Virtual Photon-Mediated Quantum State Transfer and Remote Entanglement between Spin Qubits in Quantum Dots Using Superadiabatic Pulses
Abstract
1. Introduction
2. Setup and Models
3. Spin–Spin Coupling Mediated by Virtual Photons
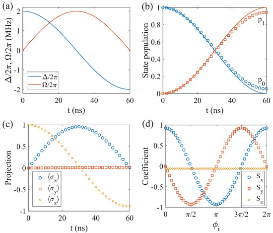
4. Superadiabatic Pulse
5. Quantum State Transfer
6. Robustness to Imperfections and Noises
7. Generation of Remote Entanglement
8. Conclusions
Author Contributions
Funding
Institutional Review Board Statement
Data Availability Statement
Conflicts of Interest
Appendix A. Comparison of Effective Hamiltonian and Full Hamiltonian

Appendix B. The Derivation of the Effective Master Equation
References
- Stano, P.; Loss, D. Review of performance metrics of spin qubits in gated semiconducting nanostructures. Nat. Rev. Phys. 2022, 4, 672–688. [Google Scholar] [CrossRef]
- Burkard, G.; Ladd, T.D.; Pan, A.; Nichol, J.M.; Petta, J.R. Semiconductor spin qubits. Rev. Mod. Phys. 2023, 95, 025003. [Google Scholar] [CrossRef]
- Noiri, A.; Takeda, K.; Nakajima, T.; Kobayashi, T.; Sammak, A.; Scappucci, G.; Tarucha, S. Fast universal quantum gate above the fault-tolerance threshold in silicon. Nature 2022, 601, 338–342. [Google Scholar] [CrossRef]
- Xue, X.; Russ, M.; Samkharadze, N.; Undseth, B.; Sammak, A.; Scappucci, G.; Vandersypen, L.M.K. Quantum logic with spin qubits crossing the surface code threshold. Nature 2022, 601, 343–347. [Google Scholar] [CrossRef] [PubMed]
- Mills, A.R.; Guinn, C.R.; Gullans, M.J.; Sigillito, A.J.; Feldman, M.M.; Nielsen, E.; Petta, J.R. Two-qubit silicon quantum processor with operation fidelity exceeding 99%. Sci. Adv. 2022, 8, eabn5130. [Google Scholar] [CrossRef] [PubMed]
- Takeda, H.; Noiri, A.; Nakajima, T.; Kobayashi, T.; Tarucha, S. Quantum error correction with silicon spin qubits. Nature 2022, 608, 682–686. [Google Scholar] [CrossRef] [PubMed]
- Philips, S.G.J.; Madzik, M.T.; Amitonov, S.V.; de Snoo, S.L.; Russ, M.; Kalhor, N.; Volk, C.; Lawrie, W.I.L.; Brousse, D.; Tryputen, L.; et al. Universal control of a six-qubit quantum processor in silicon. Nature 2022, 609, 919–924. [Google Scholar] [CrossRef] [PubMed]
- Weinstein, A.J.; Reed, M.D.; Jones, A.M.; Andrews, R.W.; Barnes, D.; Blumoff, J.Z.; Euliss, L.E.; Eng, K.; Fong, B.H.; Ha, S.D.; et al. Universal logic with encoded spin qubits in silicon. Nature 2023, 615, 817–822. [Google Scholar] [CrossRef] [PubMed]
- Vandersypen, L.M.K.; Bluhm, H.; Clarke, J.S.; Dzurak, A.S.; Ishihara, R.; Morello, A.; Reilly, D.J.; Schreiber, L.R.; Veldhorst, M. Interfacing spin qubits in quantum dots and donors—Hot, dense, and coherent. npj Quantum Inf. 2017, 3, 34. [Google Scholar] [CrossRef]
- Li, R.; Petit, L.; Franke, D.P.; Dehollain, J.P.; Helsen, J.; Steudtner, M.; Thomas, N.K.; Yoscovits, Z.R.; Singh, K.J.; Wehner, S.; et al. A crossbar network for silicon quantum dot qubits. Sci. Adv. 2018, 4, eaar3960. [Google Scholar] [CrossRef] [PubMed]
- Gonzalez-Zalba, M.F.; de Franceschi, S.; Charbon, E.; Meunier, T.; Vinet, M.; Dzurak, A.S. Scaling silicon-based quantum computing using CMOS technology. Nat. Electron. 2021, 4, 872–884. [Google Scholar] [CrossRef]
- Nickerson, N.H.; Li, Y.; Benjamin, S.C. Topological quantum computing with a very noisy network and local error rates approaching one percent. Nat. Commun. 2013, 4, 1756. [Google Scholar] [CrossRef] [PubMed]
- Nickerson, N.H.; Fitzsimons, J.F.; Benjamin, S.C. Freely scalable quantum technologies using cells of 5-to-50 qubits with very lossy and noisy photonic links. Phys. Rev. X 2014, 4, 041041. [Google Scholar] [CrossRef]
- Wehner, S.; Elkouss, D.; Hanson, R. Quantum internet: A vision for the road ahead. Science 2018, 362, eaam9288. [Google Scholar] [CrossRef] [PubMed]
