Next Article in Journal
A Two-State Random Walk Model of Sperm Search on Confined Domains
Previous Article in Journal
Bootstrap Confidence Intervals for Multiple Change Points Based on Two-Stage Procedures
 
 
Font Type:
Arial Georgia Verdana
Font Size:
Aa Aa Aa
Line Spacing:
Column Width:
Background:
Article

Fixed-Time Cooperative Formation Control of Heterogeneous Systems Under Multiple Constraints

1
College of Computer and Control Engineering, Qiqihar University, Qiqihar 161000, China
2
Heilongjiang Key Laboratory of Big Data Network Security Detection and Analysis, Qiqihar University, Qiqihar 161000, China
3
School of Mechanical and Electrical Engineering, Qiqihar University, Qiqihar 161000, China
4
School of Computer and Big Data, Heilongjiang University, Harbin 150080, China
*
Author to whom correspondence should be addressed.
Entropy 2025, 27(5), 538; https://doi.org/10.3390/e27050538
Submission received: 1 April 2025 / Revised: 12 May 2025 / Accepted: 15 May 2025 / Published: 17 May 2025
(This article belongs to the Section Complexity)

Abstract

This paper proposes a fixed-time formation-tracking control problem for a heterogeneous multi-agent system (MAS) consisting of six unmanned aerial vehicles (UAVs) and three unmanned ground vehicles (UGVs) under actuator attacks, external disturbances, and input saturation. First, a distributed sliding mode estimator and controller tailored for UAV-UGV heterogeneous systems are proposed based on sliding mode techniques. Second, by integrating repulsive potential functions with sliding manifolds, a distributed fixed-time adaptive sliding mode control protocol was designed. This protocol ensures collision avoidance while enabling the MASs to track desired trajectories and achieve a predefined formation configuration within a fixed time. The fixed-time stability of the closed-loop system was rigorously proven via Lyapunov theory.

1. Introduction

Heterogeneous MASs composed of unmanned ground vehicles (UGVs) and unmanned aerial vehicles (UAVs) integrate the advantages of UAVs for large-scale rapid reconnaissance and UGVs for precise ground target localization. Such systems have garnered increasing attention in both academic and practical domains [1,2,3]. However, ground–air cooperative formations face significant challenges. For example, practical systems inevitably suffer from the effects of input saturation, external disturbances, and actuator attacks. Moreover, as formation missions and heterogeneous systems grow in complexity, centralized control schemes become infeasible. Therefore, it is imperative to further explore effective distributed strategies.
The coordinated control field has seen substantial research focus on MASs’ formation tracking challenges, a critical subset of multi-agent coordination. Formation tracking control requires followers to maintain predefined formation configurations while tracking the leader’s states. In the domain of air–ground cooperation, several classical formation tracking approaches have been proposed, including leader–follower distributed control [4,5], fault-tolerant control [6], observer design [7,8,9], and integrated adaptive control with sliding mode control [10,11]. These methodologies enable followers to achieve trajectory tracking through specifically designed controllers. For instance, reference [7] investigated distributed fixed-time formation-tracking control for nonholonomic wheeled mobile robot systems under directed fixed/switching topologies. It proposed a control protocol based on distributed observers, which transforms the formation problem into a consensus control problem, ensuring followers track the leader and establish desired formations within a fixed time. Reference [11] addressed second-order MASs by integrating repulsive potential functions with sliding manifolds, developing a distributed fixed-time sliding mode adaptive formation control strategy. This approach achieves fixed-time formation tracking while realizing collision avoidance between agents under undirected connected topologies.
The convergence rate serves as a critical performance metric in formation control studies, particularly for achieving predefined multi-agent configurations within finite-time horizons. For instance, heterogeneous multi-agent systems comprising UGVs and UAVs must accomplish formation missions under strict temporal constraints [12,13,14]. Nevertheless, the settling time of finite-time coordination protocols is generally influenced by the agents’ initial states. In scenarios involving excessively large or unavailable initial conditions, convergence within prescribed deadlines may prove unattainable. Moreover, even with accessible initialization parameters, specific values could induce prolonged settling durations, thereby constraining the applicability of finite-time consensus frameworks. To circumvent this limitation, the notion of fixed-time stability has been incorporated [15], offering an explicit upper-bound convergence time independent of the initial state information. Consequently, fixed-time cooperative control strategies for networked multi-agent systems have attracted substantial research interest in recent years [16,17,18].
In practical formation-tracking control tasks for MASs, critical real-world challenges, such as input saturation, external disturbances, and actuator attacks, must be rigorously addressed to ensure robustness and closed-loop stability in dynamic environments. For instance, Vazquez Trejo, J. A. et al. [19] proposed a fault-tolerant consensus control method for continuous-time multi-agent systems subject to additive and multiplicative actuator faults by utilizing distributed LPV observers and virtual actuators to redistribute control inputs. Wang Lei Cheng et al. [20] proposed a neural network-based adaptive nonsingular fast terminal sliding mode formation control method for heterogeneous UGV-UAV systems subject to actuator faults, model uncertainties, and external disturbances, achieving finite-time convergence of heterogeneous formation errors. Addressing similar issues, Wang Lei Cheng et al. [21] developed a fixed-time formation-tracking control framework leveraging fixed-time distributed observers, disturbance observers, and backstepping techniques to ensure system performance. Hao Xiong et al. [22] designed a distributed formation-tracking strategy for heterogeneous MASs under external disturbances and model uncertainties, integrating adaptive fractional-order sliding mode control with feedback multilayer fuzzy neural networks. Their approach incorporated an event-triggered mechanism to reduce the communication frequency and validated the robustness and stability of the system under uncertainties. Although studies [20,21,22] addressed practical constraints in heterogeneous multi-agent systems, they neglected the collision avoidance problem between agents.
Adderson et al. [23] proposed a time-varying formation control method for heterogeneous MASs based on an improved artificial potential field (APF) algorithm. By integrating agent motion state parameters to optimize obstacle-avoidance paths and employing terminal sliding mode controllers, they achieved simulation and experimental validations of hybrid formations involving quadrotors and mobile robots. Under the constraints of collision avoidance, actuator attacks, and Markov switching topologies, Xisheng Zhan et al. [24] studied the fixed-time formation control problem involving multiple groups with time-varying configurations in second-order nonlinear multi-agent systems. They developed a distributed fixed-time sliding mode manifold control strategy using RBF neural networks (to approximate unknown nonlinear terms), enabling collision-avoidance formations under switching topologies. While references [23,24] adopted generic nonlinear models that rely solely on the relative position or distance control; such frameworks struggle to eliminate rotational degrees of freedom in formations, potentially leading to non-rigid morphologies. In contrast, practical systems (e.g., UAVs, intelligent vehicles) are often constrained by kinematic models with limitations on steering angles and heading angles. This work utilized a nonholonomic constrained model to achieve directional coordination by adjusting the heading angles during obstacle avoidance or trajectory tracking, thereby avoiding control saturation or oscillations caused by steering constraints.
Building upon existing research in fixed-time formation tracking, collision avoidance, and multi-constraint handling, this study further investigated the fixed-time coordinated formation control problem for heterogeneous systems under multiple constraints. The main contributions are summarized as follows:
  • Multi-constraint integration: This work addresses practical challenges in formation control, including input saturation, external disturbances, and actuator attacks, by introducing a fixed-time control framework independent of the initial system states. This ensures the fixed-time convergence of formation tracking errors under these constraints.
  • For the collision avoidance problem in multi-unmanned vehicle formation processes, a control strategy was designed by integrating sliding mode controllers with the artificial potential field method, which achieved collision avoidance between multiple agents while ensuring robustness and real-time performance in dynamic obstacle avoidance.
  • Distributed fixed-time estimation and tracking: To achieve the fixed-time stable tracking of UAVs toward a virtual leader UGV, for each follower, a distributed fixed-time sliding mode estimator was developed. This estimator reconstructs the virtual leader’s state information within a fixed time. Subsequently, a formation controller is designed based on trajectory tracking errors, enabling UAVs to rapidly form a reconnaissance formation in a fixed time.
The remainder of this paper is organized as follows: Section 2 introduces preliminary knowledge and presents relevant lemmas. Section 3 establishes the dynamic models for both UAVs and UGVs. In Section 4, the design of a formation controller is described for each follower UAV based on its estimation of the virtual leader’s state, while an adaptive fixed-time controller is developed for each follower UGV to address multi-vehicle formation collision avoidance under external disturbances, actuator attacks, and input saturation, with stability proofs provided for both controllers. Section 5 presents the results of simulation experiments conducted to verify the effectiveness of the control protocol and the feasibility of the control strategy. Finally, Section 6 summarizes the core content of this paper.

2. Graph Theory and Related Lemmas

2.1. Graph Theory

For a heterogeneous formation system, the communication topology between followers is described by an undirected graph G = { W , E , A } , where W = w 1 , w 2 , , w n denotes the node set, E W × W represents the edge set, and A = a i j R n × n is the adjacency matrix of G. An edge ( w i , w j ) W signifies that agents w j and w i can exchange information bidirectionally. The degree matrix of graph G is denoted as D = d i a g d 1 , d 2 , , d n , where d i = j = 1 n a i j , i = 1 , 2 , n . The Laplacian matrix L = l i j R n × n is defined as L = D A . The leader adjacency matrix can be expressed as a diagonal matrix B = d i a g b 1 , b 2 , , b n R n × n , where b i > 0 indicates that follower i can access the leader’s information; otherwise, b i = 0 .

2.2. Related Lemmas for Multi-Agent Systems

Lemma 1 
([15,25]). Consider the system
x ˙ = f ( x ) , f ( 0 ) = 0 , x R n
There exists a continuous function V(x) fulfilling the conditions enumerated below:
  • V(x) is positive definite;
  • There are scalars a > 0 , b > 0 , and c ( 1 , 2 ) such that
V ˙ ( x ) + a V c ( x ) + b V 2 c ( x ) 0
Therefore, the origin serves as a fixed-time stable equilibrium point for system (1). Moreover, the convergence time is given by Equation (3):
T π 2 a b ( c 1 )
Lemma 2 
([26]). For a connected undirected network topology, if at least one follower agent can access the leader’s state information, the matrix H (defined as H = L + B) is symmetric and positive definite.
Lemma 3 
([15,25]). Provided that a Lyapunov function V(x) is constructed for the multi-agent system ensuring
V ˙ ( x ) α V p ( x ) β V q ( x ) + η
where η > 0 , it satisfies the following conditions:
x V ( x ) min η ( 1 ϖ ) α 1 p , η ( 1 ϖ ) β 1 q
where 0 < ϖ < 1 , and the fixed-time stability of system (1) is ensured, where the convergence time satisfies T:
T T max : = 1 α ϖ p 1 + 1 β ϖ 1 q
Lemma 4 
([27]). For any x 1 , x 2 , , x n 0 , the following inequality holds:
i = 1 n x i p i = 1 n x i p , if 0 < p 1 , n 1 p i = 1 n x i p i = 1 n x i p , if p > 1 .

