Practical Performance Analysis of MDI-QKD with Orbital Angular Momentum on UAV Relay Platform
Abstract
1. Introduction
2. Ground-To-Uav Vortex Beam Propagation Model for UAV-Based MDI-QKD
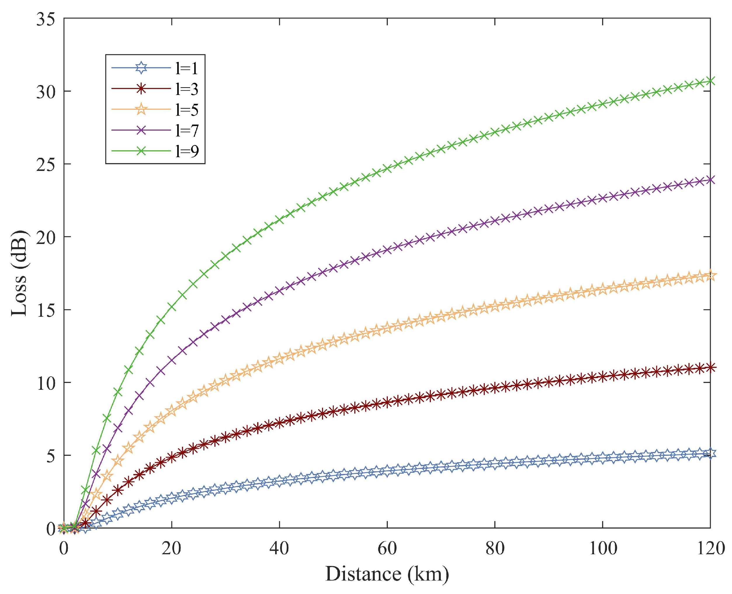
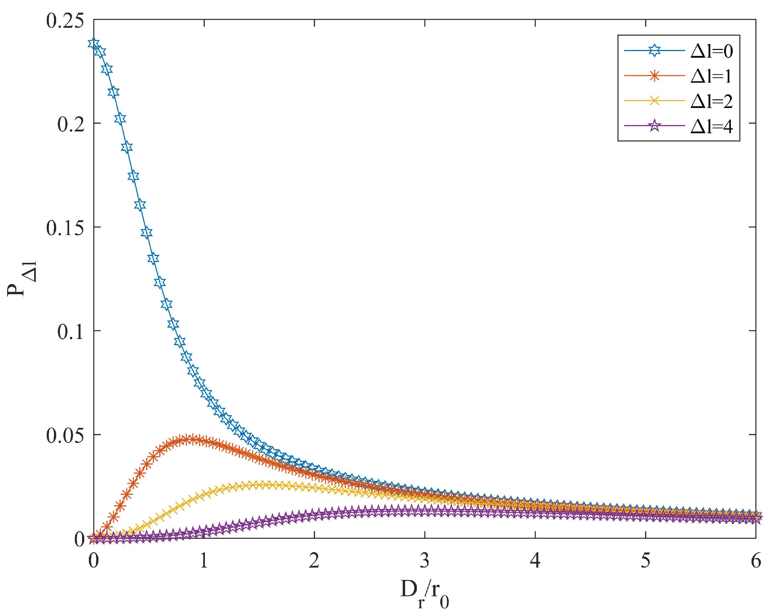
2.1. State-Dependent Diffraction of OAM Considerations
2.2. Atmospheric Turbulence of OAM Considerations
2.3. Weather Visibility of OAM Considerations
3. Protocol and Key Rate
4. Performance Simulation
5. Conclusions
Author Contributions
Funding
Institutional Review Board Statement
Data Availability Statement
Conflicts of Interest
References
- Lo, H.K.; Curty, M.; Tamaki, K. Secure quantum key distribution. Nat. Photonics 2014, 8, 595–604. [Google Scholar] [CrossRef]
- Bennett, C.H.; Brassard, G. Quantum cryptography: Public key distribution and coin tossing. Theor. Comput. Sci. 2014, 560, 7–11. [Google Scholar] [CrossRef]
- Wehner, S.; Elkouss, D.; Hanson, R. Quantum internet: A vision for the road ahead. Science 2018, 362, eaam9288. [Google Scholar] [CrossRef] [PubMed]
- Simon, C. Towards a global quantum network. Nat. Photonics 2017, 11, 678–680. [Google Scholar] [CrossRef]
- Wang, S.; Yin, Z.Q.; He, D.Y.; Chen, W.; Wang, R.Q.; Ye, P.; Zhou, Y.; Fan-Yuan, G.J.; Wang, F.X.; Chen, W.; et al. Twin-field quantum key distribution over 830-km fibre. Nat. Photonics 2022, 16, 154–161. [Google Scholar] [CrossRef]
- Liao, S.K.; Cai, W.Q.; Liu, W.Y.; Zhang, L.; Li, Y.; Ren, J.G.; Yin, J.; Shen, Q.; Cao, Y.; Li, Z.P.; et al. Satellite-to-ground quantum key distribution. Nature 2017, 549, 43–47. [Google Scholar] [CrossRef] [PubMed]
- Chen, Y.A.; Zhang, Q.; Chen, T.Y.; Cai, W.Q.; Liao, S.K.; Zhang, J.; Chen, K.; Yin, J.; Ren, J.G.; Chen, Z.; et al. An integrated space-to-ground quantum communication network over 4600 kilometres. Nature 2021, 589, 214–219. [Google Scholar] [CrossRef]
- Liu, H.Y.; Tian, X.H.; Gu, C.; Fan, P.; Ni, X.; Yang, R.; Zhang, J.N.; Hu, M.; Guo, J.; Cao, X.; et al. Optical-relayed entanglement distribution using drones as mobile nodes. Phys. Rev. Lett. 2021, 126, 020503. [Google Scholar] [CrossRef]
- Liu, H.Y.; Tian, X.H.; Gu, C.; Fan, P.; Ni, X.; Yang, R.; Zhang, J.N.; Hu, M.; Guo, J.; Cao, X.; et al. Drone-based entanglement distribution towards mobile quantum networks. Natl. Sci. Rev. 2020, 7, 921–928. [Google Scholar] [CrossRef]
- Chu, Y.; Donaldson, R.; Kumar, R.; Grace, D. Feasibility of quantum key distribution from high altitude platforms. Quantum Sci. Technol. 2021, 6, 035009. [Google Scholar] [CrossRef]
- Xue, Y.; Chen, W.; Wang, S.; Yin, Z.; Shi, L.; Han, Z. Airborne quantum key distribution: A review. Chin. Opt. Lett. 2021, 19, 122702. [Google Scholar] [CrossRef]
