Security, Privacy, and Linear Function Retrieval in Combinatorial Multi-Access Coded Caching with Private Caches †
Abstract
1. Introduction
1.1. System Model
1.2. Contributions and Paper Organization
- We propose a scheme for the combinatorial topology with private caches that provides security, privacy, and LFR.
- The scheme in [17] does not provide privacy against colluding users, but the private caches included in this work enable the proposed scheme to provide privacy against colluding users.
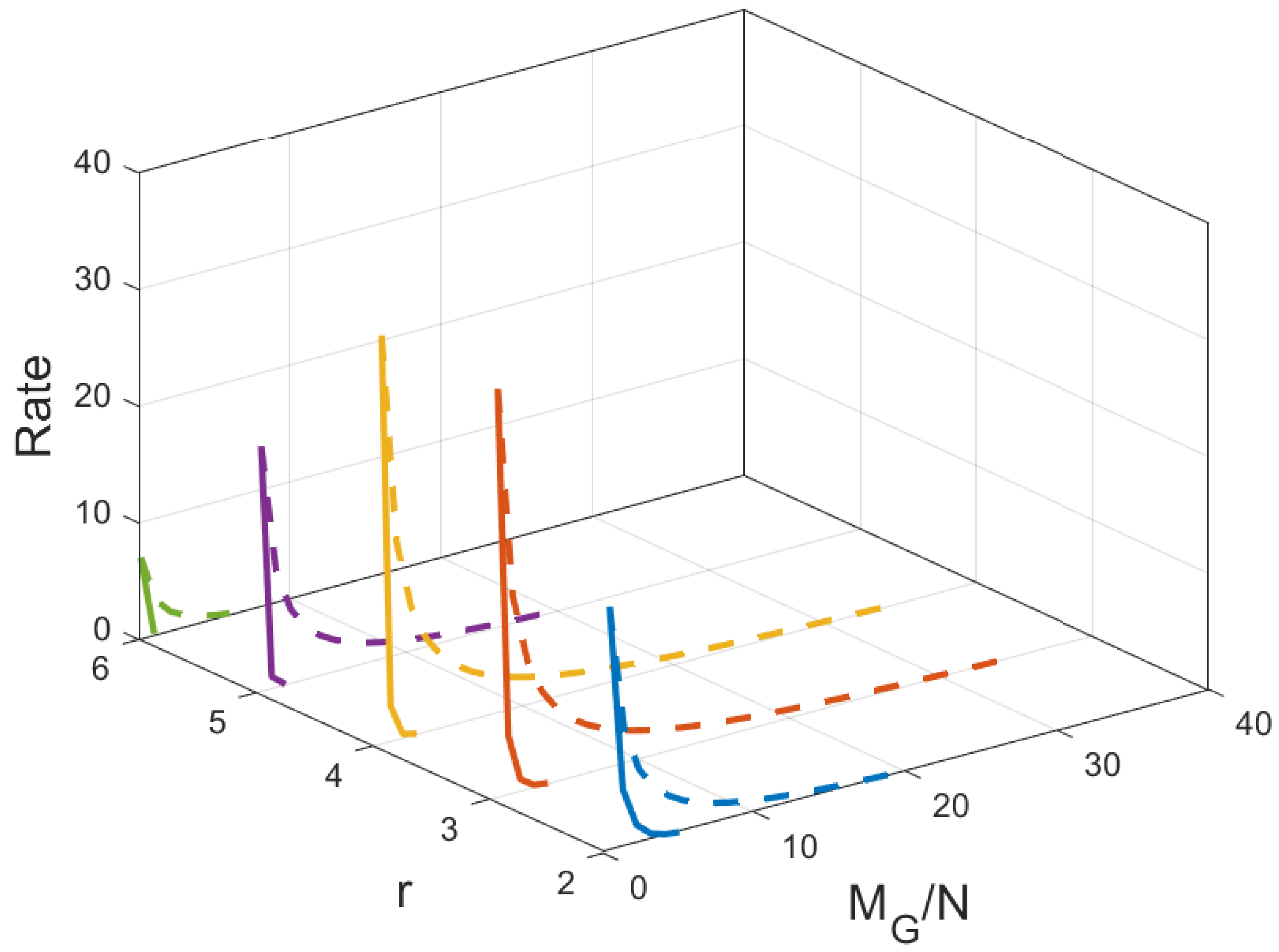
- It is shown that to achieve the same rate both in [17] and in the proposed scheme, the total memory accessed by each user is less in the proposed scheme.