3. System Modeling

3.1. Kinematic Model of UAV

Figure 1 presents the model of the UAV. The UAV’s kinematic model considers only the yaw angle θ i and pitch angle φ i in its formulation.
The control problem of the UAV studied in this paper primarily focuses on the position system, and its kinematic equations can be formulated as [28]
x ˙ i = ν i cos ( θ i ) cos ( ϕ i ) y ˙ i = ν i sin ( θ i ) cos ( ϕ i ) z ˙ i = ν i sin ( ϕ i )
where x i , y i , and z i represent the UAV’s position information; v i denotes the UAV’s ground speed; θ i is the pitch angle for the UAV agent; and φ i is the yaw angle for the UAV agent.

3.2. Dynamic Model of UGV

Given that the UGV system accounts for input saturation, actuator attacks, and external disturbances, the variable x ¨ g i can be designed as follows:
x ¨ g i ( t ) = s a t ( u g i ( t ) ) + q i ( t ) ϕ ( x g i , 1 , x g i , 2 , t ) + ( X g i , t )
Let
x g i , 1 = x g i x g i , 2 = x ˙ g i
From Equations (9) and (10), it follows that
x ˙ g i , 1 = x g i , 2 x ˙ g i , 2 = sat ( u g i ( t ) ) + q i ( t ) ϕ ( x g i , 1 , x g i , 2 , t ) + ( X g i , t )
where x g i , 1 ( t ) and x g i , 2 ( t ) denote the position and velocity, u g i ( t ) represents the control input, s a t ( u g i ( t ) ) denotes the input saturation function, ( X g i , t ) represents the disturbance acting, and ϕ ( x g i , 1 , x g i , 2 , t ) is a continuously differentiable unknown function. When subjected to actuator attacks, q i ( t ) = 1 ; otherwise, q i ( t ) = 0 .
Remark 1. 
Since UAVs operate in three-dimensional space while UGVs move within a two-dimensional plane, only horizontal position information needs to be exchanged between the UAVs and the leading UGV during the formation configuration.
Remark 2. 
The formation control objective for the UAV-UGV is to ensure that UAVs track the trajectory of the leading UGV, while the UAVs and UGVs need to achieve predefined formation geometries within a fixed time.

4. Controller Design and Stability Analysis

For heterogeneous UAV-UGV multi-agent systems subject to external disturbances, actuator attacks, and input saturation, this work proposes a distributed fixed-time sliding mode estimator and controller that incorporates collision avoidance between agents. The designed framework ensures that each follower achieves trajectory-tracking control of the leader and completes the formation within a fixed time, with all closed-loop signals converging to a small neighborhood of zero within a bounded time interval.
Assumption 1. 
The unknown disturbances ( X g i , t ) and the leader’s control input are bounded such that ( X g i , t ) σ and u 0 ( t ) u b , where σ > 0 and u b > 0 .
Assumption 2 
([11]). The undirected graph G is connected, and one or more followers can access the leader’s state.
Assumption 3. 
The desired position trajectory X 0 , X ˙ 0 , and X ¨ 0 of the leader is bounded.

4.1. Fixed-Time Formation Control for UAVs

The purpose of formation control is to enable the UAVs system to achieve desired collective motion in a predefined formation pattern. The control objectives of heterogeneous UAV systems can be formulated as
lim t T i x ( x i ( t ) x 0 ( t ) ) = σ i x , lim t T i y ( y i ( t ) y 0 ( t ) ) = σ i y , lim t T i θ ( θ i ( t ) θ 0 ( t ) ) = σ i θ .
where σ i = ( σ i x , σ i y , σ i θ ) represents the desired attitude of the UAV relative to the leader.

4.1.1. Distributed Fixed-Time Sliding Mode Estimator

The state of the leader is represented as ξ 0 = x 0 , y 0 , θ 0 , ν 0 , w 0 T . The estimated state for the follower relative to the leader is formulated as ξ ^ i = x ^ i , y ^ i , θ ^ i , v ^ i , w ^ i T . We propose a distributed fixed-time sliding mode estimator to estimate the state information of ξ 0 , where for b i > 0 , followers have direct access to the leader’s information without requiring an estimator.
The attitude tracking error can be formulated as
e i x = j = 1 N a i j ( x ^ i x ^ j ) + b i ( x ^ j x 0 ) , e i y = j = 1 N a i j ( y ^ i y ^ j ) + b i ( y ^ j y 0 ) , e i θ = j = 1 N a i j ( θ ^ i θ ^ j ) + b i ( θ ^ j θ 0 ) .
The estimation system can be designed based on the attitude tracking error as
x ^ ˙ i = d i x ^ ˙ j + b i x ˙ 0 C x s i g n ( e i x ) ( e i x ) 1 1 m D x s i g ( e i x ) 1 + 1 m d i + b i
y ^ ˙ i = d i y ^ ˙ j + b i y ˙ 0 C y s i g n ( e i y ) ( e i y ) 1 1 m D y s i g ( e i y ) 1 + 1 m d i + b i
θ ^ ˙ i = d i θ ^ ˙ j + b i θ ˙ 0 C θ s i g n ( e i θ ) ( e i θ ) 1 1 m D θ s i g ( e i θ ) 1 + 1 m d i + b i
where C x > 0 , D x > 0 , m ( 0 , 1 ] , sig α ( x ) = | x | α sign ( x ) , and s i gn ( . ) is a symbolic function.
Theorem 1. 
For system (8) under the distributed fixed-time sliding mode estimation laws (14)–(16), if lim t T ix e i x = 0 is implemented, then the follower UAVs achieve fixed-time tracking of the virtual leader such that x ^ i = x 0 .
Proof of Theorem 1. 
Combining Equations (13) and (14), we conclude that
e ˙ i x = C x s i g n ( e i x ) ( e i x ) 1 1 m D x s i g ( e i x ) 1 + 1 m
The Lyapunov function is introduced as
V 1 = 1 2 e i x 2
Taking the derivative of V 1 yields
V 1 ˙ = C x e i x 2 1 m D x e i x 2 + 1 m 0 V ˙ i x + C x 2 1 1 2 m V i x 1 1 2 m + D x 2 1 + 1 2 m V i x 1 + 1 2 m 0
The system satisfies the fixed-time convergence condition under multi-agent coordination. Then, according to Lemma 1, the settling time can be derived as T i x :
T i x π 2 2 2 C X D x ( 1 + 1 2 m 1 ) = π 2 2 m C X D x
Therefore, it can be concluded that e i x asymptotically converges to a small neighborhood around zero within a fixed and tunable time horizon:
e 1 x e n x T = ( L + B ) x ^ i x 0 . . . . x ^ n x 0 T
According to Assumption (2), since the matrix H = L + B > 0 , it follows that H is positive definite. From Equation (21), it follows that x ^ i = x 0 , which implies that the system achieves fixed-time stability. □
Similarly, for estimators (15) and (16), it holds that y ^ i = y 0 and θ ^ i = θ 0 within a fixed time. The convergence times T iy and T i θ can be derived:
T i y π 2 2 m C y D y
T i θ π 2 2 m C θ D θ
As demonstrated above, all attitude errors e i x , e i y , and e i θ converge to the equilibrium point within a fixed and adjustable time T s < max T i x , T i y , T i θ .
Based on the aforementioned estimation system, the estimator can be constructed as
w ^ i = θ ^ ˙ i
ν ^ i = sgn ( x ^ ˙ i cos θ ^ i ) ( x ^ ˙ i 2 + y ^ ˙ i 2 ) 1 2
where w is the yaw angular velocity.

4.1.2. Controller Design

The tracking error of the follower UAV(s) can be formulated as
z i x = x i ( t ) x ^ i ( t ) σ i x
z i y = y i ( t ) y ^ i ( t ) σ i y
z i θ = θ i ( t ) θ ^ i ( t ) σ i θ
where z i = z i x , z i y , z i θ T . The global coordinate errors can be transformed into local coordinate errors via the coordinate transformation matrix:
z i 1 = x i e y i e θ i e = cos θ i sin θ i 0 sin θ i cos θ i 0 0 0 1 z i x z i y z i θ
By taking the derivative of Equation (29), the following can be obtained:
x ˙ i e = w i y i e + ν i ν ^ i cos θ i e
y ˙ i e = w i x i e + ν ^ i sin θ i e
θ ˙ i e = w i w ^ i
Based on the aforementioned error dynamics of the UAVs, we designed the formation control laws for the follower UAVs as
ν i = ν ^ i cos θ i e μ i 1 tanh x i e
w i = w ^ i μ i 2 y i e sin θ i e ( 1 + x i e 2 + y i e 2 ) θ i e ν ^ i μ i 3 s i g μ i 4 θ i e
where μ ij > 0 , j = 1 , 2 , 3 , 4 .

4.2. Fixed-Time Formation Control of UGVs

The objective of multi-unmanned vehicle formation control is to establish a robust fixed-time algorithm that considers collision avoidance between the agents under the presence of external disturbances, actuator attacks, and input saturation constraints. This algorithm ensures that the multi-unmanned vehicles achieve the desired formation configuration, where x g i x g i d and x g i x g j Δ i j with bounded tracking errors, while avoiding collisions during formation tracking, where x g i x g j > R i n .