- Lo, H.K.; Curty, M.; Qi, B. Measurement-device-independent quantum key distribution. Phys. Rev. Lett. 2012, 108, 130503. [Google Scholar] [CrossRef] [PubMed]
- Wang, L.; Zhao, S.M.; Gong, L.Y.; Cheng, W.W. Free-space measurement-device-independent quantum-key-distribution protocol using decoy states with orbital angular momentum. Chin. Phys. B 2015, 24, 120307. [Google Scholar] [CrossRef]
- Bonato, C.; Pernechele, C.; Villoresi, P. Influence of all-reflective optical systems in the transmission of polarization-encoded qubits. J. Opt. A Pure Appl. Opt. 2007, 9, 899. [Google Scholar] [CrossRef]
- Laing, A.; Scarani, V.; Rarity, J.G.; O’Brien, J.L. Reference-frame-independent quantum key distribution. Phys. Rev. A-Atomic Mol. Opt. Phys. 2010, 82, 012304. [Google Scholar] [CrossRef]
- Wabnig, J.; Bitauld, D.; Li, H.; Laing, A.; O’brien, J.; Niskanen, A. Demonstration of free-space reference frame independent quantum key distribution. New J. Phys. 2013, 15, 073001. [Google Scholar] [CrossRef]
- Goyal, S.; Ibrahim, A.H.; Roux, F.S.; Konrad, T.; Forbes, A. Experimental orbital angular momentum based quantum key distribution through turbulence. arXiv 2014, arXiv:1412.0788. [Google Scholar]
- Spedalieri, F.M. Quantum key distribution without reference frame alignment: Exploiting photon orbital angular momentum. Opt. Commun. 2006, 260, 340–346. [Google Scholar] [CrossRef]
- Otte, E.; Nape, I.; Rosales-Guzmán, C.; Denz, C.; Forbes, A.; Ndagano, B. High-dimensional cryptography with spatial modes of light: Tutorial. JOSA B 2020, 37, A309–A323. [Google Scholar] [CrossRef]
- Lavery, M.P.; Peuntinger, C.; Günthner, K.; Banzer, P.; Elser, D.; Boyd, R.W.; Padgett, M.J.; Marquardt, C.; Leuchs, G. Free-space propagation of high-dimensional structured optical fields in an urban environment. Sci. Adv. 2017, 3, e1700552. [Google Scholar] [CrossRef]
- Sit, A.; Bouchard, F.; Fickler, R.; Gagnon-Bischoff, J.; Larocque, H.; Heshami, K.; Elser, D.; Peuntinger, C.; Günthner, K.; Heim, B.; et al. High-dimensional intracity quantum cryptography with structured photons. Optica 2017, 4, 1006–1010. [Google Scholar] [CrossRef]
- Wang, Z.; Malaney, R.; Burnett, B. Satellite-to-earth quantum key distribution via orbital angular momentum. Phys. Rev. Appl. 2020, 14, 064031. [Google Scholar] [CrossRef]
- Wang, X.Y.; Zhao, S.H.; Dong, C.; Zhu, Z.D.; Gu, W.Y. Orbital angular momentum-encoded measurement device independent quantum key distribution under atmospheric turbulence. Quantum Inf. Process. 2019, 18, 304. [Google Scholar] [CrossRef]
- Liu, Y.; Yu, H.; Tang, J.; Cao, Y.; Li, J.; Deng, Z.; Wu, D.; Lun, H.; Shi, L. Digital twin of the atmospheric turbulence channel based on self-supervised deep learning algorithm. Phys. Lett. A 2023, 481, 128992. [Google Scholar] [CrossRef]
