Efficient First-Order Algorithms for Large-Scale, Non-Smooth Maximum Entropy Models with Application to Wildfire Science
Abstract
1. Introduction
1.1. Contributions of This Paper
1.2. Organization of This Paper
2. Preliminaries
2.1. Setup
2.2. Dual Formulation and Optimality Conditions
2.3. Examples of Non-Smooth MaxEnt Models
2.3.1. Elastic Net Regularized MaxEnt Models
2.3.2. Group Lasso Regularized MaxEnt Models
2.3.3. -Regularized MaxEnt Models
3. Related Work
3.1. Large-Scale Sparse MaxEnt Models: Computational Challenges
3.2. State-of-the-Art Methods for Large-Scale, Non-Smooth MaxEnt Models
4. Main Results
4.1. Methodology
4.2. Algorithm for Smooth Potential Functions
5. Application to Wildfire Science
5.1. WUMI Wildfire Data Set
5.2. Data Preprocessing
5.3. Fitting Procedure and Algorithmic Setup
5.3.1. Elastic Net MaxEnt Models
5.3.2. Non-Overlapping Group Lasso MaxEnt Model
5.3.3. -Regularized MaxEnt Model
5.4. Comparison of Timings
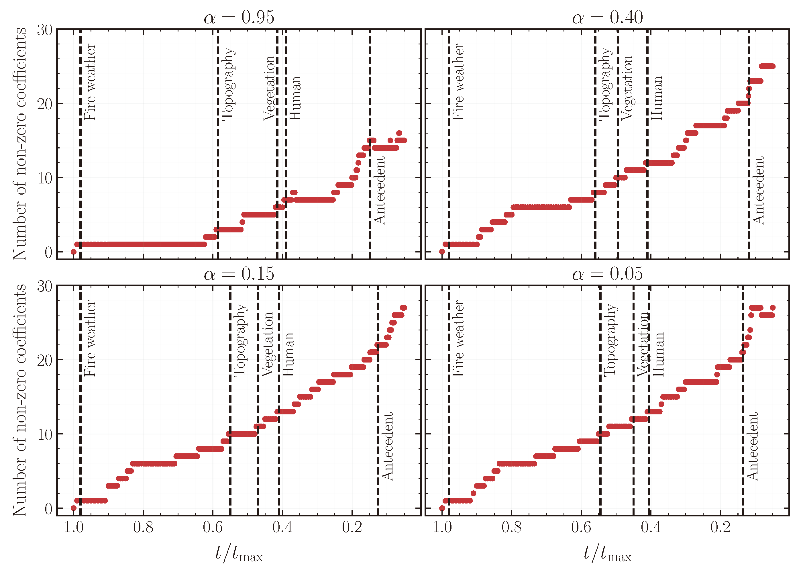
5.5. Analysis of the MaxEnt Regularization Paths and Estimated Fire Probabilities
6. Discussion
Author Contributions
Funding
Institutional Review Board Statement
Data Availability Statement
Conflicts of Interest
Appendix A. Derivation of Update (17)
Appendix B. Summary of Features Extracted from the WUMI Wildfire Data Set
| Feature Group | Identifier | Description | Resolution | Source |
|---|---|---|---|---|
| Fire weather | VPD | Mean vapor pressure deficit | 5 km | Climgrid [82], PRISM [83] |
| Maximum X-day running average of VPD; | 9 km | UCLA-ERA5 [84] | ||
| Tmax | Daily maximum temperature | 5 km | Climgrid | |
| Maximum X-day running average of Tmax | 9 km | UCLA-ERA5 | ||
| Tmin | Daily minimum temperature | 5 km | Climgrid | |
| Maximum X-day running average of Tmin | 9 km | UCLA-ERA5 | ||
| Prec | Precipitation total | 5 km | Climgrid | |
| Mean snow water equivalent | 500 m | NSIDC [85] | ||
| Daily maximum snow water equivalent | 500 m | NSIDC | ||
| FM1000 | 1000 h dead fuel moisture | 4 km | gridMET [86] | |
| Maximum 7-day running average of Fosberg Fire Weather Index | 9 km | UCLA-ERA5 | ||
| Wind | Mean wind speed | 9 km | UCLA-ERA5 | |
| Lightning | Lightning strike density | 500 m | NLDN [87,88] | |
| Antecedent | Average VPD in M antecedent months; | 5 km | Climgrid | |
| Average precipitation total in M antecedent months; | 5 km | Climgrid | ||
| Mean annual precipitation in lag year 1 | 5 km | Climgrid | ||
| Mean annual precipitation in lag year 2 | 5 km | Climgrid | ||
| Average snow water equivalent in 3 antecedent months | 500 m | NSIDC | ||
| Vegetation | Forest | Fraction of forest landcover | 30 m | NLCD |
| Grassland | Fraction of grassland cover | 30 m | NLCD | |
| Shrubland | Fraction of shrubland cover | 30 m | NLCD | |
| Biomass | Aboveground biomass map | 300 m | Ref. [89] | |
| Human | Urban | Fraction of land covered by urban areas | 30 m | NLCD |
| Camp_num | Mean number of camp grounds | 1 km | Open source | |
| Camp_dist | Mean distance from nearest camp ground | 1 km | Open source | |
| Road_dist | Mean distance from nearest highway | 1 km | Open source | |
| Popdensity | Mean population density | 1 km | SILVIS [90] | |
