilibrium criticality in reactive particle systems. Phys. Rev. E 2021, 103, 052607. [Google Scholar] [CrossRef]
- Backofen, R.; Altawil, A.Y.A.; Salvalaglio, M.; Voigt, A. Nonequilibrium hyperuniform states in active turbulence. Proc. Natl. Acad. Sci. USA 2024, 121, e2320719121. [Google Scholar] [CrossRef]
- Zheng, Y.; Klatt, M.A.; Löwen, H. Universal hyperuniformity in active field theories. Phys. Rev. Res. 2024, 6, L032056. [Google Scholar] [CrossRef]
- Kuroda, Y.; Miyazaki, K. Microscopic theory for hyperuniformity in two-dimensional chiral active fluid. J. Stat. Mech. Theory Exp. 2023, 2023, 103203. [Google Scholar] [CrossRef]
- Ma, Z.; Torquato, S. Random scalar fields and hyperuniformity. J. Appl. Phys. 2017, 121, 244904. [Google Scholar] [CrossRef]
- de la Cotte, A.; Pearce, D.J.G.; Nambisan, J.; Puggioni, L.; Levy, A.; Giomi, L.; Fernandez-Nieves, A. Hidden order in active nematic defects. Proc. Natl. Acad. Sci. USA 2025, 122, e2512147122. [Google Scholar] [CrossRef] [PubMed]
- Andersen, S.G.; Ma, T.; Katsume, M.F.; Li, K.; Liu, X.; Cramer Pedersen, M.; Doostmohammadi, A. Anti-hyperuniform critical states of active topological defects. Rep. Prog. Phys. 2025, 88, 108101. [Google Scholar] [CrossRef] [PubMed]
- Wilken, S.; Chaderjian, A.; Saleh, O.A. Spatial Organization of Phase-Separated DNA Droplets. Phys. Rev. X 2023, 13, 031014. [Google Scholar] [CrossRef]
- Miao, Y.; Ivlev, A.V.; Löwen, H.; Nosenko, V.; Huang, H.; Yang, W.; Thomas, H.M.; Zhang, J.; Du, C.R. Vibrational Modes and Particle Rearrangements in Sheared Quasi-Two-Dimensional Complex Plasmas. Phys. Rev. Lett. 2025, 135, 135301. [Google Scholar] [CrossRef]
- Chen, J.; Lei, X.; Xiang, Y.; Duan, M.; Peng, X.; Zhang, H.P. Emergent Chirality and Hyperuniformity in an Active Mixture with Nonreciprocal Interactions. Phys. Rev. Lett. 2024, 132, 118301. [Google Scholar] [CrossRef]
- Wang, J.; Sun, Z.; Chen, H.; Wang, G.; Chen, D.; Chen, G.; Shuai, J.; Yang, M.; Jiao, Y.; Liu, L. Hyperuniform Networks of Active Magnetic Robotic Spinners. Phys. Rev. Lett. 2025, 134, 248301. [Google Scholar] [CrossRef] [PubMed]
- Lu, Y.; Guo, Y.; Zhang, Y.; Zhu, T.; Zheng, Z. Alignment frustration-induced swarming lattice in the Vicsek–Kuramoto model. arXiv 2025, arXiv:2511.08913. [Google Scholar]
- Sakaguchi, H.; Kuramoto, Y. A Soluble Active Rotator Model Showing Phase Transitions via Mutual Entrainment. Prog. Theor. Phys. 1986, 76, 576–581. [Google Scholar] [CrossRef]
- Wiesenfeld, K.; Colet, P.; Strogatz, S.H. Synchronization Transitions in a Disordered Josephson Series Array. Phys. Rev. Lett. 1996, 76, 404–407. [Google Scholar] [CrossRef]
- Larger, L.; Penkovsky, B.; Maistrenko, Y. Laser chimeras as a paradigm for multistable patterns in complex systems. Nat. Commun. 2015, 6, 7752. [Google Scholar] [CrossRef]
- English, L.Q.; Zeng, Z.; Mertens, D. Experimental study of synchronization of coupled electrical self-oscillators and comparison to the Sakaguchi-Kuramoto model. Phys. Rev. E 2015, 92, 052912. [Google Scholar] [CrossRef] [PubMed]