- Mafu, M.; Dudley, A.; Goyal, S.; Giovannini, D.; McLaren, M.; Padgett, M.J.; Konrad, T.; Petruccione, F.; Lütkenhaus, N.; Forbes, A. Higher-dimensional orbital-angular-momentum-based quantum key distribution with mutually unbiased bases. Phys. Rev. A 2013, 88, 032305. [Google Scholar] [CrossRef]
- Wang, X.B. Three-intensity decoy-state method for device-independent quantum key distribution with basis-dependent errors. Phys. Rev. A 2013, 87, 012320. [Google Scholar] [CrossRef]
- Hayashi, M. Upper bounds of eavesdropper’s performances in finite-length code with the decoy method. Phys. Rev. A-Atomic Mol. Opt. Phys. 2007, 76, 012329. [Google Scholar] [CrossRef]
- Braunstein, S.L.; Pirandola, S. Side-channel-free quantum key distribution. Phys. Rev. Lett. 2012, 108, 130502. [Google Scholar] [CrossRef] [PubMed]
- Padgett, M.J.; Miatto, F.M.; Lavery, M.P.; Zeilinger, A.; Boyd, R.W. Divergence of an orbital-angular-momentum-carrying beam upon propagation. New J. Phys. 2015, 17, 023011. [Google Scholar] [CrossRef]
- Kaushal, H.; Jain, V.; Kar, S.; Kaushal, H.; Jain, V.; Kar, S. Free-space optical channel models. In Free Space Optical Communication; Springer: New Delhi, India, 2017; pp. 41–89. [Google Scholar]
- Tyler, G.A.; Boyd, R.W. Influence of atmospheric turbulence on the propagation of quantum states of light carrying orbital angular momentum. Opt. Lett. 2009, 34, 142–144. [Google Scholar] [CrossRef]
- Kruse, P.W.; McGlauchlin, L.D.; McQuistan, R.B. Elements of Infrared Technology: Generation, Transmission and Detection; Wiley: New York, NY, USA, 1962. [Google Scholar]
- Kim, I.I.; McArthur, B.; Korevaar, E.J. Comparison of laser beam propagation at 785 nm and 1550 nm in fog and haze for optical wireless communications. In Optical Wireless Communications III; SPIE: Boston, MA, USA, 2001; Volume 4214, pp. 26–37. [Google Scholar]
- Nagali, E.; Sansoni, L.; Sciarrino, F.; De Martini, F.; Marrucci, L.; Piccirillo, B.; Karimi, E.; Santamato, E. Optimal quantum cloning of orbital angular momentum photon qubits through Hong–Ou–Mandel coalescence. Nat. Photonics 2009, 3, 720–723. [Google Scholar] [CrossRef]
- Mirhosseini, M.; Malik, M.; Shi, Z.; Boyd, R.W. Efficient separation of the orbital angular momentum eigenstates of light. Nat. Commun. 2013, 4, 2781. [Google Scholar] [CrossRef] [PubMed]
- Larocque, H.; Gagnon-Bischoff, J.; Mortimer, D.; Zhang, Y.; Bouchard, F.; Upham, J.; Grillo, V.; Boyd, R.W.; Karimi, E. Generalized optical angular momentum sorter and its application to high-dimensional quantum cryptography. Opt. Express 2017, 25, 19832–19843. [Google Scholar] [CrossRef] [PubMed]
- Sun, S.H.; Gao, M.; Li, C.Y.; Liang, L.M. Practical decoy-state measurement-device-independent quantum key distribution. Phys. Rev. A 2013, 87, 052329. [Google Scholar] [CrossRef]