- Next, we compare the global cache, which is the total memory size of all the caches used in the entire system. It turns out that the global cache memory requirement is also less for the system considered in this work compared to that in [17].
- We derive a lower bound on the rate using cut-set arguments, and we prove that the proposed scheme is optimal when .
- When and at the proposed scheme is within a multiplicative gap of 5 from the optimal when .
- As a special case, when , the proposed scheme recovers the MAN-PDA-based Secure Private LFR (SP-LFR) scheme in [15].
- The proposed scheme is extended to a more general setup where different users are connected to different numbers of multi-access caches, and multiple users are connected to the same subset of multi-access caches.
1.3. Notations and Information-Theoretic Preliminaries
2. Problem Setup and Preliminaries
2.1. Placement Phase
2.2. Delivery Phase
- Correctness: Each user should be able to recover its demanded function:
- Security: An external eavesdropper observing the server’s transmissions should learn nothing about the file library:
- Privacy: Any set of colluding users should not know anything about the demands of other users:
2.3. MAN Scheme for Multi-Access Coded Caching [3]
2.4. Genralized Combinatorial Topology (GCT) [8]
3. Motivating Example and Minimum Cache Size Criteria for Security
4. The Proposed Scheme
4.1. Placement Phase
4.2. Delivery Phase
5. Extension to a More Generalized Setup
- Correctness: Each user should be able to retrieve its demanded function,
- Security: An external eavesdropper who is observing the signals sent by the server should not know anything about the content of the file library,
- Privacy: Any set of colluding users should not know anything about the demands of the other users. Let represent the demand vectors of all the users, be the set that represents the demands of the colluding users and represent the content of all the colluding users. Then,
6. Main Results
Comparison with [17]
7. Discussion
- First, we compare the proposed scheme with the SP-LFR scheme in [17]. The system model in [17] is the multi-access combinatorial topology without private caches. However, the system model considered in this work is the combinatorial topology with private caches. To compare two different systems, we make use of two parameters. One is the total