| Housedensity | Mean housing density | 1 km | SILVIS | |
| Topography | Slope | Mean slope | 1 m | USGS |
| Southness | Mean south-facing degree of slope | 1 m | USGS |
References
- Jaynes, E.T. Information theory and statistical mechanics. Phys. Rev. 1957, 106, 620. [Google Scholar] [CrossRef]
- Jaynes, E.T. Information theory and statistical mechanics. II. Phys. Rev. 1957, 108, 171. [Google Scholar] [CrossRef]
- Kapur, J.N. Maximum-Entropy Models in Science and Engineering; John Wiley & Sons: Hoboken, NJ, USA, 1989. [Google Scholar]
- Gu, Y.; McCallum, A.; Towsley, D. Detecting anomalies in network traffic using maximum entropy estimation. In Proceedings of the 5th ACM SIGCOMM Conference on Internet Measurement, Berkeley, CA, USA, 19–21 October 2005; p. 32. [Google Scholar]
- Bereziński, P.; Jasiul, B.; Szpyrka, M. An entropy-based network anomaly detection method. Entropy 2015, 17, 2367–2408. [Google Scholar] [CrossRef]
- Wainwright, M.J.; Jordan, M.I. Graphical Models, Exponential Families, and Variational Inference; Now Publishers Inc.: Hanover, MA, USA, 2008. [Google Scholar]
- Berger, A.; Pietra, S.A.D.; Pietra, V.J.D. A maximum entropy approach to natural language processing. Comput. Linguist. 1996, 22, 39–71. [Google Scholar]
- Chen, S.F.; Rosenfeld, R. A survey of smoothing techniques for me models. IEEE Trans. Speech Audio Process. 2000, 8, 37–50. [Google Scholar] [CrossRef]
- Pietra, S.D.; Pietra, V.D.; Lafferty, J. Inducing features of random fields. IEEE Trans. Pattern Anal. Mach. Intell. 1997, 19, 380–393. [Google Scholar] [CrossRef]
- Malouf, R. A comparison of algorithms for maximum entropy parameter estimation. In Proceedings of the COLING-02: The 6th Conference on Natural Language Learning 2002 (CoNLL-2002), Taipei, Taiwan, 31 August 2002. [Google Scholar]
- Ratnaparkhi, A. Maximum Entropy Models for Natural Language Processing; Springer: Boston, MA, USA, 2017; pp. 800–805. [Google Scholar]
- Tsujii, J.; Kazama, J. Evaluation and extension of maximum entropy models with inequality constraints. In Proceedings of the 2003 Conference on Empirical Methods in Natural Language Processing, Sapporo, Japan, 11–12 July 2003; pp. 137–144. [Google Scholar]
- Hayes, B.; Wilson, C. A maximum entropy model of phonotactics and phonotactic learning. Linguist. Inq. 2008, 39, 379–440. [Google Scholar] [CrossRef]
- Kwon, T.M. Tmc Traffic Data Automation for Mndot’s Traffic Monitoring Program; Technical Report; University of Minnesota: Twin Cities, MN, USA, 2004. [Google Scholar]
- Muttaqin, L.A.; Murti, S.H.; Susilo, B. Maxent (maximum entropy) model for predicting prehistoric cave sites in karst area of gunung sewu, gunung kidul, yogyakarta. In Sixth Geoinformation Science Symposium; SPIE-International Society for Optics and Photonics: Bellingham, WA, USA, 2019; Volume 11311, p. 113110B. [Google Scholar]
- Granot-Atedgi, E.; Tkačik, G.; Segev, R.; Schneidman, E. Stimulus-dependent maximum entropy models of neural population codes. PLoS Comput. Biol. 2013, 9, e1002922. [Google Scholar] [CrossRef]
- Tkačik, G.; Marre, O.; Mora, T.; Amodei, D.; Berry, M.J., II; Bialek, W. The simplest maximum entropy model for collective behavior in a neural network. J. Stat. Mech. Theory Exp. 2013, 2013, P03011. [Google Scholar] [CrossRef]
