Quantum Switch as a Thermodynamic Resource in the Context of Passive States
Abstract
1. Introduction
2. Quantum Switch and Passive States in Thermodynamics
3. Results
4. Examples
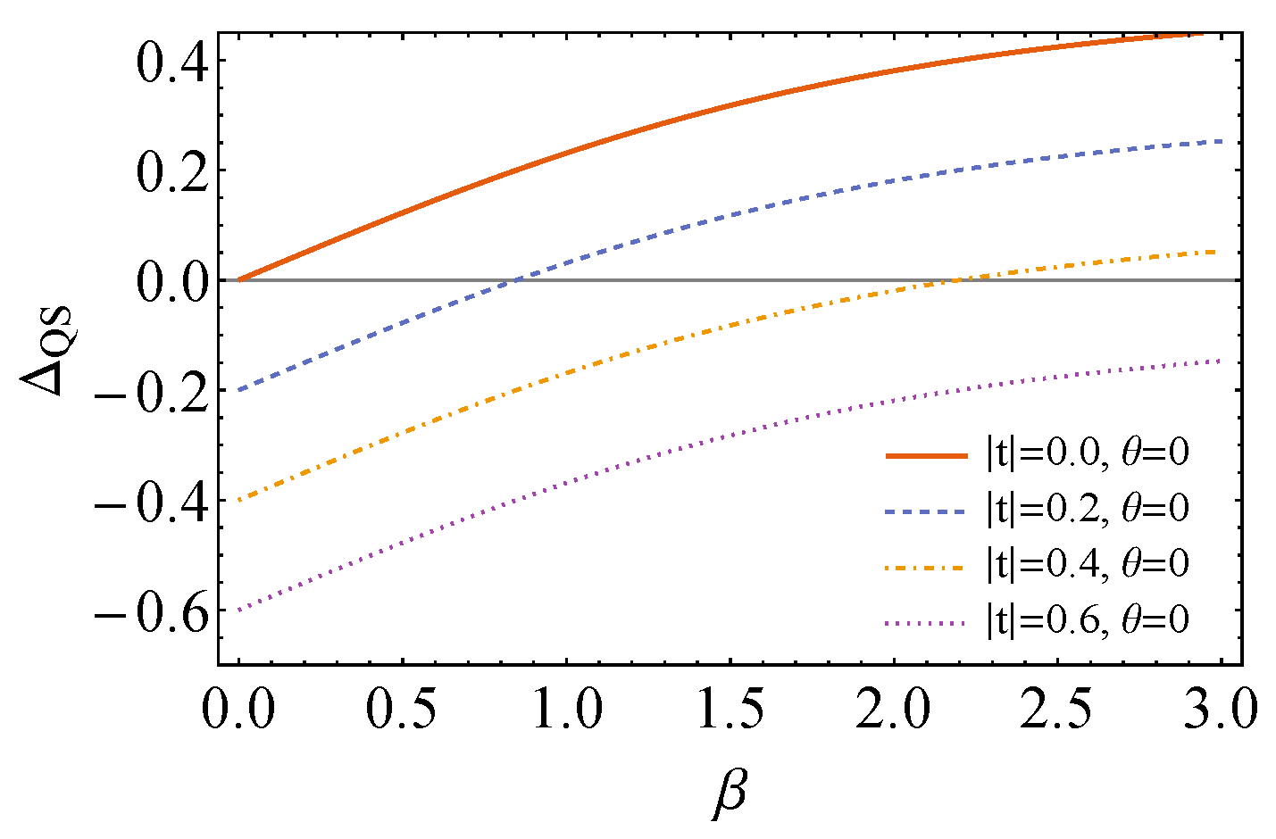
4.1. Two-Level Systems
4.1.1. Rotation Operators
4.1.2. General U(2) Unitaries
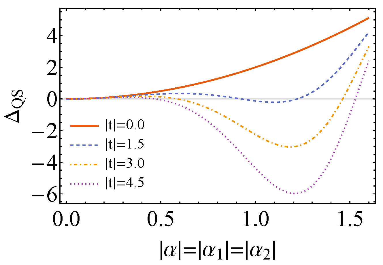
4.2. Quantum Harmonic Oscillator
4.2.1. Displacement Operators
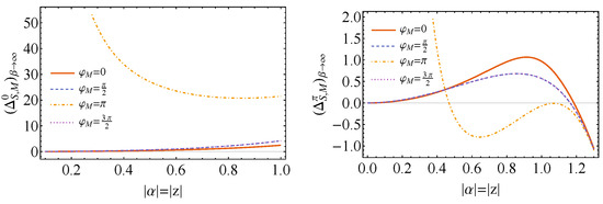
4.2.2. Displacement Operator and Squeeze Operator
5. Conclusions
Author Contributions
Funding
Institutional Review Board Statement
Data Availability Statement
Conflicts of Interest
Correction Statement
Appendix A. Displacement Operators
Appendix B. Displacement Operator and Squeeze Operator
References
- Aharonov, Y.; Anandan, J.; Popescu, S.; Vaidman, L. Superpositions of time evolutions of a quantum system and a quantum time-translation machine. Phys. Rev. Lett. 1990, 64, 2965–2968. [Google Scholar] [CrossRef]
- Chiribella, G.; D’Ariano, G.M.; Perinotti, P.; Valiron, B. Quantum computations without definite causal structure. Phys. Rev. A 2013, 88, 022318. [Google Scholar] [CrossRef]
- Oreshkov, O.; Costa, F.; Brukner, Č. Quantum correlations with no causal order. Nat. Commun. 2012, 3, 1092. [Google Scholar] [CrossRef]
- Hardy, L. Probability Theories with Dynamic Causal Structure: A New Framework for Quantum Gravity. arXiv 2005, arXiv:grqc/0509120. [Google Scholar]
- Wechs, J.; Dourdent, H.; Abbott, A.A.; Branciard, C. Quantum Circuits with Classical Versus Quantum Control of Causal Order. PRX Quantum 2021, 2, 030335. [Google Scholar] [CrossRef]
- Araújo, M.; Costa, F.; Brukner, i.c.v. Computational Advantage from Quantum-Controlled Ordering of Gates. Phys. Rev. Lett. 2014, 113, 250402. [Google Scholar] [CrossRef] [PubMed]
- Quintino, M.T.; Dong, Q.; Shimbo, A.; Soeda, A.; Murao, M. Reversing Unknown Quantum Transformations: Universal Quantum Circuit for Inverting General Unitary Operations. Phys. Rev. Lett. 2019, 123, 210502. [Google Scholar] [CrossRef]
- Renner, M.J.; Brukner, i.c.v. Computational Advantage from a Quantum Superposition of Qubit Gate Orders. Phys. Rev. Lett. 2022, 128, 230503. [Google Scholar] [CrossRef] [PubMed]
- Guérin, P.A.; Feix, A.; Araújo, M.; Brukner, i.c.v. Exponential Communication Complexity Advantage from Quantum Superposition of the Direction of Communication. Phys. Rev. Lett. 2016, 117, 100502. [Google Scholar] [CrossRef]
- Ebler, D.; Salek, S.; Chiribella, G. Enhanced Communication with the Assistance of Indefinite Causal Order. Phys. Rev. Lett. 2018, 120, 120502. [Google Scholar] [CrossRef]