4.2.1. Fixed-Time Sliding Manifold Design

For the collision avoidance problem of agents in a UGV system, two circular regions are introduced: the collision avoidance region Ω c i = x g j x g i x g j R i n and the detection region Ω d i = x g j x g i x g j R o u t , where R i n and R o u t denote the radii, where 0 < R i n < R o u t . The repulsive potential function (RPF) can then be designed as follows:
J g i j ( x g i x g j ) = ρ i j ( R out 2 x g i x g j 2 ) 2 ( x g i x g j 2 R m 2 ) 2 , if R in x g i x g j R out , 0 , if x g i x g j     R out .
where ρ i j is a positive constant. The following conclusion can be drawn from Equation (35): if the distance between the j-th follower UGV and the i-th follower UGV exceeds radius R o u t , the potential function satisfies J g i j equal to zero; if the distance equals R i n , the potential function J g i j asymptotically approaches infinity.
The formation geometry of the UGVs is determined by the formation shape parameter Δ i j R , where Δ i j denotes the desired positional deviation between the i-th UGV and the j-th UGV in the multi-agent system:
Δ i j = Δ i Δ j
where Δ i R m denotes the desired positional deviation of the i-th follower UGV relative to the leader in the multi-agent system. Therefore, x g i d = x 0 + Δ i R m denotes the follower’s expected position, and ν g i d = ν 0 R m denotes the follower’s expected velocity, where x 0 ( t ) is the leader’s position and v 0 ( t ) is the leader’s velocity of the formation center.
Assumption 4. 
Collision avoidance between agents is inherently guaranteed upon convergence to the desired formation geometry, where Δ i j > R i n .
The trajectory tracking error of the UGV can be formulated as
e g i , 1 = j = 1 n a i j ( x g i x g j Δ i j ) + b i ( x g i x g i d ) e g i , 2 = j = 1 n a i j ( x g i , 2 x g j , 2 Δ i j ) + b i ( x g i , 2 ν 0 )
where e g i , 1 = [ e x g i , 1 , e y g i , 1 ] T and e g i , 2 = [ e x g i , 2 , e y g i , 2 ] T . X 0 and X ˙ 0 are the expected position and velocity of the UGV, respectively; X g i , 1 and X g i , 2 are the position and velocity of the UGV, respectively.
The following fixed-time sliding manifold is developed:
s g i = K 1 Tanh ( e g i , 2 ) + g i sig μ 1 ( e g i , 1 ) + g 2 h ( e g i , 1 )
where g i = g 0 + j 1 , j i n J i j ( x i x j ) , K 1 > 0 , g 0 > 0 , g 2 > 0 , μ 1 = m 1 n 1 , and m 1 and n 1 are two odd integers with m 1 > n 1 > 0 .
Tanh ( e g i , 2 ) = [ Tanh ( e x g i , 2 ) , Tanh ( e y g i , 2 ) ] T
h ( e g i , 1 ) = [ h ( e x g i , 1 ) , h ( e y g i , 1 ) ] T
h ( e g i , 1 ) = | e g i , 1 | μ 2 sign ( e g i , 1 ) , if | e g i , 1 | > δ | a e g i , 1 + b | | e g i , 1 | ν 0 sign ( e g i , 1 ) , if | e g i , 1 | δ
where μ 2 = m 2 n 2 , m 2 and n 2 are two odd integers with m 2 > n 2 > 0 , 1 < r 0 < 2 ,   a = r 0 μ 2 r 0 1 δ μ 2 1 , b = 1 μ 2 1 r 0 δ μ 2 r 0 , and δ is a small positive constant.

4.2.2. Distributed Sliding Mode Controller Design

By taking the derivative of e g i , 2 , we can obtain
e ˙ g i , 2 = j = 1 n a i j ( x ˙ g i , 2 x ˙ g j , 2 ) + b i ( x ˙ g i , 2 ν ˙ 0 )
Substituting Equation (11) into Equation (42) yields
e ˙ g i , 2 = j = 1 n a i j sat ( u g i ) + ( X g i , t ) + q i ( t ) ϕ ( x g i , 1 , x g i , 2 , t ) j = 1 n a i j sat ( u g j ) + ( X g j , t ) + q j ( t ) ϕ ( x g j , 1 , x g j , 2 , t ) + b i sat ( u gi ) + ( X g i , t ) + q i ( t ) ϕ ( x gi , 1 , x gi , 2 , t ) b i u 0
Then, the derivative of s g i can be expressed as
s ˙ g i = K 1 cosh 2 ( e g i , 2 ) e ˙ g i , 2 + g i ν i e g i , 2 + g 2 ν 2 e g i , 2 + g ˙ i s i g μ 1 ( e g i , 1 )
where ν 1 = diag μ 1 | e x g i , 1 | μ 1 1 , μ 1 | e y g i , 1 | μ 1 1 .
ν 2 = μ 2 | e g i , 1 | μ 2 1 , if | e g i , 1 | > δ a + b r 0 | e g i , 1 | r 0 1 , if | e g i , 1 | δ
Substituting Equation (43) into Equation (44) yields
s ˙ g i = K 1 Cosh 2 ( e g i , 2 ) ( d i + b i ) ( s a t ( u g i ) ) j = 1 n a i j ( s a t ( u g j ) ) + K 1 Cosh 2 ( e g i , 2 ) ( ( d i + b i ) ( ( X g i , t ) q i ( t ) ϕ ( x g i , 1 , x g i , 2 , t ) ) j = 1 n a i j ( X g i , t ) + q j ( t ) ϕ ( x g j , 1 , x g j , 2 , t ) b i u 0 ) + g i ν 1 e g i , 2 + g 2 ν 2 e g i , 2 + g ˙ i s i g μ 1 ( e g i , 1 )
Because s a t ( u g i ) = u g i Δ u , g i , Δ u , g i represents the difference between the desired control input u g i and the actual control input s a t ( u g i ) , where Δ u , g i = Δ u , x g i , Δ u , y g i T .
So, s ˙ g i can be organized as
s ˙ g i = K 1 Cosh 2 ( e g i , 2 ) ( d i + b i ) ( u g i ) j = 1 n a i j ( u g j ) + g i ν 1 e g i , 2 + g 2 ν 2 e g i , 2 + g ˙ i s i g μ 1 ( e g i , 1 ) + i
where
i = K 1 Cosh 2 ( e g i , 2 ) ( ( d i + b i ) ( ( X g i , t ) Δ u , g i + q i ( t ) ϕ ( x g i , 1 , x g i , 2 , t ) ) j = 1 n a i j ( ( X g j , t ) Δ u , g j + q j ( t ) ϕ ( x g j , 1 , x g j , 2 , t ) ) b i u 0 )
Because cosh ( . ) 1 , it can then be concluded that there exists an unknown normal number such that
K 1 Cosh 2 ( e g i , 2 ) ( d i + b i ) | | i Δ u , g i + q i ( t ) ϕ ( x g i , 1 , x g i , 2 , t ) + j = 1 n a i j j Δ u , g j + q j ( t ) ϕ ( x g j , 1 , x g j , 2 , t ) + b i u 0 ) ¯
The distributed adaptive sliding mode controllers are designed as follows:
u gi = 1 d i + b i i = 1 n a i j ( u g j ) 1 K 1 1 d i + b i Cosh 2 ( e g i , 2 ) ( α 2 s i g p 2 ( s g i ) + β 2 s i g q 2 ( s g i ) ) 1 K 1 1 d i + b i Cosh 2 ( e g i , 2 ) ( g ˙ i s i g μ 1 ( e g i , 1 ) + g i ν i e g i , 2 + g 2 ν 2 e g i , 2 ) 1 K 1 1 d i + b i Cosh 2 ( e g i , 2 ) ^ i s g i | | s g i | | 1 d i + b i ϕ ^ i T
The associated adaptive control law is formulated as follows:
¯ ^ ˙ i = k 1 s g i 2 k 1 k 2 ¯ ^ i
ϕ ^ ˙ i = τ i ( s g i C cosh 2 ( e g i , 2 ) ) T μ g i ϕ ^ i
where α 2 > 0 , β 2 > 0 , p 2 > 1 , 0 < q 2 < 1 , k 1 > 0 , k 2 > 0 , τ i > 0 , and μ gi > 0 .

4.3. Control System

The control architecture of the heterogeneous system is depicted in Figure 2. The upper section represents the UAV system, while the lower section corresponds to the UGV system.

