Synchronization of Kuromoto Oscillators on Simplicial Complexes: Hysteresis, Cluster Formation and Partial Synchronization
Abstract
1. Introduction
2. The Self-Assembly of Simplices
3. Simplicial Structure of Interactions: Higher-Order Interactions
3.1. Phase Synchronization with Competing Interactions
3.2. Effects of Interplay
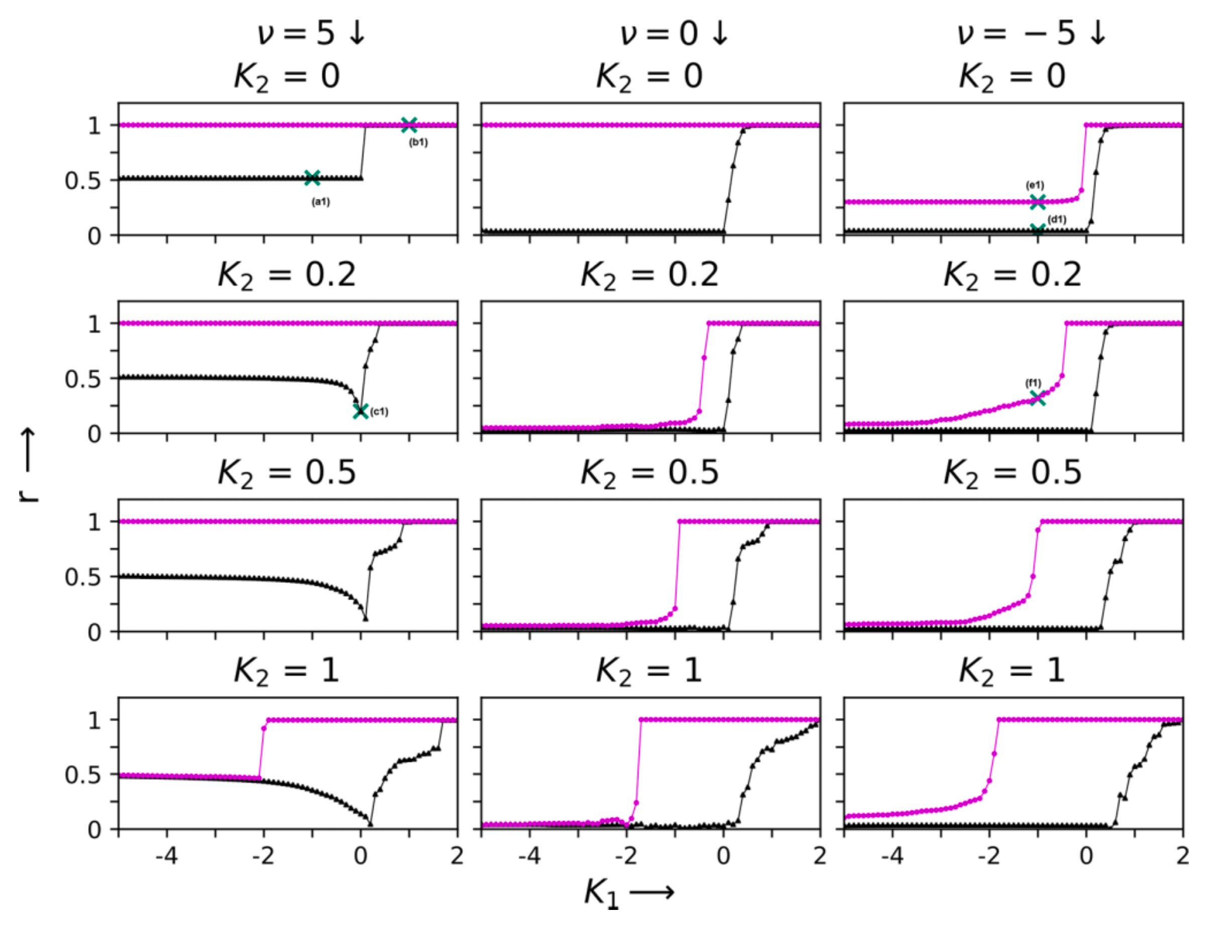
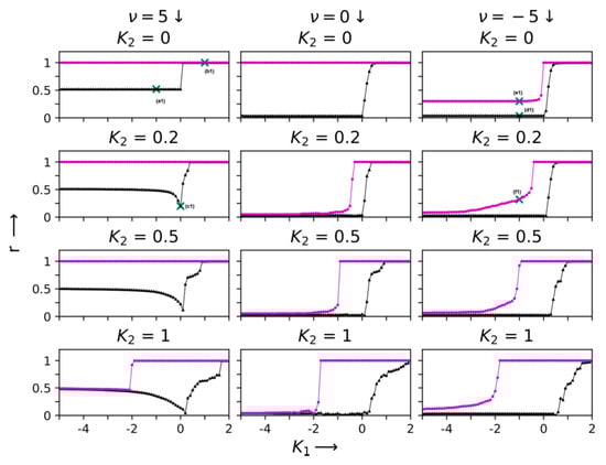
3.3. Hysteresis Effects
4. Patterns and Dynamics of Individual Nodes
- 1.