- Savin, C.; Tkačik, G. Maximum entropy models as a tool for building precise neural controls. Curr. Opin. Neurobiol. 2017, 46, 120–126. [Google Scholar] [CrossRef] [PubMed]
- Dudík, M.; Phillips, S.J.; Schapire, R.E. Performance guarantees for regularized maximum entropy density estimation. In Learning Theory; Shawe-Taylor, J., Singer, Y., Eds.; Springer: Berlin/Heidelberg, Germany, 2004; pp. 472–486. [Google Scholar]
- Dudík, M.; Phillips, S.J.; Schapire, R.E. Maximum entropy density estimation with generalized regularization and an application to species distribution modeling. J. Mach. Learn. Res. 2007, 8, 1217–1260. [Google Scholar]
- Elith, J.; Phillips, S.J.; Hastie, T.; Dudík, M.; Chee, Y.E.; Yates, C.J. A statistical explanation of maxent for ecologists. Divers. Distrib. 2011, 17, 43–57. [Google Scholar] [CrossRef]
- Kalinski, C.E. Building Better Species Distribution Models with Machine Learning: Assessing the Role of Covariate Scale and Tuning in Maxent Models. Ph.D. Thesis, University of Southern California, Los Angeles, CA, USA, 2019. [Google Scholar]
- Merow, C.; Smith, M.J.; Silander, J.A., Jr. A practical guide to maxent for modeling species’ distributions: What it does, and why inputs and settings matter. Ecography 2013, 36, 1058–1069. [Google Scholar] [CrossRef]
- Phillips, S.J.; Dudík, M.; Schapire, R.E. A maximum entropy approach to species distribution modeling. In Proceedings of the Twenty-First International Conference on Machine Learning, Banff, AB, Canada, 4–8 July 2004; p. 83. [Google Scholar]
- Phillips, S.J.; Anderson, R.P.; Schapire, R.E. Maximum entropy modeling of species geographic distributions. Ecol. Model. 2006, 190, 231–259. [Google Scholar] [CrossRef]
- Phillips, S.J.; Anderson, R.P.; Dudík, M.; Schapire, R.E.; Blair, M.E. Opening the black box: An open-source release of maxent. Ecography 2017, 40, 887–893. [Google Scholar] [CrossRef]
- Schnase, J.L.; Carroll, M.L.; Gill, R.L.; Tamkin, G.S.; Li, J.; Strong, S.L.; Maxwell, T.P.; Aronne, M.E.; Spradlin, C.S. Toward a monte carlo approach to selecting climate variables in maxent. PLoS ONE 2021, 16, e0237208. [Google Scholar] [CrossRef]
- Schnase, J.L.; Carroll, M.L. Automatic variable selection in ecological niche modeling: A case study using cassin’s sparrow (peucaea cassinii). PLoS ONE 2022, 17, e0257502. [Google Scholar] [CrossRef] [PubMed]
- Parisien, M.; Moritz, M.A. Environmental controls on the distribution of wildfire at multiple spatial scales. Ecol. Monogr. 2009, 79, 127–154. [Google Scholar] [CrossRef]
- Chen, B.; Jin, Y.; Scaduto, E.; Moritz, M.A.; Goulden, M.L.; Randerson, J.T. Climate, fuel, and land use shaped the spatial pattern of wildfire in California’s Sierra Nevada. J. Geophys. Res. Biogeosci. 2021, 126, e2020JG005786. [Google Scholar] [CrossRef]
- Yu, Y.; Saatchi, S.S.; Walters, B.F.; Ganguly, S.; Li, S.; Hagen, S.; Melendy, L.; Nemani, R.R.; Domke, G.M.; Woodall, C.W. Carbon Pools across Conus Using the Maxent Model, 2005, 2010, 2015, 2016, and 2017. 2021. Available online: https://daac.ornl.gov/CMS/guides/CMS_CONUS_Biomass.html (accessed on 1 April 2024).