- Filatrella, G.; Nielsen, A.H.; Pedersen, N.F. Analysis of a power grid using a Kuramoto-like model. Eur. Phys. J. B 2008, 61, 485–491. [Google Scholar] [CrossRef]
- Uchida, N.; Golestanian, R. Synchronization and Collective Dynamics in a Carpet of Microfluidic Rotors. Phys. Rev. Lett. 2010, 104, 178103. [Google Scholar] [CrossRef]
- Sakaguchi, H.; Shinomoto, S.; Kuramoto, Y. Mutual Entrainment in Oscillator Lattices with Nonvariational Type Interaction. Prog. Theor. Phys. 1988, 79, 1069–1079. [Google Scholar] [CrossRef]
- Vicsek, T.; Czirók, A.; Ben-Jacob, E.; Cohen, I.; Shochet, O. Novel Type of Phase Transition in a System of Self-Driven Particles. Phys. Rev. Lett. 1995, 75, 1226–1229. [Google Scholar] [CrossRef] [PubMed]
- Hawat, D.; Gautier, G.; Bardenet, R.; Lachièze-Rey, R. On estimating the structure factor of a point process, with applications to hyperuniformity. Stat. Comput. 2023, 33, 61. [Google Scholar] [CrossRef]
- Andreas Klatt, M.; Last, G.; Yogeshwaran, D. Hyperuniform and rigid stable matchings. Random Struct. Algorithms 2020, 57, 439–473. [Google Scholar] [CrossRef]
- Kudrolli, A.; Lumay, G.; Volfson, D.; Tsimring, L.S. Swarming and Swirling in Self-Propelled Polar Granular Rods. Phys. Rev. Lett. 2008, 100, 058001. [Google Scholar] [CrossRef]
- Deseigne, J.; Léonard, S.; Dauchot, O.; Chaté, H. Vibrated polar disks: Spontaneous motion, binary collisions, and collective dynamics. Soft Matter 2012, 8, 5629–5639. [Google Scholar] [CrossRef]
- Heuthe, V.L.; Iyer, P.; Gompper, G.; Bechinger, C. Tunable colloidal swarmalators with hydrodynamic coupling. Nat. Commun. 2025, 16, 10984. [Google Scholar] [CrossRef] [PubMed]
- Walther, A.; Müller, A.H.E. Janus particles. Soft Matter 2008, 4, 663–668. [Google Scholar] [CrossRef] [PubMed]






Disclaimer/Publisher’s Note: The statements, opinions and data contained in all publications are solely those of the individual author(s) and contributor(s) and not of MDPI and/or the editor(s). MDPI and/or the editor(s) disclaim responsibility for any injury to people or property resulting from any ideas, methods, instructions or products referred to in the content. |
© 2026 by the authors. Licensee MDPI, Basel, Switzerland. This article is an open access article distributed under the terms and conditions of the Creative Commons Attribution (CC BY) license.
Share and Cite
Lu, Y.; Zhu, T.; Guo, Y.; Li, Y.; Zheng, Z. Orientation-Modulated Hyperuniformity in Frustrated Vicsek–Kuramoto Systems. Entropy 2026, 28, 126. https://doi.org/10.3390/e28010126
Lu Y, Zhu T, Guo Y, Li Y, Zheng Z. Orientation-Modulated Hyperuniformity in Frustrated Vicsek–Kuramoto Systems. Entropy. 2026; 28(1):126. https://doi.org/10.3390/e28010126
Chicago/Turabian StyleLu, Yichen, Tong Zhu, Yingshan Guo, Yunyun Li, and Zhigang Zheng. 2026. "Orientation-Modulated Hyperuniformity in Frustrated Vicsek–Kuramoto Systems" Entropy 28, no. 1: 126. https://doi.org/10.3390/e28010126
APA StyleLu, Y., Zhu, T., Guo, Y., Li, Y., & Zheng, Z. (2026). Orientation-Modulated Hyperuniformity in Frustrated Vicsek–Kuramoto Systems. Entropy, 28(1), 126. https://doi.org/10.3390/e28010126

