Thermodynamic Limit of Electroluminescent Refrigeration Devices
Abstract
1. Introduction
2. Theoretical Background
2.1. Geometrical Configuration
2.2. Second-Law Analysis
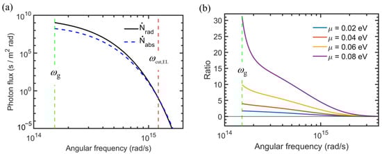
2.3. Detailed Balance Model
3. Results and Discussion
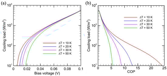
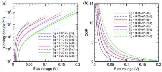
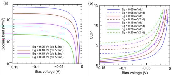
3.1. EL Refrigeration
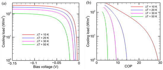
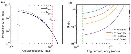
3.2. NEL Refrigeration
3.3. Influence of the Temperature Difference
4. Conclusions
Author Contributions
Funding
Institutional Review Board Statement
Data Availability Statement
Conflicts of Interest
Nomenclature
| speed of light in a vacuum, m/s | |
| bandgap energy, J | |
| rate of photon energy absorbed by the diodes, W/m2 | |
| rate of net energy flow by radiation from the EL diode to the receiver, W/m2 | |
| rate of net energy absorbed by radiation by the NEL diode from the target, W/m2 | |
| rate of photon energy emitted by the diodes, W/m2 | |
| spectral emissive power, J/m2·rad | |
| modified Bose-Einstein distribution | |
| reduced Planck constant, 1.055 × 10−34 J·s | |
| Boltzmann constant, 1.381 × 10−23 J/K | |
| net photon flux from the EL diode to the receiver, m−2 | |
| net photon flux to the NEL diode from the target object, m−2 | |
| spectral photon flux, s/m2·rad | |
| rate of heat transferred from the cold reservoir, W/m2 | |
| rate of heat transferred out to the hot reservoir, W/m2 | |
| elementary charge, 1.602 × 10−19 C | |
| rate of entropy transferred from the cold reservoir, W/K·m2 | |
| rate of photon entropy absorbed by the diodes, W/K·m2 | |
| rate of photon entropy transferred from the EL diode to the receiver, W/K·m2 | |
| rate of photon entropy absorbed by the NEL diode from the target object, W/K·m2 | |
| rate of entropy transferred to the hot reservoir, W/K·m2 | |
| rate of photon entropy emitted by the diodes, W/K·m2 | |
| spectral entropy flux, J/K·m2·rad | |
| T | absolute temperature, K |
| V | bias voltage of the cell, V |
| Vth | threshold bias voltage, V |
| power absorbed by the refrigeration system, W/m2 | |
| Greek symbols | |
| μ | photon chemical potential, J |
| entropy generation rate, W/K·m2 | |
| ω | angular frequency, rad/s |
| Subscripts | |
| 2nd | second-law analysis |
| db | detailed balance analysis |
| C or H | cold or hot reservoir |
| cut | cut-off |
| g | bandgap |
| List of abbreviations | |
| COP | coefficient of performance |
| EL | electroluminescent cooling |
| LED | light emitting diode |
| MCT | mercury-cadmium-telluride |
| NEL | negative electroluminescent cooling |
References
- Würfel, P. The chemical potential of radiation. J. Phys. C Solid State Phys. 1982, 15, 3967–3985. [Google Scholar] [CrossRef]
- Zhao, B.; Fan, S. Chemical potential of photons and its implications for controlling radiative heat transfer. Annu. Rev. Heat Transf. 2020, 23, 397–431. [Google Scholar] [CrossRef]
- Tervo, E.; Bagherisereshki, E.; Zhang, Z.M. Near-field radiative thermoelectric energy converters: A review. Front. Energy 2017, 12, 5–21. [Google Scholar] [CrossRef]
- Lehovec, K.; Accardo, C.; Jamgochian, E. Light emission produced by current injected into a green silicon-carbide crystal. Phys. Rev. 1953, 89, 20–25. [Google Scholar] [CrossRef]
- Tauc, J. The share of thermal energy taken from the surroundings in the electroluminescent energy radiated from a pn junction. Cechoslovackij Fiz. Zurnal 1957, 7, 275–276. [Google Scholar]
- Dousmanis, G.C.; Mueller, C.W.; Nelson, H.; Petzinger, K.G. Evidence of refrigerating action by means of photon emission in semiconductor diodes. Phys. Rev. 1964, 133, A316–A318. [Google Scholar] [CrossRef]
- Weinstein, M. Thermodynamic limitation on the conversion of heat into light. J. Opt. Soc. Am. 1960, 50, 597–602. [Google Scholar] [CrossRef]