4.4. Stability Analysis

Theorem 2. 
For system (8), lim t x i e = 0 , lim t y i e = 0 , and lim t θ i e = 0 in fixed time means the achievement of the control objectives of the UAVs.
Proof of Theorem 2. 
The Lyapunov function is introduced as
V 2 = μ i 2 2 log ( 1 + x i e 2 + y i e 2 ) + θ i e 2 2
Taking the derivative of V 2 yields
V ˙ 2 = μ i 1 μ i 2 x i e tanh x i e 1 + x i e 2 + y i e 2 μ i 3 θ i e μ i 4 + 1
where x i e tanh x i e 0 .
Therefore, if and only if x i e = 0 , y i e = 0 , and θ i e = 0 , this equation holds. According to Lassalle’s theorem, lim t ( x i e + y i e + θ i e ) = 0 can be obtained. Subsequently, combining Equations (26)–(28) yields lim t ( z i x + z i y + z i θ ) = 0 . Therefore, the UAV system is capable of achieving the desired formation. □
In addition, because tanh ( . ) 1 , x i e 2 1 + x i e 2 + y i e 2 1 , and sin θ i e θ i e 1 , then there are
ν i ν ^ i + μ i 1
w i w ^ i + μ i 2 ν ^ i + μ i 3
From the above equations, it can be observed that by appropriately selecting the controller parameters μ i 1 , μ i 2 , and μ i 3 , ν i and W i can be confined within the desired bounds.
Theorem 3. 
Under Assumptions 1, 2, and 4, consider the second-order MAS (11). The adaptive fixed-time controller, defined by (49) and governed by the adaptive laws (50) and (51), ensures the attainment of the control objectives for the UGV system.
Proof of Theorem 3. 
The Lyapunov function is introduced as
V 3 = 1 2 ( i = 1 n s g i T s g i + K 1 τ i ϕ ^ i T ϕ ^ i ) + i = 1 n 1 2 ¯ ˜ i 2 k 1
where ¯ ˜ i = ¯ i ¯ ^ i .
Taking the derivative of V 3 yields
V ˙ 3 = i = 1 n s g i T s ˙ g i + K 1 τ i ϕ ^ i T ϕ ^ ˙ i i = 1 n ¯ ˜ i ¯ ^ ˙ i k 1 = i = 1 n s g i T i α 2 sig p 2 ( s g i ) + β 2 sig q 2 ( s g i ) ¯ ^ i s g i s g i K 1 Cosh 2 ( e g i , 2 ) ϕ ^ i T i = 1 n ¯ ˜ i ¯ ^ ˙ i k 1 + i = 1 n ( K 1 ϕ ^ i T s g i T Cosh 2 ( e g i , 2 ) K 1 μ g i τ i ϕ ^ i T ϕ ^ i s g i T ( α 2 i = 1 n j = 1 m s g i j p 2 + 1 β 2 i = 1 n j = 1 m s g i j q 2 + 1 ) + i = 1 n 2 k 2 ¯ ˜ i ¯ ^ i K 1 μ g i τ i ϕ i 2
According to Lemma 4, the above equation can be organized as
V ˙ 3 α 2 m 1 p 2 2 i = 1 n s g i T s g i P 2 + 1 2 β 2 i = 1 n s g i T s g i q 2 + 1 2 + i = 1 n 2 k 2 ¯ ˜ i ¯ ^ i K 1 μ g i τ i ϕ ^ i 2
According to Yang’s inequality, it can be concluded that
k 2 ¯ ˜ i ¯ ^ i k 2 ( 2 o i 1 ) 2 o i ¯ ˜ i 2 + k 2 o i 2 ¯ i 2
where o i > 1 2 .
Equation (58) can be rearranged as
V ˙ 3 α 2 m 1 p 2 2 i = 1 n ( s g i T s g i ) p 2 + 1 2 β 2 i = 1 n ( s g i T s g i ) q 2 + 1 2 i = 1 n ( k 2 ( 2 o i 1 ) 2 o i ¯ ˜ i 2 ) p 2 + 1 2 ( k 2 ( 2 o i 1 ) 2 o i ¯ ˜ i 2 ) q 2 + 1 2 + i = 1 n ( k 2 ( 2 o i 1 ) 2 o i ¯ ˜ i 2 ) p 2 + 1 2 + i = 1 n ( k 2 ( 2 o i 1 ) 2 o i ¯ ˜ i 2 ) q 2 + 1 2 i = 1 n k 2 ( 2 o i 1 ) o i ¯ ˜ i 2 + i = 1 n k 2 o i ¯ i 2 K 1 μ g i τ i ϕ ^ i 2
Because ( k 2 ( 2 o i 1 ) 2 o i ¯ ˜ i 2 ) q 2 + 1 2 k 2 ( 2 o i 1 ) 2 o i ¯ ˜ i 2 1 , Equation (60) can be summarized as
V ˙ 3 α 2 m 1 p 2 2 ( s g i T s g i ) P 2 + 1 2 β 2 ( s g i T s g i ) q 2 + 1 2 ( k 2 ( 2 o i 1 ) 2 o i ¯ ˜ i 2 ) p 2 + 1 2 ( k 2 ( 2 o i 1 ) 2 o i ¯ ˜ i 2 ) q 2 + 1 2 + ( k 2 ( 2 o i 1 ) 2 o i ¯ ˜ i 2 ) p 2 + 1 2 k 2 ( 2 o i 1 ) 2 o i ¯ ˜ i 2 + k 2 o i ¯ i 2 + 1 K 1 μ g i τ i ϕ ^ i 2
Assume η > 0 and | ¯ ˜ i | η i .
If η i < 2 o i k 2 ( 2 o i 1 ) , then i = 1 n ( k 2 ( 2 o i 1 ) 2 o i ¯ ˜ i 2 ) p 2 + 1 2 < i = 1 n k 2 ( 2 o i 1 ) 2 o i ¯ ˜ i 2 ;
If η i 2 o i k 2 ( 2 o i 1 ) , then i = 1 n ( k 2 ( 2 o i 1 ) 2 o i ¯ ˜ i 2 ) p 2 + 1 2 i = 1 n k 2 ( 2 o i 1 ) 2 o i ¯ ˜ i 2 i = 1 n ( k 2 ( 2 o i 1 ) 2 o i η i 2 ) p 2 + 1 2   i = 1 n k 2 ( 2 o i 1 ) 2 o i η i 2 .
Equation (61) can be rearranged as
V ˙ 3 α 2 m 1 p 2 2 ( s g i T s g i ) P 2 + 1 2 β 2 ( s g i T s g i ) q 2 + 1 2 ( k 2 ( 2 o i 1 ) 2 o i ¯ ˜ i 2 ) p 2 + 1 2 ( k 2 ( 2 o i 1 ) 2 o i ¯ ˜ i 2 ) q 2 + 1 2 + ( k 2 ( 2 o i 1 ) 2 o i η i 2 ) p 2 + 1 2 k 2 ( 2 o i 1 ) 2 o i η i 2 + k 2 o i ¯ i 2 + 1 K 1 μ g i τ i ϕ ^ i 2
Therefore, from Lemma 3, it can be concluded that there exist two positive constants α and β such that
V ˙ 3 α V 2 p 2 1 2 β V 2 q 2 1 2 + ζ
where ζ = ( k 2 ( 2 o i 1 ) 2 o i η i 2 ) p 2 + 1 2 k 2 ( 2 o i 1 ) 2 o i η i 2 + k 2 o i ¯ i 2 + 1 K 1 μ g i τ i ϕ ^ i 2 .
From Equation (63), the bounded convergence region of s g i is guaranteed, which is defined as
Ω s g i = s g i V 2 ( x ) min ( ζ ( 1 ϖ ) α ) 1 P 2 , ( ζ ( 1 ϖ ) β ) 1 q 2
System (11) is proven to stabilize at the origin under a fixed convergence time constraint, where the fixed time is given by
T 3 1 α ϖ ( p 2 1 ) + 1 β ϖ ( 1 q 2 )
Based on its fixed-time stability expression, the system can achieve stabilization within an adjustable time frame, enabling followers to track the leader UAV and complete specific formation configurations.

