Impact of Moving Walls and Entropy Generation on Doubly Diffusive Mixed Convection of Casson Fluid in Two-Sided Driven Enclosure
Abstract
1. Introduction
2. Mathematical Model
3. Analysis of Entropy Generation
4. Numerical Technique and Validation
5. Results and Discussion
6. Conclusions
- ➢
- Single- or multi-cellular flows were observed, according to the different directions of the moving wall(s). A single stream pattern was seen in case I, whereas a dual cellular stream existed in case III for all values of the considered parameters.
- ➢
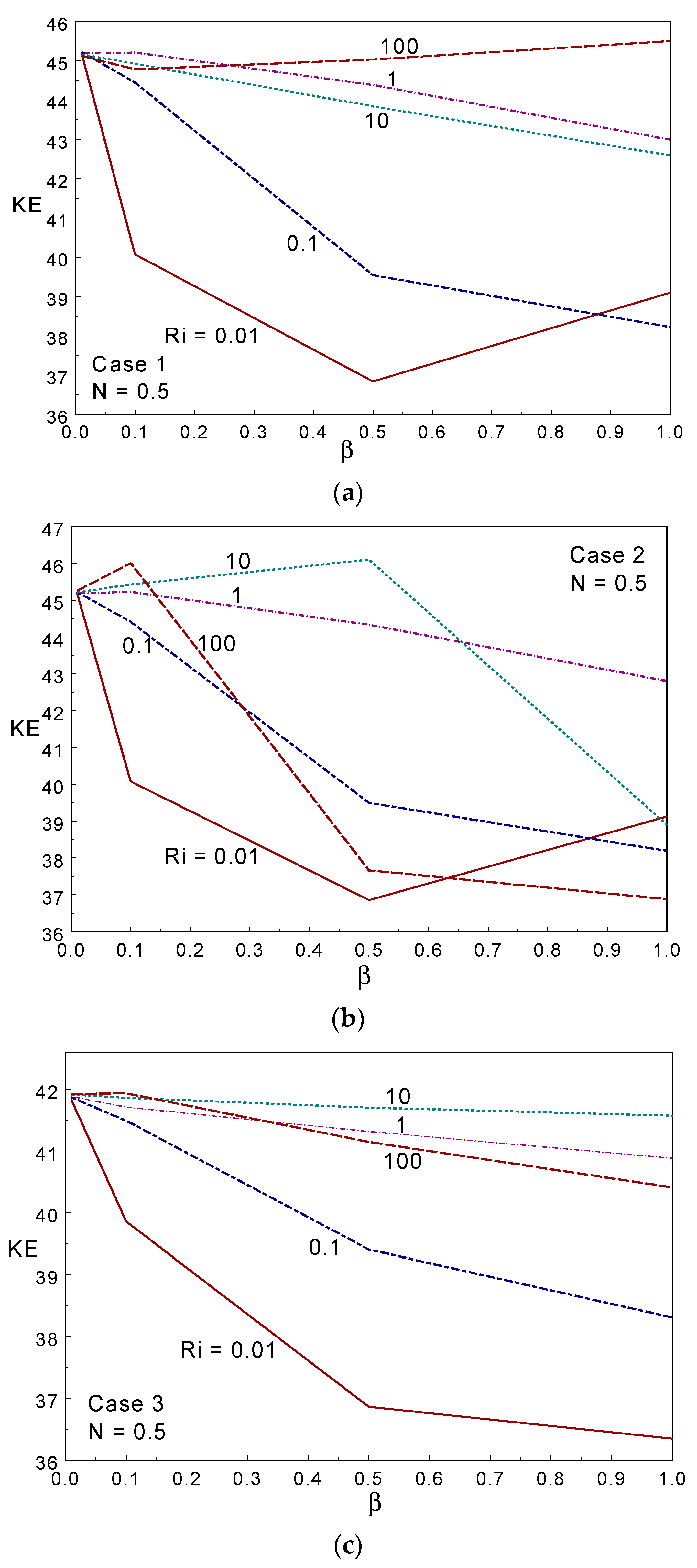
- Kinetic energy varied non-linearly with the CF parameter under all convective regimes.
- ➢
- Comparing the three cases, the averaged heat transport was low in case III due to the movement of an isothermal (left) wall against the buoyant force.
- ➢
- The resistance of various liquid layers to their relative motion increased with an increase in the CF parameter, resulting in a decline in the averaged heat transport when increasing the CF parameter.
