Local Predictors of Explosive Synchronization with Ordinal Methods
Abstract
1. Introduction
2. Methods
2.1. Ordinal Patterns and Permutation Entropy Measures
2.1.1. Ordinal Permutation Entropy
2.1.2. Ordinal Permutation Transition Entropy
2.2. Dynamical Networks and Local Early Warning Indicators
3. Results
3.1. Abrupt Synchronization Transition in Kuramoto Phase Oscillators
3.2. Abrupt Synchronization Transitions in Coupled Chialvo Maps
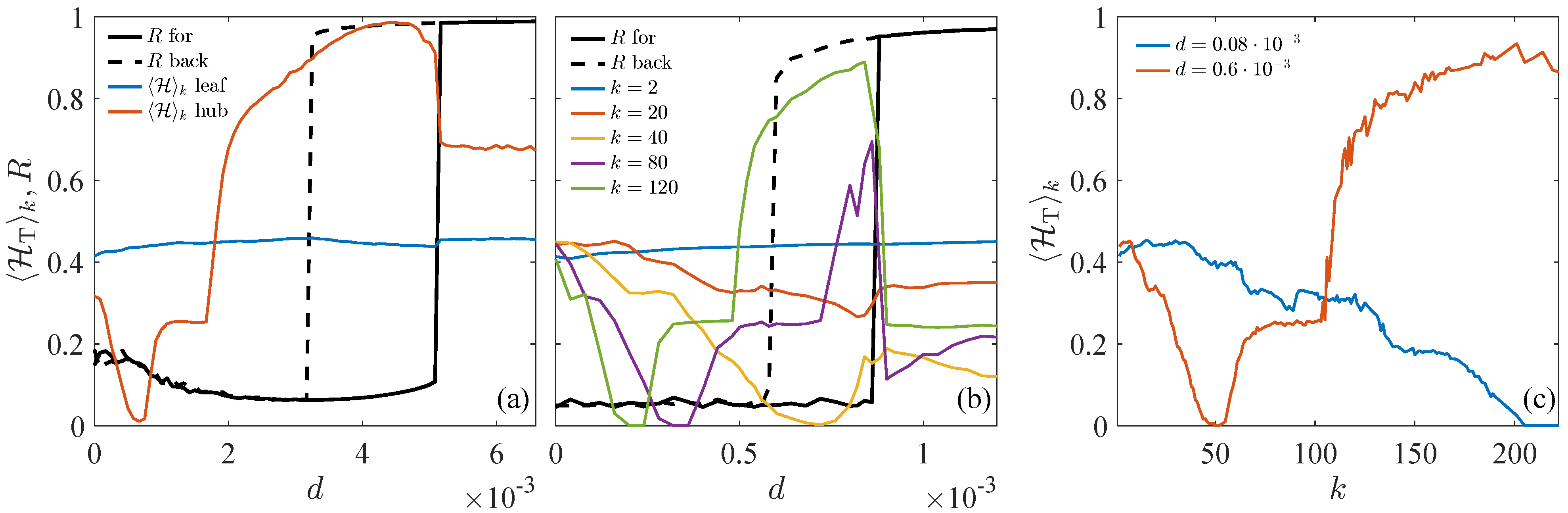
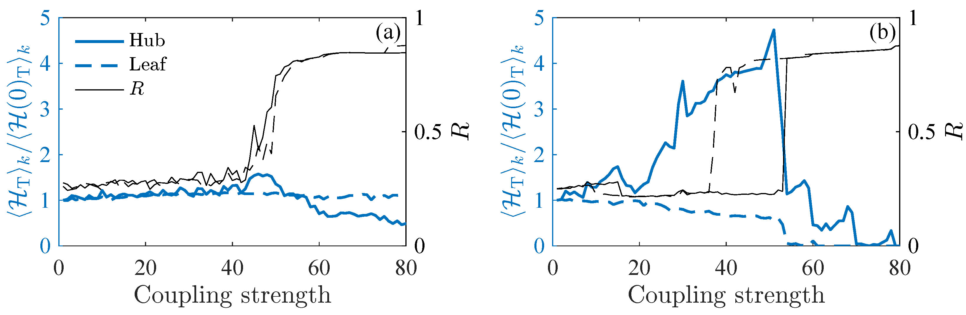
3.3. Predicting Explosive Transitions in Networks of Rössler Oscillators
3.4. Predicting Explosive Transitions in Networks of Electronic Circuits
4. Conclusions
Author Contributions
Funding
Institutional Review Board Statement
Data Availability Statement
Conflicts of Interest
References
- Scheffer, M.; Bascompte, J.; Brock, W.A.; Brovkin, V.; Carpenter, S.R.; Dakos, V.; Held, H.; Nes, E.H.V.; Rietkerk, M.; Sugihara, G. Early-warning signals for critical transitions. Nature 2009, 461, 53–59. [Google Scholar] [CrossRef]
- Scheffer, M.; Carpenter, S.R.; Lenton, T.M.; Bascompte, J.; Brock, W.; Dakos, V.; van de Koppel, J.; van de Leemput, I.A.; Levin, S.A.; van Nes, E.H.; et al. Anticipating Critical Transitions. Science 2012, 338, 344–348. [Google Scholar] [CrossRef]
- Kuhlmann, L.; Lehnertz, K.; Richardson, M.P.; Schelter, B.; Zaveri, H.P. Seizure prediction—ready for a new era. Nat. Rev. Neurol. 2018, 14, 618–630. [Google Scholar] [CrossRef]
- Kim, M.K.; Harris, R.E.; DaSilva, A.F.; Lee, U.C. Explosive Synchronization-Based Brain Modulation Reduces Hypersensitivity in the Brain Network: A Computational Model Study. Front. Comput. Neurosci. 2022, 16, 815099. [Google Scholar] [CrossRef]
- Costa, G.; Teixeira, C.; Pinto, M.F. Comparison between epileptic seizure prediction and forecasting based on machine learning. Sci. Rep. 2024, 14, 5653. [Google Scholar] [CrossRef]
- Livina, V.N.; Lenton, T.M. A modified method for detecting incipient bifurcations in a dynamical system. Geophys. Res. Lett. 2007, 34, L03712. [Google Scholar] [CrossRef]
- Lenton, T.M.; Held, H.; Kriegler, E.; Hall, J.W.; Lucht, W.; Rahmstorf, S.; Schellnhuber, H.J. Tipping elements in the Earth’s climate system. Proc. Natl. Acad. Sci. USA 2008, 105, 1786–1793. [Google Scholar] [CrossRef]
- Lenton, T. Early warning of climate tipping points. Nat. Clim. Chang. 2011, 1, 201–209. [Google Scholar] [CrossRef]
- Moore, J.C. Predicting tipping points in complex environmental systems. Proc. Natl. Acad. Sci. USA 2018, 115, 635–636. [Google Scholar] [CrossRef]
- George, S.V.; Kachhara, S.; Ambika, G. Early warning signals for critical transitions in complex systems. Phys. Scr. 2023, 98, 072002. [Google Scholar] [CrossRef]
- Proverbio, D.; Skupin, A.; Gonçalves, J. Systematic analysis and optimization of early warning signals for critical transitions using distribution data. iScience 2023, 26, 107156. [Google Scholar] [CrossRef]