- L’heureux, A.; Grolinger, K.; Elyamany, H.F.; Capretz, M.A.M. Machine learning with big data: Challenges and approaches. IEEE Access 2017, 5, 7776–7797. [Google Scholar] [CrossRef]
- Fithian, W.; Hastie, T. Finite-sample equivalence in statistical models for presence-only data. Ann. Appl. Stat. 2013, 7, 1917. [Google Scholar] [CrossRef] [PubMed]
- Darroch, J.N.; Ratcliff, D. Generalized iterative scaling for log-linear models. In The Annals of Mathematical Statistics; Institute of Mathematical Statistics: Waite Hill, OH, USA, 1972; pp. 1470–1480. [Google Scholar]
- Demchenko, Y.; Grosso, P.; Laat, C.D.; Membrey, P. Addressing big data issues in scientific data infrastructure. In Proceedings of the 2013 International Conference on Collaboration Technologies and Systems (CTS), San Diego, CA, USA, 20–24 May 2013; pp. 48–55. [Google Scholar]
- Thompson, N.C.; Greenewald, K.; Lee, K.; Manso, G.F. Deep learning’s diminishing returns: The cost of improvement is becoming unsustainable. IEEE Spectr. 2021, 58, 50–55. [Google Scholar] [CrossRef]
- Dyderski, M.K.; Paź, S.; Frelich, L.E.; Jagodziński, A.M. How much does climate change threaten european forest tree species distributions? Glob. Chang. Biol. 2018, 24, 1150–1163. [Google Scholar] [CrossRef] [PubMed]
- Darbon, J.; Langlois, G.P. Accelerated nonlinear primal-dual hybrid gradient algorithms with applications to machine learning. arXiv 2021, arXiv:2109.12222. [Google Scholar]
- Nesterov, Y. Introductory Lectures on Convex Optimization: A Basic Course; Kluwer Academic Publishers: Boston, MA, USA, 2004; Volume 87. [Google Scholar]
- Beck, A.; Teboulle, M. A fast iterative shrinkage-thresholding algorithm for linear inverse problems. SIAM J. Imaging Sci. 2009, 2, 183–202. [Google Scholar] [CrossRef]
- Mohri, M.; Rostamizadeh, A.; Talwalkar, A. Foundations of Machine Learning, 2nd ed.; MIT Press: Cambridge, MA, USA, 2018. [Google Scholar]
- Parisien, M.; Dawe, D.A.; Miller, C.; Stockdale, C.A.; Armitage, O.B. Applications of simulation-based burn probability modelling: A review. Int. J. Wildland Fire 2019, 28, 913. [Google Scholar] [CrossRef]
- Mezuman, K.; Tsigaridis, K.; Faluvegi, G.; Bauer, S.E. The interactive global fire module pyre (v1.0). Geosci. Model Dev. 2020, 13, 3091–3118. [Google Scholar] [CrossRef]
- Buch, J.; Williams, A.P.; Juang, C.S.; Hansen, W.D.; Gentine, P. Smlfire1.0: A stochastic machine learning (sml) model for wildfire activity in the western united states. Geosci. Model Dev. 2023, 16, 3407–3433. [Google Scholar] [CrossRef]
- Juang, C.S.; Williams, A.P.; Abatzoglou, J.T.; Balch, J.K.; Hurteau, M.D.; Moritz, M.A. Rapid growth of large forest fires drives the exponential response of annual forest-fire area to aridity in the western united states. Geophys. Res. Lett. 2022, 49, e2021GL097131. [Google Scholar] [CrossRef]
- Ekeland, I.; Temam, R. Convex Analysis and Variational Problems; SIAM: New Delhi, India, 1999. [Google Scholar]
- Beck, A.; Teboulle, M. Mirror descent and nonlinear projected subgradient methods for convex optimization. Oper. Res. Lett. 2003, 31, 167–175. [Google Scholar] [CrossRef]