- ➢
- While strengthening the buoyancy ratio did not support the mass transfer rate in case I, cases II and III presented the opposite trend.
- ➢
- The mass transfer rate was enhanced in case I and diminished in case III due to the direction of the moving walls.
- ➢
- The averaged heat transfer was high under the forced convection mode in all three cases, and was minimal under the free convection mode in all three cases.
- ➢
- The Bejan number increased when increasing the value of the Casson fluid parameter.
Author Contributions
Funding
Institutional Review Board Statement
Data Availability Statement
Acknowledgments
Conflicts of Interest
References
- Wu, W.-T.; Massoudi, M. Recent Advances in Mechanics of Non-Newtonian Fluids. Fluids 2020, 5, 10. [Google Scholar] [CrossRef]
- Kolsi, L.; Hussain, S.; Ghachem, K.; Jamal, M.; Maatki, C. Double Diffusive Natural Convection in a Square Cavity Filled with a Porous Media and a Power Law Fluid Separated by a Wavy Interface. Mathematics 2022, 10, 1060. [Google Scholar] [CrossRef]
- Kolsi, L.; Selimefendigil, F.; Said, L.B.; Mesloub, A.; Alresheedi, F. Forced Convection of Non-Newtonian Nanofluid Flow over a Backward Facing Step with Simultaneous Effects of Using Double Rotating Cylinders and Inclined Magnetic Field. Mathematics 2021, 9, 3002. [Google Scholar] [CrossRef]
- Reddy, V.S.; Kandasamy, J.; Sivanandam, S. Impacts of casson model on hybrid nanofluid flow over a moving thin needle with dufour and soret and thermal radiation effects. Math. Comput. Appl. 2023, 28, 2. [Google Scholar] [CrossRef]
- Lamsaadi, M.; Naimi, M.; Hasnaoui, M.; Mamou, M. Natural Convection in a Vertical Rectangular Cavity Filled with a Non-Newtonian Power Law Fluid and Subjected to a Horizontal Temperature Gradient. Numer. Heat Transf. Part A Appl. 2006, 49, 969–990. [Google Scholar] [CrossRef]
- Turan, O.; Sachdeva, A.; Chakraborty, N.; Poole, R.J. Laminar natural convection of power-law fluids in a square enclosure with differentially heated side walls subjected to constant temperatures. J. Non-Newton. Fluid Mech. 2011, 166, 1049–1063. [Google Scholar] [CrossRef]
- Kefayati, G.; Tang, H.; Chan, A.; Wang, X. A lattice Boltzmann model for thermal non-Newtonian fluid flows through porous media. Comput. Fluids 2018, 176, 226–244. [Google Scholar] [CrossRef]
- Sivasankaran, S.; Chamkha, A.J.; Mallawi, F.O.M.; Alghamdi, M.S.; Alqahtani, A.M. Effects of entropy generation, thermal radiation and moving-wall direction on mixed convective flow of nanofluid in an enclosure. Mathematics 2020, 8, 1471. [Google Scholar]
- Sivasankaran, S.; Ananthan, S.S.; Bhuvaneswari, M.; Abdul Hakeem, A.K. Double-diffusive mixed convection in a lid-driven cavity with non-uniform heating on sidewalls. Sadhana 2017, 42, 1929–1941. [Google Scholar] [CrossRef]
- Sivasankaran, S.; Malleswaran, A.; Bhuvaneswari, M.; Poo Balan, G. Hydro-magnetic mixed convection in a lid-driven cavity with partially thermally active walls. Sci. Iran.—Trans. B Mech. Eng. 2017, 24, 153–163. [Google Scholar] [CrossRef][Green Version]
- Sivasankaran, S.; Pan, K.L. Lattice Boltzmann simulation for a lid-driven cavity with discrete heating/cooling sources. AIAA J. Thermophys. Heat Transf. 2016, 30, 573–586. [Google Scholar] [CrossRef]
- Sivasankaran, S.; Sivakumar, V.; Hussein, A.K.; Prakash, P. Mixed convection in a lid-driven two-dimensional square cavity with corner heating and internal heat generation. Numer. Heat Transf. Part A 2014, 65, 269–286. [Google Scholar] [CrossRef]