- Blais, A.; Huang, R.-S.; Wallraff, A.; Girvin, S.M.; Schoelkopf, R.J. Cavity quantum electrodynamics for superconducting electrical circuits: An architecture for quantum computation. Phys. Rev. A 2004, 69, 062320. [Google Scholar] [CrossRef]
- Wallraff, A.; Schuster, D.I.; Blais, A.; Frunzio, L.; Huang, R.-S.; Majer, J.; Kumar, S.; Girvin, S.M.; Schoelkopf, R.J. Strong coupling of a single photon to a superconducting qubit using circuit quantum electrodynamics. Nature 2004, 431, 162–167. [Google Scholar] [CrossRef] [PubMed]
- Blais, A.; Grimsmo, A.L.; Girvin, S.M.; Wallraff, A. Circuit quantum electrodynamics. Rev. Mod. Phys. 2021, 93, 025005. [Google Scholar] [CrossRef]
- Kurpiers, P.; Magnard, P.; Walter, T.; Royer, B.; Pechal, M.; Heinsoo, J.; Salathé, Y.; Akin, A.; Storz, S.; Besse, J.-C.; et al. Deterministic quantum state transfer and remote entanglement using microwave photons. Nature 2018, 558, 264–267. [Google Scholar] [CrossRef] [PubMed]
- Borjans, F.; Croot, X.G.; Mi, X.; Gullans, M.J.; Petta, J.R. Resonant microwave-mediated interactions between distant electron spins. Nature 2020, 577, 195–198. [Google Scholar] [CrossRef] [PubMed]
- Zheng, S.B.; Guo, G.C. Efficient scheme for two-atom entanglement and quantum information processing in cavity QED. Phys. Rev. Lett. 2000, 85, 2392. [Google Scholar] [CrossRef]
- Osnaghi, S.; Bertet, P.; Auffeves, A.; Maioli, P.; Brune, M.; Raimond, J.M.; Haroche, S. Coherent control of an atomic collision in a cavity. Phys. Rev. Lett. 2001, 87, 037902. [Google Scholar] [CrossRef] [PubMed]
- Majer, J.; Chow, J.M.; Gambetta, J.M.; Koch, J.; Johnson, B.R.; Schreier, J.A.; Frunzio, L. Schuster, D.I.; Houck, A.A.; Wallraff, A.; et al. Coupling superconducting qubits via a cavity bus. Nature 2007, 449, 443–447. [Google Scholar] [CrossRef]
- Harvey-Collard, P.; Dijkema, J.; Zheng, G.; Sammak, A.; Scappucci, G.; Vandersypen, L.M.K. Coherent spin-spin coupling mediated by virtual microwave photons. Phys. Rev. X 2022, 12, 021026. [Google Scholar] [CrossRef]
- Dijkema, J.; Xue, X.; Harvey-Collard, P.; Rimbach-Russ, M.; de Snoo, S.L.; Zheng, G.; Sammak, A.; Scappucci, G.; Vandersypen, L.M.K. Two-qubit logic between distant spins in silicon. arXiv 2023, arXiv:2310.16805. [Google Scholar]
- Benito, M.; Petta, J.R.; Burkard, G. Optimized cavity-mediated dispersive two-qubit gates between spin qubits. Phys. Rev. B 2019, 100, 081412. [Google Scholar] [CrossRef]
- Warren, A.; Barnes, E.; Economou, S.E. Long-distance entangling gates between quantum dot spins mediated by a superconducting resonator. Phys. Rev. B 2019, 100, 161303. [Google Scholar] [CrossRef]
- Mi, X.; Benito, M.; Putz, S.; Zajac, D.M.; Taylor, J.M.; Burkard, G.; Petta, J.R. A coherent spin–photon interface in silicon. Nature 2018, 555, 599–603. [Google Scholar] [CrossRef] [PubMed]
- Samkharadze, N.; Zheng, G.; Kalhor, N.; Brousse, D.; Sammak, A.; Mendes, U.C.; Blais, A.; Scappucci, G.; Vandersypen, L.M.K. Strong spin-photon coupling in silicon. Science 2018, 359, 1123–1127. [Google Scholar] [CrossRef] [PubMed]
- Benito, M.; Mi, X.; Taylor, J.M.; Petta, J.R.; Burkard, G. Input-output theory for spin-photon coupling in Si double quantum dots. Phys. Rev. B 2017, 96, 235434. [Google Scholar] [CrossRef]
- Croot, X.; Mi, X.; Putz, S.; Benito, M.; Borjans, F.; Burkard, G.; Petta, J.R. Flopping-mode electric dipole spin resonance. Phys. Rev. Res. 2020, 2, 012006. [Google Scholar] [CrossRef]
- Schrieffer, J.R.; Wolff, P.A. Relation between the Anderson and Kondo Hamiltonians. Phys. Rev. 1966, 149, 491. [Google Scholar] [CrossRef]
- Tavis, M.; Cummings, F.W. Exact solution for an N-molecule—radiation-field Hamiltonian. Phys. Rev. 1968, 170, 379. [Google Scholar] [CrossRef]
- Berry, M.V. Transitionless quantum driving. J. Phys. A Math. Theor. 2009, 42, 365303. [Google Scholar] [CrossRef]