- , compact networks: Here, we choose the values on the forward branch with a pure pairwise interaction, f and , on the backward branch. The behavior of the three quantities of interest, , and the distribution of , can be seen in panels of Figure 5. It can be seen from panels a1 and a3 that the has one prominent peak value in the distribution, with a range of values in the rest of the distribution. The average angle in the time evolution from 490 to 500 steps shows one clear oscillation and then flattens off.At , , we examine the first 500 steps and can hence see the transient before the iterates settle. Panel shows that the tends to synchronize. The average angle shows small transient values due to the spread of phase angles and then shows a clear oscillation. The distribution of phase angles peaks around a single value.At , , the -s shows a wide spread (see panels and ). The average angle shows a reasonably regular oscillation between time steps 490 and 1000 (panel ).
- 2.
- , sparse networks: The behavior of the sparse network is shown in the panels. The d and e panels show the behavior of the pairwise interactions with on the forward and backward branch alone for a negative value of K. The f panels show the effects of the higher-order term alone, i.e., , , forward branch. The pairwise backward branch shows a banded structure in the plot, which translates into oscillations in the , as seen in . The forward branch shows a more or less constant value of the . The higher-order interactions also show clear oscillations in panel . Hence, peaks are seen in the distribution in and . However the higher-order interactions show a more pronounced peak.We note that the clustering is much more clear in the compact structure. The sparse structure tends to distribute the phase angles more uniformly across the available range, although the higher-order interactions promote some clustering. Thus, both the kind of interaction and the substrate influence the synchronization and clustering seen in this system.
Partial Synchrony and Patterns
5. Small Systems: Two Simplex Systems
- 1.
- Crosses (): Here the node with two simplices shows maximum desynchronization. The link that shared two simplices shows four clusters; the triangle that shared two simplices reduced to two clustes; the tetrahedron case showed four clusters again. The () case shows full synchronization.
- 2.
- The cases denoted by stars ( and ) show several clusters for the node shared case and two clusters can be observed for the shared cases denoted by a triangle.
- 3.
- Diamonds: (, and case, link shared). The first two cases are multiclustered, while the last case show two clustered solutions. The shared tetrahedra cases marked by diamonds ( and cases show three oscillating cluster solutions.
Patterns of the Two Simplex Structure
- 1.
- Crosses (): The patterns here can be seen in the first row of Figure 10. The figure shows the behavior at each node for two simplex situations sharing nodes, links, triangles and tetrahedra. The lead and lag patterns can be seen in the space–time plot. The phase angles at nodes labeled 1 to 4 follow node 4 which leads, while node 5 lags and node 6 is synchronized with node 4, which is ahead of nodes 7 to 10. For the shared link case, nodes 1 and 5 are synchronized and the remaining nodes are desynchronized. The triangle shared case shows three synchronized clusters of two nodes and a single node, none of which are in step with each other. The shared tetrahedra can be fully synchronized () or fully desynchronized ().
- 2.
- Stars (, and ): The shared node cases can be seen in the second row of the space–time plot. As mentioned above, the node linked case is multi-clustered, with nodes 4 and 7 being synchronized with each other. The remaining nodes show no systematic behavior. The case shows three clusters: nodes are synchronized nodes, 1 and 7 are synchronized and nodes 9 and 8 are synchronized. The , node linked case is similar. The two shared cases denoted by triangles are seen in the same row. Here, of the nodes are in step, 1 and 4 are in step and node 5 evolves independently. For , no clear pattern is seen though there are two clusters.
- 3.
- Diamonds: (, and case, link shared). This is the last row in the space–time plot. Here, there are three link shared cases and two tetrahedra shared cases. For =0.0, , (link shared) node 5 leads all the other nodes. For and , nodes are in step, as are nodes and . For links , , there are two clearly synchronized clusters of nodes and nodes . For the shared tetrahedra, we can observed a synchronized cluster where nodes are in step, are in step and are in step (three clusters). For the last case, again, there are three clusters in step: , and .