5. Simulation

5.1. Heterogeneous Simulation

To verify the effectiveness of Equations (33), (34) and (49), simulation experiments were performed on the UAV-UGV system. The heterogeneous MAS consisted of six UAVs and three UGVs. The agents’ positions and parameters of the agents are detailed in Table 1, Table 2 and Table 3.
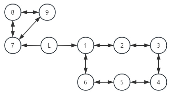
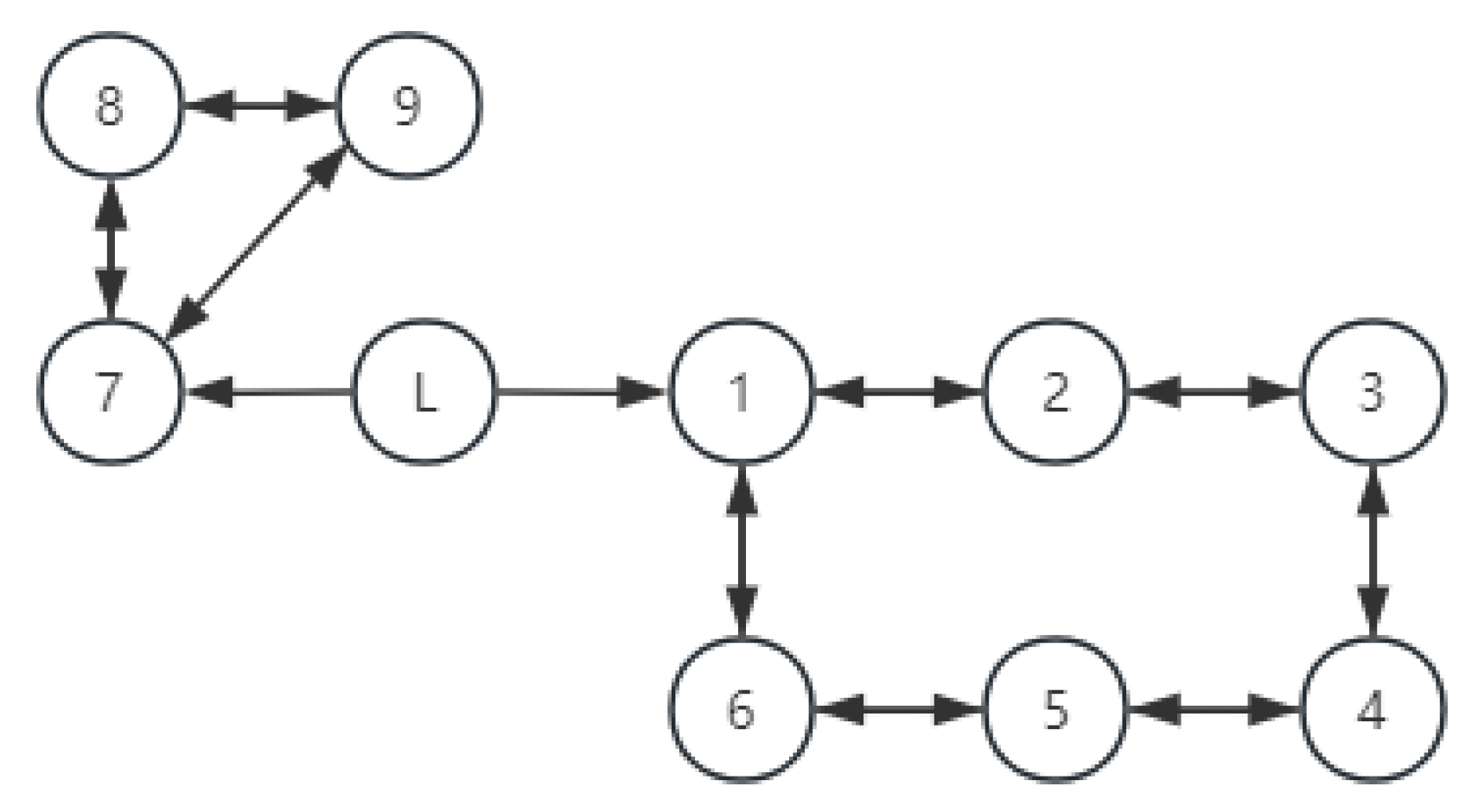
Figure 3 illustrates the communication topology, agent 2–agent 7 were UAVs, and agent 8–agent 10 were UGVs. Under the proposed protocol, the system was required to achieve formation within a fixed settling time.
We assumed the desired formation for multiple agents was a triangle, with the desired positional deviations defined as Δ 1 = 4 , 4 T , Δ 2 = 4 , 4 T , and Δ 3 = 0 , 4 T . i , i = 1 , 2 , 3 were defined as 1 = 0.02 sin ( 0.4 t ) , cos ( 0.4 t ) T , 2 = 0.01 sin ( 0.8 t ) , cos ( 0.4 t ) T , and 3 = 0.006 sin ( 0.2 t ) , cos ( 0.3 t ) T . The actuator attacks were modeled as ϕ ( x g i , 1 , x g i , 2 , t )   = 0.5 sin ( x g i , 1 ( t ) + x g i , 2 ( t ) ) . The external disturbances that acted on UAV2 were modeled as d 2 = 0.1 cos ( 0.1 t ) . The external disturbances that acted on UAV4 were modeled as d 4 = 0.5 sin ( 0.1 t ) .
The simulation result is shown in Figure 4.
According to Figure 4, which shows the simulation results, under external disturbances, the proposed fixed-time distributed control protocol ensured tracking error convergence for the UAVs and UGVs, which enabled them to achieve the desired formation within the predefined time frame. This demonstrates the protocol’s robustness and consensus-based coordination in complex environments with disturbances.
By breaking down Figure 4, the trajectory path corresponding to each UAV is clearly depicted, as demonstrated in Figure 5.
Figure 5 illustrates the tracking performance of the follower UAVs, where the red dashed curve represents the desired trajectory of the virtual leader, and the six other colored curves correspond to the actual trajectories of the follower UAVs. Additionally, the configurations at three distinct times—initial state, pre-formation, and post-formation—are plotted. From this simulation, it is evident that under the proposed control protocol, the formation system rapidly overcame the initial errors, achieved the desired formation, and tracked the reference trajectory with a high precision.
Figure 6 presents a top-down view of the heterogeneous system, where hollow circles represent the positions of the UGVs. The dashed lines connecting these hollow circles clearly illustrate the triangular formation of the system, highlighting the geometric configuration achieved through the proposed control strategy.
Figure 6 illustrates four distinct states of the UGVs and UAVs during both the initialization and operation. It clearly demonstrates that the UGVs and UAVs maintained their respective formations while following the virtual leader in a coordinated multi-agent framework.
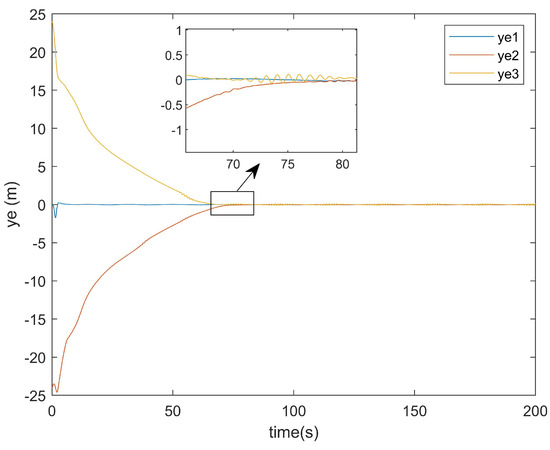
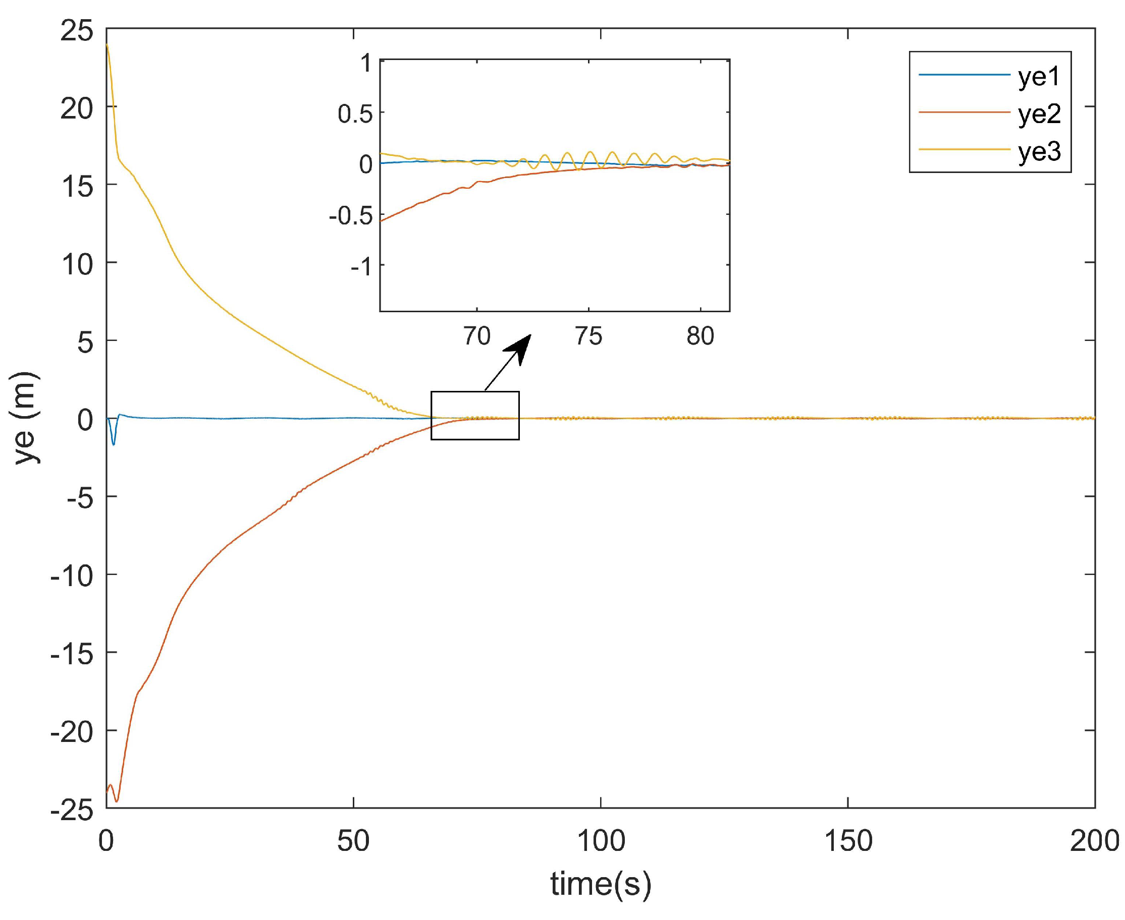
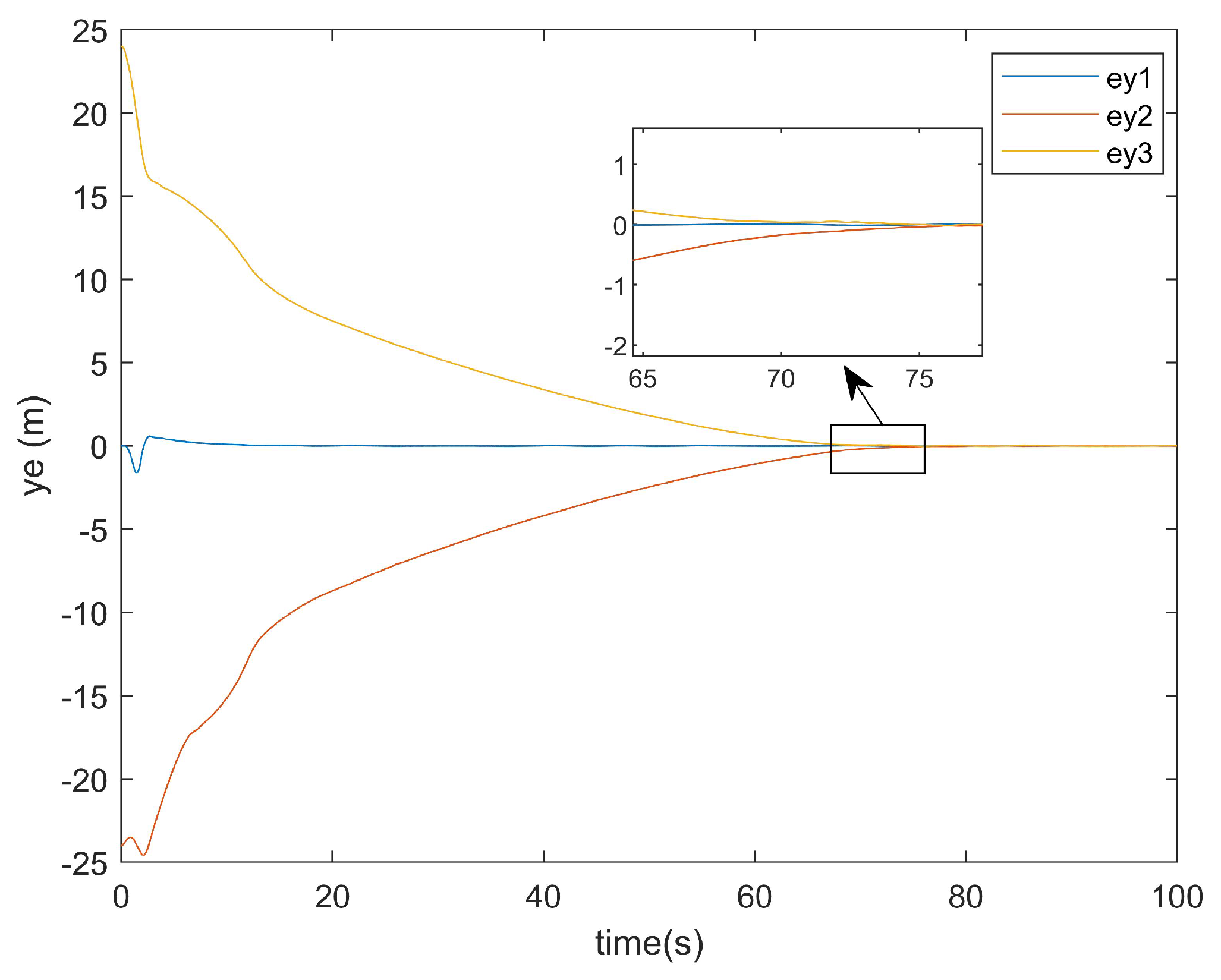
The position error diagrams are shown in Figure 7 and Figure 8, demonstrating the trajectory tracking performance in multi-agent formation control systems.
As shown in Figure 7 and Figure 8, the convergence time of the UGVs system was approximately 72 s. This delay arose from the formation tracking control requirements under multiple constraints, including input saturation, external disturbances, and actuator attacks, which collectively impeded the convergence rate. Despite the presence of initial tracking errors, the system achieved asymptotic stability by maintaining the tracking errors within a bounded and stable range, demonstrating robustness against the aforementioned constraints.