- Kuehn, C.; Lux, K.; Neamţu, A. Warning signs for non-Markovian bifurcations: Colour blindness and scaling laws. Proc. R. Soc. A Math. Phys. Eng. Sci. 2022, 478, 20210740. [Google Scholar] [CrossRef]
- Patterson, A.C.; Strang, A.G.; Abbott, K.C. When and where we can expect to see early warning signals in multispecies systems approaching tipping points: Insights from theory. Am. Nat. 2021, 198, E12–E26. [Google Scholar] [CrossRef]
- Tirabassi, G.; Masoller, C. Correlation lags give early warning signals of approaching bifurcations. Chaos Solitons Fractals 2022, 155, 111720. [Google Scholar] [CrossRef]
- Sardanyés, J.; Ivančić, F.; Vidiella, B. Identifying regime shifts, transients and late warning signals for proactive ecosystem management. Biol. Conserv. 2024, 290, 110433. [Google Scholar] [CrossRef]
- Evers, K.; Borsboom, D.; Fried, E.I.; Hasselman, F.; Waldorp, L. Early warning signals of complex critical transitions in deterministic dynamics. Nonlinear Dyn. 2024, 112, 19071–19094. [Google Scholar] [CrossRef]
- Kalitzin, S.; Petkov, G.; Suffczynski, P.; Grigorovsky, V.; Bardakjian, B.L.; Silva, F.L.D.; Carlen, P.L. Epilepsy as a manifestation of a multistate network of oscillatory systems. Neurobiol. Dis. 2019, 130, 104488. [Google Scholar] [CrossRef]
- Vera-Ávila, V.P.; Sevilla-Escoboza, J.R.; Leyva, I. Complex networks exhibit intermittent synchronization. Chaos 2020, 30, 103119. [Google Scholar] [CrossRef]
- Tirabassi, G. Linear theory of the spatial signatures of critical slowing down. Phys. Rev. Res. 2024, 6, 023228. [Google Scholar] [CrossRef]
- Papo, D.; Buldú, J. Does the brain behave like a (complex) network? I. Dynamics. Phys. Life Rev. 2024, 48, 47–98. [Google Scholar] [CrossRef]
- Motter, A.E.; Myers, S.A.; Anghel, M.; Nishikawa, T. Spontaneous synchrony in power-grid networks. Nat. Phys. 2013, 9, 191–197. [Google Scholar] [CrossRef]
- Aparicio, A.; Velasco-Hernández, J.X.; Moog, C.H.; Liu, Y.Y.; Angulo, M.T. Structure-based identification of sensor species for anticipating critical transitions. Proc. Natl. Acad. Sci. USA 2021, 118, e2104732118. [Google Scholar] [CrossRef]
- Fan, H.; Kong, L.W.; Lai, Y.C.; Wang, X. Anticipating synchronization with machine learning. Phys. Rev. Res. 2021, 3, 023237. [Google Scholar] [CrossRef]
- Masuda, N.; Aihara, K.; MacLaren, N.G. Anticipating regime shifts by mixing early warning signals from different nodes. Nat. Commun. 2024, 15, 1086. [Google Scholar] [CrossRef]
- MacLaren, N.G.; Kundu, P.; Masuda, N. Early warnings for multi-stage transitions in dynamics on networks. J. R. Soc. Interface 2023, 20, 20220743. [Google Scholar] [CrossRef]
- Ehstand, N.; Donner, R.V.; López, C.; Hernández-García, E. Network percolation provides early warnings of abrupt changes in coupled oscillatory systems: An explanatory analysis. Phys. Rev. E 2023, 108, 054207. [Google Scholar] [CrossRef]