- Berdahl, P. Radiant refrigeration by semiconductor diodes. J. Appl. Phys. 1985, 58, 1369–1374. [Google Scholar] [CrossRef]
- Berdahl, P.; Malyutenko, V.; Morimoto, T. Negative luminescence of semiconductors. Infrared Phys. 1989, 29, 667–672. [Google Scholar] [CrossRef]
- Sadi, T.; Radevici, I.; Oksanen, J. Thermophotonic cooling with light-emitting diodes. Nat. Photonics 2020, 14, 205–214. [Google Scholar] [CrossRef]
- Zhang, Z.M. Nano/Microscale Heat Transfer, 2nd ed.; Springer Nature: Cham, Switzerland, 2020. [Google Scholar]
- Santhanam, P.; Gray, D.J., Jr.; Ram, R.J. Thermoelectrically pumped light-emitting diodes operating above unity efficiency. Phys. Rev. Lett. 2012, 108, 097403. [Google Scholar] [CrossRef] [PubMed]
- Santhanam, P.; Huang, D.; Ram, R.J.; Remennyi, M.A.; Matveev, B.A. Room temperature thermoelectric pumping in mid-infrared light-emitting diodes. Appl. Phys. Lett. 2013, 103, 183513. [Google Scholar] [CrossRef]
- Piprek, J.; Li, Z.-M. Electroluminescent cooling mechanism in InGaN/GaN light-emitting diodes. Opt. Quantum Electron. 2016, 48, 472. [Google Scholar] [CrossRef]
- Chen, K.; Santhanam, P.; Sandhu, S.; Zhu, L.; Fan, S. Heat-flux control and solid-state cooling by regulating chemical potential of photons in near-field electromagnetic heat transfer. Phys. Rev. B 2015, 91, 134301. [Google Scholar] [CrossRef]
- Chen, K.; Santhanam, P.; Fan, S. Near-field enhanced negative luminescent refrigeration. Phys. Rev. Appl. 2016, 6, 024014. [Google Scholar] [CrossRef]
- Liu, X.; Zhang, Z.M. High-performance electroluminescent refrigeration enabled by photon tunneling. Nano Energy 2016, 26, 353–359. [Google Scholar] [CrossRef]
- Lin, C.; Wang, B.; Teo, K.H.; Zhang, Z.M. A coherent description of thermal radiative devices and its application on the near-field negative electroluminescent cooling. Energy 2018, 147, 177–186. [Google Scholar] [CrossRef]
- Zhu, L.; Fiorino, A.; Thompson, D.; Mittapally, R.; Meyhofer, E.; Reddy, P. Near-field photonic cooling through control of the chemical potential of photons. Nature 2019, 566, 239–244. [Google Scholar] [CrossRef]
- Oksanen, J.; Tulkki, J. Thermophotonic heat pump—A theoretical model and numerical simulations. J. Appl. Phys. 2010, 107, 093106. [Google Scholar] [CrossRef]
- Chen, K.; Xiao, T.P.; Santhanam, P.; Yablonovitch, E.; Fan, S. High-performance near-field electroluminescent refrigeration device consisting of a GaAs light-emitting diode and a Si photovoltaic cell. J. Appl. Phys. 2017, 122, 143104. [Google Scholar] [CrossRef]
- Xiao, T.P.; Chen, K.; Santhanam, P.; Fan, S.; Yablonovitch, E. Electroluminescent refrigeration by ultra-efficient GaAs light-emitting diodes. J. Appl. Phys. 2018, 123, 173104. [Google Scholar] [CrossRef]
- Radevici, I.; Tiira, J.; Sadi, T.; Ranta, S.; Tukiainen, A.; Guina, M.; Oksanen, J. Thermophotonic cooling in GaAs-based light emitters. Appl. Phys. Lett. 2019, 114, 051101. [Google Scholar] [CrossRef]
- Sadi, T.; Kivisaari, P.; Tiira, J.; Radevici, I.; Haggren, T.; Oksanen, J. Electroluminescent cooling in intracavity light emitters: Modeling and experiments. Opt. Quantum Electron. 2017, 50, 18. [Google Scholar] [CrossRef]
- Radevici, I.; Tiira, J.; Sadi, T.; Oksanen, J. Influence of photo-generated carriers on current spreading in double diode structures for electroluminescent cooling. Semicond. Sci. Technol. 2018, 33, 05LT01. [Google Scholar] [CrossRef]
- Sadi, T.; Radevici, I.; Kivisaari, P.; Oksanen, J. Electroluminescent cooling in III–V intracavity diodes: Practical requirements. IEEE Trans. Electron Devices 2019, 66, 963–968. [Google Scholar] [CrossRef]
- Park, Y.; Fan, S. Multijunction electroluminescent cooling. PRX Energy 2024, 3, 033002. [Google Scholar] [CrossRef]
- Shockley, W.; Queisser, H.J. Detailed balance limit of efficiency of p-n junction solar cells. J. Appl. Phys. 1961, 32, 510–519. [Google Scholar] [CrossRef]