5.2. Simulation Comparison

To demonstrate the superiority of the proposed protocol, this section describes comparative simulation experiments with reference [11] (the study that only considered scenarios with external conditions/external interference).
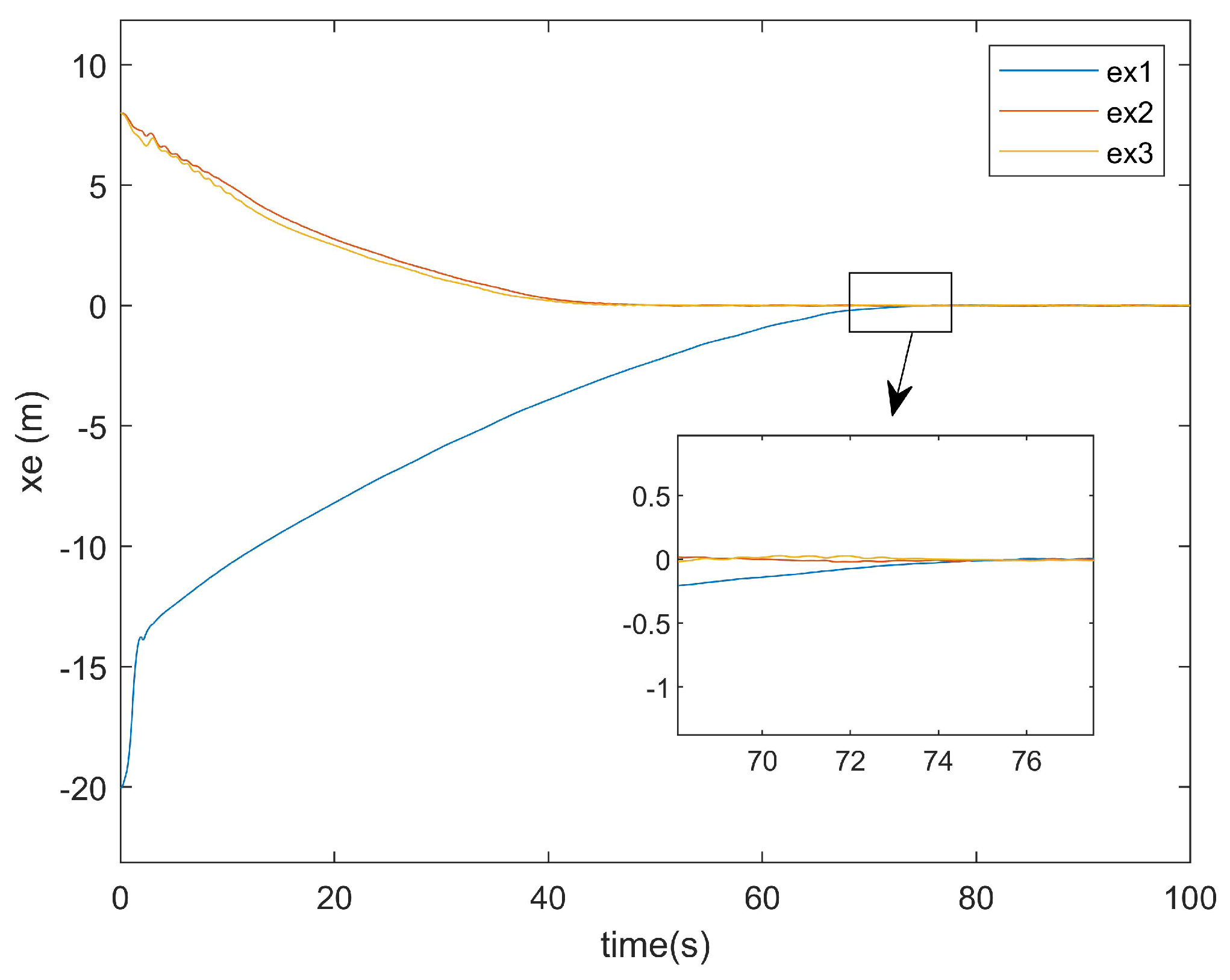
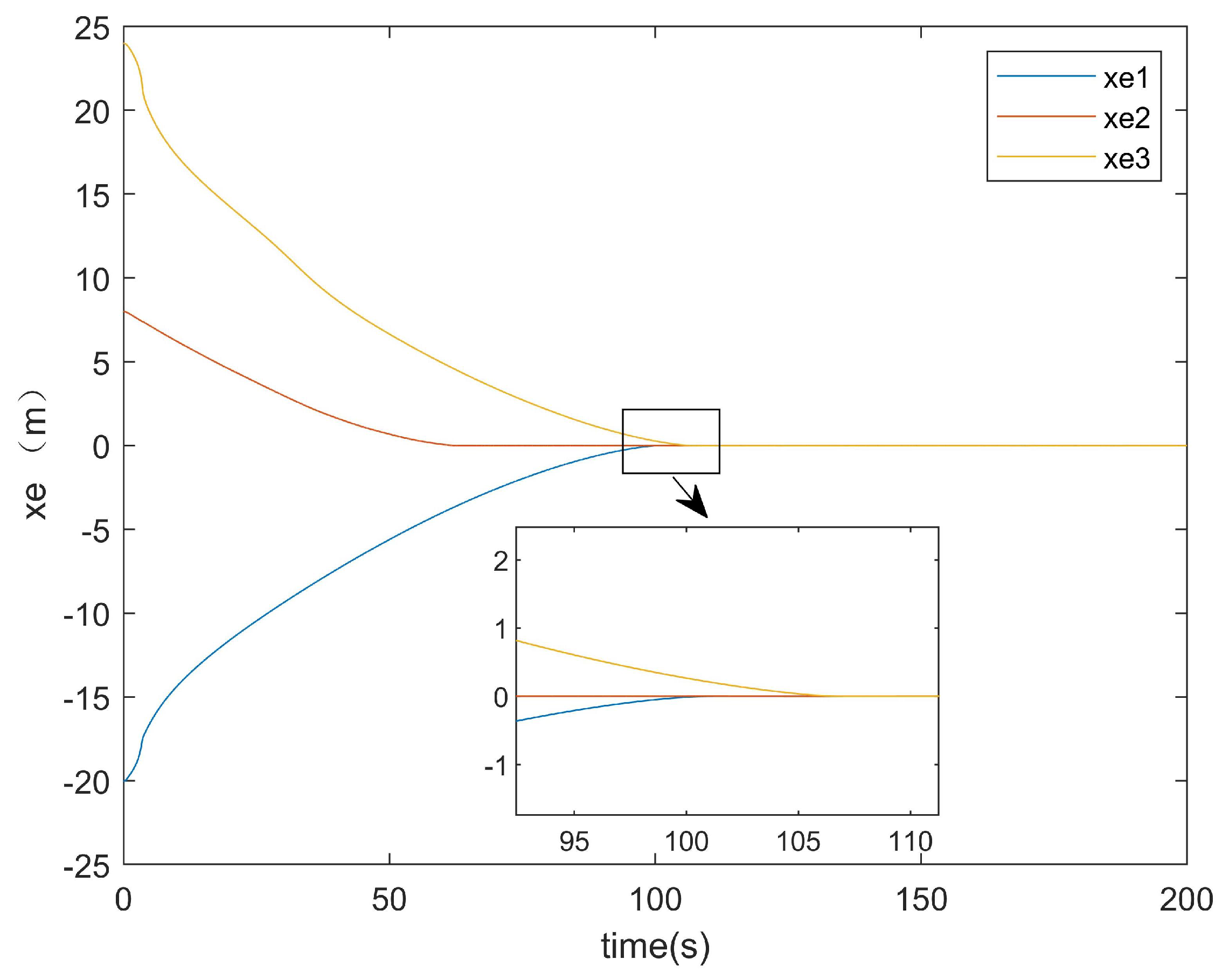
Regarding the position error of the x-axis, Figure 9 illustrates the x-axis error plot of the existing method, while Figure 10 presents the x-axis error plot of the approach proposed in this paper.
As shown in Figure 9, the existing method required approximately 95 s to achieve x-axis tracking. In contrast, Figure 10 reveals that the method proposed in this paper accomplished the x-axis tracking in only around 75 s. Notably, despite incorporating two additional factors—input saturation and actuator faults—the convergence time was reduced by 20 s. This demonstrates the superior convergence effectiveness of the proposed controller at addressing x-axis positioning errors.
For the positional error along the y-axis, Figure 11 shows the y-axis error graph of the existing method, while Figure 12 displays the y-axis error graph presented in this paper.
As can be seen from Figure 11, the existing method exhibited a tracking time along the y-axis that was very close to that along the x-axis. Similarly, Figure 12 demonstrates that the method presented in this paper also achieved a y-axis tracking time comparable to its x-axis counterpart.
Overall, compared with the existing method, the controller proposed in this paper additionally considers both input saturation and actuator failures while achieving a 20-s faster error convergence time. This demonstrates that the controller developed in this study achieved superior convergence performance.
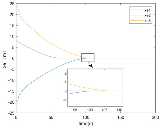
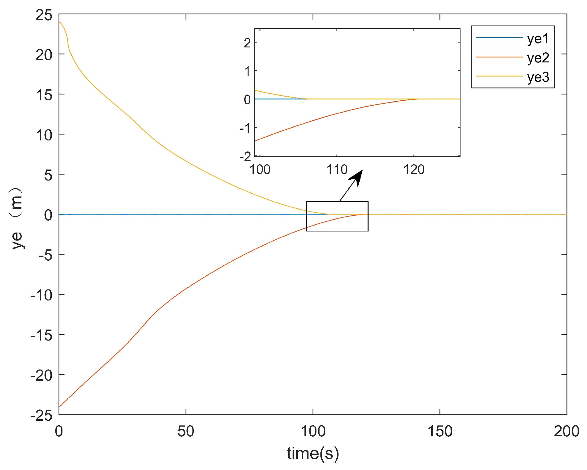
Comparative experiment 2: By changing the leader’s trajectory to straight-line motion, the trajectory path diagram of the existing method is shown in Figure 13, while that of the proposed method in this paper is presented in Figure 14.
As shown in both Figure 13 and Figure 14, the initial velocity and starting positions of the agents, as well as the time points corresponding to their positions depicted in the simulation, were maintained. As demonstrated in Figure 13 and Figure 14, the method proposed in this paper required a shorter formation time and achieved the target formation pattern more rapidly.
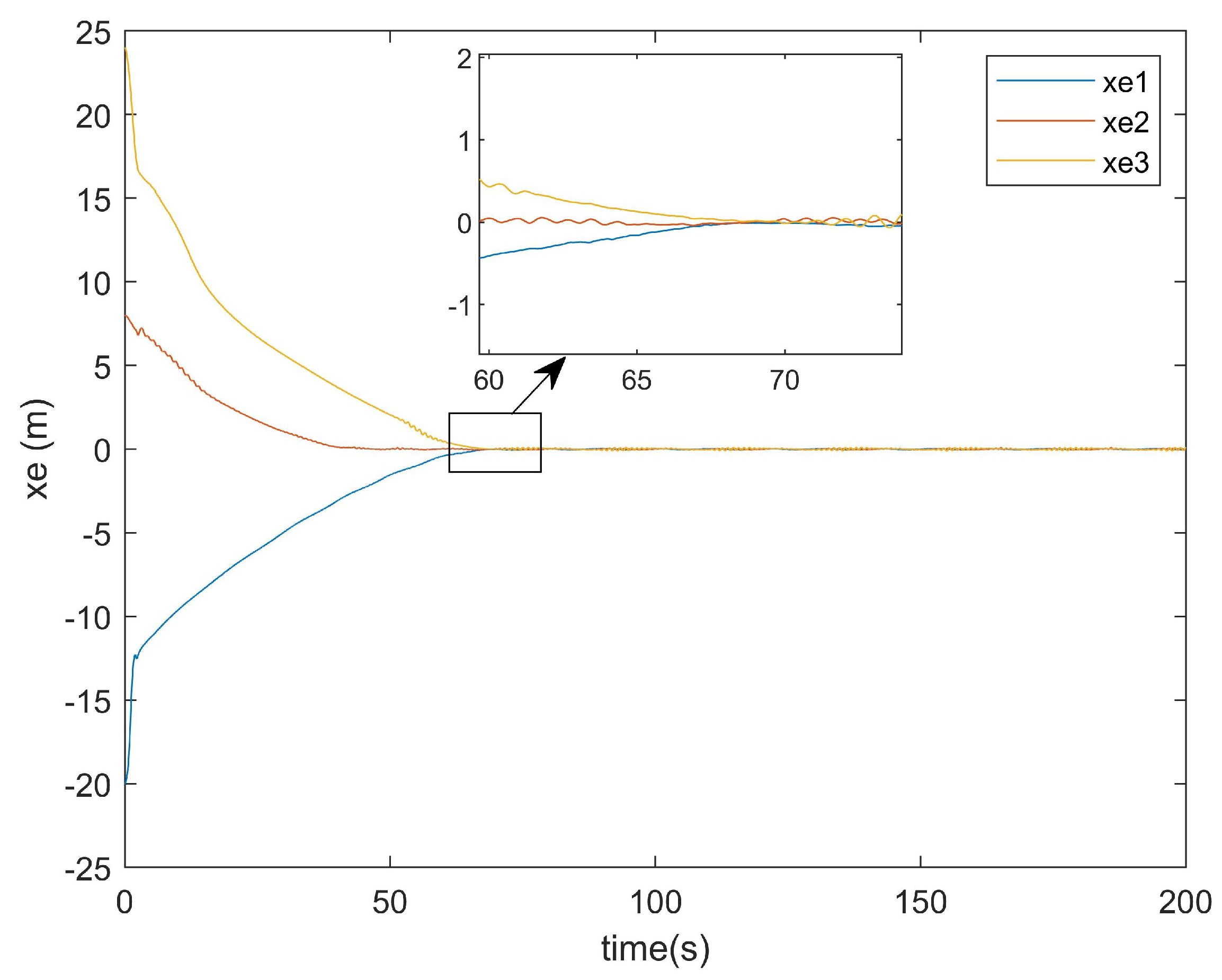
Subsequently, the error convergence times of the two methods were compared. Figure 15 presents the x-axis error convergence diagram of the conventional method, while Figure 16 illustrates that of the proposed method.
It can be seen from Figure 15 that the convergence of the error on the x-axis for the existing method took about 108 s. From Figure 16, it can be observed that the convergence of the error on the x-axis for the method proposed in this paper only took about 70 s. From the locally enlarged view, it can be seen that there was still an error after tracking. This was because the situations of actuator attacks and input saturation were considered in this paper, and there was an error of approximately 0.1 in the error curve after convergence. It can be concluded that the convergence time of the error on the x-axis for the method in this paper was about 30 s faster than that of the existing method for the error on the x-axis.
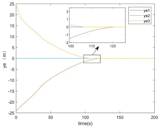
Figure 17 presents the y-axis error convergence diagram of the conventional method, while Figure 18 illustrates that of the proposed method.
As demonstrated in Figure 17, the conventional method required approximately 120 s to achieve the y-axis error convergence, whereas the proposed method attained convergence within only 80 s (Figure 18). This represents a 40-s improvement in the y-axis error convergence time compared with the conventional method.
As evidenced by the two comparative experiments above, the proposed controller not only addressed additional constraints (e.g., actuator attacks and input saturation) compared with the original disturbance rejection controller but also achieved faster convergence rates, which resulted in significantly shorter formation times.