- Alzahrani, A.K.; Sivasankaran, S.; Bhuvaneswari, M. Numerical simulation on convection and thermal radiation of Casson fluid in an enclosure with entropy generation. Entropy 2020, 22, 229. [Google Scholar] [CrossRef]
- Sene, N. Solution Procedure for Fractional Casson Fluid Model Considered with Heat Generation and Chemical Reaction. Sustainability 2023, 15, 5306. [Google Scholar] [CrossRef]
- Gandhi, R.; Sharma, B.K.; Mishra, N.K.; Al-Mdallal, Q.M. Computer Simulations of EMHD Casson Nanofluid Flow of Blood through an Irregular Stenotic Permeable Artery: Application of Koo-Kleinstreuer-Li Correlations. Nanomaterials 2023, 13, 652. [Google Scholar] [CrossRef]
- Gupta, R.; Selvam, J.; Vajravelu, A.; Nagapan, S. Analysis of a Squeezing Flow of a Casson Nanofluid between Two Parallel Disks in the Presence of a Variable Magnetic Field. Symmetry 2023, 15, 120. [Google Scholar] [CrossRef]
- Shah, I.A.; Bilal, S.; Asjad, M.I.; Tag-ElDin, E.M. Convective Heat and Mass Transport in Casson Fluid Flow in Curved Corrugated Cavity with Inclined Magnetic Field. Micromachines 2022, 13, 1624. [Google Scholar] [CrossRef]
- Rehman, K.; Algehyne, E.A.; Shahzad, F.; Sherif, E.M.; Chu, Y.M. On thermally corrugated porous enclosure (TCPE) equipped with Casson liquid suspension: Finite element thermal analysis. Case Stud. Therm. Eng. 2021, 25, 100873. [Google Scholar] [CrossRef]
- Abbas, Z.; Sheikh, M.; Motsa, S.S. Numerical solution of binary chemical reaction on stagnation-point flow of Casson fluid over a stretching/shrinking sheet with thermal radiation. Energy 2016, 95, 12–20. [Google Scholar] [CrossRef]
- Rehman, K.U.; Malik, A.A.; Malik, M.Y.; Sandeep, N.; Saba, N.U. Numerical study of double stratification in Casson fluid flow in the presence of mixed convection and chemical reaction. Results Phys. 2017, 7, 2997–3006. [Google Scholar] [CrossRef]
- Pop, I.; Sheremet, M.A. Free convection in a square cavity filled with a Casson fluid under the effects of thermal radiation and viscous dissipation. Int. J. Numer. Methods Heat Fluid Flow 2017, 27, 2318–2332. [Google Scholar] [CrossRef]
- Sheremet, M.A.; Pop, I. Natural convection combined with thermal radiation in a square cavity filled with a viscoelastic fluid. Int. J. Numer. Methods Heat Fluid Flow 2018, 28, 624–640. [Google Scholar] [CrossRef]
- Hamid, M.; Usman, M.; Khan, Z.H.; Haq, R.U.; Wang, W. Heat transfer and flow analysis of Casson fluid enclosed in a partially heated trapezoidal cavity. Int. Commun. Heat Mass Transf. 2019, 108, 104284. [Google Scholar] [CrossRef]
- Hussain, S.; Shoeibi, S.; Armaghani, T. Impact of magnetic field and entropy generation of Casson fluid on double diffusive natural convection in staggered cavity. Int. Commun. Heat Mass Transf. 2021, 127, 105520. [Google Scholar] [CrossRef]
- Shahzad, H.; Ul Ain, Q.; Pasha, A.A.; Irshad, K.; Shah, I.A.; Ghaffari, A.; Hafeez, M.B.; Krawczuk, M. Double-diffusive natural convection energy transfer in magnetically influenced Casson fluid flow in trapezoidal enclosure with fillets. Int. Commun. Heat Mass Transf. 2022, 137, 106236. [Google Scholar] [CrossRef]
- Aghighi, M.S.; Ammar, A.; Masoumi, H. Double-diffusive natural convection of Casson fluids in an enclosure. Int. J. Mech. Sci. 2022, 236, 107754. [Google Scholar] [CrossRef]
- Hussain, S.; Zeeshan, M.; Sagheer, D. Irreversibility analysis for the natural convection of Casson fluid in an inclined porous cavity under the effects of magnetic field and viscous dissipation. Int. J. Therm. Sci. 2022, 179, 107699. [Google Scholar] [CrossRef]