- Ma, X.; Razavi, M. Alternative schemes for measurement-device-independent quantum key distribution. Phys. Rev. A 2012, 86, 062319. [Google Scholar] [CrossRef]
- Weidman, M.C.; Beck, M.E.; Hoffman, R.S.; Prins, F.; Tisdale, W.A. Monodisperse, air-stable PbS nanocrystals via precursor stoichiometry control. ACS Nano 2014, 8, 6363–6371. [Google Scholar] [CrossRef] [PubMed]









| Parameter | Value | Parameter | Value |
|---|---|---|---|
| Dark count rate (counts/pulse) | Link attenuation coefficient (dB/km) | 0.6 | |
| Altitude of UAV h (km) | 10 | Intensity of vacuum state | 0 |
| Beam radius (m) | 0.02 | Intensity of decoy states | 0.10 |
| Aperture diameter (m) | 0.26 | Intensity of signal states | 0.36 |
| Wavelength (nm) | 1550 | OAM topological charge l | 4 |
| Error correction efficiency f | 1.16 | Refractive-index structure parameter | |
| Finite size of date N | Standard deviation | 5 | |
| SUP basis misalignment error | 0.015 | SPD efficiency | |
| Divergence of pointing jitter (rad) | 5 |
Disclaimer/Publisher’s Note: The statements, opinions and data contained in all publications are solely those of the individual author(s) and contributor(s) and not of MDPI and/or the editor(s). MDPI and/or the editor(s) disclaim responsibility for any injury to people or property resulting from any ideas, methods, instructions or products referred to in the content. |
© 2024 by the authors. Licensee MDPI, Basel, Switzerland. This article is an open access article distributed under the terms and conditions of the Creative Commons Attribution (CC BY) license (https://creativecommons.org/licenses/by/4.0/).
Share and Cite
Wu, D.; Li, J.; Yang, L.; Deng, Z.; Tang, J.; Cao, Y.; Liu, Y.; Hu, H.; Wang, Y.; Yu, H.; et al. Practical Performance Analysis of MDI-QKD with Orbital Angular Momentum on UAV Relay Platform. Entropy 2024, 26, 635. https://doi.org/10.3390/e26080635
Wu D, Li J, Yang L, Deng Z, Tang J, Cao Y, Liu Y, Hu H, Wang Y, Yu H, et al. Practical Performance Analysis of MDI-QKD with Orbital Angular Momentum on UAV Relay Platform. Entropy. 2024; 26(8):635. https://doi.org/10.3390/e26080635
Chicago/Turabian StyleWu, Dan, Jiahao Li, Lan Yang, Zhifeng Deng, Jie Tang, Yuexiang Cao, Ying Liu, Haoran Hu, Ya Wang, Huicun Yu, and et al. 2024. "Practical Performance Analysis of MDI-QKD with Orbital Angular Momentum on UAV Relay Platform" Entropy 26, no. 8: 635. https://doi.org/10.3390/e26080635
APA StyleWu, D., Li, J., Yang, L., Deng, Z., Tang, J., Cao, Y., Liu, Y., Hu, H., Wang, Y., Yu, H., Wei, J., Lun, H., Wang, X., & Shi, L. (2024). Practical Performance Analysis of MDI-QKD with Orbital Angular Momentum on UAV Relay Platform. Entropy, 26(8), 635. https://doi.org/10.3390/e26080635