- Wei, K.; Tischler, N.; Zhao, S.R.; Li, Y.H.; Arrazola, J.M.; Liu, Y.; Zhang, W.; Li, H.; You, L.; Wang, Z.; et al. Experimental Quantum Switching for Exponentially Superior Quantum Communication Complexity. Phys. Rev. Lett. 2019, 122, 120504. [Google Scholar] [CrossRef] [PubMed]
- Zhao, X.; Yang, Y.; Chiribella, G. Quantum Metrology with Indefinite Causal Order. Phys. Rev. Lett. 2020, 124, 190503. [Google Scholar] [CrossRef] [PubMed]
- Chapeau-Blondeau, F.M.C. Quantum parameter estimation on coherently superposed noisy channels. Phys. Rev. A 2021, 104, 032214. [Google Scholar] [CrossRef]
- Xie, D.; Xu, C.; Wang, A. Quantum metrology with coherent superposition of two different coded channels. Chin. Phys. B 2021, 30, 090304. [Google Scholar] [CrossRef]
- Chapeau-Blondeau, F. Indefinite causal order for quantum metrology with quantum thermal noise. Phys. Lett. A 2022, 447, 128300. [Google Scholar] [CrossRef]
- Yin, P.; Zhao, X.; Yang, Y.; Guo, Y.; Zhang, W.H.; Li, G.C.; Han, Y.J.; Liu, B.H.; Xu, J.S.; Chiribella, G.; et al. Experimental super-Heisenberg quantum metrology with indefinite gate order. arXiv 2023, arXiv:2303.17223. [Google Scholar] [CrossRef]
- Chiribella, G.; Banik, M.; Bhattacharya, S.S.; Guha, T.; Alimuddin, M.; Roy, A.; Saha, S.; Agrawal, S.; Kar, G. Indefinite causal order enables perfect quantum communication with zero capacity channels. New J. Phys. 2021, 23, 033039. [Google Scholar] [CrossRef]
- Abbott, A.A.; Wechs, J.; Horsman, D.; Mhalla, M.; Branciard, C. Communication through coherent control of quantum channels. Quantum 2020, 4, 333. [Google Scholar] [CrossRef]
- Guérin, P.A.; Rubino, G.; Brukner, i.c.v. Communication through quantum-controlled noise. Phys. Rev. A 2019, 99, 062317. [Google Scholar] [CrossRef]
- Jia, D.; Costa, F. Causal order as a resource for quantum communication. Phys. Rev. A 2019, 100, 052319. [Google Scholar] [CrossRef]
- Liu, Q.; Hu, Z.; Yuan, H.; Yang, Y. Optimal Strategies of Quantum Metrology with a Strict Hierarchy. Phys. Rev. Lett. 2023, 130, 070803. [Google Scholar] [CrossRef]
- Chapeau-Blondeau, F.m.c. Noisy quantum metrology with the assistance of indefinite causal order. Phys. Rev. A 2021, 103, 032615. [Google Scholar] [CrossRef]
- Procopio, L.M.; Moqanaki, A.; Araújo, M.; Costa, F.; Alonso Calafell, I.; Dowd, E.G.; Hamel, D.R.; Rozema, L.A.; Brukner, Č.; Walther, P. Experimental superposition of orders of quantum gates. Nat. Commun. 2015, 6, 7913. [Google Scholar] [CrossRef]
- Rubino, G.; Rozema, L.A.; Feix, A.; Araújo, M.; Zeuner, J.M.; Procopio, L.M.; Brukner, Č.; Walther, P. Experimental verification of an indefinite causal order. Sci. Adv. 2017, 3, e1602589. [Google Scholar] [CrossRef]
- Araújo, M.; Branciard, C.; Costa, F.; Feix, A.; Giarmatzi, C.; Brukner, Č. Witnessing causal nonseparability. New J. Phys. 2015, 17, 102001. [Google Scholar] [CrossRef]