- Csiszár, I. Information-type measures of difference of probability distributions and indirect observation. Stud. Sci. Math. Hung. 1967, 2, 229–318. [Google Scholar]
- Kemperman, J.H.B. On the optimum rate of transmitting information. In Probability and Information Theory; Springer: Berlin/Heidelberg, Germany, 1969; pp. 126–169. [Google Scholar]
- Kullback, S. A lower bound for discrimination information in terms of variation (corresp.). IEEE Trans. Inf. Theory 1967, 13, 126–127. [Google Scholar] [CrossRef]
- Pinsker, M.S. Information and Information Stability of Random Variables and Processes; Holden-Day: San Francisco, CA, USA, 1964. [Google Scholar]
- Altun, Y.; Smola, A. Unifying divergence minimization and statistical inference via convex duality. In International Conference on Computational Learning Theory; Springer: Berlin/Heidelberg, Germany, 2006; pp. 139–153. [Google Scholar]
- Dewaskar, M.; Tosh, C.; Knoblauch, J.; Dunson, D.B. Robustifying likelihoods by optimistically re-weighting data. arXiv 2023, arXiv:2303.10525. [Google Scholar]
- Zou, H.; Hastie, T. Regularization and variable selection via the elastic net. J. R. Stat. Soc. Ser. (Stat. Methodol.) 2005, 67, 301–320. [Google Scholar] [CrossRef]
- Tay, J.K.; Narasimhan, B.; Hastie, T. Elastic net regularization paths for all generalized linear models. J. Stat. Softw. 2023, 106, 1. [Google Scholar] [CrossRef] [PubMed]
- Foucart, S.; Rauhut, H. Sparse Solutions of Underdetermined Systems; Springer: New York, NY, USA, 2013; pp. 41–59. [Google Scholar]
- Guide, M.E.; Jbilou, K.; Koukouvinos, C.; Lappa, A. Comparative study of l 1 regularized logistic regression methods for variable selection. In Communications in Statistics-Simulation and Computation; Taylor & Francis, Inc.: Philadelphia, PA, USA, 2020; pp. 1–16. [Google Scholar]
- Zanon, M.; Zambonin, G.; Susto, G.A.; McLoone, S. Sparse logistic regression: Comparison of regularization and bayesian implementations. Algorithms 2020, 13, 137. [Google Scholar] [CrossRef]
- Lee, J.D.; Recht, B.; Srebro, N.; Tropp, J.; Salakhutdinov, R.R. Practical large-scale optimization for max-norm regularization. In Advances in Neural Information Processing Systems; Curran Associates: Red Hook, NY, USA, 2010; Volume 23. [Google Scholar]
- Hastie, T.; Tibshirani, R.; Friedman, J. The Elements of Statistical Learning, 2nd ed.; Data Mining, Inference, and Prediction; Springer Series in Statistics; Springer: New York, NY, USA, 2009. [Google Scholar]
- Friedman, J.; Hastie, T.; Höfling, H.; Tibshirani, R. Pathwise coordinate optimization. Ann. Appl. Stat. 2007, 1, 302–332. [Google Scholar] [CrossRef]
- Friedman, J.; Hastie, T.; Tibshirani, R. Regularization paths for generalized linear models via coordinate descent. J. Stat. Softw. 2010, 33, 1. [Google Scholar] [CrossRef]
- Hastie, T.; Qian, J.; Tay, K. An Introduction to Glmnet. 2021. Available online: https://glmnet.stanford.edu/articles/glmnet.html (accessed on 17 February 2021).