6. Summary and Conclusions
Funding
Acknowledgments
Conflicts of Interest
References
- Tadić, B.; Gupte, N. Hidden geometry and dynamics of complex networks: Spin reversal in nanoassemblies with pairwise and triangle-based interactions. EPL Eur. Lett. 2020, 132, 60008. [Google Scholar] [CrossRef]
- Bishal, R.; Cherodath, S.; Singh, N.C.; Gupte, N. A simplicial analysis of the fMRI data from human brain dynamics under functional cognitive tasks. Front. Netw. Physiol. 2022, 2, 924446. [Google Scholar] [CrossRef] [PubMed]
- Jungwirth, T.; Marti, X.; P, P.W.; Wunderlich, J. Antiferromagnetic spintronics. Nat. Nanotechnol. 2016, 11, 231. [Google Scholar] [CrossRef]
- Brunt, D.; Balakrishnan, G.; Mayoh, D.; Lees, M.; Gorbunov, D.; Qureshi, N.; Petrenko, O. Magnetisation process in the rare earth tetraborides, NdB4 and HoB4. Sci. Rep. 2018, 8, 232. [Google Scholar] [CrossRef] [PubMed]
- Gilbert, I.; Nisoli, C.; Schiffer, P. Frustration by design. Phys. Today 2016, 69, 54–59. [Google Scholar] [CrossRef]
- Ikeda, S.; Kotani, M. Materials inspired by mathematics. Sci. Technol. Adv. Mater. 2016, 17, 253. [Google Scholar]
- Bianconi, G.; Rahmede, C.; Wu, Z. Complex quantum network geometries: Evolution and phase transitions. Phys. Rev. E 2015, 92, 022815. [Google Scholar] [CrossRef] [PubMed]
- Carletti, T.; Giambagli, L.; Bianconi, G. Global Topological Synchronization on Simplicial and Cell Complexes. Phys. Rev. Lett. 2023, 130, 187401. [Google Scholar] [CrossRef]
- Andjelkovic, M.; Tadic, B.; Maletic, S.; Rajkovic, M. Hierarchical sequencing of online social graphs. Phys. A Stat. Mech. Its Appl. 2015, 436, 582–595. [Google Scholar] [CrossRef]
- Majhi, S.; Perc, M.; Ghosh, D. Dynamics on higher-order networks: A review. J. R. Soc. Interface 2022, 19, 188. [Google Scholar] [CrossRef] [PubMed]
- Boccaletti, S.; Lellis, P.D.; del Genio, C.I.; Alfaro-Bittner, K.; Criado, R.; Jalan, S.; Romance, M. The structure and dynamics of networks with higher order interactions. Phys. Rep. 2023, 1018, 1–64. [Google Scholar] [CrossRef]
- Chutani, M.; Tadic, B.; Gupte, N. Hysteresis and synchronization processes of Kuramoto oscillators on high-dimensional simplicial complexes with competing simplex-encoded couplings. Phys. Rev. E 2021, 104, 034206. [Google Scholar] [CrossRef]
- Tadic, B.; Chutani, M.; Gupte, N. Multiscale fractality in partial phase synchronization on simplicial complexes around brain hubs. Chaos Solitons Fractals 2022, 160, 112201. [Google Scholar] [CrossRef]
- Boguna, M. Q-analysis, persistent homology, topological information data analysis. In Persistent Homology; Springer: Berlin, Germany, 2020; pp. 1–25. [Google Scholar]
- Mittal, K.; Gupta, S. Topological characterization and early detection of bifurcations and chaos in complex systems using persistent homology. Chaos 2017, 27, 051102. [Google Scholar] [CrossRef] [PubMed]
- Maletic, S.; Zhao, Y.; Rajkovic, M. Persistent topological features of dynamical systems. Chaos 2016, 26, 053105. [Google Scholar] [CrossRef] [PubMed]
- Maletic, S.; Zhao, Y. Simplicial Complexes in Complex Systems: The Search for Alternatives; Harbin Institute of Technology: Harbin, China, 2017. [Google Scholar]