- Bason, M.G.; Viteau, M.; Malossi, N.; Huillery, P.; Arimondo, E.; Ciampini, D.; Fazio, R.; Giovannetti, V.; Mannella, R.; Morsch, O. High-fidelity quantum driving. Nat. Phys. 2012, 8, 147–152. [Google Scholar] [CrossRef]
- Chen, X.; Lizuain, I.; Ruschhaupt, A.; Guéry-Odelin, D.; Muga, J.G. Shortcut to adiabatic passage in two- and three-level atoms. Phys. Rev. Lett. 2010, 105, 123003. [Google Scholar] [CrossRef]
- del Campo, A. Shortcuts to adiabaticity by counterdiabatic driving. Phys. Rev. Lett. 2013, 111, 100502. [Google Scholar] [CrossRef] [PubMed]
- Guéry-Odelin, D.; Ruschhaupt, A.; Kiely, A.; Torrontegui, E.; Martínez-Garaot, S.; Muga, J.G. Shortcuts to adiabaticity: Concepts, methods, and applications. Rev. Mod. Phys. 2019, 91, 045001. [Google Scholar] [CrossRef]
- Boissonneault, M.; Gambetta, J.M.; Blais, A. Dispersive regime of circuit QED: Photon-dependent qubit dephasing and relaxation rates. Phys. Rev. A 2009, 79, 013819. [Google Scholar] [CrossRef]
- Watson, T.F.; Philips, S.G.J.; Kawakami, E.; Ward, D.R.; Scarlino, P.; Veldhorst, M.; Savage, D.E.; Lagally, M.G.; Friesen, M.; Coppersmith, S.N.; et al. A programmable two-qubit quantum processor in silicon. Nature 2018, 555, 633–637. [Google Scholar] [CrossRef]
- Chuang, I.L.; Nielsen, M.A. Prescription for experimental determination of the dynamics of a quantum black box. J. Mod. Opt. 1997, 44, 2455–2467. [Google Scholar] [CrossRef]
- Veldhorst, M.; Hwang, J.C.C.; Yang, C.H.; Leenstra, A.W.; de Ronde, B.; Dehollain, J.P.; Muhonen, J.T.; Hudson, F.E.; Itoh, K.M.; Morello, A.; et al. An addressable quantum dot qubit with fault-tolerant control-fidelity. Nat. Nanotech. 2014, 9, 981–985. [Google Scholar] [CrossRef]
- Yoneda, J.; Takeda, K.; Otsuka, T.; Nakajima, T.; Delbecq, M.R.; Allison, G.; Honda, T.; Kodera, T.; Oda, S.; Hoshi, Y.; et al. A quantum-dot spin qubit with coherence limited by charge noise and fidelity higher than 99.9%. Nat. Nanotech. 2018, 13, 102–106. [Google Scholar] [CrossRef] [PubMed]
- Mi, X.; Cady, J.V.; Zajac, D.M.; Stehlik, J.; Edge, L.F.; Petta, J.R. Circuit quantum electrodynamics architecture for gate-defined quantum dots in silicon. Appl. Phys. Lett. 2017, 110, 043502. [Google Scholar] [CrossRef]





Disclaimer/Publisher’s Note: The statements, opinions and data contained in all publications are solely those of the individual author(s) and contributor(s) and not of MDPI and/or the editor(s). MDPI and/or the editor(s) disclaim responsibility for any injury to people or property resulting from any ideas, methods, instructions or products referred to in the content. |
© 2024 by the authors. Licensee MDPI, Basel, Switzerland. This article is an open access article distributed under the terms and conditions of the Creative Commons Attribution (CC BY) license (https://creativecommons.org/licenses/by/4.0/).
Share and Cite
Wang, Y.; Wang, T.; Zhu, X.-Y. Virtual Photon-Mediated Quantum State Transfer and Remote Entanglement between Spin Qubits in Quantum Dots Using Superadiabatic Pulses. Entropy 2024, 26, 379. https://doi.org/10.3390/e26050379
Wang Y, Wang T, Zhu X-Y. Virtual Photon-Mediated Quantum State Transfer and Remote Entanglement between Spin Qubits in Quantum Dots Using Superadiabatic Pulses. Entropy. 2024; 26(5):379. https://doi.org/10.3390/e26050379
Chicago/Turabian StyleWang, Yue, Ting Wang, and Xing-Yu Zhu. 2024. "Virtual Photon-Mediated Quantum State Transfer and Remote Entanglement between Spin Qubits in Quantum Dots Using Superadiabatic Pulses" Entropy 26, no. 5: 379. https://doi.org/10.3390/e26050379
APA StyleWang, Y., Wang, T., & Zhu, X.-Y. (2024). Virtual Photon-Mediated Quantum State Transfer and Remote Entanglement between Spin Qubits in Quantum Dots Using Superadiabatic Pulses. Entropy, 26(5), 379. https://doi.org/10.3390/e26050379