- MacLaren, N.G.; Aihara, K.; Masuda, N. Applicability of spatial early warning signals to complex network dynamics. arXiv 2024, arXiv:2410.04303. [Google Scholar] [CrossRef]
- Bury, T.M.; Sujith, R.I.; Pavithran, I.; Scheffer, M.; Lenton, T.M.; Anand, M.; Bauch, C.T. Deep learning for early warning signals of tipping points. Proc. Natl. Acad. Sci. USA 2021, 118, e2106140118. [Google Scholar] [CrossRef]
- Kong, L.W.; Fan, H.W.; Grebogi, C.; Lai, Y.C. Machine learning prediction of critical transition and system collapse. Phys. Rev. Res. 2021, 3, 013090. [Google Scholar] [CrossRef]
- Vishnoi, N.; Gupta, V.; Saurabh, A.; Kabiraj, L. Reliability of early warning indicators of critical transition in stochastic Van der Pol oscillators with additive correlated noise. Nonlinear Dyn. 2024, 112, 15193–15217. [Google Scholar] [CrossRef]
- Tarigo, J.P.; Stari, C.; Masoller, C.; Martí, A.C. Basin entropy as an indicator of a bifurcation in a time-delayed system. Chaos 2024, 34, 053113. [Google Scholar] [CrossRef] [PubMed]
- Bassi, H.; Yim, R.P.; Vendrow, J.; Koduluka, R.; Zhu, C.; Lyu, H. Learning to predict synchronization of coupled oscillators on randomly generated graphs. Sci. Rep. 2022, 12, 15056. [Google Scholar] [CrossRef]
- Ma, R.; Dai, Q.; Li, H.; Yang, J. Dynamics reconstruction in the presence of bistability by using reservoir computer. Chaos Solitons Fractals 2023, 172, 113523. [Google Scholar] [CrossRef]
- Zhang, H.; Fan, H.; Du, Y.; Wang, L.; Wang, X. Anticipating measure synchronization in coupled Hamiltonian systems with machine learning. Chaos 2022, 32, 083136. [Google Scholar] [CrossRef]
- Liu, Z.; Zhang, X.; Ru, X.; Gao, T.T.; Moore, J.M.; Yan, G. Early Predictor for the Onset of Critical Transitions in Networked Dynamical Systems. Phys. Rev. X 2024, 14, 031009. [Google Scholar] [CrossRef]
- Roy, M.; Senapati, A.; Poria, S.; Mishra, A.; Hens, C. Role of assortativity in predicting burst synchronization using echo state network. Phys. Rev. E 2022, 105, 064205. [Google Scholar] [CrossRef]
- Shahriari, Z.; Algar, S.D.; Walker, D.M.; Small, M. Ordinal Poincaré sections: Reconstructing the first return map from an ordinal segmentation of time series. Chaos 2023, 33, 053109. [Google Scholar] [CrossRef]
- Leyva, I.; Masoller, C. Inferring the connectivity of coupled oscillators and anticipating their transition to synchrony through lag-time analysis. Chaos Solitons Fractals 2020, 133, 109604. [Google Scholar] [CrossRef]
- Leyva, I.; Martínez, J.H.; Masoller, C.; Rosso, O.A.; Zanin, M. 20 years of ordinal patterns: Perspectives and challenges. Europhys. Lett. 2022, 138, 31001. [Google Scholar] [CrossRef]
- Almendral, J.A.; Leyva, I.; Sendiña-Nadal, I. Unveiling the connectivity of complex networks using ordinal transition methods. Entropy 2023, 25, 1079. [Google Scholar] [CrossRef]