- Hirpho, M.; Ibrahim, W. Modeling and simulation of hybrid Casson nanofluid mixed convection in a partly heated trapezoidal enclosure. Int. J. Thermofluids 2022, 15, 100166. [Google Scholar] [CrossRef]
- Vishnu Ganesh, N.; Al-Mdallal, Q.M.; Hirankumar, G.; Kalaivanan, R.; Chamkha, A.J. Buoyancy-driven convection of MWCNT-Casson nanofluid in a wavy enclosure with a circular barrier and parallel hot/cold fins. Alex. Eng. J. 2022, 61, 3249–3264. [Google Scholar] [CrossRef]
- Patil, M.B.; Shobha, K.C.; Bhattacharyya, S.; Said, Z. Soret and Dufour effects in the flow of Casson nanofluid in a vertical channel with thermal radiation: Entropy analysis. J. Therm. Anal. Calorim. 2023, 148, 2857–2867. [Google Scholar] [CrossRef]
- Sivasankaran, S.; Pan, K.L. Numerical Simulation on Mixed Convection in a Porous Lid-Driven Cavity with Non-uniform Heating on Both Sidewalls. Numer. Heat Transf. Part A 2012, 61, 101–121. [Google Scholar] [CrossRef]
- Sivasankaran, S.; Malleswaran, A.; Lee, J.; Sundar, P. Hydro-magnetic combined convection in a lid-driven cavity with sinusoidal boundary conditions on both sidewalls. Int. J. Heat Mass Transf. 2011, 54, 512–525. [Google Scholar] [CrossRef]
- Sivasankaran, S.; Sivakumar, V.; Prakash, P. Numerical study on mixed convection in a lid-driven cavity with non-uniform heating on both sidewalls. Int. J. Heat Mass Transf. 2010, 53, 4304–4315. [Google Scholar] [CrossRef]
- Sivasankaran, S.; Cheong, H.T.; Bhuvaneswari, M.; Ganesan, P. Effect of moving wall direction on mixed convection in an inclined lid-driven square cavity with sinusoidal heating. Numer. Heat Transf. Part A 2016, 69, 630–642. [Google Scholar] [CrossRef]
- Bhuvaneswari, M.; Sivasankaran, S.; Kim, Y.J. Numerical Study on Double diffusive mixed convection in a two-sided lid driven cavity with Soret effect. Numer. Heat Transf. Part A 2011, 59, 543–560. [Google Scholar] [CrossRef]
- Luo, W.J.; Yang, R.J. Multiple fluid flow and heat transfer solutions in a two-sided lid-driven cavity. Int. J. Heat Mass Transf. 2007, 50, 2394–2405. [Google Scholar] [CrossRef]
- Chen, K.-T.; Tsai, C.-C.; Luo, W.-J.; Chen, C.-N. Multiplicity of steady solutions in a two-sided lid-driven cavity with different aspect ratios. Theor. Comput. Fluid Dyn. 2013, 27, 767–776. [Google Scholar] [CrossRef]
- Asiaei, S.; Zadehkafi, A.; Siavashi, M. Multi-layered porous foam effects on heat transfer and entropy generation of nanofluid mixed convection inside a two-sided lid-driven enclosure with internal heating. Transp. Porous Media 2019, 126, 223–247. [Google Scholar] [CrossRef]
- Maghsoudi, P.; Siavashi, M. Application of nanofluid and optimization of pore size arrangement of heterogeneous porous media to enhance mixed convection inside a two-sided lid-driven cavity. J. Therm. Anal. Calorim. 2019, 135, 947–961. [Google Scholar] [CrossRef]
- Bhopalam, S.R.; Perumal, D.A.; Yadav, A.K. Computational appraisal of fluid flow behavior in two-sided oscillating lid-driven cavities. Int. J. Mech. Sci. 2021, 196, 106303. [Google Scholar] [CrossRef]
- Azzouz, E.A.; Houat, S. Numerical Solutions of Steady Flow in a Three-Sided Lid-Driven Square Cavity. Int. J. Appl. Comput. Math. 2022, 8, 118. [Google Scholar] [CrossRef]
- Turkyilmazoglu, M. Driven flow motion by a dually moving lid of a square cavity. Eur. J. Mech.—B/Fluids 2022, 94, 7–28. [Google Scholar] [CrossRef]
- Kashyap, D.; Dass, A.K. Influence of cavity inclination on mixed convection in a double-sided lid-driven cavity with a centrally inserted hot porous block. Int. J. Therm. Sci. 2022, 181, 107732. [Google Scholar] [CrossRef]