6. Conclusions

This paper addresses the formation tracking control of heterogeneous MASs under the simultaneous consideration of input saturation, actuator attacks, and external disturbances. For such systems, a distributed sliding mode formation tracking control protocol was designed by integrating a fixed-time control algorithm and an adaptive sliding mode control method. To address collision avoidance between agents, the RPF was incorporated into the sliding manifold, enabling the system to track the virtual leader under fixed and adjustable time intervals while ensuring collision-free formation under fixed interaction topologies.
Finally, numerical simulations were simulated in MATLAB2021b. The simulation outcomes confirmed that the proposed controller enabled the follower UAV-UGV to acquire the virtual leader’s state information and achieve collision-free formation tracking within fixed and adjustable time intervals, validating the efficacy of the distributed adaptive sliding mode control protocol under heterogeneous multi-agent dynamics.
In the current study, the theoretical framework and simulation verification of the control strategy were primarily emphasized, which led to limited exploration of its limitations and real-world challenges. Future investigations should prioritize practical implementation challenges, including collision avoidance for UAV swarms, obstacle negotiation for UGV formations, and heterogeneous communication latency. Systematic resolution of these technical barriers is essential to strengthen the practical applicability of the multi-agent framework in operational scenarios.

Author Contributions

Data curation, Y.L. and W.Z.; Writing—original draft preparation, Y.L. and W.Z.; Writing—review and editing, Y.L. and W.Z.; Visualization, L.Z.; Supervision, Z.Z.; Project administration, Y.L.; Funding acquisition, Y.G. All authors have read and agreed to the published version of this manuscript.

Funding

This work was sponsored in part by the National Natural Science Foundation of China under Grant No. 62473278 and the Basic Scientific Research Funds Project for Provincial Colleges and Universities of Heilongjiang Province No. 145409322.

Institutional Review Board Statement

Not applicable.

Informed Consent Statement

Not applicable.

Data Availability Statement

Data are contained within the article.

Conflicts of Interest

The authors declare no conflicts of interest.