memory accessed per user, which is the total amount of memory available to each user. The other is the global cache size, which is the total amount of memory available in the entire system. Both systems support the same number of users for a given r.
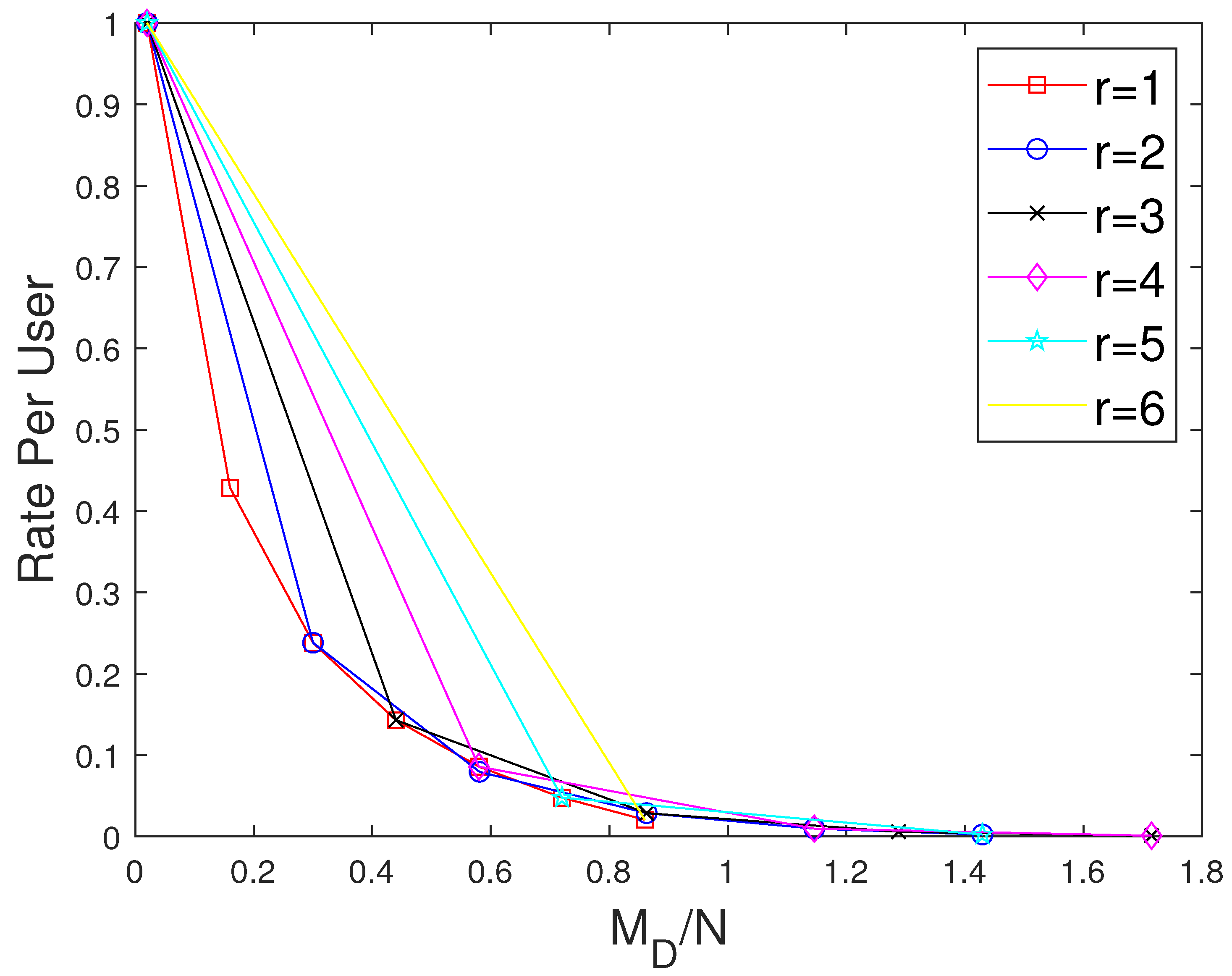
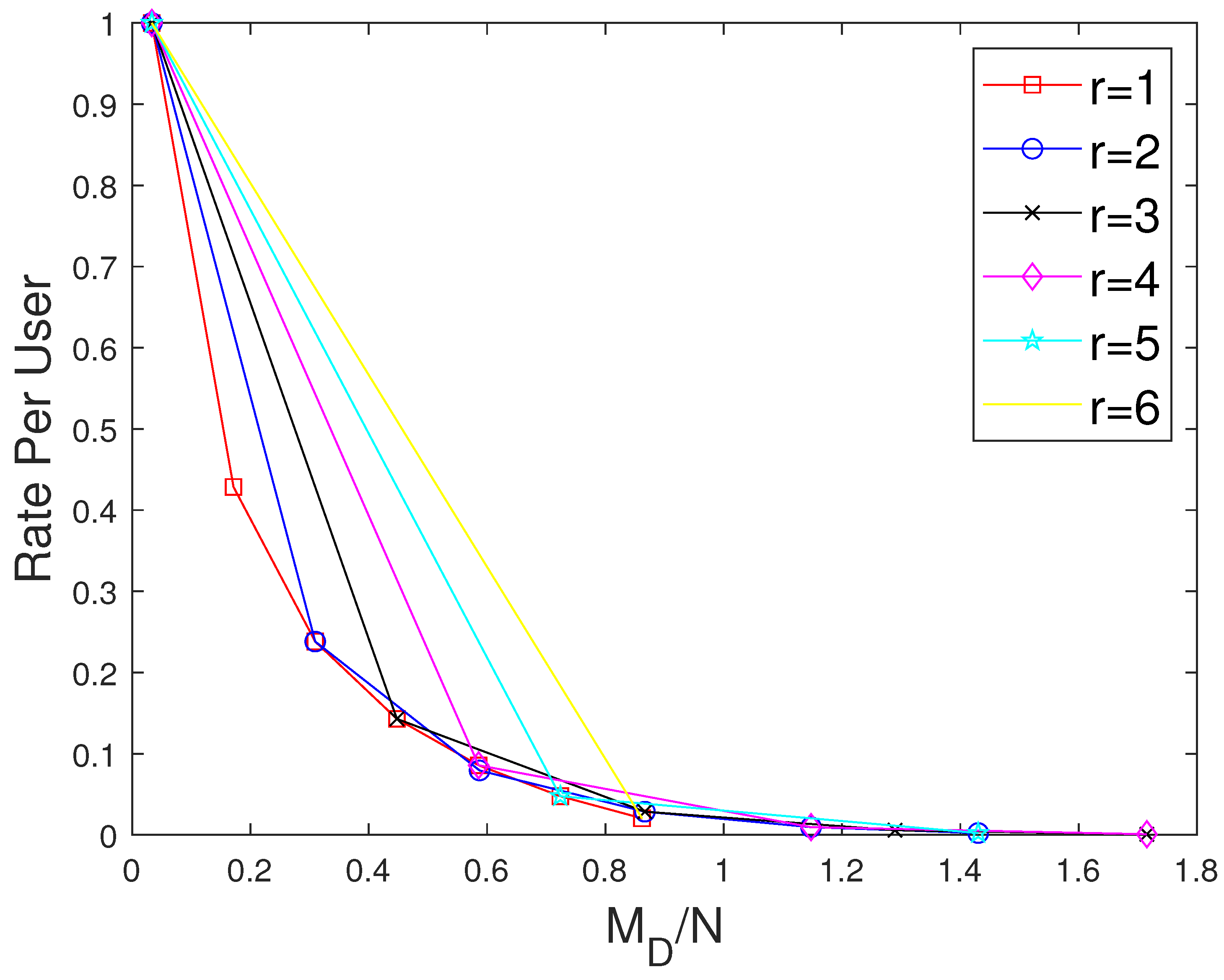
- Next, we compare the proposed scheme with the scheme developed for the dedicated cache setup in [15]. The proposed scheme reduces to the dedicated cache setup in [15] when . We first consider the case where both setups have the same number of caches. In the dedicated cache setup, the number of users is equal to the number of caches. However, in the combinatorial topology with private caches, the total number of users exceeds the number of caches. To enable a fair comparison under this setting, we use the metric of rate per user, defined as the rate divided by the total number of users. This metric was previously used in [3,7]. Next, we consider a comparison in which both the dedicated cache setup and the combinatorial topology with private caches serve the same number of users, and the total global cache size is also kept equal across both setups.