- Tirabassi, G.; Masoller, C. Entropy-based early detection of critical transitions in spatial vegetation fields. Proc. Natl. Acad. Sci. USA 2023, 120, e2215667120. [Google Scholar] [CrossRef]
- Lehnertz, K. Ordinal methods for a characterization of evolving functional brain networks. Chaos 2023, 33, 022101. [Google Scholar] [CrossRef]
- Boccaletti, S.; Almendral, J.; Guan, S.; Leyva, I.; Liu, Z.; Sendiña-Nadal, I.; Wang, Z.; Zou, Y. Explosive transitions in complex networks’ structure and dynamics: Percolation and synchronization. Phys. Rep. 2016, 660, 1–94. [Google Scholar] [CrossRef]
- Avalos-Gaytán, V.; Almendral, J.A.; Leyva, I.; Battiston, F.; Nicosia, V.; Latora, V.; Boccaletti, S. Emergent explosive synchronization in adaptive complex networks. Phys. Rev. E 2018, 97, 042301. [Google Scholar] [CrossRef]
- Soriano-Paños, D.; Guo, Q.; Latora, V.; Gómez-Gardeñes, J. Explosive transitions induced by interdependent contagion-consensus dynamics in multiplex networks. Phys. Rev. E 2019, 99, 062311. [Google Scholar] [CrossRef]
- Khalil, N.; Leyva, I.; Almendral, J.A.; Sendiña Nadal, I. Deterministic and stochastic cooperation transitions in evolutionary games on networks. Phys. Rev. E 2023, 107, 054302. [Google Scholar] [CrossRef]
- Ranjan, A.; Gandhi, S.R. Propagation of transient explosive synchronization in a mesoscale mouse brain network model of epilepsy. Netw. Neurosci. 2024, 8, 883–901. [Google Scholar] [CrossRef]
- Rahjerdi, B.K.; Ramamoorthy, R.; Nazarimehr, F.; Rajagopal, K.; Jafari, S. Indicating the synchronization bifurcation points using the early warning signals in two case studies: Continuous and explosive synchronization. Chaos Solitons Fractals 2022, 164, 112656. [Google Scholar] [CrossRef]
- Tlaie, A.; Leyva, I.; Sevilla-Escoboza, R.; Vera-Avila, V.P.; Sendiña Nadal, I. Dynamical complexity as a proxy for the network degree distribution. Phys. Rev. E 2019, 99, 012310. [Google Scholar] [CrossRef]
- Bandt, C.; Pompe, B. Permutation Entropy: A Natural Complexity Measure for Time Series. Phys. Rev. Lett. 2002, 88, 174102. [Google Scholar] [CrossRef]
- McCullough, M.; Small, M.; Stemler, T.; Ho, H.; Iu, C.; Iu, H.H.C. Time lagged ordinal partition networks for capturing dynamics of continuous dynamical systems. Chaos 2015, 25, 53101. [Google Scholar] [CrossRef]
- Zanin, M.; Olivares, F. Ordinal patterns-based methodologies for distinguishing chaos from noise in discrete time series. Commun. Phys. 2021, 4, 190. [Google Scholar] [CrossRef]
- Zunino, L.; Soriano, M.C.; Fischer, I.; Rosso, O.A.; Mirasso, C.R. Permutation-information-theory approach to unveil delay dynamics from time-series analysis. Phys. Rev. E 2010, 82, 046212. [Google Scholar] [CrossRef]
- Soriano, M.C.; Zunino, L.; Rosso, O.A.; Fischer, I.; Mirasso, C.R. Time Scales of a Chaotic Semiconductor Laser With Optical Feedback Under the Lens of a Permutation Information Analysis. IEEE J. Quantum Electron. 2011, 47, 252–261. [Google Scholar] [CrossRef]