- Goswami, K.; Giarmatzi, C.; Kewming, M.; Costa, F.; Branciard, C.; Romero, J.; White, A.G. Indefinite Causal Order in a Quantum Switch. Phys. Rev. Lett. 2018, 121, 090503. [Google Scholar] [CrossRef]
- Goswami, K.; Romero, J. Experiments on quantum causality. AVS Quantum Sci. 2020, 2, 037101. [Google Scholar] [CrossRef]
- Guo, Y.; Hu, X.M.; Hou, Z.B.; Cao, H.; Cui, J.M.; Liu, B.H.; Huang, Y.F.; Li, C.F.; Guo, G.C.; Chiribella, G. Experimental Transmission of Quantum Information Using a Superposition of Causal Orders. Phys. Rev. Lett. 2020, 124, 030502. [Google Scholar] [CrossRef] [PubMed]
- Rubino, G.; Rozema, L.A.; Ebler, D.; Kristjánsson, H.; Salek, S.; Allard Guérin, P.; Abbott, A.A.; Branciard, C.; Brukner, i.c.v.; Chiribella, G.; et al. Experimental quantum communication enhancement by superposing trajectories. Phys. Rev. Res. 2021, 3, 013093. [Google Scholar] [CrossRef]
- Taddei, M.M.; Cariñe, J.; Martínez, D.; García, T.; Guerrero, N.; Abbott, A.A.; Araújo, M.; Branciard, C.; Gómez, E.S.; Walborn, S.P.; et al. Computational Advantage from the Quantum Superposition of Multiple Temporal Orders of Photonic Gates. PRX Quantum 2021, 2, 010320. [Google Scholar] [CrossRef]
- Caleffi, M.; Cacciapuoti, A.S. Quantum Switch for the Quantum Internet: Noiseless Communications Through Noisy Channels. IEEE J. Sel. Areas Commun. 2020, 38, 575–588. [Google Scholar] [CrossRef]
- Felce, D.; Vedral, V. Quantum Refrigeration with Indefinite Causal Order. Phys. Rev. Lett. 2020, 125, 070603. [Google Scholar] [CrossRef]
- Guha, T.; Alimuddin, M.; Parashar, P. Thermodynamic advancement in the causally inseparable occurrence of thermal maps. Phys. Rev. A 2020, 102, 032215. [Google Scholar] [CrossRef]
- Simonov, K.; Francica, G.; Guarnieri, G.; Paternostro, M. Work extraction from coherently activated maps via quantum switch. Phys. Rev. A 2022, 105, 032217. [Google Scholar] [CrossRef]
- Dieguez, P.R.; Lisboa, V.F.; Serra, R.M. Thermal devices powered by generalized measurements with indefinite causal order. Phys. Rev. A 2023, 107, 012423. [Google Scholar] [CrossRef]
- Giacomini, F.; Castro-Ruiz, E.; Brukner, Č. Indefinite causal structures for continuous-variable systems. New J. Phys. 2016, 18, 113026. [Google Scholar] [CrossRef]
- Alicki, R.; Kosloff, R. Introduction to Quantum Thermodynamics: History and Prospects. In Thermodynamics in the Quantum Regime: Fundamental Aspects and New Directions; Binder, F., Correa, L.A., Gogolin, C., Anders, J., Adesso, G., Eds.; Springer International Publishing: Cham, Switzerland, 2018; pp. 1–33. [Google Scholar] [CrossRef]