- Zhang, Z.M.; Basu, S. Entropy flow and generation in radiative transfer between surfaces. Int. J. Heat Mass Transf. 2007, 50, 702–712. [Google Scholar] [CrossRef]
- Latella, I.; Pérez-Madrid, A.; Lapas, L.C.; Rubi, J.M. Near-field thermodynamics: Useful work, efficiency, and energy harvesting. J. Appl. Phys. 2014, 115, 124307. [Google Scholar] [CrossRef]
- Xue, J.; Li, Z.; Ram, R.J. Irreversible thermodynamic bound for the efficiency of light-emitting diodes. Phys. Rev. Appl. 2017, 8, 014017. [Google Scholar] [CrossRef]
- Marti, A.; Araújo, G.L. Limiting efficiencies for photovoltaic energy conversion in multigap systems. Sol. Energy Mater. Sol. Cells 1996, 43, 203–222. [Google Scholar] [CrossRef]
- Hsu, W.C.; Tong, J.K.; Liao, B.; Huang, Y.; Boriskina, S.V.; Chen, G. Entropic and near-field improvements of thermoradiative cells. Sci. Rep. 2016, 6, 34837. [Google Scholar] [CrossRef] [PubMed]
- Pusch, A.; Gordon, J.M.; Mellor, A.; Krich, J.J.; Ekins-Daukes, N.J. Fundamental efficiency bounds for the conversion of a radiative heat engine’s own emission into work. Phys. Rev. Appl. 2019, 12, 064018. [Google Scholar] [CrossRef]
- Fernández, J. Theoretical optimization of the working properties of spatial thermoradiative cells using the Carnot efficiency. J. Appl. Phys. 2019, 125, 103101. [Google Scholar] [CrossRef]
- Zhang, Z.M.; Bohm, P.; Menon, A.K. Entropic analysis of the maximum output power of thermoradiative cells. ASME J. Heat Mass Transf. 2024, 147, 052801. [Google Scholar] [CrossRef]
- Li, B.; Cheng, Q.; Song, J.; Zhou, K.; Lu, L.; Luo, Z. Thermodynamic performance of near-field electroluminescence and negative electroluminescent refrigeration systems. AIMS Energy 2021, 9, 465–482. [Google Scholar] [CrossRef]
- Zhang, Z.M.; Islam, A.N.M.F.; Ghiaasiaan, G.M. Near-field energy and entropy density, flux, and effective transmission velocity. In Proceedings of the 11th International Symposium on Radiative Transfer (RAD-25), Kuşadasi, Türkiye, 15–20 June 2025. [Google Scholar]
- Hansen, G.L.; Schmit, J.L.; Casselman, T.N. Energy gap versus alloy composition and temperature in Hg1−xCdxTe. J. Appl. Phys. 1982, 53, 7099–7101. [Google Scholar] [CrossRef]
- Fan, S.; Villeneuve, P.R.; Joannopoulos, J.D.; Schubert, E.F. High extraction efficiency of spontaneous emission from slabs of photonic crystals. Phys. Rev. Lett. 1997, 78, 3294–3297. [Google Scholar] [CrossRef]







Disclaimer/Publisher’s Note: The statements, opinions and data contained in all publications are solely those of the individual author(s) and contributor(s) and not of MDPI and/or the editor(s). MDPI and/or the editor(s) disclaim responsibility for any injury to people or property resulting from any ideas, methods, instructions or products referred to in the content. |
© 2025 by the authors. Licensee MDPI, Basel, Switzerland. This article is an open access article distributed under the terms and conditions of the Creative Commons Attribution (CC BY) license (https://creativecommons.org/licenses/by/4.0/).
Share and Cite
Islam, A.N.M.F.; Ghiaasiaan, S.M.; Zhang, Z.M. Thermodynamic Limit of Electroluminescent Refrigeration Devices. Entropy 2025, 27, 496. https://doi.org/10.3390/e27050496
Islam ANMF, Ghiaasiaan SM, Zhang ZM. Thermodynamic Limit of Electroluminescent Refrigeration Devices. Entropy. 2025; 27(5):496. https://doi.org/10.3390/e27050496
Chicago/Turabian StyleIslam, A. N. M. Fuhadul, S. Mostafa Ghiaasiaan, and Zhuomin M. Zhang. 2025. "Thermodynamic Limit of Electroluminescent Refrigeration Devices" Entropy 27, no. 5: 496. https://doi.org/10.3390/e27050496
APA StyleIslam, A. N. M. F., Ghiaasiaan, S. M., & Zhang, Z. M. (2025). Thermodynamic Limit of Electroluminescent Refrigeration Devices. Entropy, 27(5), 496. https://doi.org/10.3390/e27050496