- De Micco, L.; Fernández, J.G.; Larrondo, H.A.; Plastino, A.; Rosso, O.A. Sampling period, statistical complexity, and chaotic attractors. Phys. A Stat. Mech. Its Appl. 2012, 391, 2564–2575. [Google Scholar] [CrossRef]
- Chrisment, A.M.; Firpo, M.C. Entropy–complexity analysis in some globally-coupled systems. Phys. A Stat. Mech. Its Appl. 2016, 460, 162–173. [Google Scholar] [CrossRef][Green Version]
- Letellier, C. Estimating the Shannon entropy: Recurrence plots versus symbolic dynamics. Phys. Rev. Lett. 2006, 96, 254102. [Google Scholar] [CrossRef]
- Small, M. Complex networks from time series: Capturing dynamics. In Proceedings of the 2013 IEEE International Symposium on Circuits and Systems (ISCAS), Beijing, China, 19–23 May 2013; pp. 2509–2512. [Google Scholar] [CrossRef]
- Masoller, C.; Hong, Y.; Ayad, S.; Gustave, F.; Barland, S.; Pons, A.J.; Gómez, S.; Arenas, A. Quantifying sudden changes in dynamical systems using symbolic networks. New J. Phys. 2015, 17, 023068. [Google Scholar] [CrossRef]
- McCullough, M.; Small, M.; Iu, H.H.C.; Stemler, T. Multiscale ordinal network analysis of human cardiac dynamics. Philos. Trans. R. Soc. A Math. Phys. Eng. Sci. 2017, 375, 20160292. [Google Scholar] [CrossRef]
- Boccaletti, S.; Latora, V.; Moreno, Y.; Chavez, M.; Hwang, D.U. Complex networks: Structure and dynamics. Phys. Rep. 2006, 424, 175–308. [Google Scholar] [CrossRef]
- Leyva, I.; Navas, A.; Sendina-Nadal, I.; Almendral, J.; Buldú, J.; Zanin, M.; Papo, D.; Boccaletti, S. Explosive transitions to synchronization in networks of phase oscillators. Sci. Rep. 2013, 3, 1281. [Google Scholar] [CrossRef]
- Gómez-Gardenes, J.; Gómez, S.; Arenas, A.; Moreno, Y. Explosive synchronization transitions in scale-free networks. Phys. Rev. Lett. 2011, 106, 128701. [Google Scholar] [CrossRef] [PubMed]
- Leyva, I.; Sevilla-Escoboza, R.; Buldú, J.M.; Sendiña Nadal, I.; Gómez-Gardeñes, J.; Arenas, A.; Moreno, Y.; Gómez, S.; Jaimes-Reátegui, R.; Boccaletti, S. Explosive first-order transition to synchrony in networked chaotic oscillators. Phys. Rev. Lett. 2012, 108, 168702. [Google Scholar] [CrossRef]
- Letellier, C.; Aguirre, L.A. Investigating nonlinear dynamics from time series: The influence of symmetries and the choice of observables. Chaos 2002, 12, 549–558. [Google Scholar] [CrossRef]
- Sendiña-Nadal, I.; Letellier, C. Observability analysis and state reconstruction for networks of nonlinear systems. Chaos 2022, 32, 083109. [Google Scholar] [CrossRef]
- Chialvo, D.R. Generic excitable dynamics on a two-dimensional map. Chaos Solitons Fractals 1995, 5, 461–479. [Google Scholar] [CrossRef]
- Stankevich, N.V.; Gonchenko, A.S.; Popova, E.S.; Gonchenko, S.V. Complex dynamics of the simplest neuron model: Singular chaotic Shilnikov attractor as specific oscillatory neuron activity. Chaos Solitons Fractals 2023, 172, 113565. [Google Scholar] [CrossRef]