- Cortes, C.; Kuznetsov, V.; Mohri, M.; Syed, U. Structural maxent models. In Proceedings of the 32nd International Conference on International Conference on Machine Learning—Volume 37, Lille, France, 6–11 July 2015; ICML’15. pp. 391–399. [Google Scholar]
- Chambolle, A.; Bock, T. An introduction to continuous optimization for imaging. Acta Numer. 2016, 25, 161–319. [Google Scholar] [CrossRef]
- Daubechies, I.; Defrise, M.; De Mol, C. An iterative thresholding algorithm for linear inverse problems with a sparsity constraint. Commun. Pure Appl. Math. J. Issued Courant Inst. Math. Sci. 2004, 57, 1413–1457. [Google Scholar] [CrossRef]
- Dudík, M.; Schapire, R.E. Maximum entropy distribution estimation with generalized regularization. In International Conference on Computational Learning Theory; Springer: Berlin/Heidelberg, Germany, 2006; pp. 123–138. [Google Scholar]
- Mann, G.; McDonald, R.; Mohri, M.; Silberman, N.; Walker, D., IV. Efficient Large-Scale Distributed Training of Conditional Maximum Entropy Models. In Advances in Neural Information Processing Systems; Curran Associates: Red Hook, NY, USA, 2009; Volume 22. [Google Scholar]
- Andrew, G.; Gao, J. Scalable training of l 1-regularized log-linear models. In Proceedings of the 24th International Conference on Machine Learning, Vienna, Austria, 21–27 July 2007; pp. 33–40. [Google Scholar]
- Lee, S.-I.; Lee, H.; Abbeel, P.; Ng, A.Y. Efficient L1 regularized logistic regression. AAAI 2006, 6, 401–408. [Google Scholar]
- Yuan, G.-X.; Chang, K.-W.; Hsieh, C.-J.; Lin, C.-J. A comparison of optimization methods and software for large-scale l1-regularized linear classification. J. Mach. Learn. Res. 2010, 11, 3183–3234. [Google Scholar]
- Yu, H.-F.; Huang, F.-L.; Lin, C.-J. Dual coordinate descent methods for logistic regression and maximum entropy models. Mach. Learn. 2011, 85, 41–75. [Google Scholar] [CrossRef]
- Littell, J.S.; McKenzie, D.; Peterson, D.L.; Westerling, A.L. Climate and wildfire area burned in western u.s. ecoprovinces, 1916–2003. Ecol. Appl. 2009, 19, 1003–1021. [Google Scholar] [CrossRef]
- McElreath, R. Statistical Rethinking: A Bayesian Course with Examples in R and Stan; Chapman and Hall/CRC: Boca Raton, FL, USA, 2018. [Google Scholar]
- Gelman, A.; Carlin, J.B.; Stern, H.S.; Dunson, D.B.; Vehtari, A.; Rubin, D.B. Bayesian Data Analysis, 3rd ed.; Chapman & Hall/CRC Texts in Statistical Science; Taylor & Francis: Boca Raton, FL, USA, 2013. [Google Scholar]
- Figueiredo, M.A.T.; Nowak, R.D. Wavelet-based image estimation: An empirical Bayes approach using Jeffrey’s noninformative prior. IEEE Trans. Image Process. 2001, 10, 1322–1331. [Google Scholar] [CrossRef] [PubMed]
- Lions, P.-L.; Mercier, B. Splitting algorithms for the sum of two nonlinear operators. SIAM J. Numer. Anal. 1979, 16, 964–979. [Google Scholar] [CrossRef]
- Hiriart-Urruty, J.-B.; Lemaréchal, C. Convex Analysis and Minimization Algorithms I: Fundamentals; Springer Science & Business Media: Berlin/Heidelberg, Germany, 1993; Volume 305. [Google Scholar]
- Condat, L. Fast projection onto the simplex and the l 1 ball. Math. Program. 2016, 158, 575–585. [Google Scholar] [CrossRef]
- Keeping, T.; Harrison, S.P.; Prentice, I.C. Modelling the daily probability of wildfire occurrence in the contiguous United States. Environ. Res. Lett. 2024, 19, 024036. [Google Scholar] [CrossRef]
- Boyd, S.; Boyd, S.P.; Vandenberghe, L. Convex Optimization; Cambridge University Press: Cambridge, UK, 2004. [Google Scholar]
- Vose, R.; Applequist, S.; Squires, M.; Durre, I.; Menne, M.; Williams, C.; Fenimore, C.; Gleason, K.; Arndt, D. Improved historical Temperature and Precipitation time series for U.S. climate divisions. J. Appl. Meteorol. Climatol. 2014, 53, 1232–1251. [Google Scholar] [CrossRef]
- Daly, C.; Gibson, W.; Doggett, M.; Smith, J.; Taylor, G. Up-to-date monthly climate maps for the conterminous United States. In Proceedings of the 14th AMS Conference on Applied Climatology, 84th AMS Annual Meeting Combined Preprints, Seattle, WA, USA, 11 January 2004. [Google Scholar]