7.1. Comparision with the SP-LFR Scheme in [17]
7.2. Comparision with the MAN-PDA Based SP-LFR Scheme in [15]
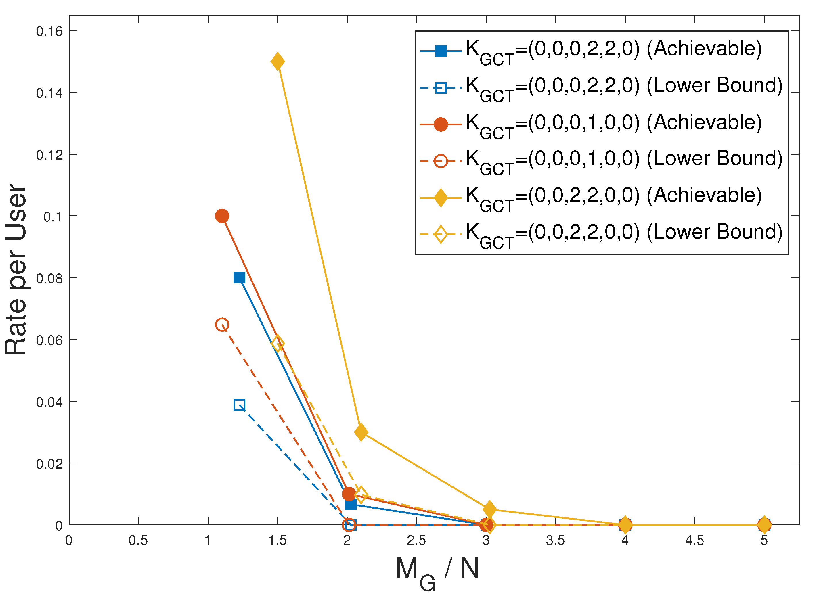
7.3. Plots for GCT with Private Caches
8. Conclusions
Author Contributions
Funding
Data Availability Statement
Acknowledgments
Conflicts of Interest
Appendix A. Proof of Proposition 1
Appendix B. Proof of Theorem 2
Appendix C. Proof of Theorem 3
Appendix D. Proof of Theorem 5
References
- Maddah-Ali, M.A.; Niesen, U. Fundamental limits of caching. IEEE Trans. Inf. Theory 2014, 60, 2856–2867. [Google Scholar] [CrossRef]
- Yan, Q.; Cheng, M.; Tang, X.; Chen, Q. On the Placement Delivery Array Design for Centralized Coded Caching Scheme. IEEE Trans. Inf. Theory 2017, 63, 5821–5833. [Google Scholar] [CrossRef]
- Muralidhar, P.N.; Katyal, D.; Rajan, B.S. Maddah-Ali-Niesen Scheme for Multi-access Coded Caching. In Proceedings of the IEEE Information Theory Workshop, (ITW2021), Kanazawa, Japan, 17–21 October 2021. [Google Scholar]
- Reddy, K.S.; Karamchandani, N. On the Exact Rate-Memory Trade-off for Multi-access Coded Caching with Uncoded Placement. In Proceedings of the 2018 International Conference on Signal Processing and Communications (SPCOM), Bangalore, India, 16–19 July 2018; pp. 1–5. [Google Scholar]
- Serbetci, B.; Parrinello, E.; Elia, P. Multi-access coded caching: Gains beyond cache-redundancy. In Proceedings of the IEEE Information Theory Workshop, Visby, Sweden, 25–28 August 2019. [Google Scholar]
- Hachem; Karamchandani, N.; Diggavi, S.N. Coded caching for multi-level popularity and access. IEEE Trans. Inf. Theory 2017, 63, 3108–3141. [Google Scholar] [CrossRef]
- Katyal, D.; Muralidhar, P.N.; Rajan, B.S. Multi-Access Coded Caching Schemes From Cross Resolvable Designs. IEEE Trans. Commun. 2021, 69, 2997–3010. [Google Scholar] [CrossRef]
- Brunero, F.; Elia, P. Fundamental Limits of Combinatorial Multi-Access Caching. IEEE Trans. Inf. Theory 2023, 69, 1037–1056. [Google Scholar] [CrossRef]
- Wan, K.; Sun, H.; Ji, M.; Tuninetti, D.; Caire, G. On the Optimal Load-Memory Tradeoff of Cache-Aided Scalar Linear Function Retrieval. IEEE Trans. Inf. Theory 2021, 67, 4001–4018. [Google Scholar] [CrossRef]
- Wan, K.; Caire, G. On Coded Caching with Private Demands. IEEE Trans. Inf. Theory 2021, 67, 358–372. [Google Scholar] [CrossRef]
- Kamath, S. Demand private coded caching. arXiv 2019, arXiv:1909.03324. [Google Scholar] [CrossRef]
- Aravind, V.R.; Sarvepalli, P.K.; Thangaraj, A. Subpacketization in Coded Caching with Demand Privacy. In Proceedings of the 2020 National Conference on Communications (NCC), Kharagpur, India, 21–23 February 2020; pp. 1–6. [Google Scholar]
- Yan, Q.; Tuninetti, D. Fundamental Limits of Caching for Demand Privacy Against Colluding Users. IEEE J. Sel. Areas Inf. Theory 2021, 2, 192–207. [Google Scholar] [CrossRef]