- Haag, R.; Kastler, D.; Trych-Pohlmeyer, E.B. Stability and equilibrium states. Commun. Math. Phys. 1974, 38, 173–193. [Google Scholar] [CrossRef]
- Lenard, A. Thermodynamical proof of the Gibbs formula for elementary quantum systems. J. Stat. Phys. 1978, 19, 575–586. [Google Scholar] [CrossRef]
- Pusz, W.; Woronowicz, S.L. Passive states and KMS states for general quantum systems. Commun. Math. Phys. 1978, 58, 273–290. [Google Scholar] [CrossRef]
- Allahverdyan, A.E.; Balian, R.; Nieuwenhuizen, T.M. Maximal work extraction from finite quantum systems. Europhys. Lett. 2004, 67, 565. [Google Scholar] [CrossRef]
- Šafránek, D.; Rosa, D.; Binder, F.C. Work Extraction from Unknown Quantum Sources. Phys. Rev. Lett. 2023, 130, 210401. [Google Scholar] [CrossRef] [PubMed]
- Alicki, R.; Fannes, M. Entanglement boost for extractable work from ensembles of quantum batteries. Phys. Rev. E 2013, 87, 042123. [Google Scholar] [CrossRef] [PubMed]
- Nielsen, M.A.; Chuang, I.L. Quantum Computation and Quantum Information: 10th Anniversary Edition; Cambridge University Press: Cambridge, UK, 2010. [Google Scholar] [CrossRef]
- Agarwal, G.S. Quantum Optics; Cambridge University Press: Cambridge, UK, 2012. [Google Scholar] [CrossRef]
- Nieto, M.M.; Truax, D.R. Holstein-Primakoff/Bogoliubov Transformations and the Multiboson System. Fortschritte Phys. Phys. 1997, 45, 145–156. [Google Scholar] [CrossRef]









Disclaimer/Publisher’s Note: The statements, opinions and data contained in all publications are solely those of the individual author(s) and contributor(s) and not of MDPI and/or the editor(s). MDPI and/or the editor(s) disclaim responsibility for any injury to people or property resulting from any ideas, methods, instructions or products referred to in the content. |
© 2024 by the authors. Licensee MDPI, Basel, Switzerland. This article is an open access article distributed under the terms and conditions of the Creative Commons Attribution (CC BY) license (https://creativecommons.org/licenses/by/4.0/).
Share and Cite
Molitor, O.A.D.; Rudnicki, Ł. Quantum Switch as a Thermodynamic Resource in the Context of Passive States. Entropy 2024, 26, 153. https://doi.org/10.3390/e26020153
Molitor OAD, Rudnicki Ł. Quantum Switch as a Thermodynamic Resource in the Context of Passive States. Entropy. 2024; 26(2):153. https://doi.org/10.3390/e26020153
Chicago/Turabian StyleMolitor, Otavio A. D., and Łukasz Rudnicki. 2024. "Quantum Switch as a Thermodynamic Resource in the Context of Passive States" Entropy 26, no. 2: 153. https://doi.org/10.3390/e26020153
APA StyleMolitor, O. A. D., & Rudnicki, Ł. (2024). Quantum Switch as a Thermodynamic Resource in the Context of Passive States. Entropy, 26(2), 153. https://doi.org/10.3390/e26020153