- Baudot, P.; Tapia, M.; Bennequin, D.; Goaillard, J.-M. Topological information data analysis. Entropy 2019, 21, 869. [Google Scholar] [CrossRef]
- Petri, G.; Expert, P.; Turkheimer, F.; Carhart-Harris, R.; Nutt, D.; Hellyer, P.J.; Vaccarino, F. Homological scaffolds of brain functional networks. J. R. Soc. Interface 2014, 11, 20140873. [Google Scholar] [CrossRef]
- Giusti, C.; Ghrist, R.; Bassett, D.S. Two’s company, three (or more) is a simplex. J. Comput. Neurosci. 2016, 41, 1–14. [Google Scholar] [CrossRef] [PubMed]
- Sahoo, S.; Tadic, B.; Chutani, M.; Gupte, N. Effect of hidden geometry and higher-order interactions on the synchronization and hysteresis behavior of phase oscillators on 5-clique simplicial assemblies. Phys. Rev. E 2023, 108, 034309. [Google Scholar] [CrossRef] [PubMed]
- Suvakov, M.; Andjelkovic, M.; Tadić, B. Hidden geometries in networks arising from cooperative self-assembly. Sci. Rep. 2018, 8, 1987. [Google Scholar] [CrossRef] [PubMed]
- Tadic, B.; Suvakov, M.; Andjelkovic, M.; Rodgers, G.J. Large-scale influence of defect bonds in geometrically constrained self-assembly. Phys. Rev. E 2020, 102, 032307. [Google Scholar] [CrossRef]
- Bermudo, S.; Rodrguez, J.M.; Sigarreta, J.M.; Vilaire, J.-M. Gromov hyperbolic graphs. Discrete Math. 2013, 313, 1575–1585. [Google Scholar] [CrossRef]
- Cohen, N.; Coudert, D.; Ducoffe, G.; Lancin, A. Applying clique-decomposition for computing Gromov hyperbolicity. Theor. Comput. Sci. 2017, 690, 114–139. [Google Scholar] [CrossRef]
- Zhang, Z.; Descoteaux, M.; Zhang, J.; Girard, G.; Chamberl, M.; Dunson, D.; Srivastava, A.; Zhu, H. Mapping population-based structural connectomes. Neuroimage 2018, 172, 130–145. [Google Scholar] [CrossRef] [PubMed]
- Szalkai, B.; Kerepesi, C.; Varga, B.; Grolmusz, V. Parameterizable consensus connectomes from the human connectome project: The budapest reference connectome server v3.0. Cogn. Neurodyn. 2017, 11, 113–116. [Google Scholar] [CrossRef] [PubMed]
- Szalkai, B.; Varga, B.; Grolmusz, V. Graph theoretical analysis reveals: Women’s brains are better connected than men’s. PLoS ONE 2015, 10, e0130045. [Google Scholar] [CrossRef]
- Tadić, B.; Andjelković, M.; Melnik, R. Functional Geometry of Human Connectomes. Sci. Rep. 2019, 9, 12060. [Google Scholar] [CrossRef] [PubMed]
- Andjelković, M.; Tadić, B.; Melnik, R. The topology of higher-order complexes associated with brain hubs in human connectomes. Sci. Rep. 2020, 10, 17320. [Google Scholar] [CrossRef]
- McNab, J.A.; Edlow, B.L.; Witzel, T.; Huang, S.Y.; Bhat, H.; Heberlein, K.; Feiweier, T.; Liu, K.; Keil, B.; Cohen-Adad, J.; et al. The Human Connectome Project and beyond: Initial applications of 300 mT/m gradients. Neuroimage 2013, 80, 234–245. [Google Scholar] [CrossRef]
- Budapest Reference Connectome 3.0. Available online: https://pitgroup.org/connectome/ (accessed on 17 February 2025).
- Suvakov, M.; Andjelkovic, M.; Tadic, B. Applet: Simplex Aggregated Growing Graph. 2017. Available online: http://suki.ipb.rs/ggraph/ (accessed on 17 February 2025).