- Sengupta, A.; Tandon, R.; Clancy, T.C. Fundamental limits of caching with secure delivery. IEEE Trans. Inf. Forensics Secur. 2015, 10, 355–370. [Google Scholar] [CrossRef]
- Yan, Q.; Tuninetti, D. Key Superposition Simultaneously Achieves Security and Privacy in Cache-Aided Linear Function Retrieval. IEEE Trans. Inf. Forensics Secur. 2021, 16, 5250–5263. [Google Scholar] [CrossRef]
- Namboodiri, K.K.K.; Rajan, B.S. Multi-Access Coded Caching with Demand Privacy. In Proceedings of the IEEE Wireless Communications and Networking Conference, Austin, TX, USA, 10–13 April 2022; pp. 2280–2285. [Google Scholar]
- Chinnapadamala, M.; Rajan, B.S. Security and Privacy in Cache-Aided Linear Function Retrieval for Multi-Access Coded Caching. In Proceedings of the 2022 IEEE Information Theory Workshop (ITW), Mumbai, India, 1–9 November 2022; pp. 690–695. [Google Scholar]
- Shamir, A. How to share a secret. Commun. ACM 1979, 22, 612–613. [Google Scholar] [CrossRef]
- Chinnapadamala, M.; Rajan, B.S. Security, Privacy and Linear Function Retrieval in Multi-Access Combinatorial Topology with Private Cache. In Proceedings of the 2024 IEEE Information Theory Workshop (ITW), Shenzhen, China, 24–28 November 2024. [Google Scholar]
- Yao, J.; Han, T.; Ansari, N. On Mobile Edge Caching. IEEE Commun. Surv. Tutor. 2019, 21, 2525–2553. [Google Scholar] [CrossRef]
- Zahed, M.I.A.; Ahmad, I.; Habibi, D.; Phung, Q.V. Green and Secure Computation Offloading for Cache-Enabled IoT Networks. IEEE Access 2020, 8, 63840–63855. [Google Scholar] [CrossRef]
- Ngo, Q.T.; Phan, K.T.; Xiang, W.; Mahmood, A.; Slay, J. On Edge Caching in Satellite—IoT Networks. IEEE Internet Things Mag. 2021, 4, 107–112. [Google Scholar] [CrossRef]
- Gu, S.; Tan, Y.; Zhang, N.; Zhang, Q. Energy-Efficient Content Placement with Coded Transmission in Cache-Enabled Hierarchical Industrial Internet of Things Networks. IEEE Trans. Ind. Inform. 2021, 17, 5699–5708. [Google Scholar] [CrossRef]
- Zhou, H.; Jiang, K.; He, S.; Min, G.; Wu, J. Distributed Deep Multi-Agent Reinforcement Learning for Cooperative Edge Caching in Internet-of-Vehicles. IEEE Trans. Wirel. Commun. 2023, 22, 9595–9609. [Google Scholar] [CrossRef]
- Coutinho, R.W.L.; Boukerche, A. Modeling and Analysis of a Shared Edge Caching System for Connected Cars and Industrial IoT-Based Applications. IEEE Trans. Ind. Inform. 2020, 16, 2003–2012. [Google Scholar] [CrossRef]
- Aruba Networks. IoT Heading for Mass Adoption by 2019 Driven by Better-Than-Expected Business Results. arubanetworks.com. 2017. Available online: https://news.arubanetworks.com/press-release/arubanetworks/iot-heading-mass-adoption-2019-driven-better-expected-business-results (accessed on 12 August 2025).