- Boccaletti, S.; Kurths, J.; Osipov, G.; Valladares, D.; Zhou, C. The synchronization of chaotic systems. Phys. Rep. 2002, 366, 1–101. [Google Scholar] [CrossRef]
- Rössler, O.E. An equation for continuous chaos. Phys. Lett. A 1976, 57, 397–398. [Google Scholar] [CrossRef]
- Sevilla Escoboza, J.R.; Leyva Calleja, I.; Sendiña Nadal, I.; Martin Buldú, J. Dataset on: “Explosive First-Order Transition to Synchrony in Networked Chaotic Oscillators”; Zenodo: Geneva, Switzerland, 2024. [Google Scholar] [CrossRef]
- Li, X.; Ouyang, G.; Richards, D.A. Predictability analysis of absence seizures with permutation entropy. Epilepsy Res. 2007, 77, 70–74. [Google Scholar] [CrossRef]
- Mammone, N.; Duun-Henriksen, J.; Kjaer, T.W.; Morabito, F.C. Differentiating Interictal and Ictal States in Childhood Absence Epilepsy through Permutation Rényi Entropy. Entropy 2015, 17, 4627–4643. [Google Scholar] [CrossRef]
- Yang, Y.; Zhou, M.; Niu, Y.; Li, C.; Cao, R.; Wang, B.; Yan, P.; Ma, Y.; Xiang, J. Epileptic Seizure Prediction Based on Permutation Entropy. Front. Comput. Neurosci. 2018, 12, 55. [Google Scholar] [CrossRef]
- Bratu, I.F.; Makhalova, J.; Garnier, E.; Villalon, S.M.; Jegou, A.; Bonini, F.; Lagarde, S.; Pizzo, F.; Trébuchon, A.; Scavarda, D.; et al. Permutation entropy-derived parameters to estimate the epileptogenic zone network. Epilepsia 2024, 65, 389–401. [Google Scholar] [CrossRef]




Disclaimer/Publisher’s Note: The statements, opinions and data contained in all publications are solely those of the individual author(s) and contributor(s) and not of MDPI and/or the editor(s). MDPI and/or the editor(s) disclaim responsibility for any injury to people or property resulting from any ideas, methods, instructions or products referred to in the content. |
© 2025 by the authors. Licensee MDPI, Basel, Switzerland. This article is an open access article distributed under the terms and conditions of the Creative Commons Attribution (CC BY) license (https://creativecommons.org/licenses/by/4.0/).
Share and Cite
Leyva, I.; Almendral, J.A.; Letellier, C.; Sendiña-Nadal, I. Local Predictors of Explosive Synchronization with Ordinal Methods. Entropy 2025, 27, 113. https://doi.org/10.3390/e27020113
Leyva I, Almendral JA, Letellier C, Sendiña-Nadal I. Local Predictors of Explosive Synchronization with Ordinal Methods. Entropy. 2025; 27(2):113. https://doi.org/10.3390/e27020113
Chicago/Turabian StyleLeyva, I., Juan A. Almendral, Christophe Letellier, and Irene Sendiña-Nadal. 2025. "Local Predictors of Explosive Synchronization with Ordinal Methods" Entropy 27, no. 2: 113. https://doi.org/10.3390/e27020113
APA StyleLeyva, I., Almendral, J. A., Letellier, C., & Sendiña-Nadal, I. (2025). Local Predictors of Explosive Synchronization with Ordinal Methods. Entropy, 27(2), 113. https://doi.org/10.3390/e27020113