- Andjelković, M.; Tadić, B.; Mitrović Dankulov, M.; Rajković, M.; Melnik, R. Topology of Innovation Spaces in the Knowledge Networks Emerging through Questions-And-Answers. PLoS ONE 2016, 11, 1. [Google Scholar] [CrossRef] [PubMed]
- Wang, D.; Zhao, Y.; Leng, H.; Small, M. A social communication model based on simplicial complexes. Phys. Lett. A 2020, 384, 126895. [Google Scholar] [CrossRef]
- Mitrović Dankulov, M.; Tadić, B.; Melnik, R. Spectral properties of hyperbolic networks with tunable aggregation of simplexes. Phys. Rev. E 2019, 100, 012309. [Google Scholar] [CrossRef] [PubMed]
- Castellano, C.; Pastor-Satorras, R. Relating Topological Determinants of Complex Networks to Their Spectral Properties: Structural and Dynamical Effects. Phys. Rev. X 2017, 7, 041024. [Google Scholar] [CrossRef]
- Spasojević, D.; Janićević, S.; Kneźević, M. Numerical Evidence for Critical Behavior of the Two-Dimensional Nonequilibrium Zero-Temperature Random Field Ising Model. Phys. Rev. Lett. 2011, 106, 175701. [Google Scholar] [CrossRef]
- Tadić, B.; Mijatović, S.; Janiević, S.; Spasojević, D.; Rodgers, G.J. The critical Barkhausen avalanches in thin random-field ferromagnets with an open boundary. Sci. Rep. 2019, 9, 6340. [Google Scholar] [CrossRef] [PubMed]
- Rodrigues, F.A.; Peron, T.; Peng, J.; Kurths, J. The kuramoto model in complex networks. Phys. Rep. 2016, 610, 1–98. [Google Scholar] [CrossRef]
- Millan, A.P.; Torres, J.J.; Bianconi, G. Synchronization in network geometries with finite spectral dimension. Phys. Rev. E 2019, 99, 022307. [Google Scholar] [CrossRef]
- Mitrović, M.; Tadić, B. Spectral and dynamical properties in classes of sparse networks with mesoscopic inhomogeneities. Phys. Rev. E 2009, 80, 026123. [Google Scholar] [CrossRef]
- Millan, A.P.; Torres, J.J.; Bianconi, G. Complex network geometry and frustrated synchronization. Sci. Rep. 2018, 8, 9910. [Google Scholar] [CrossRef] [PubMed]
- Dutta, S.; Kundu, P.; Khanra, P.; Hens, C.; Pal, P. Perfect synchronization in complex networks with higher-order interactions. Phys. Rep. E 2023, 108, 024304. [Google Scholar] [CrossRef] [PubMed]
- Bayani, A.; Nazarimehr, F.; Jafari, S.; Kovolenko, K.; Contrera-Aso, G.; Alfaro-Bittner, K.; Sanche-Garcia, R.J.; Boccaletti, S. The transition to synchronization of networked systems. Nat. Commun. 2024, 15, 4955. [Google Scholar] [CrossRef] [PubMed]
- Giver, M.; Jabeen, Z.; Chakraborty, B. Phase and frequency entrainment in locally coupled phase oscillators with repulsive interactions. Phys. Rev. E 2011, 83, 046206. [Google Scholar] [CrossRef]
- Singha, J.; Gupte, N. Spatial splay states and splay chimera states in coupled map lattices. Phys. Rev. E 2016, 94, 052204. [Google Scholar] [CrossRef] [PubMed]
- Malizia, F.; Lamata-Otin, S.; Frasca, M.; Latora, V.; Gomez-Gardenes, J. Hyperedge overlap drives explosive transitions in systems with higher order interactions. Nat. Commun. 2025, 16, 555. [Google Scholar] [CrossRef] [PubMed]
- Pal, P.K.; Anwar, M.S.; Perc, M.; Ghosh, D. Global synchronization in generalized multi-layer higher order networks. Phys. Rev. Res. 2024, 6, 033003. [Google Scholar] [CrossRef]










Disclaimer/Publisher’s Note: The statements, opinions and data contained in all publications are solely those of the individual author(s) and contributor(s) and not of MDPI and/or the editor(s). MDPI and/or the editor(s) disclaim responsibility for any injury to people or property resulting from any ideas, methods, instructions or products referred to in the content. |
© 2025 by the authors. Licensee MDPI, Basel, Switzerland. This article is an open access article distributed under the terms and conditions of the Creative Commons Attribution (CC BY) license (https://creativecommons.org/licenses/by/4.0/).
Share and Cite
Sahoo, S.; Gupte, N. Synchronization of Kuromoto Oscillators on Simplicial Complexes: Hysteresis, Cluster Formation and Partial Synchronization. Entropy 2025, 27, 233. https://doi.org/10.3390/e27030233
Sahoo S, Gupte N. Synchronization of Kuromoto Oscillators on Simplicial Complexes: Hysteresis, Cluster Formation and Partial Synchronization. Entropy. 2025; 27(3):233. https://doi.org/10.3390/e27030233
Chicago/Turabian StyleSahoo, Samir, and Neelima Gupte. 2025. "Synchronization of Kuromoto Oscillators on Simplicial Complexes: Hysteresis, Cluster Formation and Partial Synchronization" Entropy 27, no. 3: 233. https://doi.org/10.3390/e27030233
APA StyleSahoo, S., & Gupte, N. (2025). Synchronization of Kuromoto Oscillators on Simplicial Complexes: Hysteresis, Cluster Formation and Partial Synchronization. Entropy, 27(3), 233. https://doi.org/10.3390/e27030233