- Chowdhury, M.; Rathish Kumar, B.V. Study of unsteady non-Newtonian fluid flow behavior in a two-sided lid-driven cavity at different aspect ratios. J. Non-Newton. Fluid Mech. 2023, 312, 104975. [Google Scholar] [CrossRef]
- Sheremet, M.A.; Grosan, T.; Pop, I. Natural convection and entropy generation in a square cavity with variable temperature side walls filled with a nanofluid: Buongiorno’s Mathematical Model. Entropy 2017, 19, 337. [Google Scholar] [CrossRef]
- Chamkha, A.J.; Selimefendigil, F.; Oztop, H.F. MHD mixed convection and entropy generation in a lid-driven triangular cavity for various electrical conductivity models. Entropy 2018, 20, 903. [Google Scholar] [CrossRef]
- Alsabery, A.I.; Ismael, M.A.; Chamkha, A.J.; Hashim, I. Numerical investigation of mixed convection and entropy generation in a wavy-walled cavity filled with nanofluid and involving a rotating cylinder. Entropy 2018, 20, 664. [Google Scholar] [CrossRef]
- Ahmed, S.E.; Mansour, M.A.; Mahdy, A.; Mohamed, S.S. Entropy generation due to double diffusive convective flow of Casson fluids over nonlinearity stretching sheets with slip conditions. Eng. Sci. Technol. Int. J. 2017, 20, 1553–1562. [Google Scholar] [CrossRef]
- Kefayati, G.H.R.; Tang, H. Double-diffusive natural convection and entropy generation of Carreau fluid in a heated enclosure with an inner circular cold cylinder (Part I: Entropy generation). Int. J. Heat Mass Transf. 2018, 120, 683–713. [Google Scholar] [CrossRef]
- Ho, C.J.; Chen, M.W.; Li, Z.W. Numerical simulation of natural convection of nanofluid in a square enclosure: Effects due to uncertainties of viscosity and thermal conductivity. Int. J. Heat Mass Transf. 2008, 51, 4506–4516. [Google Scholar] [CrossRef]






















| Ra | Ho et al. [50] | Present |
|---|---|---|
| 103 | 1.118 | 1.103 |
| 104 | 2.246 | 2.292 |
| 105 | 4.522 | 4.628 |
| 106 | 8.825 | 8.935 |
Disclaimer/Publisher’s Note: The statements, opinions and data contained in all publications are solely those of the individual author(s) and contributor(s) and not of MDPI and/or the editor(s). MDPI and/or the editor(s) disclaim responsibility for any injury to people or property resulting from any ideas, methods, instructions or products referred to in the content. |
© 2024 by the authors. Licensee MDPI, Basel, Switzerland. This article is an open access article distributed under the terms and conditions of the Creative Commons Attribution (CC BY) license (https://creativecommons.org/licenses/by/4.0/).
Share and Cite
Sivasankaran, S.; Bhuvaneswari, M.; Alzahrani, A.K. Impact of Moving Walls and Entropy Generation on Doubly Diffusive Mixed Convection of Casson Fluid in Two-Sided Driven Enclosure. Entropy 2024, 26, 245. https://doi.org/10.3390/e26030245
Sivasankaran S, Bhuvaneswari M, Alzahrani AK. Impact of Moving Walls and Entropy Generation on Doubly Diffusive Mixed Convection of Casson Fluid in Two-Sided Driven Enclosure. Entropy. 2024; 26(3):245. https://doi.org/10.3390/e26030245
Chicago/Turabian StyleSivasankaran, Sivanandam, Marimuthu Bhuvaneswari, and Abdullah K. Alzahrani. 2024. "Impact of Moving Walls and Entropy Generation on Doubly Diffusive Mixed Convection of Casson Fluid in Two-Sided Driven Enclosure" Entropy 26, no. 3: 245. https://doi.org/10.3390/e26030245
APA StyleSivasankaran, S., Bhuvaneswari, M., & Alzahrani, A. K. (2024). Impact of Moving Walls and Entropy Generation on Doubly Diffusive Mixed Convection of Casson Fluid in Two-Sided Driven Enclosure. Entropy, 26(3), 245. https://doi.org/10.3390/e26030245