- Karunarathne, S.M.; Saxena, N.; Khan, M.K. Security and Privacy in IoT Smart Healthcare. IEEE Internet Comput. 2021, 25, 37–48. [Google Scholar] [CrossRef]
- Wazid, M.; Das, A.K.; Kumar, N.; Vasilakos, A.V. Design of secure key management and user authentication scheme for fog computing services. Futur. Gener. Comput. Syst. 2019, 91, 475–492. [Google Scholar] [CrossRef]
- Wazid, M.; Das, A.K.; Kumar, N.; Conti, M.; Vasilakos, A.V. A Novel Authentication and Key Agreement Scheme for Implantable Medical Devices Deployment. IEEE J. Biomed. Health Inform. 2018, 22, 1299–1300. [Google Scholar] [CrossRef]
- Kruglik, S.; Frolov, A. An Information-Theoretic Approach for Reliable Distributed Storage Systems. J. Commun. Technol. Electron. 2020, 65, 1505–1516. [Google Scholar] [CrossRef]
- Chor, B.; Kushilevitz, E.; Goldreich, O.; Sudan, M. Private information retrieval. J. ACM 1998, 45, 965–981. [Google Scholar] [CrossRef]
- Sun, H.; Jafar, S.A. The capacity of private information retrieval. IEEE Trans. Inf. Theory 2017, 63, 4075–4088. [Google Scholar] [CrossRef]
- Wang, Q.; Skoglund, M. Secure private information retrieval from colluding databases with eavesdroppers. In Proceedings of the 2018 IEEE International Symposium on Information Theory (ISIT), Vail, CO, USA, 17–22 June 2018; pp. 2456–2460. [Google Scholar]
- Ozarow, L.H.; Wyner, A.D. Wiretap Channel II. Bell Syst. Tech. J. 1984, 63, 2135–2157. [Google Scholar]















| r | R | Gap | |||
|---|---|---|---|---|---|
| 1 | 7 | ||||
| 2 | 21 | ||||
| 3 | 35 | ||||
| 4 | 35 | ||||
| 5 | 21 | ||||
| 6 | 7 |
| t | Achievable | Lower Bound | Gap () | Observation |
|---|---|---|---|---|
| 1 | 0.15 | 0.024 | 6.25 | Large gap |
| 2 | 0.03 | 0.005 | 6.0 | Gap shrinking |
| 3 | 0.005 | 0.001 | 5.0 | Gap continues to shrink |
Disclaimer/Publisher’s Note: The statements, opinions and data contained in all publications are solely those of the individual author(s) and contributor(s) and not of MDPI and/or the editor(s). MDPI and/or the editor(s) disclaim responsibility for any injury to people or property resulting from any ideas, methods, instructions or products referred to in the content. |
© 2025 by the authors. Licensee MDPI, Basel, Switzerland. This article is an open access article distributed under the terms and conditions of the Creative Commons Attribution (CC BY) license (https://creativecommons.org/licenses/by/4.0/).
Share and Cite
Chinnapadamala, M.; Rajan, B.S. Security, Privacy, and Linear Function Retrieval in Combinatorial Multi-Access Coded Caching with Private Caches. Entropy 2025, 27, 1033. https://doi.org/10.3390/e27101033
Chinnapadamala M, Rajan BS. Security, Privacy, and Linear Function Retrieval in Combinatorial Multi-Access Coded Caching with Private Caches. Entropy. 2025; 27(10):1033. https://doi.org/10.3390/e27101033
Chicago/Turabian StyleChinnapadamala, Mallikharjuna, and B. Sundar Rajan. 2025. "Security, Privacy, and Linear Function Retrieval in Combinatorial Multi-Access Coded Caching with Private Caches" Entropy 27, no. 10: 1033. https://doi.org/10.3390/e27101033
APA StyleChinnapadamala, M., & Rajan, B. S. (2025). Security, Privacy, and Linear Function Retrieval in Combinatorial Multi-Access Coded Caching with Private Caches. Entropy, 27(10), 1033. https://doi.org/10.3390/e27101033