- Rahimi, S.; Krantz, W.; Lin, Y.; Bass, B.; Goldenson, N.; Hall, A.; Jebo, Z.; Norris, J. Evaluation of a reanalysis-driven configuration of wrf4 over the western united states from 1980–2020. J. Geophys. Res. Atmos. 2022, 127, e2021JD035699. [Google Scholar] [CrossRef]
- Zeng, X.; Broxton, P.; Dawson, N. Snowpack change from 1982 to 2016 over conterminous United States. Geophys. Res. Lett. 2018, 45, 12940–12947. [Google Scholar] [CrossRef]
- Abatzoglou, J.T. Development of gridded surface meteorological data for ecological applications and modelling. Int. J. Climatol. 2013, 33, 121–131. [Google Scholar] [CrossRef]
- Wacker, R.S.; Orville, R.E. Changes in measured lightning flash count and return stroke peak current after the 1994 U.S. National Lightning Detection Network upgrade: 1. Observations. J. Geophys. Res. Atmos. 1999, 104, 2151–2157. [Google Scholar] [CrossRef]
- Orville, R.E.; Huffines, G.R. Cloud-to-Ground lightning in the United States: NLDN results in the first decade, 1989–98. Mon. Weather. Rev. 2001, 129, 1179–1193. [Google Scholar] [CrossRef]
- Spawn, S.A.; Sullivan, C.C.; Lark, T.J.; Gibbs, H.K. Harmonized global maps of above and belowground biomass carbon density in the year 2010. Sci. Data 2020, 7, 112. [Google Scholar] [CrossRef] [PubMed]
- Radeloff, V.C.; Hammer, R.B.; Stewart, S.I.; Fried, J.S.; Holcomb, S.S.; McKeefry, J.F. The Wildland-Urban Interface in the United States. Ecol. Appl. 2005, 15, 799–805. [Google Scholar] [CrossRef]




| STRUCTMAXENT2 | Forward–Backward Splitting | NPDHG | |
|---|---|---|---|
| Elastic net () | 5562.19 | 4208.01 | 365.55 |
| Elastic net () | 1018.73 | 1407.22 | 113.53 |
| Non-overlapping group lasso | N/A | 3036.38 | 278.14 |
| -regularization | N/A | 2534.65 | 289.98 |
| Feature Group | |||
|---|---|---|---|
| Fire weather | Tmax | Tmax | VPD |
| Prec | Prec | Tmin | |
| Wind | Wind | ||
| FM1000 | FM1000 | ||
| Lightning | Lightning | ||
| Topography | Slope | Slope | Southness |
| Southness | |||
| Vegetation | Grassland | Biomass | Forest |
| Shrub | |||
| Human | Camp_dist | Camp_dist | Road_dist |
| Camp_num | Camp_num | ||
| Urban | Urban | ||
| Popdensity | Popdensity | ||
| Antecedent | |||
Disclaimer/Publisher’s Note: The statements, opinions and data contained in all publications are solely those of the individual author(s) and contributor(s) and not of MDPI and/or the editor(s). MDPI and/or the editor(s) disclaim responsibility for any injury to people or property resulting from any ideas, methods, instructions or products referred to in the content. |
© 2024 by the authors. Licensee MDPI, Basel, Switzerland. This article is an open access article distributed under the terms and conditions of the Creative Commons Attribution (CC BY) license (https://creativecommons.org/licenses/by/4.0/).
Share and Cite
Provencher Langlois, G.; Buch, J.; Darbon, J. Efficient First-Order Algorithms for Large-Scale, Non-Smooth Maximum Entropy Models with Application to Wildfire Science. Entropy 2024, 26, 691. https://doi.org/10.3390/e26080691
Provencher Langlois G, Buch J, Darbon J. Efficient First-Order Algorithms for Large-Scale, Non-Smooth Maximum Entropy Models with Application to Wildfire Science. Entropy. 2024; 26(8):691. https://doi.org/10.3390/e26080691
Chicago/Turabian StyleProvencher Langlois, Gabriel, Jatan Buch, and Jérôme Darbon. 2024. "Efficient First-Order Algorithms for Large-Scale, Non-Smooth Maximum Entropy Models with Application to Wildfire Science" Entropy 26, no. 8: 691. https://doi.org/10.3390/e26080691
APA StyleProvencher Langlois, G., Buch, J., & Darbon, J. (2024). Efficient First-Order Algorithms for Large-Scale, Non-Smooth Maximum Entropy Models with Application to Wildfire Science. Entropy, 26(8), 691. https://doi.org/10.3390/e26080691