References

  1. Christie, G.; Shoemaker, A.; Kochersberger, K.; Tokekar, P.; McLean, L.; Leonessa, A. Radiation search operations using scene understanding with autonomous UAV and UGV. J. Field Rob. 2017, 34, 1450–1468. [Google Scholar] [CrossRef]
  2. Nguyen, T.; Garone, E. Control of a UAV and a UGV cooperating to manipulate an object. In Proceedings of the 2016 American Control Conference (ACC), Boston, MA, USA, 6–8 July 2016; pp. 1347–1352. [Google Scholar]
  3. Zhang, S.Y.; Wang, H.P.; He, S.B.; Zhang, C.; Liu, J.T. An autonomous air-ground cooperative field surveillance system with quadrotor UAV and unmanned ATV robots. In Proceedings of the 2018 IEEE 8th Annual International Conference on CYBER Technology in Automation, Control, and Intelligent Systems (CYBER), Tianjin, China, 19–23 July 2018; pp. 1527–1532. [Google Scholar]
  4. Lei, H.; Wenhan, D. Distributed adaptive consensus tracking control for heterogeneous nonlinear multi-agent systems. ISA Trans. 2022, 130, 177–183. [Google Scholar]
  5. Ma, L.; Gao, Y.; Li, B. Distributed Fixed-Time Formation Tracking Control for the Multi-Agent System and an Application in Wheeled Mobile Robots. Actuators 2024, 13, 68. [Google Scholar] [CrossRef]
  6. Jianye, G.; Bin, J.; Yajie, M.; Mao, Z. Distributed Adaptive Fault-Tolerant Formation-Containment Control With Prescribed Performance for Heterogeneous Multiagent Systems. IEEE Trans. Cybern. 2022, 53, 7787–7799. [Google Scholar]
  7. Fenglan, S.; Hao, L.; Wei, Z.; Kurths, J. Fixed-time formation tracking for multiple nonholonomic wheeled mobile robots based on distributed observer. Nonlinear Dyn. 2021, 106, 3331–3349. [Google Scholar]
  8. Thakur, A.; Halder, K.; Jain, T. Observer-based leader-centric time-varying formation tracking control for nonlinear multi-agent systems with collision avoidance. J. Frankl. Inst. 2024, 361, 107318. [Google Scholar] [CrossRef]
  9. Gu, Y.; Zhao, X.; Yue, M.; Su, L.; Liu, H. Fixed-time sliding mode estimator-based distributed formation control for multiple nonholonomic mobile robots. Proc. Inst. Mech. Eng. Part C J. Mech. Eng. Sci. 2024, 238, 6549–6559. [Google Scholar] [CrossRef]
  10. Chen, A.; Jiaxi, Z.; Kai, W. Adaptive state-constrained/model-free iterative sliding mode control for aerial robot trajectory tracking. Appl. Math. Mech. 2024, 45, 603–618. [Google Scholar]
  11. Li, Q.; Wei, J.; Gou, Q.; Niu, Z. Distributed adaptive fixed-time formation control for second-order multi-agent systems with collision avoidance. Inf. Sci. Int. J. 2021, 564, 27–44. [Google Scholar] [CrossRef]
  12. Wang, Q.; Dong, X.; Chen, Z.; Lian, Z.; Lü, J. Finite-time formation tracking for heterogeneous Euler—Lagrange systems with an uncertain leader. Automatica 2025, 176, 112268. [Google Scholar] [CrossRef]
  13. Wang, Q.; Hua, Y.; Dong, X.; Shu, P.; Lü, J.; Ren, Z. Finite-Time Time-Varying Formation Tracking for Heterogeneous Nonlinear Multiagent Systems Using Adaptive Output Regulation. IEEE Trans. Cybern. 2023, 54, 2460–2471. [Google Scholar] [CrossRef] [PubMed]
  14. Li, Y.; Xu, T.; Yang, R.; Wang, M. Distributed adaptive finite-time fault-tolerant formation-containment control for networked Euler—Lagrange systems under directed communication interactions. Neurocomputing 2023, 560, 126839. [Google Scholar] [CrossRef]
  15. Polyakov, A. Nonlinear feedback design for fixed-time stabilization of linear control systems. IEEE Trans. Autom. Control 2012, 57, 2106–2110. [Google Scholar] [CrossRef]
  16. Zu, Z.; Wu, J.; Zhan, X.; Wu, B.; Cheng, L. Fixed-time Formation Control for Leader-following Multi-agent Systems With Disturbances and Nonlinear Function Under Directed Topology. Int. J. Control Autom. Syst. 2025, 23, 767–776. [Google Scholar] [CrossRef]
  17. Lu, Y.; Zhang, K.; Shen, L.; Xia, J. Fixed-time fault-tolerant formation-containment control for unmanned helicopters via a fully actuated system approach. Appl. Math. Model. 2025, 143, 116004. [Google Scholar] [CrossRef]
  18. Tong, H.; Shang, Z.; Hu, Y. Fixed-time adaptive fuzzy formation control using novel nonlinear mapping function for multiple unmanned surface vehicles with fixed-time constraints. Ocean. Eng. 2025, 321, 120404. [Google Scholar] [CrossRef]
  19. Vazquez Trejo, J.A.; Ponsart, J.C.; Adam-Medina, M.; Valencia-Palomo, G. Fault-tolerant observer-based leader-following consensus control for LPV multi-agent systems using virtual actuators. Int. J. Syst. Sci. 2024, 56, 1816–1833. [Google Scholar] [CrossRef]
  20. Cheng, W.; Jiang, B.; Zhang, K.; Ding, S.X. Robust finite-time cooperative formation control of UGV-UAV with model uncertainties and actuator faults. J. Frankl. Inst. 2021, 358, 8811–8837. [Google Scholar] [CrossRef]
  21. Cheng, W.; Zhang, K.; Jiang, B.; Ding, S.X. Fixed-Time Formation Tracking for Heterogeneous Multiagent Systems Under Actuator Faults and Directed Topologies. IEEE Trans. Aerosp. Electron. Syst. 2022, 58, 3063–3077. [Google Scholar] [CrossRef]
  22. Xiong, H.; Hongbin, D.; Chaoyang, L.; Junqi, W. Distributed event-triggered formation control of UGV-UAV heterogeneous multi-agent systems for ground-air cooperation. Chin. J. Aeronaut. 2024, 37, 458–483. [Google Scholar] [CrossRef]
  23. Ryan, A.; Pan, Y. Continuously Varying Formation for Heterogeneous Multi-Agent Systems with Novel Potential Field Avoidance. IEEE Trans. Ind. Electron. 2025, 72, 1774–1783. [Google Scholar]
  24. Zhan, X.; Lu, R.; Wu, J.; Yan, H. Practical fixed-time multi-group time-varying formation for second-order multi-agent systems with actuator attacks and collision avoidance. Inf. Sci. 2024, 678, 120821. [Google Scholar] [CrossRef]
  25. Jiang, B.; Hu, Q.; Friswell, M.I. Fixed-Time Attitude Control for Rigid Spacecraft With Actuator Saturation and Faults. IEEE Trans. Control Syst. Technol. 2016, 24, 1892–1898. [Google Scholar] [CrossRef]
  26. Huang, J.; Song, Y.; Wang, W.; Wen, C.; Li, G. Fully distributed adaptive consensus control of a class of high-order nonlinear systems with a directed topology and unknown control directions. IEEE Trans. Cybern. 2018, 48, 2349–2356. [Google Scholar] [CrossRef]
  27. Zuo, Z.; Tie, L. A new class of finite-time nonlinear consensus protocols for multi-agent systems. Int. J. Control 2014, 87, 363–370. [Google Scholar] [CrossRef]
  28. Zhong, Z.; Jiaoqing, X.; Peng, L. Collision Avoidance Formation Control of Fixed-Wing UAVs based on Extended State Observer. Command. Control Sci. 2024, 10, 587–594. [Google Scholar]
Figure 1. UAV system model.
Figure 1. UAV system model.
Entropy 27 00538 g001
Figure 2. System block diagram.
Figure 2. System block diagram.
Entropy 27 00538 g002
Figure 3. Communication topology.
Figure 3. Communication topology.
Entropy 27 00538 g003
Figure 4. Agent trajectories.
Figure 4. Agent trajectories.
Entropy 27 00538 g004
Figure 5. UAV trajectories.
Figure 5. UAV trajectories.
Entropy 27 00538 g005
Figure 6. Top-down view of the heterogeneous multi-agent system.
Figure 6. Top-down view of the heterogeneous multi-agent system.
Entropy 27 00538 g006
Figure 7. x-axis error.
Figure 7. x-axis error.
Entropy 27 00538 g007
Figure 8. y-axis error.
Figure 8. y-axis error.
Entropy 27 00538 g008
Figure 9. x-axis error plot of existing method.
Figure 9. x-axis error plot of existing method.
Entropy 27 00538 g009
Figure 10. x-axis error plot of this article.
Figure 10. x-axis error plot of this article.
Entropy 27 00538 g010
Figure 11. y-axis error plot of existing method.
Figure 11. y-axis error plot of existing method.
Entropy 27 00538 g011
Figure 12. The y-axis error plot of this article.
Figure 12. The y-axis error plot of this article.
Entropy 27 00538 g012
Figure 13. The trajectory path diagram of the existing method.
Figure 13. The trajectory path diagram of the existing method.
Entropy 27 00538 g013
Figure 14. Trajectory path diagram of the proposed method.
Figure 14. Trajectory path diagram of the proposed method.
Entropy 27 00538 g014
Figure 15. x-axis error of the conventional method.
Figure 15. x-axis error of the conventional method.
Entropy 27 00538 g015
Figure 16. x-axis error of the proposed method.
Figure 16. x-axis error of the proposed method.
Entropy 27 00538 g016
Figure 17. y-axis error of the conventional method.
Figure 17. y-axis error of the conventional method.
Entropy 27 00538 g017
Figure 18. y-axis error of the proposed method.
Figure 18. y-axis error of the proposed method.
Entropy 27 00538 g018
Table 1. Initial positions.
Table 1. Initial positions.
AgentValueAgentValue
Leader [ 0 , 5 , 0 ] T UAV1 [ 1 , 3 , 0 ] T
UAV2 [ 1 , 3 , 0 ] T UAV3 [ 2 , 0 , 0 ] T
UAV4 [ 1 , 3 , 0 ] T UAV5 [ 1 , 3 , 0 ] T
UAV6 [ 2 , 0 , 0 ] T UAV7 [ 0 , 1 , 0 ] T
UAV8 [ 0 , 9 , 0 ] T UAV9 [ 4 , 1 , 0 ] T
Table 2. UAV parameters.
Table 2. UAV parameters.
ParameterValueParameterValue
C X 3 C y 2
C θ 2.2 D X 0.5
D Y 0.5 D θ 1.2
μ i 1 18 μ i 2 0.2
μ i 3 1.5
Table 3. UGV parameters.
Table 3. UGV parameters.
ParameterValueParameterValue
K 1 8 R o u t 6
K 2 6 R i n 3
m 1 21 ρ 12 , ρ 13 , ρ 23 0.001
n 1 14 α 2 2
m 2 1.5 β 2 1
n 2 3.8 p 2 1.1
r 0 2 q 2 1 / 3
g 0 0.01 k 1 , k 2 , k 3 5
Disclaimer/Publisher’s Note: The statements, opinions and data contained in all publications are solely those of the individual author(s) and contributor(s) and not of MDPI and/or the editor(s). MDPI and/or the editor(s) disclaim responsibility for any injury to people or property resulting from any ideas, methods, instructions or products referred to in the content.

Share and Cite

MDPI and ACS Style

Li, Y.; Zhao, W.; Zhu, L.; Zhang, Z.; Guo, Y. Fixed-Time Cooperative Formation Control of Heterogeneous Systems Under Multiple Constraints. Entropy 2025, 27, 538. https://doi.org/10.3390/e27050538

AMA Style

Li Y, Zhao W, Zhu L, Zhang Z, Guo Y. Fixed-Time Cooperative Formation Control of Heterogeneous Systems Under Multiple Constraints. Entropy. 2025; 27(5):538. https://doi.org/10.3390/e27050538

Chicago/Turabian Style

Li, Yandong, Wei Zhao, Ling Zhu, Zehua Zhang, and Yuan Guo. 2025. "Fixed-Time Cooperative Formation Control of Heterogeneous Systems Under Multiple Constraints" Entropy 27, no. 5: 538. https://doi.org/10.3390/e27050538

APA Style

Li, Y., Zhao, W., Zhu, L., Zhang, Z., & Guo, Y. (2025). Fixed-Time Cooperative Formation Control of Heterogeneous Systems Under Multiple Constraints. Entropy, 27(5), 538. https://doi.org/10.3390/e27050538

Note that from the first issue of 2016, this journal uses article numbers instead of page numbers. See further details here.

Article Metrics

Back to TopTop